Next Article in Journal
Integration of Dark Fermentation with Microbial Electrolysis Cells for Biohydrogen and Methane Production from Distillery Wastewater and Glycerol Waste Co-Digestion
Next Article in Special Issue
Production of the Food Enzyme Acetolactate Decarboxylase (ALDC) from Bacillus subtilis ICA 56 Using Agro-Industrial Residues as Feedstock
Previous Article in Journal
Genome Shuffling Mutant of Streptomyces diastatochromogenes for Substantial Improvement of Toyocamycin Production
Previous Article in Special Issue
Lactic Acid Production from Old Oil Palm Trunk Sap in the Open Batch, Open Repeated Batch, Fed-Batch, and Repeated Fed-Batch Fermentation by Lactobacillus rhamnosus ATCC 10863
 
 
Font Type:
Arial Georgia Verdana
Font Size:
Aa Aa Aa
Line Spacing:
Column Width:
Background:
Article

Production of Natural Pigments by Penicillium brevicompactum Using Agro-Industrial Byproducts

1
CEB—Centre of Biological Engineering, Universidade do Minho, Campus de Gualtar, 4710-057 Braga, Portugal
2
LABBELS—Associate Laboratory in Biotechnology, Bioengineering and Microelectromechanical Systems, 4710-057 Braga, Portugal
3
DWI-Leibniz Institute for Interactive Materials, Forckenbeckstrasse 50, 52074 Aachen, Germany
*
Author to whom correspondence should be addressed.
Fermentation 2022, 8(10), 536; https://doi.org/10.3390/fermentation8100536
Submission received: 26 September 2022 / Revised: 9 October 2022 / Accepted: 12 October 2022 / Published: 13 October 2022

Abstract

The demand for natural pigments for industrial applications has significantly increased. Penicillium brevicompactum was recently reported as a promising pigments producer using submerged fermentation and a synthetic culture medium containing lactose. In this work, pigment production by P. brevicompactum was studied under different fermentation conditions, namely, submerged fermentation with free (SmF) and immobilized mycelium (SmFi), and solid-state fermentation (SSF). The potential of culture media composed of agro-industrial byproducts (cheese-whey (CW) and corn steep liquor (CSL)) was investigated for the first time as low-cost alternatives to pigment production by P. brevicompactum. The fungus showed great adaptability to the different culture media and types of fermentation, being able to synthesize pigments under all the tested conditions. A culture medium composed of 34.6 g/L of CW and 8 g/L of CSL proved to be the most suitable alternative to the synthetic medium, especially under SmF and SmFi. Our data also show that different mixtures of pigments (yellow, orange, and red) can be produced depending on the medium composition and the type of fermentation. Additionally, the immobilization and reuse of biomass to produce pigments by P. brevicompactum were demonstrated for the first time, suggesting the possibility of operating under repeated batch mode at an industrial scale.

1. Introduction

Pigments have been applied as coloring agents since ancient times to improve the visual appearance of several products. Color is a key feature that stimulates consumers to buy certain products thus pigments have been widely explored by various industries, such as food, cosmetics, textile, pharmaceutical, and tanneries, for the development of different colorful products [1].
Pigments can be classified as organic or inorganic, both classes being subdivided into natural or synthetic [2,3]. In the last decade, the replacement of synthetic pigments with natural ones has gained attention due to the increasing consciousness of consumers about ecological preservation and safety, sustainability, and health issues. Thus, the demand for new biological, non-toxic, and biocompatible pigments derived from natural, cleaner, and more ecological sources has been increasing [4]. Furthermore, natural pigments may additionally provide valuable characteristics to the final products. They may present some useful biological properties for different industries, such as free radical protection, and antioxidant potential, among others [5].
Natural pigments were primarily obtained from living organisms such as plants and insects [3]. Nevertheless, to avoid the seasonal and ethical issues frequently associated wiith these organisms, microbial fermentation has been considered a very promising alternative to produce natural pigments, arousing industrial interest. Microorganisms are generally more accessible, can grow rapidly, and have the potential to be genetically modified, which consequently can provide better yields and productivity [6,7].
Among the different microorganisms, filamentous fungi have been reported as the main pigment producers due to their versatility in producing pigments of different colors [7,8,9,10]. Although there are several fungal pigments reported in the literature, their practical use is conditioned by regulatory approval criteria related to their toxicity and stability [11].
Penicillium species have been identified as potential pigment producers. Their pigments are homologous to those produced by Monascus (one of the most reported pigments producers), with the advantage of not producing the mycotoxin citrinin, known to be nephrotoxic, hepatotoxic, and possibly carcinogenic to humans and animals [12,13]. The potential of Penicillium brevicompactum to produce pigments by submerged fermentation using a synthetic culture medium containing lactose was recently demonstrated [14].
The use of agro-industrial byproducts, or residues, in fermentation processes has been widely studied as an alternative strategy to reduce their environmental impact and promote a circular economy. Additionally, the valorization of the residues/byproducts by fermentation generally lead to the production of value-added biocompounds with great commercial interest. Hence, the development of a fermentative process for pigment production using industrial byproducts, such as cheese whey and corn steep liquor, as substrates for microbial growth is of great relevance. Cheese whey (CW) is the main byproduct obtained from the dairy industry, with an estimated global production of approximately 200 million tons [15]. Although being recognized as a suitable source of functional and bioactive compounds, around 50% of the CW produced worldwide is still not valorized, being generally discharged without appropriate treatment, thus causing severe environmental issues [16,17]. Nevertheless, it contains a high percentage of lactose which can be an important carbon source for microbial growth. Corn steep liquor (CSL) is a byproduct obtained from the corn-wet milling process to produce cornstarch. In the United States, one of the major producers, around 25 million tons of cornstarch are produced annually, generating about 16 million m3 of CSL [18]. CSL contains important amounts of free amino acids, sugars, and nitrogen, making it an interesting fermentation substrate for microbial growth [19]. The successful use of CW and CSL in the preparation of alternative culture media for the production of different pigments was already reported for several Monascus species [20,21,22].
This work reports for the first time the development of a suitable bioprocess for pigment production by P. brevicompactum, using alternative low-cost media containing industrial byproducts, namely cheese whey, and corn steep liquor. Culture media composed of byproducts offer recognized economic advantages and, therefore, can result in a more attractive approach for pigment production at the industrial level. Additionally, different strategies for pigment production, such as solid-state fermentation (described as closer to the native growth conditions) and submerged fermentation with free and immobilized mycelium (to facilitate the biomass and product separation/recovery), were explored and compared in terms of production effectiveness.

2. Materials and Methods

2.1. Microorganism

P. brevicompactum (MUM 02.07) was obtained from the Mycology collection of the University of Minho (MUM). Stock cultures were maintained at room temperature (around 25 °C) by preparing spore suspensions in a semi-solid agar medium (2 g/L). For the inoculum preparation, stock cultures were sub-cultured on Petri dishes containing malt extract agar (MEA) medium (% w/v): malt extract (2), glucose (2), peptone (0.1), and agar (2); and grown for 7 days at 25 °C in the absence of light.

2.2. Industrial Byproducts

Cheese whey powder (CW), composed of (% w/w): 58.5 lactose, 12.6 protein, less than 0.2 fat, and 1.2 moisture, was kindly provided by Lactogal Produtos Alimentares S.A., Modivas, Portugal. Corn steep liquor (CSL) with a composition of (% w/v): 7.5 sugars and 0.5 proteins [23] was supplied by COPAM (Companhia Portuguesa de Amidos, S.A.), São João da Talha, Portugal.

