Optimization of Biomass Cultivation from Tuber borchii and Effect of Additives on Triterpenoid Production
Abstract
1. Introduction
2. Materials and Methods
2.1. Chemicals and Reagents
2.2. Strain and Cultivation
2.3. Impact of Different Additives at Varying Concentration
2.4. Impact of Carbon and Nitrogen Sources
2.5. Statistical Optimization for Enhanced T. borchii Biomass Production
2.6. Assays
2.6.1. Cell Biomass
2.6.2. Total Triterpenoid Analysis
2.7. Statistical Analysis
3. Results
3.1. Production of Tuber borchii Biomass and Triterpenoids
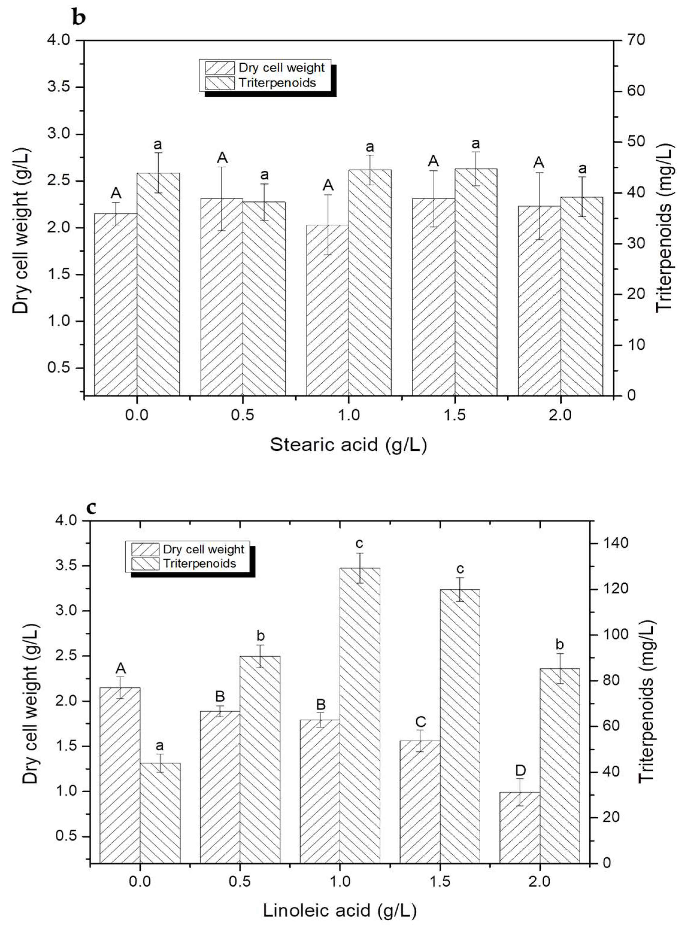
3.2. Effects of Fatty Acids on the Production of Truffle Biomass and Triterpenoids
3.3. Effects of Additives on the Production of Truffle Biomass and Triterpenoids
3.4. Effects of Carbon Sources on the Production of Truffle Biomass and Triterpenoids
3.5. Effects of Nitrogen Sources on the Production of Truffle Biomass and Triterpenoids
3.6. Statistical Optimization for the Production of Truffle Biomass
0.053X42 − 0.090X52 − 0.19X62 − 0.062X1X4 + 0.046X1X6 + 0.044X2X5 + 0.063X2X6 +
0.083X3X4 + 0.032X3X5 + 0.096X4X5 + 0.039X4X6
3.7. Effects of Additives on Truffle Biomass and Triterpenoids Produced in Optimized Media
4. Conclusions
Supplementary Materials
Author Contributions
Funding
Institutional Review Board Statement
Informed Consent Statement
Data Availability Statement
Acknowledgments
Conflicts of Interest
References
- Sun, Y.; Zhang, M.; Fang, Z. Efficient Physical Extraction of Active Constituents from Edible Fungi and Their Potential Bioactivities: A Review. Trends Food Sci. Technol. 2020, 105, 468–482. [Google Scholar] [CrossRef]
- Xue, Z.; Hao, J.; Yu, W.; Kou, X. Effects of Processing and Storage Preservation Technologies on Nutritional Quality and Biological Activities of Edible Fungi: A Review. J. Food Process Eng. 2017, 40, e12437. [Google Scholar] [CrossRef]
- Yu, Q.; Guo, M.; Zhang, B.; Wu, H.; Zhang, Y.; Zhang, L. Analysis of Nutritional Composition in 23 Kinds of Edible Fungi. J. Food Qual. 2020, 2020, e8821315. [Google Scholar] [CrossRef]
- Wei, Y.; Li, L.; Liu, Y.; Xiang, S.; Zhang, H.; Yi, L.; Shang, Y.; Xu, W. Identification Techniques and Detection Methods of Edible Fungi Species. Food Chem. 2022, 374, 131803. [Google Scholar] [CrossRef]
- Galindo-Solís, J.M.; Fernández, F.J. Endophytic Fungal Terpenoids: Natural Role and Bioactivities. Microorganisms 2022, 10, 339. [Google Scholar] [CrossRef]
