Next Article in Journal
Production of a Biosurfactant for Application in the Cosmetics Industry
Next Article in Special Issue
Meta-Analysis of Incorporating Camelina and Its By-Products into Ruminant Diets and Their Effects on Ruminal Fermentation, Methane Emissions, Milk Yield and Composition, and Metabolic Profile
Previous Article in Journal
Impact of Selected Starter-Based Sourdough Types on Fermentation Performance and Bio-Preservation of Bread
Previous Article in Special Issue
Effects of Gamma Irradiation Pretreatment and Exogenous Fibrolytic Enzyme Supplementation on the Ruminal Fermentation and Nutritional Value of Typha latifolia
 
 
Font Type:
Arial Georgia Verdana
Font Size:
Aa Aa Aa
Line Spacing:
Column Width:
Background:
Article

Impact of Heat Stress on Rumen Fermentation Patterns and Microbiota Diversity and Its Association with Thermotolerance in Indigenous Goats

by
Mullakkalparambil Velayudhan Silpa
1,2,
Veerasamy Sejian
1,*,
Chinnasamy Devaraj
1,
Artabandhu Sahoo
1 and
Raghavendra Bhatta
1
1
Centre for Climate Resilient Animal Adaptation Studies, ICAR-National Institute of Animal Nutrition and Physiology, Adugodi, Bangalore 560030, India
2
Centre for Translational Research, Rajiv Gandhi Institute of Veterinary Education and Research, Kurumbapet 605009, India
*
Author to whom correspondence should be addressed.
Fermentation 2025, 11(8), 450; https://doi.org/10.3390/fermentation11080450
Submission received: 5 June 2025 / Revised: 30 July 2025 / Accepted: 31 July 2025 / Published: 1 August 2025
(This article belongs to the Special Issue Research Progress of Rumen Fermentation)

Abstract

Goats are considered to be the ideal climate-resilient animal species in the tropics. Fewer studies are documented assessing the heat stress response of caprine ruminal microbiota, which can also be a crucial indicator of the resilience and/or adaptability of animals. This study was conducted to comparatively assess the heat stress responses of two indigenous goat breeds, Nandidurga and Bidri, based on changes associated with the rumen fermentation pattern and distribution pattern of rumen microbiota. A total of 24 adult animals were randomly allocated into four groups of six animals each, NC (n = 6; Nandidurga control), NHS (n = 6; Nandidurga heat stress), BC (n = 6; Bidri control) and BHS (n = 6; Bidri heat stress). The animals were reared in climate chambers for a duration of 45 days wherein the NC and BC animals were maintained under thermoneutral temperature while the NHS and BHS animals were subjected to simulated heat stress. Heat stress was observed to significantly reduce the rumen ammonia, extracellular CMCase, intracellular carboxy methyl cellulase (CMCase) and total CMCase both in Nandidurga and Bidri goats. In addition to this, a significant reduction in acetate, propionate and total volatile fatty acids (VFAs) was observed in Nandidurga goats. The V3–V4 16s rRNA sequencing further revealed a significant alteration in the rumen microbiota in heat-stressed Nandidurga and Bidri goats. While both the breeds exhibited nearly similar responses in the rumen microbial abundance levels due to heat stress, breed-specific differences were also observed. Furthermore, the LEFSe analysis revealed a significant alteration in the abundances of microbes at the genus level, which were observed to be relatively greater in Bidri goats than Nandidurga goats. Furthermore, these alterations were predicted to impair the functional pathways, especially pathways associated with metabolism. This study therefore provided an insight into the rumen microbial dynamics in heat-stressed goats. Though both the breeds exhibited excellent resilience to the subjected heat stress, there were relatively less ruminal alterations in Nandidurga goats than in Bidri goats.

1. Introduction

Changes in climate and climate variability will affect livestock production systems in all parts of the world, and will inevitably impact the 1.3 billion people in poverty whose livelihoods are wholly or partially dependent on livestock [1]. Therefore, livestock keepers will have to mitigate emissions as well as adapt to the changing climate. The immediate need for livestock researchers aiming to counter climate change’s impact on livestock production is to understand the biology of climate change impact response components in depth and to study measures of animal well-being, giving a basis for predicting when an animal is under stress or distress and in need of attention [2].
The future research needs for ameliorating heat stress in livestock are to identify strategies for developing and monitoring appropriate measures of heat stress; assess genetic components, including genomics and proteomics of heat stress in livestock; and develop alternative management practices to reduce heat stress and improve animal well-being and performance [3]. Since climate change could result in an increase in heat stress, all methods to help animals cope with, or, at least, alleviate the impacts of heat stress could be useful to mitigate the impacts of global change on animal responses and performance [4].
A recent literature survey clearly projects goats as being the ideal climate-resilient species [5]. In the current climate change scenario, it is very essential to identify potential indigenous breeds which have the ability to survive in multiple environmental locations. Such an approach could help farming communities to capitalize on the most suited breeds to ensure their livelihood security [6]. Further, assessing the adaptive capability based on rumen fermentation pattern and metagenomics analysis is a novel approach in elucidating the molecular mechanisms governing livestock adaptation [7,8].
Heat stress can either directly or indirectly affect the health and welfare of animals by impairing the rumen functions and intestinal mechanisms, resulting in reduced feed utilization [9]. Thus, regulating rumen microbial fermentation is essential for the use of nutrients and additives to alleviate the negative effects of heat stress. Heat stress influences the rumen microbiome in ruminant animals [9,10]. The literature suggests that the energy supply deficiency during heat stress exposure can be reverted by manipulating the rumen bacteria [10]. Similarly the rumen microbiota was also found to be altered at high altitude and this alteration was found to potentially aid adaptation to the harsh climate conditions on the plateau [11]. Further, heat stress was found to have an effect on the microbiota and alter the concentration of some fatty acids in the rumen of cattle [12]. Further, there are also reports reflecting a significant role of the rumen microbiome in inducing adaptive potential in heat-stressed animals [13,14].
Based on this background, a study was conducted to comparatively assess the adaptive capabilities of the indigenous Nandidurga and Bidri goat breeds. The primary objective of this study was to comparatively assess the resilience/adaptive capabilities of these two breeds based on changes associated with rumen fermentation pattern and the distribution pattern of the rumen microbiota. Such comparisons can aid in identifying the better-suited breed.