2.3. Inert Support

Cubes (0.125 cm3) of commercial nylon sponge (Vileda Ultra Fresh®, Freudenberg Home and Cleaning Solutions GmbH, Weinheim, Germany) were used as inert supports in both submerged and solid-state fermentations. The nylon sponge cubes were pre-treated by boiling for 15 min, washed with distilled water, and then dried at 60 °C. Prior to use, the cubes were autoclaved at 121 °C for 15 min [24].

2.4. Inoculum Preparation

Inocula for fermentations were prepared by adding 1–2 mL of a sterile saline solution (0.85% (w/v) NaCl containing 0.01% (w/v) Tween 80) to fully sporulated agar plate cultures of P. brevicompactum [25]. The spores were then scraped from the agar plates under aseptic conditions, and the conidia suspension was used as the inoculum. Conidia density (106 conidia/mL) was determined using a Neubauer chamber.

2.5. Pigments Production

Four different culture media were prepared (g/L): medium A—peptone (8), yeast extract (8), KH2PO4 (2), Na2HPO4.12H2O (8), MgSO4.6H2O (0.25), and lactose (20); medium B—CW (34.6); medium C—CSL (12.55); medium D—CSL (8), and CW (34.6). The optimal CSL concentration in medium C was previously defined as 12.55 g/L to reduce its color contribution to the culture medium. The different culture media (A, B, C, and D) were used for both submerged fermentation (free (SmF), immobilized mycelium (SmFi)), and solid-state fermentation (SSF). The fermentations were performed in an orbital shaker for 12 days at 23 °C and 150 rpm. These experimental conditions were determined in previous work and are optimized for pigment production by P. brevicompactum cultivated in a synthetic fermentation medium [14]. The experiments were performed in triplicate, using 250 mL cotton-plugged Erlenmeyer flasks containing an initial density of 106 conidia/mL. Samples were collected at 0, 3, 5, 7, 9, and 12 days, in aseptic conditions, for all the submerged fermentation processes. For SSF samples collected at the beginning and at the end of the fermentation time were evaluated.

2.5.1. Submerged Fermentation

Submerged fermentation was performed using free (SmF) or immobilized mycelium (SmFi) and 50 mL of each culture medium (A, B, C, and D). For (SmFi), approximately 20 cubes of inert support (corresponding to 0.8 g of nylon sponge) were used.

2.5.2. Solid-State Fermentation (SSF)

SSF was performed using nylon sponge cubes as an inert support. To achieve better results, a preliminary test was carried out to determine the most suitable moisture content % (w/w). For this purpose, the production of pigments was evaluated when 3 g of nylon sponge cubes (75 cubes), and different volumes of culture medium A were used. The amount of support (3 g) was selected according to the volume occupied by the cubes in the flask. Moistures contents of 75, 80, 85, and 90% (w/w) were assessed. The moisture content (wet basis) was calculated according to Ahmad and Munaim [26] using Equation (1).
Moisture   content = Mass   of   liquid   component Total   mass   ( liquid + support ) × 100 %  
After selecting the most suitable moisture content, all the culture media (A, B, C, and D) were screened for pigment production under SSF conditions using 3 g of nylon sponge cubes.

2.6. Biomass Reuse under Submerged Fermentation Conditions

To evaluate if biomass reuse can be a suitable strategy to increase pigment production, two types of fermentation were carried out, namely SmF and SmFi.
For each type of fermentation, the experiments were performed in triplicate using 250 mL cotton-plugged Erlenmeyer flasks containing 50 mL of culture medium D and an initial density of 106 conidia/mL.
The study of biomass reuse was divided into 3 cycles of fermentation of 12 days. After 12 and 24 days of fermentation (first and second cycles, respectively), the culture medium was removed with the aid of a sterile net, and replaced by 50 mL of fresh medium D.
Simultaneously, for each condition (SmF and SmFi), control fermentations were performed in parallel for 36 days without replacing the fermentation medium. The fermentations were performed in an orbital shaker at 23 °C and 150 rpm. In the three cycles, samples were aseptically collected on days 0, 3, 5, 7, 9, and 12. In the control fermentation, samples were taken on days 0, 3, 5, 7, 10, 12, 14, 24, 26, and 36.
For each fermentation condition, pigment recovery was performed as described in the section below.

2.7. Pigments Recovery

For SmF and SmFi conditions, the culture media containing the produced pigments were recovered through vacuum filtration using a 0.45 μm Whatman filter and freeze-dried for further analysis. Additionally, for SmFi, the support containing the immobilized biomass was recovered for pigment extraction using a solution with 95:5% (v/v) ethanol and water [27]. The mixture was kept on a rotary shaker at 150 rpm for 24 h at room temperature. The support was then squeezed with the aid of a syringe, and the liquid fraction was filtered through a 0.45 μm Whatman filter. The ethanol was finally evaporated at 60 °C.
For SSF, pigments were also extracted from supports using a solution of 95:5% (v/v) ethanol and water, as described for the SmFi. In this case, all the content of the culture flasks was soaked in ethanol. The volume of added ethanol corresponded to three times the volume of the culture medium initially used [27].

2.8. Pigments Analysis

The samples collected during the fermentations were spectrophotometrically analyzed to monitor the production of pigments. The samples were centrifuged prior to measuring the absorbance at 400, 470, and 500 nm the corresponding wavelengths of the yellow, orange, and red regions of the visible spectrum, respectively [28,29].
To compare the different fermentation conditions for pigments production, freeze-dried media (collected at the end of SmF and SmFi) and dried ethanolic extracts (obtained from the SmFi and SSF immobilization supports) were dissolved in 2.5 mL of distilled water, and the absorbance was measured at the same wavelengths.
To determine the best conditions for pigment production, the sum of the three absorbances (at 400, 470, and 500 nm) was considered.
The fermentation media and the ethanolic extracts containing the pigments were also qualitatively analyzed by Thin Layer Chromatography (TLC). For each fermentation condition, 3 µL of a pigment solution with a concentration of 100 g/L was loaded on a silica plate (Macherey-Nagel, DC-Fertigfolien ALUGRAM SIL G/UV254, Macherey-Nagel GmbH & Co., Düren, Germany). Pigments were separated using a mixture of 50:50% (v/v) water and ethanol as eluent [14]. The plates were exposed to UV light (254 nm and 366 nm) for spot visualization.

2.9. Lactose Quantification

Lactose concentration in the fermentation media was determined by HPLC analysis using a Jasco chromatograph equipped with a refractive index detector (K-2300, Knauer) and a Prevail Carbohydrate ES column (5 μm particle size, 250 mm length × 4.6 mm internal diameter, Alltech, Grace Davison Discovery Sciences, Bannockburn, IL, USA) fitted with a pre-column using the same stationary phase.
A mixture of acetonitrile and water (70:30 %(v/v)) pumped at 0.9 mL/min was used as the mobile phase. The injection volume was defined as 20 μL [14]. Standards of lactose in the range of 1–15 g/L were used to previously prepare a calibration curve.
The samples collected during the submerged fermentations (SmF and SmFi) were centrifuged, filtered through a 0.45 μm sterile syringe filter, and analyzed to monitor the consumption of lactose during the fermentation time.

2.10. Statistical Analysis

All the experiments were performed in triplicate, and the values are presented as the means and respective standard deviations. One-way and two-way ANOVA tests were performed using GraphPad Prism 6.0 software (GraphPad Software, San Diego, CA, USA) to estimate significant differences among samples with a confidence interval of 95%.