- Zhao, P.; Guan, M.; Tang, W.; Walayat, N.; Ding, Y.; Liu, J. Structural Diversity, Fermentation Production, Bioactivities and Applications of Triterpenoids from Several Common Medicinal Fungi: Recent Advances and Future Perspectives. Fitoterapia 2023, 166, 105470. [Google Scholar] [CrossRef]
- Chudzik, M.; Korzonek-Szlacheta, I.; Król, W. Triterpenes as Potentially Cytotoxic Compounds. Molecules 2015, 20, 1610–1625. [Google Scholar] [CrossRef]
- Xu, J.; Shen, R.; Jiao, Z.; Chen, W.; Peng, D.; Wang, L.; Yu, N.; Peng, C.; Cai, B.; Song, H.; et al. Current Advancements in Antitumor Properties and Mechanisms of Medicinal Components in Edible Mushrooms. Nutrients 2022, 14, 2622. [Google Scholar] [CrossRef]
- Shanmugam, M.K.; Dai, X.; Kumar, A.P.; Tan, B.K.H.; Sethi, G.; Bishayee, A. Oleanolic Acid and Its Synthetic Derivatives for the Prevention and Therapy of Cancer: Preclinical and Clinical Evidence. Cancer Lett. 2014, 346, 206–216. [Google Scholar] [CrossRef]
- Kou, R.-W.; Xia, B.; Wang, Z.-J.; Li, J.-N.; Yang, J.-R.; Gao, Y.-Q.; Yin, X.; Gao, J.-M. Triterpenoids and Meroterpenoids from the Edible Ganoderma resinaceum and Their Potential Anti-Inflammatory, Antioxidant and Anti-Apoptosis Activities. Bioorg. Chem. 2022, 121, 105689. [Google Scholar] [CrossRef]
- Lee, S.; Lee, D.; Lee, S.O.; Ryu, J.-Y.; Choi, S.-Z.; Kang, K.S.; Kim, K.H. Anti-Inflammatory Activity of the Sclerotia of Edible Fungus, Poria cocos Wolf and Their Active Lanostane Triterpenoids. J. Funct. Foods 2017, 32, 27–36. [Google Scholar] [CrossRef]
- Kuang, Y.; Li, B.; Wang, Z.; Qiao, X.; Ye, M. Terpenoids from the Medicinal Mushroom Antrodia camphorata: Chemistry and Medicinal Potential. Nat. Prod. Rep. 2021, 38, 83–102. [Google Scholar] [CrossRef]
- Zou, C.-X.; Dong, S.-H.; Hou, Z.-L.; Yao, G.-D.; Lin, B.; Huang, X.-X.; Song, S.-J. Modified Lanostane-Type Triterpenoids with Neuroprotective Effects from the Fungus Inonotus obliquus. Bioorg. Chem. 2020, 105, 104438. [Google Scholar] [CrossRef]
- Li, H.; Zhao, Y.; Yang, W.; Zhang, Z. Characterization of Astragaloside I-IV Based on the Separation of HPTLC from Pleurotus ostreatus Cultivated with Astragalus. J. Food Sci. 2020, 85, 3183–3190. [Google Scholar] [CrossRef]
- Khalilov, Q.; Numonov, S.; Sukhrobov, P.; Bobakulov, K.; Sharopov, F.; Habasi, M.; Zhao, J.; Yuan, T.; Aisa, H.A. New Triterpenoids from the Fruiting Bodies of Laetiporus sulphureus and Their Anti-Inflammatory Activity. ACS Omega 2022, 7, 27272–27277. [Google Scholar] [CrossRef]