2. Materials and Methods

2.1. Study Location

This experiment was carried out at the experimental livestock farm of the National Institute of Animal Nutrition and Physiology, Bengaluru, India, on the southern Deccan plateau of the country, located at latitude 77°36′25.3″ E and longitude 12°57′04.3″ N, and at an altitude of 920 m above the mean sea level. The mean annual ambient temperature and relative humidity (RH) range from 15 to 36 °C and 20 to 85 percent, respectively. The experiment was conducted from May to July. The annual minimum and maximum temperature range between 15 and 22 °C and 27–34 °C, respectively. The annual RH variations during the study period ranged between 28 and 59 percent under the hot semi-arid environment.

2.2. Animals and Technical Design

Two different indigenous goat breeds of Karnataka in southern peninsular India, Nandidurga and Bidri, were used in this experiment. Both breeds belong to meat-type goats and are well known for their adaptive capabilities to the tropical climate. This study was conducted for a period of 45 days wherein 24 female goats of one year of age (12 Nandidurga breed and 12 Bidri breed) were used. This study was conducted after obtaining approval from the committee for the purpose of control and supervision of experiments on animals (CPCSEA), Ministry of Environment, Forest and Climate Change, Government of India, [Refernce: F.No.25/4/2019-CPCSEA dated 20 March 2019].
The animals were randomly allocated into four groups of six animals each, NC (n = 6; Nandidurga control), NHS (n = 6; Nandidurga heat stress), BC (n = 6; Bidri control) and BHS (n = 6; Bidri heat stress). The animals were stall-fed with a diet consisting of 60% roughage (Hybrid Napier) and 40% concentrate on the basis of a 3% body weight on a dry matter basis (Supplementary Table S1). The NC and BC animals were maintained in the thermoneutral condition in the climatic chamber while the NHS and BHS animals were exposed to heat stress between 10:00 h to 16:00 h in the climate chamber during the experimental period. All group animals were fed and watered individually inside the climate chamber. All the cardinal weather parameters were recorded twice daily both inside and outside the climate chambers. After 16:00 h both the control and heating chambers were turned off and run again the next day before 10:00 h.
The weather variables, dry bulb temperature and wet bulb temperature, ambient temperature and relative humidity were recorded using dry bulb and wet bulb thermometers and a thermo-hygrometer, respectively. The weather variables were recorded twice daily (8:00 h and 14:00 h) during the entire duration of the study.
The McDowell [15] equation was followed to calculate the temperature humidity index (THI), as given below:
T H I   =   0.72   T d b   +   T w b + 40.6
where Tdb = dry bulb temperature and Twb = wet bulb temperature

2.3. Climate Chamber Details

In order to conduct an environmental-stress-related study effectively, two climate chambers (thermal comfort chamber and heating climate chamber) are designed with a programmable thermostat, which can stabilize the required temperature and humidity within both chambers. Since it is well established that at the temperature range of 20–28 °C, small ruminant species remain thermally comfortable [16], the thermal comfort chamber was maintained at 24 °C throughout the period. The simulation was carried out for six hours a day from 10:00 h to 16:00 h for the NC and BC groups of goats. Similarly, heat stress was induced to the NHS and BHS goats in the heating climate chamber. In the heating chamber, the temperature and relative humidity were gradually altered based on the simulated heat stress model. This depicted model was designed using baseline meteorological data of environmental temperature and relative humidity for every hour in the summer season. This model was exclusively designed to mimic the external heat stress conditions, especially at the time of grazing for a span of six hours (10.00 h to 16.00 h). Moreover, this model also eliminated the constant heat stress on animals, which is usually adopted on most of the heat stress associated studies. Thus, the weather variables are controlled for an experimental period of 10.00 h to 16.00 h in both the chambers to mimic the external environment’s comfort and the heat stress conditions in the climate chambers. In the heating chamber, the temperature and RH were 36 °C and 49% RH at 10:00 h; 37.5 °C and 44% RH at 11:00 h; 38.5 °C and 41% RH at 12:00 h; 38.8 °C and 40% RH at 13:00 h; 40.0 °C and 39% RH at 14:00 h; 38.3 °C and 42% RH at 15:00 h and 37.0°C and 45% RH at 16:00 h. Therefore, from an animal welfare perspective, the stimulated heat stress model was considered to be more practical and less stressful than traditional constant heat stress models.

2.4. Rumen Enzyme Assay

An aliquot (10 mL) of rumen fluid was centrifuged at 14,000× g for 20 min at 4 °C to obtain the supernatant for extracellular (EC) enzyme activity and pellet for intracellular (IC) enzyme activity. The crude enzyme solutions from the supernatants and pellets were extracted following the procedure described previously [7]. The activities of carboxy methyl cellulase (CMCase) and αamylase were assayed by using dinitrosalicylic acid (DNS) [17]. The assay mixture contained 1 mL phosphate buffer, 0.5 mL of sample (both EC and IC enzyme fractions) and 0.5 mL of carboxy methyl cellulose solution (10 g/L) with an incubation time of 1 h at 39 °C for the estimation of carboxy methyl cellulose activity and 0.5 mL phosphate buffer, 0.25 mL starch solution (10 g/L) and 0.25 mL sample with an incubation time of 30 min at 39 °C for the estimation of αamylase. The amount of reducing sugar (glucose) released was measured colorimetrically [7] using three replicates per sample. The enzyme activities were expressed as μmol of reducing sugars released per hour per mL under the assay conditions.

2.5. Volatile Fatty Acids

The rumen liquor collected was processed for VFA analysis as per the protocol by Chaidanya et al. [7]. The total and individual VFA content in the rumen fluid samples were determined using gas chromatography (GC) (Agilent; Model 7890A GC System, Shanghai, China) equipped with a flame ionization detector (FID), programmable temperature vaporizer injector and capillary column (Agilent J&W DB-WAX GC Column; length 40 m; internal diameter 0.18 mm; film 0.18 µm). The analytical conditions for the fractionation of VFAs were an injection port temperature of 250 °C and a column temperature step up from 60 to 200 °C in 7 min with a hold time of 10 min and a detector temperature maintained at 300 °C with GC grade air; hydrogen and nitrogen were used as carrier gases with a flow rate of 1.0 mL/min. The samples were injected by an automatic injector at an injection volume of 1 μL using the split method and a 30:1 splitting ratio. Standard solutions of an appropriate concentration (mmol/L) were prepared from the individual substances, namely acetic acid, propionic acid, iso-butyric acid, butyric acid, iso valeric acid and valeric acid of analytical purity (Sigma-Aldrich, St. Louis, MO, USA) and the individual volatile fatty acids in the rumen liquor sample were identified based on the retention time of the standard. The concentrations of the individual VFAs in the rumen liquor samples were determined by recording the area of both the VFA mixed standards as well as the sample and expressed as mmol/L.