3. Results and Discussion

During a screening study aiming to identify novel fungal producers of β-galactosidase, Silvério et al. [30] observed for the first time the ability of P. brevicompactum to synthesize soluble extracellular pigments. Later, Fonseca et al. [14] proved the potential of P. brevicompactum to successfully produce a mixture of yellow, orange, and red pigments, under SmF conditions using a synthetic culture medium (medium A) that combines lactose with peptone and yeast extract. It was also demonstrated that both the carbon and the nitrogen sources are essential for cellular metabolism, directly affecting the fungal growth and the type of synthesized pigments [14].
CW was selected due to its high lactose content (58.5% w/w). The amount of CW was established to maintain a final lactose concentration of 20 g/L, reported by Fonseca et al. [14] as the optimal lactose concentration for pigment production. In this work, CW was used as both a culture medium (medium B) and as a medium supplement (medium D).
To evaluate the effect of an alternative nitrogen source on pigment production, CSL was used (media C and D) since it has been widely reported as a relevant source of this element [31]. As an alternative culture medium (medium C), CSL was used in a final concentration of 12.55 g/L. Since CSL is a dark brown viscous liquid, this concentration was previously defined as the most suitable for the culture medium without significantly altering its color, thus minimizing CSL interference in the absorbance measurements. As a supplement to the culture medium (medium D), CSL was used in the same concentration (8 g/L) reported by Fonseca et al. [14] for the synthetic medium containing yeast extract and peptone.

3.1. Pigments Production under SmF

As reported before by Fonseca et al. [14], P. brevicompactum showed interesting productivity under SmF conditions. SmF is widely used both at laboratory and industrial-scale processes for the production of several valuable bioproducts. Thus, our first attempt was to investigate pigment production using the aforementioned alternative culture media under SmF conditions.
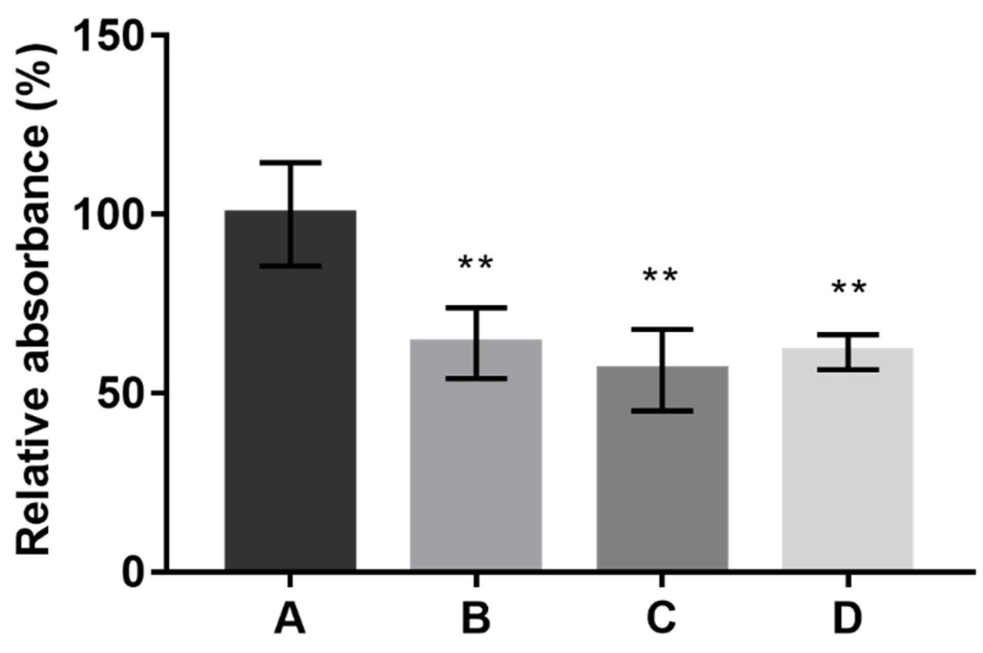
The results obtained for each culture media tested were expressed in relative absorbance (%) and statistically compared with the reference synthetic medium A (Figure 1).
Figure 1 shows that, under SmF conditions, similar production of pigments was obtained using either the standard synthetic culture medium A or the alternative culture medium D composed of CW and CSL. Interestingly, both alternative culture media B and C, containing individually each one of the byproducts, led to the lowest pigments production. Previously, lactose was identified as the preferred sugar to produce pigments by P. brevicompactum [14]. However, according to the literature, the most common sugars in CSL are glucose and fructose [32]. The concentration of these sugars in the alternative culture media C (12.55 g/L CSL) and D (8 g/L CSL) is very low since CSL generally contains only 2–3% (w/v) of glucose and fructose [32]. Furthermore, the HPLC analysis revealed a fast metabolization of CSL monosaccharides by P. brevicompactum (the vestigial peaks corresponding to the monosaccharides from CSL were not present in the chromatograms after 3 days of fermentation). Thus, the very low concentration of monosaccharides and the absence of lactose in CSL composition probably led to lower production of pigments in culture medium C. Similarly, the lack of a nitrogen source in culture medium B seemed to reduce pigments production by the fungus.
The interesting results obtained for culture medium D indicate that CSL has a positive effect on pigment production when used in combination with CW, even at a lower concentration when compared to medium A (8 g/L of CSL in medium D versus 8 g/L of peptone + 8 g/L of yeast extract in medium A). The nitrogen from CSL seemed to work together with the lactose from the CW, enhancing pigments production, as culture medium D led to the same productivity as the reference synthetic medium A. Costa et al. [22] also demonstrated that CW can be used as a carbon source for the growth, and consequent production of pigments by the filamentous fungi Monascus ruber. Silbir and Goksungur [33], reported the potential of CSL to be used by the filamentous fungus Monascus purpureus as an alternative nitrogen source to monosodium glutamate, under SmF conditions.
After 12 days of fermentation, it was observed that in the culture media A and D lactose was completely or almost completely consumed (<1g/L), respectively, while for medium B, the concentration was higher than 8 g/L. In the work performed by Gmoser et al. [34], aiming the production of carotenoids by Neurospora sp., it was suggested that the use of a suitable carbon source could be a key factor to lead the metabolic pathway toward the acetyl-CoA pool, known to be the most important precursor for pigments production, rather than the cell growth pathways. Interestingly, we observed that the total, or almost total, consumption of lactose led to higher pigment production. Furthermore, an association between the timing determined as the starting point of lactose consumption and the appearance of color in the fermentation broth was observed (3 days of fermentation for culture medium A and 5 days of fermentation for the others). This fact led us to assume that the use of this carbon source by the fungus may be favoring or activating secondary metabolic pathways and consequently promoting pigments production.