- Hsu, J.-Y.; Chen, M.-H.; Lai, Y.-S.; Chen, S.-D. Antioxidant Profile and Biosafety of White Truffle Mycelial Products Obtained by Solid-State Fermentation. Molecules 2022, 27, 109. [Google Scholar] [CrossRef]
- Chen, C.-C.; Nargotra, P.; Kuo, C.-H.; Liu, Y.-C. High-Molecular-Weight Exopolysaccharides Production from Tuber borchii Cultivated by Submerged Fermentation. Int. J. Mol. Sci. 2023, 24, 4875. [Google Scholar] [CrossRef]
- Iotti, M.; Piattoni, F.; Leonardi, P.; Hall, I.R.; Zambonelli, A. First Evidence for Truffle Production from Plants Inoculated with Mycelial Pure Cultures. Mycorrhiza 2016, 26, 793–798. [Google Scholar] [CrossRef]
- Shah, N.; Marathe, S.J.; Croce, D.; Ciardi, M.; Longo, V.; Juilus, A.; Shamekh, S. An Investigation of the Antioxidant Potential and Bioaccumulated Minerals in Tuber borchii and Tuber maculatum Mycelia Obtained by Submerged Fermentation. Arch. Microbiol. 2021, 204, 64. [Google Scholar] [CrossRef]
- Zambonelli, A.; Iotti, M.; Puliga, F.; Hall, I.R. Enhancing White Truffle (Tuber magnatum Picco and T. borchii Vittad.) Cultivation Through Biotechnology Innovation. In Advances in Plant Breeding Strategies: Vegetable Crops: Volume 10: Leaves, Flowerheads, Green Pods, Mushrooms and Truffles; Al-Khayri, J.M., Jain, S.M., Johnson, D.V., Eds.; Springer International Publishing: Cham, Switzerland, 2021; pp. 505–532. ISBN 978-3-030-66969-0. [Google Scholar]
- Milanesi, M.; Gigliotti, M.; Runfola, A. The International Marketing Strategy of Luxury Food SMEs: The Case of Truffle. J. Food Prod. Mark. 2020, 26, 600–618. [Google Scholar] [CrossRef]
- Liu, R.-S.; Jin, G.-H.; Xiao, D.-R.; Li, H.-M.; Bai, F.-W.; Tang, Y.-J. Screening of the Key Volatile Organic Compounds of Tuber melanosporum Fermentation by Aroma Sensory Evaluation Combination with Principle Component Analysis. Sci. Rep. 2015, 5, 17954. [Google Scholar] [CrossRef] [PubMed]
- Tang, Y.-J.; Liu, R.-S.; Li, H.-M. Current Progress on Truffle Submerged Fermentation: A Promising Alternative to Its Fruiting Bodies. Appl. Microbiol. Biotechnol. 2015, 99, 2041–2053. [Google Scholar] [CrossRef] [PubMed]
- Tomazeli, E.C.; Alfaro, M.; Zambonelli, A.; Garde, E.; Pérez, G.; Jiménez, I.; Ramírez, L.; Salman, H.; Pisabarro, A.G. Transcriptome Metabolic Characterization of Tuber borchii SP1—A New Spanish Strain for In Vitro Studies of the Bianchetto Truffle. Int. J. Mol. Sci. 2023, 24, 10981. [Google Scholar] [CrossRef] [PubMed]