2.6. Rumen Metagenomics: 16S V3–V4 rRNA Sequencing

On the last day of the experimental study, rumen liquor was collected from a total of 16 goats (4 from each group) using a stomach tube connected to the handheld pump. The collected samples were processed for DNA extraction and the further V3–V4 16s rRNA sequencing pipeline at M/s Clevergene, Bangalore. From the collected rumen liquor, 250 μL was taken for DNA extraction, which was performed using the DNeasy PowerSoil Kit (Qiagen) following the manufacturer’s protocol. The extracted DNA were then checked for their quality and quantity using NanoDrop™ 2000 Spectrophotometer (ThermoScientific, Waltham, MA, USA). The samples were then subjected to library preparation wherein the V3&V4 hyper variable regions of the 16S gene were amplified using KAPA HiFi HotStart ReadyMix PCR Kit (KAPA BIOSYSTEMS, Wilmington, MA, USA). The amplified products were processed in the several stages of cleanup, elution, barcoding, purification and final library elution. The synthesized libraries were quantified in a Qubit.3 Fluorometer (Life technologies, Carlsbad, CA, USA) and QC checked using Agilent D5000 ScreenTape System. The QC-passed libraries were finally subjected to next-generation sequencing in the Illumina MiSeq. The sequence data generated using Illumina MiSeq were quality-checked using FastQC (Version 0.11.9) and MultiQC (Version 1.6) software. Trimgalore software (Version 0.6.5) was used to trim the reads to remove the degenerate primers, adapter sequences and low-quality bases. The QC-passed reads were imported into mothur and the pairs were aligned with each other to form contigs. The contigs were also screened for several criteria to eliminate all errors. Further, by using UCHIME software (v11), the gaps and the overhang at the ends from the contigs and chimera were removed. The filtered contigs were processed and classified into taxonomical outlines based on the GREENGENES v.13.8-99 database. The contigs were then clustered into OTUs (Operational Taxonomic Units). After the classification, OTU abundance was estimated. PICRUSt was used to predict gene family abundance. PICRUSt (version 1) program was designed to estimate the gene families contributing to a metagenome by bacteria or archaea identified using 16S rRNA sequencing. OTU contributions for the particular functions were estimated by metagenome_contributions.py script. LDA Effect Size (LefSe) was performed to compare the control and test groups. The number of discriminative features with an absolute LDA score > 2.0 was considered statistically significant.

2.7. Statistical Analysis

The data on the rumen enzyme assay and fermentation were analyzed by using SAS University Edition (SAS/STAT®, 3.82 (Enterprise Edition) SAS Institute Inc., Cary, NC, USA), applying the MIXED procedure to infer fixed, interaction, random and repeated measurement effects by using mixed model equations. The below was the adopted statistical model:
Yijklmn = µ + Bi + Tj + Dk + B × T × Dl + Am + eijklmn
where Yijklmn was the observation for the rumen enzyme assay and fermentation variables from the ijklmnopth goat; µ denotes the overall mean effect; Bi denotes the fixed effect for the ith breed (i = Nandidurga, Bidri); Tj denotes the fixed effect for the jth treatment (j = thermoneutral, heat stress); Dk denotes the fixed effect for the kth day (k = day0, day15, day30 and day45); B × T × Dl was the lth interaction between breed, treatment and diet; Am denotes the random animal effect for the mth animal and eijklmn denotes the random residual effect. The least square means were estimated for all the fixed and interaction effects and the means were compared based on the Tukey post hoc analysis.

3. Results

3.1. Temperature Humidity Index

The average temperature humidity index (THI) values obtained in the morning were comparable for both the control/thermoneutral zone (TNZ) (70.92 ± 0.09) and heating (70.10 ± 0.09) chambers. A highly significant (p < 0.01) difference in the mean afternoon THI values of 71.85 ± 0.08 and 95.62 ± 0.09 was observed for the TNZ and heating chambers, respectively. The THIs in the TNZ and heating climate chambers were described in Figure 1.

3.2. Rumen Liquor Variables

3.2.1. Rumen Ammoniacal Nitrogen and pH

The rumen ammoniacal nitrogen and pH concentrations across the experimental groups and the influence of the factors of breed, treatment, day and their interactions during the study period are described in Table 1. The treatment factor did not influence the rumen ammoniacal nitrogen and pH during the recorded days. The rumen ammoniacal nitrogen and pH remained comparable between the control and heat stress groups of both breeds throughout the study. However, the experimental days significantly influenced rumen ammoniacal nitrogen (p < 0.01) and rumen liquor pH (p < 0.05). Further, the breed and B × T × D interaction factors did not influence the rumen ammoniacal nitrogen and pH. Further, THI did not have any correlation with rumen ammoniacal nitrogen and pH concentration (Supplementary Table S2).

3.2.2. Acetate, Propionate, Butyrate, Isobutyrate, Valerate, Isovalerate and Total VFAs

The acetate, propionate, butyrate, isobutyrate, valerate, isovalerate and total VFA concentrations in the rumen liquor across the experimental groups, and the influence of the factors of breed, treatment, day and their interactions during the study period, are described in Table 1. The treatment factor significantly influenced the acetate and propionate concentration in the rumen liquor during the recording days with a significantly (p < 0.05) reduced acetate concentration only recorded in the NHS as compared to the NC group. However, the levels of the acetate and propionate concentrations in the rumen liquor were comparable between the BC and BHS groups. The treatment factor also significantly (p < 0.05) influenced the isobutyrate concentration and total VFA concentration. Contrastingly, the treatment factor did not influence the butyrate, valerate and isovalerate concentration during the recording days and remained comparable between the control and heat stress groups of both the breeds throughout the study.
Further, both the breed (p < 0.05) and experimental days (p < 0.01) significantly influenced the acetate, valerate, isovalerate and total VFA concentration in the rumen liquor, while only the experimental days (p < 0.01) significantly influenced the propionate, butyrate and isobutyrate concentration in the rumen liquor. Furthermore, the B × T × D interaction did not influence acetate, propionate and valerate concentration, while both the breed and the B × T × D interaction factor did not influence the rumen liquor propionate concentration in the rumen liquor during the study period. In contrast, both the breed and the B × T × D interaction (p < 0.01) factor significantly influenced rumen liquor isovalerate and total VFA concentrations. Further, the B × T × D interaction (p < 0.01) factor significantly influenced the butyrate and isobutyrate concentration in the rumen liquor. Further, THI had a negative correlation with the acetate (p < 0.05), propionate (p < 0.01) and total VFA (p < 0.05) concentration (Supplementary Table S2). However, THI did not have any correlation with butyrate, isobutyrate, valerate and isovalerate concentration.