3.2. Pigments Production by SmFi

The immobilization of mycelium is a common strategy used in the synthesis of secondary metabolites. Immobilization influences both diffusion properties of molecules through the support and the physiological behavior of immobilized cells, resulting in significant variations in the metabolism of nutrients and the production of metabolites [35]. The immobilization of filamentous fungi is a relatively simple procedure facilitated by the ability of this kind of microorganisms to adhere to the surfaces of several materials. Fungal immobilization can bring some interesting advantages to the fermentation process. It eases the recovery and further reuse of the cells, which consequently may simplify the recovery of the bioproducts and increase the production and the purification yields [36]. In a study conducted by Domínguez-Espinosa and Webb [37], the immobilization of Monascus on an inert support (foam) was tested under SmF conditions, resulting in enhanced production of red pigments, compared with SmF using the free mycelium.
To investigate whether biomass immobilization could influence pigment production, we repeated the previous conditions described for SmF but with the mycelium immobilized on a nylon sponge support (SmFi). The porosity of this material provides the fungus with an increased surface area (internal and superficial) to grow and have access to the culture medium nutrients [24]. The amount of support used (20 pieces) was previously chosen based on the amount of support that could be used and still be completely submerged in the total volume of the culture medium.
Remarkably, after 12 days of fermentation, the biomass grown attached to the nylon cubes was colorful (Figure 2), indicating that some of the pigments produced were not released to the fermentation medium (note that the biomass grown under SmF conditions showed no indication of containing pigments, data not shown).
Consequently, the production of pigments under SmFi was not only evaluated in terms of the absorbance increase in the fermentation medium but also in terms of the absorbance obtained after the ethanolic extraction of pigments from the biomass grown after 12 days of fermentation. Ethanol was utilized as an extraction solvent due to its generally recognized as safe (GRAS) status [23] and also because it can be easily recovered and recycled using distillation or rotary evaporation.
The results obtained under SmFi were expressed in relative absorbance (%) for the pigment mixtures from the extracellular medium (EM) and the ethanolic extraction (EE) of the biomass. All the alternative culture media were compared with the synthetic medium A, used as a reference, corresponding to 100% absorbance (Figure 3).
Considering the absorbances of the EM, it is evident that the alternative culture media led to a poorer production of pigments compared to the reference medium A. Using the alternative culture media (B–D), the same production of pigments seems to be obtained in the EM. In this case, the medium composition seems to impact less the quantity of secreted pigments. On the other hand, for the EE, the production of pigments achieved with culture medium D is comparable to the one obtained with culture medium A, while the other alternative media presented a worse performance, especially medium C. For the medium composed only of CW (B), the same quantity of pigments was obtained from both the EM and the EE. For medium C, where only CSL was used, the quantity of pigments recovered from the biomass (EE) was extremely low. Taken together, these results suggest that, under SmFi conditions, the presence of the right carbon source is the primary factor affecting pigment synthesis, while the presence of a nitrogen source just helps to enhance it. Furthermore, comparing the obtained results using free (SmF) and immobilized mycelium (SmFi) for the same culture medium, it is suggested that pigment production (extra and intracellular) by P. brevicompactum is clearly affected by fungal immobilization.
The consumption of lactose over the fermentation time was also analyzed, and the results showed that culture medium A presented the lowest final lactose concentration (less than 5 g/L). For all the other media (B and D), more than 9 g/L of lactose was obtained after 12 days of fermentation. As the nylon sponge is a considerable porous material, the growth of biomass occurs both inside the support and on its surface, forming a dense coating. This fact may explain why lactose was not completely consumed. Probably, the biomass inside the support did not have the same access to the culture medium nutrients as the free biomass or the biomass on the support surface.

3.3. Pigments Production by SSF

The SmFi conditions showed that high amounts of pigments can be extracted from the immobilized biomass (Figure 3), suggesting that SSF could be a promising fermentation process for pigment production by P. brevicompactum. In fact, the use of SSF to produce pigments has been generally reported as the most suitable approach to obtain high yields with Monascus strains. However, this type of fermentation was lesser explored for pigment production by Penicillium strains, which mostly report SmF as an adequate condition to improve the yields [38]. Nevertheless, SSF can present some advantages over SmF. In SSF, only the basic nutrients for fungal growth are provided, and the natural growth environment is mimicked, which can generally increase production yields with relatively low process costs [39]. The moisture content is one of the key variables influencing the efficiency of the SSF. Using the most adequate moisture content for each support and microorganism, is crucial to promote favorable growth conditions and maximizingmetabolites production [40,41]. If the moisture content used is too high, gas diffusion will be restricted due to the occupancy of the cavities of the supports with water. On the other hand, if the moisture content is too low, fungal growth will be severely affected [42]. Culture medium A was previously used to optimize the moisture content for pigment production under SSF. The amount of immobilization support (75 pieces corresponding to 3 g of nylon sponge) was established according to the volume occupied by it in the fermentation flask. The absorbances determined for the EE, obtained using the different moisture contents evaluated as a preliminary study, are represented in Figure 4.
A moisture content of 85% (w/w) resulted in 2 to 2.5 times more pigments than the other conditions, so it was selected for the studies of pigment production under SSF conditions. Figure 5 summarizes the results obtained for the several culture media.
Despite the well-known SSF advantages, and the promising productivities previously obtained from SmFi, it was observed that none of the alternative culture media achieved pigment production similar to the one obtained with the synthetic medium A. Contrarily to the SmF conditions (free and immobilized), the supplementation of CW with CSL have no positive effect on pigments production under SSF conditions.
Nevertheless, our results illustrate the potential of SSF to be an economic strategy to produce pigments using lower volumes of culture medium. Furthermore, the three alternative culture media screened (B–D), composed of agro-industrial byproducts, were allowed to reach >50% of relative absorbance. It is important to highlight that, for comparison purposes, the concentration of the byproducts (carbon and nitrogen sources) was kept the same between experiments (SmF and SSF conditions). However, these values were previously optimized for the production of pigments under SmF conditions. Thus, our data suggest that under SSF conditions, perhaps higher pigment productivity might be achieved by optimizing the concentration of the byproducts (and consequently, the concentration of lactose and nitrogen) or by using different immobilization supports. The porosity of the nylon foam is suitable for fungal growth and nutrient access under SmF conditions. However, under SSF, this inert support showed some limitations, namely the poor capacity to retain the culture medium and preserve the moisture content in all the small cubes used. Based on these results and observations, it will be interesting to test other immobilization supports, including natural/organic supports composed of agro-industrial residues.

3.4. Direct Comparison of the Best Fermentation Conditions

Attempting to identify which studied condition was the most suitable for pigment production, a direct comparison was established between the best results obtained in each type of fermentation. The best conditions selected are summarized in Figure 6. For comparison purposes, the results are presented as absolute absorbance. The absolute absorbance corresponds to the sum of absorbances measured at 400, 470, and 500 nm for each specific solution (freeze-dried media or dried ethanolic extracts dissolved in 2.5 mL of distilled water) prepared with the mixture of pigments obtained from the different fermentation conditions.
As Figure 6 illustrates, culture media A (synthetic, used as reference) and D (composed of CW and CSL) allowed us to obtain a higher production of pigments for all types of fermentation except for SSF. Interestingly, there are no statistical differences between the selected conditions, meaning that similar amounts of pigments were produced.
This analysis highlights the suitability of medium D for pigment production by P. brevicompactum under SmF and SmFi (EE). Besides the comparable productivities with the synthetic medium A, its composition based only on agro-industrial byproducts also makes it more attractive from both the economic and environmental points of view. In fact, the use of byproducts can offer a significant economic advantage in the bioprocess since CSL represents one-fifth of the costs of yeast extract [43], and CW is generally described as a byproduct of negligible cost [44]. Using medium D, it is possible to reduce the accumulation of byproducts from the food industry and simultaneously generate new natural products with potential applications in several sectors.
Furthermore, in the case of SmFi, old sponge wastes or industrial leftovers can be reused as immobilization supports, thus contributing to lowering the costs of the entire process and still making it attractive from the circular economy perspective.
Finally, in order to determine if the same mixture of pigments was produced in all the selected conditions, the pigment profiles were qualitatively analyzed by TLC (Figure 7). The mixtures of pigments were separated using water:ethanol (50:50) as eluent, which was shown in previous studies to be the best eluent for their separation [45].
From the TLC analysis, it is evident that the medium composition affects the mixture of pigments being produced (e.g., media A and D under SmF, corresponding to 1 and 2, respectively, in Figure 7). In addition, the fermentation type plays an important role too on pigment production (e.g., medium A under SmF and SmFi, corresponding to 1 and 3, respectively, in Figure 7).
Overall, these results demonstrate that pigment production by P. brevicompactum can be fine-tuned by adjusting the medium composition and choosing a specific fermentation type. In fact, the composition of the culture medium has always been suggested as a key factor for biomass growth and pigment metabolism [46]. Moussa and Azeiz (2017) [47] reported the important effect of the medium composition on the type of pigments synthesized by M. ruber, leading to improve yield of specific desired pigments. Similarly, the effect of the fermentation type (SmF and SSF) on the produced pigments was also described for several fungi, including Penicillium [48]. Additionally, to understand the impact of the fermentation conditions on the type of synthesized pigments by P. brevicompactum, a detailed study of separation and characterization of the several obtained mixtures should be performed in the future.