- Vahdatzadeh, M.; Deveau, A.; Splivallo, R. The Role of the Microbiome of Truffles in Aroma Formation: A Meta-Analysis Approach. Appl. Environ. Microbiol. 2015, 81, 6946–6952. [Google Scholar] [CrossRef] [PubMed]
- Nargotra, P.; Sharma, V.; Gupta, M.; Kour, S.; Bajaj, B.K. Application of Ionic Liquid and Alkali Pretreatment for Enhancing Saccharification of Sunflower Stalk Biomass for Potential Biofuel-Ethanol Production. Bioresour. Technol. 2018, 267, 560–568. [Google Scholar] [CrossRef]
- Sharma, V.; Nargotra, P.; Bajaj, B.K. Ultrasound and Surfactant Assisted Ionic Liquid Pretreatment of Sugarcane Bagasse for Enhancing Saccharification Using Enzymes from an Ionic Liquid Tolerant Aspergillus assiutensis VS34. Bioresour. Technol. 2019, 285, 121319. [Google Scholar] [CrossRef]
- Zhang, B.B.; Guan, Y.Y.; Hu, P.F.; Chen, L.; Xu, G.R.; Liu, L.; Cheung, P.C. Production of bioactive metabolites by submerged fermentation of the medicinal mushroom Antrodia cinnamomea: Recent advances and future development. Crit. Rev. Biotechnol. 2019, 39, 541–554. [Google Scholar] [CrossRef]
- Nargotra, P.; Sharma, V.; Bajaj, B.K. Consolidated Bioprocessing of Surfactant-Assisted Ionic Liquid-Pretreated Parthenium hysterophorus L. Biomass for Bioethanol Production. Bioresour. Technol. 2019, 289, 121611. [Google Scholar] [CrossRef]
- Sharma, V.; Nargotra, P.; Sharma, S.; Bajaj, B.K. Efficacy and Functional Mechanisms of a Novel Combinatorial Pretreatment Approach Based on Deep Eutectic Solvent and Ultrasonic Waves for Bioconversion of Sugarcane Bagasse. Renew. Energy 2021, 163, 1910–1922. [Google Scholar] [CrossRef]
- Huang, J.; Li, M.-T.; Shen, A.-Q.; Wan, X.; Liu, X.-Q.; Li, Y.-Z.; Yang, Q.-Q.; Zhang, B.-B. The Mechanistic Study of Adding Polyunsaturated Fatty Acid to Promote Triterpenoids Production in Submerged Fermentation of Sanghuangporus baumii. Biochem. Eng. J. 2023, 191, 108800. [Google Scholar] [CrossRef]
- Huang, J.; Wang, K.; Zuo, S.; Chen, L.; Ding, Z.; El-shazly, M.; Zhang, B.-B. Unsaturated Fatty Acid Promotes the Production of Triterpenoids in Submerged Fermentation of Sanghuangporus baumii. Food Biosci. 2020, 37, 100712. [Google Scholar] [CrossRef]
- Yeh, C.-W.; Kan, S.-C.; Lin, C.-C.; Shieh, C.-J.; Liu, Y.-C. Polyhydroxylated Steroids and Triterpenoids from an Entophytic Fungus, Hypocreales Sp. NCHU01 Isolated from Tuber magnatum. J. Taiwan Inst. Chem. Eng. 2016, 64, 22–30. [Google Scholar] [CrossRef]