3.2.3. Extracellular CMCase

The extracellular CMCase activity in the rumen liquor across the experimental groups and the influence of the factors of breed, treatment, day and their interactions during the study period are described in Table 1. The treatment factor significantly influenced the extracellular CMCase activity in the rumen liquor during the recording days with significantly (p < 0.01) reduced extracellular CMCase activity recorded both in the NHS and BHS groups as compared to the NC and BC groups, respectively. Further, the experimental days (p < 0.01) significantly influenced the extracellular CMCase activity in the rumen liquor. However, the breed factor did not influence extracellular CMCase activity in the rumen liquor. Further, B × T × D interaction (p < 0.05) significantly influenced the extracellular CMCase activity in the rumen liquor during the study period. Further, THI had a strong (p < 0.01) negative correlation with extracellular CMCase activity (Supplementary Table S2).

3.2.4. Intracellular CMCase

The intracellular CMCase activity in the rumen liquor across the experimental groups and the influence of the factors of breed, treatment, day and their interactions during the study period are described in Table 1. The treatment factor significantly influenced the intracellular CMCase activity in the rumen liquor during the recording days, with significantly (p < 0.01) reduced intracellular CMCase activity recorded both in the NHS and BHS groups as compared to the NC and BC groups, respectively. Further, the experimental days (p < 0.01) significantly influenced the intracellular CMCase activity in the rumen liquor. However, the breed factor did not influence intracellular CMCase activity in the rumen liquor. Further, the B × T × D interaction (p < 0.05) significantly influenced the intracellular CMCase activity in the rumen liquor during the study period. Further, THI had a strong (p < 0.01) negative correlation with intracellular CMCase activity (Supplementary Table S2).

3.2.5. Total CMCase

The total CMCase activity in the rumen liquor across the experimental groups and the influence of the factors of breed, treatment, day and their interactions during the study period are described in Table 1. The treatment factor significantly influenced the total CMCase activity in the rumen liquor during the recording days, with significantly (p < 0.01) reduced total CMCase activity recorded both in the NHS and BHS groups as compared to the NC and BC groups, respectively. Further, the experimental days (p < 0.01) significantly influenced the total CMCase activity in the rumen liquor. However, the breed factor did not influence total CMCase activity in the rumen liquor. Further, the B × T × D interaction (p < 0.01) significantly influenced the total CMCase activity in the rumen liquor during the study period. Further, THI had a strong (p < 0.01) negative correlation with total CMCase activity (Supplementary Table S2).

3.2.6. Extracellular Amylase

The extracellular amylase activity in the rumen liquor across the experimental groups and the influence of the factors of breed, treatment, day and their interactions during the study period are described in Table 1. The treatment factor significantly (p < 0.05) influenced rumen liquor extracellular amylase activity during the recording days. The extracellular amylase activity remained comparable between the control and heat stress groups of both the breeds throughout the study. However, the experimental days significantly (p < 0.05) influenced the rumen liquor extracellular amylase activity. Further, the breed and B × T × D interaction factors did not influence the rumen liquor extracellular amylase activity. Further, THI had a (p < 0.05) negative correlation with extracellular amylase activity (Supplementary Table S2).

3.2.7. Intracellular Amylase

The intracellular amylase activity in the rumen liquor across the experimental groups and the influence of the factors of breed, treatment, day and their interactions during the study period are described in Table 1. The treatment factor significantly (p < 0.05) influenced rumen liquor intracellular amylase activity during the recording days. The intracellular amylase activity remained comparable between the control and heat stress groups of both breeds throughout the study. However, the experimental days significantly (p < 0.05) influenced rumen liquor intracellular amylase activity. Further, the breed and B × T × D interaction factors did not influence the rumen liquor intracellular amylase activity. Further, THI had a (p < 0.05) negative correlation with intracellular amylase activity (Supplementary Table S2).

3.2.8. Total Amylase

The total amylase activity in the rumen liquor across the experimental groups and the influence of the factors of breed, treatment, day and their interactions during the study period are described in Table 1. The treatment factor significantly (p < 0.05) influenced rumen liquor total amylase activity during the recording days. The total amylase activity remained comparable between the control and heat stress groups of both breeds throughout the study. However, the experimental days significantly (p < 0.01) influenced rumen liquor total amylase activity. Further, the breed and B × T × D interaction factors did not influence the rumen liquor total amylase activity. Further, THI had a (p < 0.05) negative correlation with total amylase activity (Supplementary Table S2).

3.3. Sequencing of 16s V3–V4 rRNA Gene of Caprine Rumen Microbiota

3.3.1. Sequence Acquisitions and Rumen Microbial Diversity

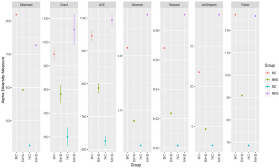
Sequencing the 16s V3–V4 rRNA gene of caprine rumen microbiota generated a total of 6,231,108 high-quality sequences with an average of 389,444.3 reads per sample. Supplementary Figure S1 depicts the rarefaction curves that were estimated for each sample to determine whether sequencing coverage was adequate to reveal the bacterial diversity. The Alpha diversity index, which is a measurement of the richness and relative abundance of bacteria within the sample, was estimated and represented using a number of indices (Figure 2). The Alpha diversity indices Chao1 and ACE, which represent the richness of the sample, had lower values for BHS when compared to its respective control group, BC, while the same was true for NHS, which was comparatively higher than NC. Furthermore, the Shannon, Simpson, InvSimpson and Fisher indices, representing both richness and relative abundance, were also estimated. A similar trend was also observed for these indices, wherein BHS had relatively lower values when compared to BC, while the indices for NHS were greater when compared to NC. Lower Chao1 and ACE values could be indicative of the reduction of certain microbes. This, accompanied with the reduced Shannon, Simpson, InvSimpson and Fisher indices, would together indicate that heat stress resulted in a reduction in rumen microbial diversity, both in terms of abundance and diversity, in Bidri goats. However, the Alpha indices in Nandidurga goats showed that heat stress stimulated the microbiome both in terms of evenness and richness when compared to its control. Therefore, heat stress significantly altered the rumen microbial diversity in Bidri and Nandidurga goats. Likewise, Supplementary Figure S2 depicts the principal coordinate analysis (PCoA) for the four treatment groups.