3.5. Biomass Reuse under Submerged Fermentation Conditions

In previous studies, it was determined that 12 days of submerged fermentation was a suitable time for pigment production using the culture medium A [14]. In this work, the same fermentation time was used for the studies carried out with the alternative culture media, which also led to good performances. Nevertheless, aiming to have a process with the highest productivity possible, we investigated the production of pigments over 36 days of fermentation. In this study, we allowed the biomass to grow in 3 cycles of 12 days, and at the end of each cycle, the fermentation medium was collected and replaced by a fresh culture medium with the same initial composition. As a control, an extended batch fermentation (36 days) was performed. Medium D was selected for these experiments due to its positive results as an alternative to synthetic medium A, and it was used under SmF and SmFi conditions, since in such conditions, we have previously observed the highest production of pigments.
The sum of the absorbances determined for the different fermentation conditions (SmF, and SmFi with or without culture medium change) is presented in Figure 8. As explained before, for SmFi, the extracellular medium (EM) and the ethanolic extract of the biomass (EE) were analyzed due to the presence of color on both.
Data show that for both SmF and SmFi, changing the culture medium every 12 days results in almost three times more pigments produced than in the control fermentations (36 days extended batch). Additionally, there are no statistical differences between the amounts of pigments produced in each cycle. These results demonstrate that a strategy based on the sequential removal of fermented broth and its replacement by fresh culture medium can indeed be an interesting strategy to promote higher productivity in pigment production.
Secondary metabolites are known to be produced under stress conditions [49,50]. However, some authors have stated that secondary metabolite production in fungi is more dependent on specific factors, including the type, concentration, source of nutrients, and adequate ratio in the culture medium [51,52]. Our data corroborate that fact since adequate carbon and nitrogen sources in the culture medium resulted in higher pigment production than when they are missing, or replaced by unsuitable ones. In the cycle operational mode, biomass always has higher amounts of available nutrients, producing pigments whenever the fermentation medium is renewed. In contrast, in the extended batch (36 days), the biomass probably consumes all the nutrients in the first 12 days, having no supplies to help or induce pigment synthesis later on. These results support the assumption that the concentration of carbon and nitrogen sources in the culture medium is essential to stimulate and activate the metabolic pathways involved in pigments production.
Interestingly, the absorbances of the ethanolic extracts from SmFi were similar for both extended batch and medium change conditions. In the extended batch, they were also higher than the absorbances of the extracellular medium, as seen before during the SmFi screening experiments. Contrarily, in the cycle operation mode, the absorbance values were higher in the extracellular medium, suggesting that more pigments were released from the biomass grown for 36 days with a fresh culture medium.
Overall, higher production of pigments was observed under SmFi conditions and cycle operation mode, considering both the pigments obtained from the extracellular medium and the ethanolic extraction of the biomass. Moreover, this type of fermentation with mycelium immobilization proved to be simpler and more suitable for the successive cycles of culture medium exchange. As far as we know, this strategy of biomass immobilization and reuse was never studied for pigment production. It represents an interesting approach for the development of low-cost and sustainable bioprocesses operating at an industrial scale and can be optimized in future studies of pigment production using agro-industrial byproducts/wastes.

4. Conclusions

The ability of P. brevicompactum to produce different mixtures of pigments when grown in different culture media and under different fermentation conditions was demonstrated for the first time in this work. Cheese-whey proves to be an adequate source of lactose, and corn steep liquor a suitable alternative source of nitrogen, promoting pigment production. The low-cost culture medium D composed only of these two agro-industrial byproducts allowed us to obtain similar production of pigments as the more expensive reference synthetic medium (medium A) under submerged conditions with free and immobilized mycelium. The reuse of biomass to increase pigment production by P. brevicompactum was successfully shown for the first time, opening future perspectives of working under repeated batch mode to increase productivity and minimize both the operation time and costs.

Author Contributions

Conceptualization, N.R.d.S. and S.C.S.; methodology, N.R.d.S., J.A.T. and S.C.S.; validation, B.B.; formal analysis, B.B.; resources, J.A.T.; writing—original draft preparation, B.B.; writing—review and editing, N.R.d.S., J.A.T. and S.C.S.; supervision, J.A.T. and S.C.S.; funding acquisition, J.A.T. All authors have read and agreed to the published version of the manuscript.

Funding

This study was supported by the Portuguese Foundation for Science and Technology (FCT) under the scope of the strategic funding of UIDB/04469/2020 unit, and by LABBELS—Associate Laboratory in Biotechnology, Bioengineering and Microelectromechanical Systems, LA/P/0029/2020.

Institutional Review Board Statement

Not applicable.

Informed Consent Statement

Not applicable.

Data Availability Statement

Not applicable.

Acknowledgments

The authors acknowledge the Portuguese companies Lactogal and COPAM for kindly supplying the cheese whey and corn steep liquor, respectively.

Conflicts of Interest

The authors declare no conflict of interest. The funders had no role in the design of the study; in the collection, analyses, or interpretation of data; in the writing of the manuscript; or in the decision to publish the results.