- Liu, C.-J.; Chiang, C.-C.; Chiang, B.-H. The Elicited Two-Stage Submerged Cultivation of Antrodia cinnamomea for Enhancing Triterpenoids Production and Antitumor Activity. Biochem. Eng. J. 2012, 64, 48–54. [Google Scholar] [CrossRef]
- Ma, T.-W.; Lai, Y.; Chen, L.-T.; Yang, F.-C. The Cultivation Strategy of Enhancing Triterpenoid Production in Submerged Cultures of Antrodia cinnamomea by Adding Monoterpenes. J. Taiwan Inst. Chem. Eng. 2016, 58, 210–218. [Google Scholar] [CrossRef]
- Ye, L.; Liu, S.; Xie, F.; Zhao, L.; Wu, X. Enhanced Production of Polysaccharides and Triterpenoids in Ganoderma lucidum Fruit Bodies on Induction with Signal Transduction during the Fruiting Stage. PLoS ONE 2018, 13, e0196287. [Google Scholar] [CrossRef]
- Shih, I.-L.; Pan, K.; Hsieh, C. Influence of Nutritional Components and Oxygen Supply on the Mycelial Growth and Bioactive Metabolites Production in Submerged Culture of Antrodia cinnamomea. Process Biochem. 2006, 41, 1129–1135. [Google Scholar] [CrossRef]
- Fang, Q.-H.; Zhong, J.-J. Submerged Fermentation of Higher Fungus Ganoderma lucidum for Production of Valuable Bioactive Metabolites—Ganoderic Acid and Polysaccharide. Biochem. Eng. J. 2002, 10, 61–65. [Google Scholar] [CrossRef]
- Singh, S.; Gupta, P.; Sharma, V.; Koul, S.; Kour, K.; Bajaj, B.K. Multifarious Potential Applications of Keratinase of Bacillus subtilis K-5. Biocatal. Biotransform. 2014, 32, 333–342. [Google Scholar] [CrossRef]
- Sharma, S.; Nargotra, P.; Sharma, V.; Bangotra, R.; Kaur, M.; Kapoor, N.; Paul, S.; Bajaj, B.K. Nanobiocatalysts for Efficacious Bioconversion of Ionic Liquid Pretreated Sugarcane Tops Biomass to Biofuel. Bioresour. Technol. 2021, 333, 125191. [Google Scholar] [CrossRef]
- Si, J.; Meng, G.; Wu, Y.; Ma, H.-F.; Cui, B.-K.; Dai, Y.-C. Medium Composition Optimization, Structural Characterization, and Antioxidant Activity of Exopolysaccharides from the Medicinal Mushroom Ganoderma lingzhi. Int. J. Biol. Macromol. 2019, 124, 1186–1196. [Google Scholar] [CrossRef]
- Yu, R.; Hao, G.; HaiBo, Y.; JiaXun, F. Optimization of conditions for liquid culture of Antrodia cinnamomea to produce triterpenoids with response surface methodology. Genom. Appl. Biol. 2019, 38, 2221–2229. [Google Scholar]










| Seed Culture Medium | Main Medium | |
|---|---|---|
| Components | Concentration (g/L) | |
| Glucose | 5 | 20 |
| Peptone | 1 | - |
| Malt extract | - | 20 |
| Yeast extract | 1 | - |
| MgSO4·7H2O | 0.2 | 1 |