3.3.2. Rumen Microbial Composition of Control and Heat-Stressed Goats Based on 16s rRNA Gene Sequencing

As a first-time attempt, the rumen microbial diversity of Bidri and Nandidurga goats were evaluated upon heat stress challenge. Taxonomic analysis revealed the presence of a total of 40 microbial phyla in the rumen liquor samples, with the most abundant phyla belonging to Firmicutes, Bacteroidetes, Proteobacteria, Actinobacteria, TM7, Euryarchaeota, Planctomycetes, Verrucomicrobia, Chloroflexi and Fusobacteria. The rumen microbial composition of both breeds, Nandidurga and Bidri, were observed to be evidently altered as a consequence of heat stress (Figure 3). However, the alteration in the relative microbial abundances varied for both of the breeds. The relative abundances of Firmicutes, Bacteroidetes, TM7 and Verrucomicrobia reduced drastically in NHS (35.61%, 26.89%, 4.01% and 3.44%, respectively) when compared to its control NC (49.99%, 30.17%, 9.54% and 4.05%, respectively), while an evident increase in relative abundances of the ruminal microbial phyla Proteobacteria (2.11% in NC to 10.47% in NHS), Actinobacteria (1.20% to 7.96%), Euryarchaeota (1.60% to 2.64%), Planctomycetes (0.86% to 4.20%), Chloroflexi (0.46% to 2.32%) and Fusobacteria (0.03% to 2.45%) were observed in NHS when compared to NC. Likewise, the rumen microbiota depicted an evident variation at the phylum level for Bidri goats due to heat stress. While only a part of the rumen microbial phyla in Bidri goats were observed to exhibit a similar alteration pattern like that of Nandidurga goats, a majority of them were found to have a contrasting alteration pattern. Similarly to that of NHS, Firmicutes and TM7 exhibited reduced relative abundances in BHS (37.48% and 2.06%, respectively) when compared to BC (39.03% and 3.53%, respectively), and that of Euryarchaeota depicted an increased abundance in BHS (5.33%) in comparison to BC (2.61%). It was interesting to observe that the phylum Bacteroidetes, which had a drastically reduced relative abundance in NHS when compared to NC, exhibited an evidently increased abundance in BHS (45.59%) when compared to BC (30.95%). Likewise, the phyla Proteobacteria, Actinobacteria, Chloroflexi and Fusobacteria were found to have notably reduced abundances in BHS (2.44%, 1.86%, 0.50% and 0.42%, respectively) when compared to BC (8.84%, 7.00%, 2.07% and 1.88%, respectively). It may be noted that the relative abundances of the previously mentioned phyla were drastically increased in NHS when compared to NC. Further, the relative abundances of the phyla Planctomycetes and Verrucomicrobia remained nearly unaffected due to heat stress in Bidri goats. Therefore, the ruminal microbiota of both breeds, Nandidurga and Bidri, were found to exhibit different responses to heat stress. Additionally, the Firmicutes-to-Bacteroidetes ratio for the four groups were estimated to be 1.66, 1.32, 1.26 and 0.82 for NC, NHS, BC and BHS, respectively. This thereby reflects the better efficiency of Bidri goats to digest lignocellulose efficiently under heat stress.
Among the 397 identified microbial genera, Prevotella, Ruminococcus, Methanobrevibacter, Succiniclasticum, CF231, RFN20, Cetobacterium, Oscillospira, Treponema and Staphylococcus were the top 10 most abundant genera identified in the rumen microbiome of indigenous goats. Figure 4 depicts the top 10 relatively abundant rumen microbial genera between the four groups: NC, NHS, BC and BHS. Similarly to the phylum abundance, the relative abundances of microbial genera varied both at the treatment level and at the breed level. In an overview, the genera that exhibited a similar alteration trend in both breeds due to heat stress were Prevotella, Ruminococcus, Methanobrevibacter and Succiniclasticum. The relative abundances of Ruminococcus evidently declined in both NHS (20.78%) and BHS (14.33%) when compared to their respective controls NC (53.75%) and BC (27.54%), while those of Prevotella, Methanobrevibacter and Succiniclasticum showed a notable increase in both the NHS (45.50%, 7.41% and 2.74%, respectively) and BHS (55.21%, 14.30% and 4.96%, respectively) groups when compared to their respective controls NC (34.40%, 3.85% and 1.22%, respectively) and BC (45.99%, 7.14% and 3.12%, respectively). Heat stress was found to increase the relative abundances of the genera CF231 (1.35% in NC to 4.18%), RFN20 (0.23% to 1.99%) and Cetobacterium (0.00% to 6.95%) in NHS in comparison to NC. However, in contrast to Nandidurga, the relative abundances of RFN20 and Cetobacterium were observed to be lower in BHS (2.70% and 0.52%, respectively) than BC (3.55% and 3.82%, respectively), while those of CF231 remained nearly unaffected. Similarly, the relative abundance of Staphylococcus was evidently reduced in BHS, when compared to BC, from 2.12% to 0.49%, while it was highly increased in NHS (6.29%) in comparison to NC (0.16%). The genus Oscillospira was found to have a mildly reduced relative abundance in Nandidurga goats due to heat stress (4.29% in NC to 3.21% in NHS), while it was nearly unaltered in Bidri goats. In contrast to this, the genera Treponema had a relatively increased abundance in Bidri goats during heat stress (1.61% in BC to 2.78% in BHS), while its relative abundance was not affected in Nandidurga goats. Therefore, heat stress was observed to alter the relative abundances of several ruminal microbes at the genus level.
Further, the taxonomic analysis identified nearly 279 microbial species in the caprine rumen microbiota and their relative abundances were assessed. Prevotella ruminicola, Cetobacterium somerae, Ruminococcus albus, Paracoccus aminovorans, Lactobacillus iners, Propionibacterium acnes, Ruminococcus flavefaciens, Oscillospira guilliermondii, Atopobium vaginae and Clostridium colicanis were among the top 10 most abundant species identified in caprine ruminal fluid. A drastic alteration of the rumen microbial abundance due to heat stress was observed at the species level for both the breeds and it was interesting to note that at the species level, both the breeds responded in an exactly reverse manner. The relative abundances of all the rumen microbial species that were either increased or decreased as a consequence of heat stress in one breed compared to its control showed the opposite trend, that is, a reduction or increase, in the other breed. Figure 5 depicts the relative abundances of the ruminal microbiomes at the species level among the four groups: NC, NHS, BC and BHS. The rumen microbial genera P. ruminicola, R. albus, R. flavefaciens and O. guilliermondii were observed to have a notably reduced relative abundance in Nandidurga goats as a consequence of heat stress (40.93% in NC to 22.68% in NHS, 29.05% to 12.97%, 9.21% to 4.48% and 19.97% to 0.06%, respectively). Additionally, the relative abundances of the other microbes were evidently increased in NHS when compared to NC, namely, C. somerae (0.00% in NC to 30.33% in NHS), P. aminovorans (0.14% to 1.52%), L. iners (0.00% to 5.75%), P. acnes (0.70% to 8.19%), A. vaginae (0.00% to 7.10%) and C. colicanis (0.00% to 6.92%). An almost opposite trend was observed in Bidri goats wherein the relative abundances of P. ruminicola and R. albus were drastically increased in BHS (77.46% and 8.78%, respectively) when compared to BC (26.00% and 4.25%, respectively). Likewise, a drastic reduction in the relative abundances of the caprine ruminal microbes C. somerae (24.39% in BC to 4.73% in BHS), P. aminovorans (22.55% to 0.15%), L. iners (6.44% to 3.22%), P. acnes (5.78% to 1.27%), A. vaginae (3.72% to 0.87%) and C. colicanis (3.01% to 1.27%) were observed in Bidri goats as a consequence of heat stress. While analyzing the rumen microbial profile at various taxonomical levels in the two caprine breeds in response to heat stress, it was noteworthy to observe the variation in the relative abundance profile in the rumen microbione, exhibited by the two goat breeds in response to heat stress which could reflect their adaptive mechanism.
Additionally, the heat maps representing the microbiota at the phylum, genus and species level for the four groups also depict distinctive variation and clustering (Supplementary Figures S3–S5, respectively). Heat stress could be found to have an influence in altering the rumen microbial composition in goats. The variation in the rumen microbiota among the control groups of the two breeds could be attributed to the genetic differences prevailing in these breeds. However, the variations between and among the treatment groups highlight the impact of heat stress.
Being a first-time report, an additional analysis of the relative abundances among the taxonomically classified microbes was performed to determine the singular effect of heat stress in the rumen microbiome of Nandidurga and Bidri goats by Linear Discriminant Analysis Effect Size (LEfSe). Upon comparing the NC and NHS groups (Figure 6), a total of 22 rumen microbial genera were observed to significantly distinguish the two groups, while for the Bidri goats, 44 genera were identified to distinguish the control and heat stress groups (Figure 6).