References

  1. Venil, C.K.; Velmurugan, P.; Dufossé, L.; Devi, P.R.; Ravi, A.V. Fungal pigments: Potential coloring compounds for wide ranging applications in textile dyeing. J. Fungi 2020, 6, 68. [Google Scholar] [CrossRef]
  2. Delgado-Vargas, F.; Jiménez, A.R.; Paredes-López, O. Natural Pigments: Carotenoids, anthocyanins, and betalains—characteristics, biosynthesis, processing, and stability. Crit. Rev. Food Sci. Nutr. 2000, 40, 173–289. [Google Scholar] [CrossRef]
  3. Basnet, B.B.; Liu, L.; Zhao, W.; Liu, R.; Ma, K.; Bao, L.; Ren, J.; Wei, X.; Yu, H.; Wei, J.; et al. New 1, 2-naphthoquinone-derived pigments from the mycobiont of lichen Trypethelium eluteriae Sprengel. Nat. Prod. Res. 2019, 33, 2044–2050. [Google Scholar] [CrossRef]
  4. Yusuf, M.; Shabbir, M.; Mohammad, F. Natural colorants: Historical, processing and sustainable prospects. Nat. Products Bioprospect. 2017, 7, 123–145. [Google Scholar] [CrossRef]
  5. de Carvalho, J.C.; Soccol, C.R.; Babitha, S.; Pandey, A.; Wojciechowski, L. Production of pigments. In Current Developments in Solid-state Fermentation; Pandey, A., Soccol, C.R., Larroche, C., Eds.; Springer: New York, NY, USA, 2008; pp. 337–355. [Google Scholar] [CrossRef]
  6. Hailei, W.; Ping, L.; Yufeng, L.; Zhifang, R.; Gang, W. Overproduction of a potential red pigment by a specific self-immobilization biomembrane-surface liquid culture of Penicillium novae—zeelandiae. Bioprocess Biosyst. Eng. 2012, 35, 1407–1416. [Google Scholar] [CrossRef]
  7. Dufossé, L.; Fouillaud, M.; Caro, Y.; Mapari, S.A.S.; Sutthiwong, N. Filamentous fungi are large-scale producers of pigments and colorants for the food industry. Curr. Opin. Biotechnol. 2014, 26, 56–61. [Google Scholar] [CrossRef] [PubMed]
  8. Palacio-Barrera, A.M.; Areiza, D.; Zapata, P.; Atehortúa, L.; Correa, C.; Peñuela-Vásquez, M. Induction of pigment production through media composition, abiotic and biotic factors in two filamentous fungi. Biotechnol. Reports 2019, 21, e00308. [Google Scholar] [CrossRef] [PubMed]
  9. Velmurugan, P.; Lee, Y.H.; Venil, C.K.; Lakshmanaperumalsamy, P.; Chae, J.-C.; Oh, B.-T. Effect of light on growth, intracellular and extracellular pigment production by five pigment-producing filamentous fungi in synthetic medium. J. Biosci. Bioeng. 2010, 109, 346–350. [Google Scholar] [CrossRef] [PubMed]
  10. Babitha, S.; Soccol, C.R.; Pandey, A. Solid-state fermentation for the production of Monascus pigments from jackfruit seed. Bioresour. Technol. 2007, 98, 1554–1560. [Google Scholar] [CrossRef]
  11. Malik, K.; Tokkas, J.; Goyal, S. Microbial pigments: A review. Int. J. Microb. Resour. Technol. 2012, 1, 361–365. [Google Scholar]
  12. Nannoni, G.; Alì, A.; Di Pierro, F. Development of a new highly standardized and granulated extract from Monascus purpureus with a high content of monacolin K and KA and free of inactive secondary monacolins and citrinin. Nutrafoods 2015, 14, 197–205. [Google Scholar] [CrossRef]
  13. Méndez, A.; Pérez, C.; Montañéz, J.C.; Martínez, G.; Aguilar, C.N. Red pigment production by Penicillium purpurogenum GH2 is influenced by pH and temperature. J. Zhejiang Univ. Sci. B 2011, 12, 961–968. [Google Scholar] [CrossRef]
  14. Fonseca, C.S.; da Silva, N.R.; Ballesteros, L.F.; Basto, B.; Abrunhosa, L.; Teixeira, J.A.; Silvério, S.C. Penicillium brevicompactum as a novel source of natural pigments with potential for food applications. Food Bioprod. Process. 2022, 132, 188–199. [Google Scholar] [CrossRef]
  15. Barba, F.J. An Integrated Approach for the Valorization of Cheese Whey. Foods 2021, 10, 564. [Google Scholar] [CrossRef] [PubMed]
  16. Pires, A.F.; Marnotes, N.G.; Rubio, O.D.; Garcia, A.C.; Pereira, C.D. Dairy By-Products: A Review on the Valorization of Whey and Second Cheese Whey. Foods 2021, 10, 1067. [Google Scholar] [CrossRef]
  17. Lavelli, V.; Beccalli, M.P. Cheese whey recycling in the perspective of the circular economy: Modeling processes and the supply chain to design the involvement of the small and medium enterprises. Trends Food Sci. Technol. 2022, 126, 86–98. [Google Scholar] [CrossRef]
  18. Li, Z.; Zhang, M.; Jiang, T.; Sheng, B.; Ma, C.; Xu, P.; Gao, C. Enzymatic Cascades for Efficient Biotransformation of Racemic Lactate Derived from Corn Steep Water. ACS Sustain. Chem. Eng. 2017, 5, 3456–3464. [Google Scholar] [CrossRef]
  19. Zhou, K.; Yu, J.; Ma, Y.; Cai, L.; Zheng, L.; Gong, W.; Liu, Q.-A. Corn Steep Liquor: Green Biological Resources for Bioindustry. Appl. Biochem. Biotechnol. 2022, 194, 3280–3295. [Google Scholar] [CrossRef]
  20. Mehri, D.; Perendeci, N.A.; Goksungur, Y. Utilization of Whey for Red Pigment Production by Monascus purpureus in Submerged Fermentation. Fermentation 2021, 7, 75. [Google Scholar] [CrossRef]
  21. Hamano, P.S.; Kilikian, B.V. Production of red pigments by Monascus ruber in culture media containing corn steep liquor. Brazilian J. Chem. Eng. 2006, 23, 443–449. [Google Scholar] [CrossRef]
  22. Da Costa, J.P.V.; De Oliveira, C.F.; Vendruscolo, F. Cheese whey as a potential substrate for Monascus pigments production BB. AIMS Agric. Food 2020, 5, 785–798. [Google Scholar] [CrossRef]
  23. Gudiña, E.J.; Fernandes, E.C.; Rodrigues, A.I.; Teixeira, J.A.; Rodrigues, L.R. Biosurfactant production by Bacillus subtilis using corn steep liquor as culture medium. Front. Microbiol. 2015, 6, 48. [Google Scholar] [CrossRef]
  24. Silvério, S.C.; Moreira, S.; Milagres, A.M.F.; Macedo, E.A.; Teixeira, J.A.; Mussatto, S.I. Laccase production by free and immobilized mycelia of Peniophora cinerea and Trametes versicolor: A comparative study. Bioprocess Biosyst. Eng. 2013, 36, 365–373. [Google Scholar] [CrossRef] [PubMed]
  25. Cardoso, B.B.; Silvério, S.C.; Abrunhosa, L.; Teixeira, J.A.; Rodrigues, L.R. β-galactosidase from Aspergillus lacticoffeatus: A promising biocatalyst for the synthesis of novel prebiotics. Int. J. Food Microbiol. 2017, 257, 67–74. [Google Scholar] [CrossRef] [PubMed]
  26. Ahmad, Z.S.; Munaim, M.S.A. Effect of time, moisture content, and substrate amount on sorbitol production using entrapment of Lactobacillus plantarum (BAA-793) in sodium alginate beads. Food Biosci. 2018, 21, 27–33. [Google Scholar] [CrossRef]
  27. Heo, Y.M.; Kim, K.; Kwon, S.L.; Na, J.; Lee, H.; Jang, S.; Kim, C.H.; Jung, J.; Kim, J.J. Investigation of filamentous fungi producing safe, functional water-soluble pigments. Mycobiology 2018, 46, 269–277. [Google Scholar] [CrossRef] [PubMed]
  28. Srianta, I.; Zubaidah, E.; Estiasih, T.; Yamada, M. Harijono Comparison of Monascus purpureus growth, pigment production and composition on different cereal substrates with solid state fermentation. Biocatal. Agric. Biotechnol. 2016, 7, 181–186. [Google Scholar] [CrossRef]
  29. Kantifedaki, A.; Kachrimanidou, V.; Mallouchos, A.; Papanikolaou, S.; Koutinas, A.A. Orange processing waste valorisation for the production of bio-based pigments using the fungal strains Monascus purpureus and Penicillium purpurogenum. J. Clean. Prod. 2018, 185, 882–890. [Google Scholar] [CrossRef]
  30. Silvério, S.C.; Macedo, E.A.; Teixeira, J.A.; Rodrigues, L.R. New Β-galactosidase producers with potential for prebiotic synthesis. Bioresour. Technol. 2018, 250, 131–139. [Google Scholar] [CrossRef]
  31. Gunasekaran, S.; Poorniammal, R. Optimization of fermentation conditions for red pigment production. Afr. J. Biotechnol. 2008, 7, 1894–1898. [Google Scholar] [CrossRef][Green Version]
  32. Gao, Y.; Yuan, Y.J. Comprehensive quality evaluation of corn steep liquor in 2-keto- l -gulonic acid fermentation. J. Agric. Food Chem. 2011, 59, 9845–9853. [Google Scholar] [CrossRef] [PubMed]
  33. Silbir, S.; Goksungur, Y. Natural Red Pigment Production by Monascus purpureus in Submerged Fermentation Systems Using a Food Industry Waste: Brewer’s Spent Grain. Foods 2019, 8, 161. [Google Scholar] [CrossRef] [PubMed]
  34. Gmoser, R.; Ferreira, J.A.; Lundin, M.; Taherzadeh, M.J.; Lennartsson, P.R. Pigment production by the edible filamentous fungus Neurospora intermedia. Fermentation 2018, 4, 11. [Google Scholar] [CrossRef]
  35. Evans, P.J.; Wang, H.Y. Pigment Production from Immobilized Monascus sp. Utilizing Polymeric Resin Adsorption. Appl. Environ. Microbiol. 1984, 47, 1323–1326. [Google Scholar] [CrossRef]
  36. García-Reyes, M.; Beltrán-Hernández, R.I.; Vázquez-Rodríguez, G.A.; Coronel-Olivares, C.; Medina-Moreno, S.A.; Juárez-Santillán, L.F.; Lucho-Constantino, C.A. Formation, morphology and biotechnological applications of filamentous fungal pellets: A review. Rev. Mex. Ing. Química 2017, 16, 703–720. [Google Scholar]
  37. Domínguez-Espinosa, R.M.; Webb, C. Submerged fermentation in wheat substrates for production of Monascus pigments. World J. Microbiol. Biotechnol. 2003, 19, 329–336. [Google Scholar] [CrossRef]
  38. Morales-Oyervides, L.; Ruiz-Sánchez, J.P.; Oliveira, J.C.; Sousa-Gallagher, M.J.; Méndez-Zavala, A.; Giuffrida, D.; Dufossé, L.; Montañez, J. Biotechnological approaches for the production of natural colorants by Talaromyces/Penicillium: A review. Biotechnol. Adv. 2020, 43, 107601. [Google Scholar] [CrossRef]
  39. Pandey, N.; Jain, R.; Pandey, A.; Tamta, S. Optimisation and characterisation of the orange pigment produced by a cold adapted strain of Penicillium sp. (GBPI_P155) isolated from mountain ecosystem. Mycology 2018, 9, 81–92. [Google Scholar] [CrossRef] [PubMed]
  40. Raimbault, R. General and microbiological aspects of solid substrate fermentation. Electron. J. Biotechnol. 1998, 1, 3–45. [Google Scholar] [CrossRef]
  41. Farinas, C.S. Developments in solid-state fermentation for the production of biomass-degrading enzymes for the bioenergy sector. Renew. Sustain. Energy Rev. 2015, 52, 179–188. [Google Scholar] [CrossRef]
  42. Raghavarao, K.S.M.S.; Ranganathan, T.V.; Karanth, N.G. Some engineering aspects of solid-state fermentation. Biochem. Eng. J. 2003, 13, 127–135. [Google Scholar] [CrossRef]
  43. Tan, J.P.; Jahim, J.M.; Wu, T.Y.; Harun, S.; Mumtaz, T. Use of corn steep liquor as an economical nitrogen source for biosuccinic acid production by Actinobacillus succinogenes. IOP Conf. Ser. Earth Environ. Sci. 2016, 36, 012058. [Google Scholar] [CrossRef]