| KH2PO4 | 0.2 | 1 |
| Vitamin B1 | - | 0.15 |
| Variables | Parameter | Coded Level | ||
|---|---|---|---|---|
| −1 | 0 | +1 | ||
| X1 | Glucose (g/L) | 5 | 15 | 25 |
| X2 | Yeast extract (g/L) | 5 | 10 | 15 |
| X3 | Peptone (g/L) | 5 | 10 | 15 |
| X4 | Malt extract (g/L) | 5 | 10 | 15 |
| X5 | K+ (g/L) | 0.5 | 1 | 1.5 |
| X6 | Mg2+ (g/L) | 0.5 | 1 | 1.5 |
| Experiment No. | X1 | X2 | X3 | X4 | X5 | X6 | Dry Cell Weight (g/L) |
|---|---|---|---|---|---|---|---|
| 1 | −1 | −1 | −1 | +1 | +1 | +1 | 2.12 |
| 2 | +1 | −1 | +1 | −1 | +1 | −1 | 2.84 |
| 3 | −1 | −1 | +1 | +1 | −1 | −1 | 2.34 |
| 4 | +1 | +1 | +1 | +1 | +1 | +1 | 1.72 |
| 5 | −1 | +1 | +1 | −1 | −1 | +1 | 1.75 |
| 6 | −1 | +1 | −1 | −1 | +1 | −1 | 2.11 |
| 7 | +1 | −1 | −1 | −1 | −1 | +1 | 2.47 |
| 8 | +1 | +1 | −1 | +1 | −1 | −1 | 2.03 |
| X1 | X2 | X3 | X4 | X5 | X6 | DCW (g/L) | |
|---|---|---|---|---|---|---|---|
| (1) Base point | 15 | 10 | 10 | 10 | 1 | 1 | |
| (2) Unit | 10 | 5 | 5 | 5 | 0.5 | 0.5 | |
| (3) Slop | 0.058 | −0.18 | −0.014 | −0.078 | 0.007042 | −0.054 | |
| (4) Proportion = (2) × (3) | 0.58 | −0.9 | −0.07 | −0.39 | 0.003521 | −0.027 | |
| (5) New unit = (4) × 2 | 1.16 | −1.8 | −0.14 | −0.78 | 0.007042 | −0.054 | |
| Expt. No. 1 | 16.16 | 8.2 | 9.86 | 9.22 | 1.007042 | 0.946 | 2.05 |
| Expt. No. 2 | 17.32 | 6.4 | 9.72 | 8.44 | 1.014084 | 0.892 | 2.18 |
| Expt. No. 3 | 18.48 | 4.6 | 9.58 | 7.66 | 1.021126 | 0.838 | 2.4 |
| Expt. No. 4 | 19.06 | 2.8 | 9.44 | 6.88 | 1.024647 | 0.811 | 2.21 |
| Expt. No. 5 | 20.22 | 1 | 9.3 | 6.1 | 1.031689 | 0.757 | 2.21 |
| Variables | Parameter | Coded Level | ||
|---|---|---|---|---|
| −1 | 0 | +1 | ||
| X1 | Glucose (g/L) | 16 | 18 | 20 |
| X2 | Yeast extract (g/L) | 2 | 4.5 | 7 |
| X3 | Peptone (g/L) | 6 | 9 | 12 |
| X4 | Malt extract (g/L) | 4 | 8 | 12 |
| X5 | K+ (g/L) | 0.5 | 1 | 1.5 |
| X6 | Mg2+ (g/L) | 0.4 | 0.8 | 1.2 |
| Expt. No. | X1 | X2 | X3 | X4 | X5 | X6 | Dry Cell Weight (g/L) |
|---|---|---|---|---|---|---|---|
| 1 | −1 | −1 | −1 | +1 | +1 | −1 | 2.14 |
| 2 | 0 | 0 | 0 | 0 | 0 | 0 | 2.94 |
| 3 | −1 | −1 | −1 | −1 | −1 | −1 | 2.68 |
| 4 | −1 | +1 | +1 | +1 | +1 | −1 | 2.51 |
| 5 | 0 | 0 | 0 | 0 | 0 | 0 | 2.87 |
| 6 | +1 | +1 | −1 | +1 | −1 | +1 | 2.31 |
| 7 | 0 | 0 | 0 | 0 | +2 | 0 | 2.38 |
| 8 | +1 | −1 | +1 | −1 | +1 | +1 | 1.89 |
| 9 | 0 | 0 | −2 | 0 | 0 | 0 | 2.48 |
| 10 | 0 | 0 | 0 | 0 | −2 | 0 | 2.79 |
| 11 | 0 | 0 | 0 | 0 | 0 | 0 | 3.02 |
| 12 | −1 | −1 | +1 | +1 | +1 | +1 | 2.08 |