3.3.3. Common and Unique Taxa at the Microbial Phyla, Genera and Species Levels Among Nandidurga and Bidri Goat Breeds Under Control and Heat-Stress Conditions

The Venn diagram depicting the unique and common taxa among the four groups, NC, NHS, BC and BHS, are depicted in Supplementary Figure S6. At the phylum level, a total of 28 rumen microbial phyla were found to be common among all the four groups, while the unique phyla in each of the groups, NC, NHS, BC and BHS, were 3, 2, 1 and 1, respectively (Supplementary Figure S6). Similarly, 116 microbial genera were found to be common to the rumen microbiomes of the NC, NHS, BC and BHS groups, while those unique to each group were 18, 52, 82 and 18, respectively (Supplementary Figure S6). Additionally, two microbial genera were observed to be common between the NC and NHS groups, while between the BC and BHS groups, there were 27. Finally, at the species level, 39 microbial species were found to be common among all four experimental groups, while 19, 45, 98 and 33 microbial species were found to be unique to the rumen microbiomes of NC, NHS, BC and BHS, respectively (Supplementary Figure S6).

3.3.4. Functional Prediction of Rumen Microbiome

PICRUSt analysis predicted the functional pathways that were associated with the obtained caprine rumen microbiomes. It was interesting to observe the contrasting patterns exhibited by both the breeds as a consequence of heat stress. All the functional pathways predicted (KEGG-Level-01; KEGG-Level-02 and COG) had a lower abundance in heat-stressed Bidri goats when compared to their control group, while the same pathways had an increased abundance in the Nandidurga goats under heat stress when compared to their control group (Figure 7, Figure 8 and Figure 9). However it may also be noted that the abundances of the functional pathways (KEGG-Level-01; KEGG-Level-02 and COG) in BHS were still comparatively higher than those of NHS.