  44. Magalhães, K.T.; Dragone, G.; De Melo Pereira, G.V.; Oliveira, J.M.; Domingues, L.; Teixeira, J.A.; E Silva, J.B.A.; Schwan, R.F. Comparative study of the biochemical changes and volatile compound formations during the production of novel whey-based kefir beverages and traditional milk kefir. Food Chem. 2011, 126, 249–253. [Google Scholar] [CrossRef]
  45. Fonseca, C.S. Production, Extraction and Characterization of a Natural Fungal Pigment. Master’s Thesis, Universidade do Minho, Braga, Portugal, 2018. [Google Scholar]
  46. Chen, G.; Shi, K.; Song, D.; Quan, L.; Wu, Z. The pigment characteristics and productivity shifting in high cell density culture of Monascus anka mycelia. BMC Biotechnol. 2015, 15, 72. [Google Scholar] [CrossRef]
  47. Moussa, L.A.; Azeiz, A.Z.A. Effect of media composition on citrinin and bio-pigments production by Monascus ruber. J. Appl. Biol. Biotechnol. 2017, 5, 104–109. [Google Scholar] [CrossRef]
  48. Molelekoa, T.B.J.; Regnier, T.; da Silva, L.S.; Augustyn, W. Production of Pigments by Filamentous Fungi Cultured on Agro-Industrial by-Products Using Submerged and Solid-State Fermentation Methods. Fermentation 2021, 7, 295. [Google Scholar] [CrossRef]
  49. Frisvad, J.C.; Andersen, B.; Thrane, U. The use of secondary metabolite profiling in chemotaxonomy of filamentous fungi. Mycol. Res. 2008, 112, 231–240. [Google Scholar] [CrossRef]
  50. Raffa, N.; Keller, N.P. A call to arms: Mustering secondary metabolites for success and survival of an opportunistic pathogen. PLoS Pathog. 2019, 15, e1007606. [Google Scholar] [CrossRef] [PubMed]
  51. Brzonkalik, K.; Hümmer, D.; Syldatk, C.; Neumann, A. Influence of pH and carbon to nitrogen ratio on mycotoxin production by Alternaria alternata in submerged cultivation. AMB Express 2012, 2, 28. [Google Scholar] [CrossRef] [PubMed]
  52. Dufossé, L.; Galaup, P.; Yaron, A.; Arad, S.; Blanc, P.; Murthy, N.; Ravishankar, G. Microorganisms and microalgae as sources of pigments for food use: A scientific oddity or an industrial reality ? Trends Food Sci. Technol. 2005, 16, 389–406. [Google Scholar] [CrossRef]
Figure 1. Relative absorbance (%) obtained from the sum of the absorbance values at the three wavelengths (400, 470, and 500 nm) after 12 days of fermentation under submerged fermentation conditions, using the culture media A, B, C, and D. Values are the mean ± SD (n = 3). Statistical analysis was performed by one-way ANOVA using Tukey’s multiple comparisons test (**** p < 0.0001).
Figure 1. Relative absorbance (%) obtained from the sum of the absorbance values at the three wavelengths (400, 470, and 500 nm) after 12 days of fermentation under submerged fermentation conditions, using the culture media A, B, C, and D. Values are the mean ± SD (n = 3). Statistical analysis was performed by one-way ANOVA using Tukey’s multiple comparisons test (**** p < 0.0001).
Fermentation 08 00536 g001
Figure 2. Color of biomass obtained under submerged fermentation conditions with mycelium immobilization on nylon sponge: (a) culture medium D after 5 days; (b) inert support (12 days) after culture medium filtration.
Figure 2. Color of biomass obtained under submerged fermentation conditions with mycelium immobilization on nylon sponge: (a) culture medium D after 5 days; (b) inert support (12 days) after culture medium filtration.
Fermentation 08 00536 g002
Figure 3. Relative absorbances (%) obtained from the sum of the absorbance values at the three wavelengths (400, 470, and 500 nm) determined for the extracellular medium (EM) and ethanolic extract of the biomass (EE) in each culture media (A–D) under submerged fermentation conditions with immobilized mycelium on an inert support, after 12 days. Values are the mean ± SD (n = 3). Statistical analysis was performed for culture medium samples, ethanolic samples, and between each other by two-way ANOVA (** p < 0.01, *** p < 0.001, **** p < 0.0001 and #### p < 0.0001).
Figure 3. Relative absorbances (%) obtained from the sum of the absorbance values at the three wavelengths (400, 470, and 500 nm) determined for the extracellular medium (EM) and ethanolic extract of the biomass (EE) in each culture media (A–D) under submerged fermentation conditions with immobilized mycelium on an inert support, after 12 days. Values are the mean ± SD (n = 3). Statistical analysis was performed for culture medium samples, ethanolic samples, and between each other by two-way ANOVA (** p < 0.01, *** p < 0.001, **** p < 0.0001 and #### p < 0.0001).
Fermentation 08 00536 g003
Figure 4. Evaluation of moisture content (% w/w) for solid-state fermentation using an inert support, and the culture medium A. Values are the mean ± SD (n = 3). Statistical analysis was performed by one-way ANOVA. Bars with different letters are significantly different (p < 0.05) while the same letter indicates no statistical difference.
Figure 4. Evaluation of moisture content (% w/w) for solid-state fermentation using an inert support, and the culture medium A. Values are the mean ± SD (n = 3). Statistical analysis was performed by one-way ANOVA. Bars with different letters are significantly different (p < 0.05) while the same letter indicates no statistical difference.
Fermentation 08 00536 g004
Figure 5. Relative absorbance (%) obtained from the sum of the absorbance values at the three wavelengths (400, 470, and 500 nm) after 12 days of fermentation under solid-state fermentation using an inert support, and culture media A, B, C, and D. Values are the mean ± SD (n = 3). Statistical analysis was performed by one-way ANOVA (** p < 0.01).
Figure 5. Relative absorbance (%) obtained from the sum of the absorbance values at the three wavelengths (400, 470, and 500 nm) after 12 days of fermentation under solid-state fermentation using an inert support, and culture media A, B, C, and D. Values are the mean ± SD (n = 3). Statistical analysis was performed by one-way ANOVA (** p < 0.01).
Fermentation 08 00536 g005
Figure 6. Values of absolute absorbance obtained from the sum of the absorbances measured at 400, 470, and 500 nm for the best conditions found under the three studied types of fermentation. (SmF) submerged fermentation; (SmFi) submerged fermentation with mycelium immobilization; (SSF) solid-state fermentation; (EM) extracellular medium; (EE) ethanolic extract of the biomass; (A) synthetic medium (dark grey); and (D) alternative medium containing cheese whey and corn steep liquor (grey). Values are the mean ± SD (n = 3). Statistical analysis was performed by one-way ANOVA.
Figure 6. Values of absolute absorbance obtained from the sum of the absorbances measured at 400, 470, and 500 nm for the best conditions found under the three studied types of fermentation. (SmF) submerged fermentation; (SmFi) submerged fermentation with mycelium immobilization; (SSF) solid-state fermentation; (EM) extracellular medium; (EE) ethanolic extract of the biomass; (A) synthetic medium (dark grey); and (D) alternative medium containing cheese whey and corn steep liquor (grey). Values are the mean ± SD (n = 3). Statistical analysis was performed by one-way ANOVA.
Fermentation 08 00536 g006
Figure 7. Silica gel TLC showing the separation of the pigments mixtures obtained from the best conditions selected for the comparative analysis: 1—culture medium A under SmF; 2—culture medium D under SmF; 3—extracellular medium (EM) obtained using culture medium A under SmFi; 4—ethanolic extract (EE) obtained using culture medium A under SmFi; 5—ethanolic extract (EE) obtained using culture medium D under SmFi; and 6—ethanolic extract (EE) obtained using culture medium A under SSF. (a) TLC photographed under visible light; (b) TLC exposed to UV light at 254 nm; and (c) TLC exposed at 366 nm.
Figure 7. Silica gel TLC showing the separation of the pigments mixtures obtained from the best conditions selected for the comparative analysis: 1—culture medium A under SmF; 2—culture medium D under SmF; 3—extracellular medium (EM) obtained using culture medium A under SmFi; 4—ethanolic extract (EE) obtained using culture medium A under SmFi; 5—ethanolic extract (EE) obtained using culture medium D under SmFi; and 6—ethanolic extract (EE) obtained using culture medium A under SSF. (a) TLC photographed under visible light; (b) TLC exposed to UV light at 254 nm; and (c) TLC exposed at 366 nm.
Fermentation 08 00536 g007
Figure 8. Absolute absorbance obtained for (a) free mycelium (SmF) and (b) immobilized mycelium on inert support (SmFi) with culture medium change (Cycles), and without culture medium change (36 days). For culture medium change, the absorbance from the first (black), second (gray), and third (dark gray) cycles of 12 days was represented together with the value obtained for 36-days fermentation (white). The ethanolic extract obtained at the end of 36 days (cycles and extended batch) under SmFi is represented by light gray bars. Values are the mean ± SD (n = 3). Statistical analysis was performed between cycles, and between Cycles and 36 days by one-way ANOVA. (a) *** p < 0.001); (b) bar graphs which have the same letter are significantly equal therefore p is not bellow 0.05. On contrary, different letters are significantly different from each other (p < 0.05).
Figure 8. Absolute absorbance obtained for (a) free mycelium (SmF) and (b) immobilized mycelium on inert support (SmFi) with culture medium change (Cycles), and without culture medium change (36 days). For culture medium change, the absorbance from the first (black), second (gray), and third (dark gray) cycles of 12 days was represented together with the value obtained for 36-days fermentation (white). The ethanolic extract obtained at the end of 36 days (cycles and extended batch) under SmFi is represented by light gray bars. Values are the mean ± SD (n = 3). Statistical analysis was performed between cycles, and between Cycles and 36 days by one-way ANOVA. (a) *** p < 0.001); (b) bar graphs which have the same letter are significantly equal therefore p is not bellow 0.05. On contrary, different letters are significantly different from each other (p < 0.05).
Fermentation 08 00536 g008
Publisher’s Note: MDPI stays neutral with regard to jurisdictional claims in published maps and institutional affiliations.