| 13 | +1 | −1 | −1 | +1 | −1 | −1 | 2.22 |
| 14 | +1 | +1 | +1 | −1 | +1 | −1 | 2.09 |
| 15 | −1 | −1 | +1 | −1 | −1 | +1 | 2.04 |
| 16 | 0 | 0 | 0 | 0 | 0 | −2 | 2.2 |
| 17 | 0 | −2 | 0 | 0 | 0 | 0 | 2.05 |
| 18 | 0 | 0 | +2 | 0 | 0 | 0 | 2.35 |
| 19 | +1 | +1 | +1 | +1 | −1 | −1 | 2.1 |
| 20 | −1 | +1 | −1 | +1 | +1 | +1 | 2.3 |
| 21 | +2 | 0 | 0 | 0 | 0 | 0 | 2.87 |
| 22 | +1 | −1 | −1 | −1 | +1 | −1 | 2.33 |
| 23 | 0 | 0 | 0 | 0 | 0 | 0 | 2.99 |
| 24 | 0 | +2 | 0 | 0 | 0 | 0 | 2.24 |
| 25 | +1 | −1 | +1 | +1 | −1 | +1 | 2.18 |
| 26 | 0 | 0 | 0 | 0 | 0 | 0 | 2.91 |
| 27 | −2 | 0 | 0 | 0 | 0 | 0 | 2.76 |
| 28 | 0 | 0 | 0 | +2 | 0 | 0 | 2.68 |
| 29 | −1 | +1 | +1 | −1 | −1 | −1 | 2.32 |
| 30 | −1 | +1 | −1 | −1 | −1 | +1 | 2.45 |
| 31 | 0 | 0 | 0 | −2 | 0 | 0 | 2.78 |
| 32 | +1 | +1 | −1 | −1 | +1 | +1 | 2.31 |
| 33 | 0 | 0 | 0 | 0 | 0 | +2 | 2.15 |
Disclaimer/Publisher’s Note: The statements, opinions and data contained in all publications are solely those of the individual author(s) and contributor(s) and not of MDPI and/or the editor(s). MDPI and/or the editor(s) disclaim responsibility for any injury to people or property resulting from any ideas, methods, instructions or products referred to in the content. |
© 2023 by the authors. Licensee MDPI, Basel, Switzerland. This article is an open access article distributed under the terms and conditions of the Creative Commons Attribution (CC BY) license (https://creativecommons.org/licenses/by/4.0/).
Share and Cite
Fu, Y.-R.; Nargotra, P.; Kuo, C.-H.; Liu, Y.-C. Optimization of Biomass Cultivation from Tuber borchii and Effect of Additives on Triterpenoid Production. Fermentation 2023, 9, 735. https://doi.org/10.3390/fermentation9080735
Fu Y-R, Nargotra P, Kuo C-H, Liu Y-C. Optimization of Biomass Cultivation from Tuber borchii and Effect of Additives on Triterpenoid Production. Fermentation. 2023; 9(8):735. https://doi.org/10.3390/fermentation9080735
Chicago/Turabian StyleFu, Yu-Rong, Parushi Nargotra, Chia-Hung Kuo, and Yung-Chuan Liu. 2023. "Optimization of Biomass Cultivation from Tuber borchii and Effect of Additives on Triterpenoid Production" Fermentation 9, no. 8: 735. https://doi.org/10.3390/fermentation9080735
APA StyleFu, Y.-R., Nargotra, P., Kuo, C.-H., & Liu, Y.-C. (2023). Optimization of Biomass Cultivation from Tuber borchii and Effect of Additives on Triterpenoid Production. Fermentation, 9(8), 735. https://doi.org/10.3390/fermentation9080735