4. Discussion

The rumen microbiome harbors highly abundant and diverse microbiota that play a significant role in metabolism, production and health [18]. The ruminal composition is influenced by physical and chemical factors, diet, environmental, feeding regime, individual characteristics being the primary factors [9]. There are relatively few documented reports assessing the rumen microbial dynamics in response to heat stress. Furthermore, scientific reports assessing the impact of heat stress on caprine rumen microbiota are even more scarcely reported. The present study was a first-of-its kind approach to assessing the impact of heat stress on caprine rumen microbiota and rumen variables in two indigenous goat breeds, Nandidurga and Bidri. The significantly higher mean afternoon THI of 95.62 ± 0.09 in the heating chamber when compared to the control (71.85 ± 0.08) indicates that the goats are under extreme heat stress [15]. The THI above 78, as per McDowell [15], demarcates the threshold for heat stress in goats, and previous studies from the same laboratory have also reported that when THI, as calculated as by McDowell [15], is above 78, the animal is subject to severe stress conditions [8,19].
This study revealed heat stress to significantly alter the rumen ammoniacal nitrogen concentration in goats, wherein a significant reduction was observed in BHS in comparison to BS. Though most of the rumen fermentation variables, especially those associated with VFAs, did not reveal statistically significant differences between the breeds under stress, treatment as a fixed effect was significant for many of these factors. Heat stress was reported to reduce VFA and acetate levels in ruminants [10,14,20]. Therefore, the findings from the present study point towards the impact of heat stress in reducing the VFA, acetate and other rumen variables in goats; however, they do not depict any differences between the breeds. Furthermore, this could be one of the many reasons why the rumen pH remained unaffected among the four groups. Though there were inconsistencies with alterations in rumen ammonia levels in heat-stressed ruminants, Cai et al. [20] reported a significant reduction in ammonia–nitrogen in goats during the heat challenge period. Alterations in rumen fermentation variables have been reported to be attributed to a reduction in feed intake and a variation in the quantum and/or activity of rumen microbiota [19,21]. In addition to this theory, the water demand and water content in rumen are believed to increase, thereby resulting in a decrease in TVFA concentration in rumen [22]
Heat stress was also observed to significantly reduce the extracellular CMCase, intracellular CMCase and total CMCase in both Nandidurga and Bidri goats. Chaidanya et al. [7] reported a significant reduction of extracellular CMCase activity in heat-stressed Osmanabadi goats. The authors inferred the reduction in CMCase activity to probably be caused by the reduction in the ruminal protozoal concentration, especially cellulose-degrading microbes, due to heat stress, thereby influencing cellulose digestibility. Therefore, these results indicate that heat stress altered the ruminal fermentation and metabolism in goats.
Rumen metabolites are produced by microbes; therefore, assessing the ruminal microbiome could provide better insight into the ruminal dynamics in heat-stressed goats. Studies assessing the impact of heat stress on rumen microbiota are scarcely documented; furthermore, this is a first-time report assessing the rumen microbial response to heat stress in two indigenous goat breeds. The Alpha diversity indices revealed heat stress altered the rumen microbial diversity in goats, with the two breeds depicting contrasting trends. However, the relative abundances revealed a nearly similar impact of heat stress on the rumen microbiota in Nandidurga and Bidri goats, with the reduction in acetate producing bacteria and an increased abundance of lactate-producing bacteria. Heat stress was observed to cause an evident reduction in the relative abundances of Firmicutes, TM7 and Verrucomicrobia, and an increase in Euryarchaeota, both in Nandidurga and Bidri goats subjected to heat stress when compared to their respective controls. However, contrasting relative abundances were observed for Proteobacteria, Actinobacteria, Chloroflexi and Fusobacteria, which were observed to have an increased abundance in NHS (in comparison to NC), while they also had reduced abundances in BHS (in comparison to BC). The reduction in the relative abundance of Firmicutes in the present study is in accordance with previous reports [14]. The bacteria under this phylum are dominated by fibrolytic and cellulolytic bacterial genera [23]. It is vital to associate the findings from the rumen enzyme variables with the rumen metagenomic profile. A significant reduction in CMCase was observed due to heat stress in both breeds, indicating a probable reduction in rumen protozoa and especially in cellulose-degrading microbes, which is also the case with the altered ruminal microflora, including the cellulolytic bacteria. Furthermore, the phylum Firmicutes is reported to have a high abundance of known H-producer species [24]. Therefore, the lower abundance of Firmicutes in the heat stress goats could be beneficial in terms of the low H contribution in the rumen environment.
It was interesting to observe the relative abundance of the predominant bacterial phylum Bacteroidetes, associated with the breakdown of structural polysaccharides and fermentation of amino acids into acetate in the rumen [23]. This phylum was reduced in NHS while it had an increased abundance in BHS. Zhong et al. [14] reported an increased abundance of Bacteroidetes with increasing THI in goats. The difference in the abundance levels between the two breeds could be explained by the variations at the genus and species levels. Prevotella and Bacteroides are the two prime genera under the phylum Bacteroidetes. The microbes under Prevotella were reported to be involved in varied functions in the rumen, like digesting hemicelluloses, pectinolytic activity and proteolytic activity [14]. Bacteria under the genus Bacteroidetes were stated to utilize carbohydrates as an energy source and efficiently degrade structural carbohydrates. The relative abundances of both these genera were also reported to be altered during heat stress in ruminants [10,25]. A significantly increased abundance of Prevotella was reported by Li et al. [10] in heat-stressed goats. While the relative abundance of Prevotella increased due to heat stress in both of the goat breeds, at the species level, there was a noteworthy difference. A drastic reduction in P. ruminicola was observed in Nandidurga goats due to heat stress (34.74% in NC and 12.1% in NHS), while it increased in Bidri goats (15.53% in BC and 56.03% in BHS). Therefore, the overall increased abundance in the phylum Bacteroidetes could be explained by the variation at the species level.
In addition to this, the bacteria under the phylum Bacteroidetes are known to be better degraders of complex polysaccharides available in plant cell walls than Firmicutes [26]. Therefore, the decreased abundance of Firmucutes along with the increased abundance of Bacteroidetes in heat-stressed Bidri goats could reflect a better adaptation of the breed to heat stress in comparison to Nandidurga goats.
The LEfSe analysis revealed the abundances of three genera, Sharpea (phylum Firmicutes), Sphaerochaeta (phylum Spirochaetes) and Anaerostipes (phylum Firmicutes), to be significantly increased due to heat stress in Bidri goats. Furthermore, the relative abundances of 14 genera were found to be significantly reduced due to heat stress in Bidri goats. These genera included Kocuria (phylum Actinobacteria); Rothia (phylum Actinobacteria); Propionicimonas (phylum Actinobacteria); Bifidobacterium (phylum Actinobacteria); Flavisolibacter (phylum Bacteroidetes); Chryseobacterium (phylum Bacteroidetes); Staphylococcus (phylum Firmicutes); Sebaldella (phylum Fusobacteria); Brevundimonas (phylum Proteobacteria); Roseomonas (phylum Proteobacteria); Bordetella (phylum Proteobacteria); Desulfobulbus (phylum Proteobacteria); Rheinheimera (phylum Proteobacteria); Shigella (phylum Proteobacteria) and Stenotrophomonas (phylum Proteobacteria).
In Nandidurga goats, the proportion of microbial genera with increased abundances due to heat stress was relatively higher (six genera) than that of Bidri goats. Additionally, relatively higher proportions of genera were observed to have significantly lower abundances due to heat stress in Nandidurga goats. The genera Bifidobacterium (phylum Actinobacteria); Aeromicrobium (phylum Actinobacteria); Planctomyces (phylum Planctomycetes); Novosphingobium (phylum Proteobacteria); Hyphomicrobium (phylum Proteobacteria) and Candidatus_Solibacter (phylum Acidobacteria) were observed to have significantly higher abundances in NHS when compared to NC. The LEFSe analysis revealed only two phyla, Desulfomicrobium (phylum Proteobacteria) and Victivallis (phylum Lentisphaerae), to have significantly lower abundances in NHS when compared to NC.
This difference in the proportion of the significantly altered ruminal microbiota could be attributed to the differences in the diversity indices wherein there were relatively more alterations in ruminal microbial diversity in Bidri goats than in Nandidurga goats. This difference in the ruminal composition can also be expected to alter the functional processes, which are reflected by the PICRUSt analysis. All the predicted functional pathways were observed to have lower abundances in Bidri goats due to heat stress, while the same pathways were increased in Nandidurga. The differences in the number of rumen microbial genera with significantly increased and reduced abundances between the two breeds could be linked to the lower abundance of functional processes in Bidri goats. Though this was the case, it was also observed that the abundances of the functional pathways in BHS were higher than those of NHS. This could indicate that heat-stress-associated ruminal alteration in Bidri goats could be relatively higher than in Nandidurga goats. The inference made from the rumen metagenome analysis corresponds with the phenotypic measurements.