Share and Cite

MDPI and ACS Style

Basto, B.; da Silva, N.R.; Teixeira, J.A.; Silvério, S.C. Production of Natural Pigments by Penicillium brevicompactum Using Agro-Industrial Byproducts. Fermentation 2022, 8, 536. https://doi.org/10.3390/fermentation8100536

AMA Style

Basto B, da Silva NR, Teixeira JA, Silvério SC. Production of Natural Pigments by Penicillium brevicompactum Using Agro-Industrial Byproducts. Fermentation. 2022; 8(10):536. https://doi.org/10.3390/fermentation8100536

Chicago/Turabian Style

Basto, Bruna, Nuno R. da Silva, José A. Teixeira, and Sara C. Silvério. 2022. "Production of Natural Pigments by Penicillium brevicompactum Using Agro-Industrial Byproducts" Fermentation 8, no. 10: 536. https://doi.org/10.3390/fermentation8100536

APA Style

Basto, B., da Silva, N. R., Teixeira, J. A., & Silvério, S. C. (2022). Production of Natural Pigments by Penicillium brevicompactum Using Agro-Industrial Byproducts. Fermentation, 8(10), 536. https://doi.org/10.3390/fermentation8100536

Note that from the first issue of 2016, this journal uses article numbers instead of page numbers. See further details here.

Article Metrics

Back to TopTop