5. Conclusions

The differences in heat stress responses between two indigenous goats, Nandidurga and Bidri, on rumen fermentation variables and rumen microbiota (assessed via 16s V3–V4 rRNA sequencing) were assessed. The THI obtained in the control chamber was 71.85 while in the heating chamber the THI was 95.62. Any value above 78 was considered extremely stressful. Therefore, the hypothesis of subjecting heat stress group animals to extremely severe heat stress was justified. This study revealed heat stress to have a significant impact on acetate, propionate, isobutyrate, total VFAs, extracellular CMCase, intracellular CMCase, total CMCase, extracellular amylase, intracellular amylase and total amylase. However the differences between the breeds were marginal, except for the extracellular CMCase, intracellular CMCase and total CMCase. Furthermore, a significant impact of heat stress on the rumen microbiota was observed. The rumen metagenome profile and rumen fermentation variables pointed towards a predominant alteration in the cellulose-degrading microbes in heat-stressed goats, as reflected by the decreased CMCase enzyme activity. While both the breeds exhibited nearly similar responses in the rumen microbial abundance levels due to heat stress, breed-specific differences were also observed. The microbial evenness and richness in Bidri goats were observed to be more altered due to heat stress when compared to Nandidurga goats. Thus, it could be understood that though Nandidurga and Bidri goats exhibited excellent resilience to the extremely high THIs, the ruminal microbial diversity and activity were relatively more impaired in Bidri goats. The findings from this study, being preliminary, need to be extended using better and more comprehensive aids such as rumen metabolomics, shotgun metagenomics and metatranscriptomics.

Supplementary Materials

The following supporting information can be downloaded at: https://www.mdpi.com/article/10.3390/fermentation11080450/s1, Figure S1: Rarefaction curve based on the operational taxonomic units (OTUs); Figure S2: Principal coordinate analysis (PCoA) for Bidri control (BC), Bidri heat stress (BHS), Nandidurga control (NC) and Nandidurga heat stress (NHS) groups; Figure S3: Taxonomic distribution of the top 20 rumen microbial phyla (indicated as percentages); Figure S4: Taxonomic distribution of the top 20 rumen microbial genera (indicated as percentages); Figure S5: Taxonomic distribution of the top 20 rumen microbial species (indicated as percentages); Figure S6: Venn diagram depicting the phyla- (a), genera- (b) and species (c)-level rumen microbiomes for all four groups (NC—Nandidurga control; NHS—Nandidurga heat stress; BC—Bidri control; BHS—Bidri heat stress); Table S1: Chemical composition of concentrate mixture and hybrid Napier hay fed to goats; Table S2: Correlational association between THI and rumen variables.

Author Contributions

Conceptualization, V.S.; methodology, V.S., M.V.S. and C.D.; validation, V.S., M.V.S. and C.D.; formal analysis, M.V.S.; investigation, M.V.S., C.D. and V.S.; writing—original draft preparation, M.V.S. and V.S.; writing—review and editing, M.V.S., C.D., A.S. and R.B.; supervision, V.S. and C.D. All authors have read and agreed to the published version of the manuscript.

Funding

The authors would like to thank the ECLIPSE Project coordinators from European Union, CIRAD, France, for the financial support for this study.

Institutional Review Board Statement

This study was conducted after obtaining approval from the committee for the purpose of control and supervision of experiments on animals (CPCSEA), Ministry of Environment, Forest and Climate Change, Government of India, [Reference: F.No.25/4/2019-CPCSEA dated 20 March 2019].

Informed Consent Statement

Not applicable.

Data Availability Statement

All relevant data are presented within the paper. The raw sequence data of the 16 samples in this study have been deposited in National Center for Biotechnology Information (NCBI) with the accession number PRJNA787712.

Acknowledgments

The authors would like to thank the Director of the ICAR-National Institute of Animal Nutrition and Physiology for allowing access to their research facilities and the ECLIPSE Project coordinators from the European Union, CIRAD, France, for the financial support for this study.

Conflicts of Interest

The authors declare no conflicts of interest for this manuscript.

References

  1. Thornton, P.; Van de Steeg, J.; Notenbaert, A.; Herrero, M. The livestock, climate change and poverty nexus. In The Futures of Agriculture. Brief No. 43—English; Global Forum on Agricultural Research (GFAR): Rome, Italy, 2013; Available online: https://americalatinagenera.org/wp-content/uploads/2020/02/LivestockBrief43.pdf. (accessed on 15 May 2025).
  2. Cheng, M.; McCarl, B.; Fei, C. Climate Change and Livestock Production: A Literature Review. Atmosphere 2022, 13, 140. [Google Scholar] [CrossRef]
  3. Scerri, T.M.; Lomax, S.; Clark, C.E.F. Bovine heat stress management: Current amelioration approaches and the case for a novel mitogenomic strategy. Front. Anim. Sci. 2023, 4, 1169743. [Google Scholar] [CrossRef]
  4. Thornton, P.; Nelson, G.; Mayberry, D.; Herrero, M. Impacts of heat stress on global cattle production during the 21st century: A modelling study. Lancet Planet. Health 2022, 6, e192–e201. [Google Scholar] [CrossRef]
  5. Reshma Nair, M.R.; Sejian, V.; Silpa, M.V.; Fonsêca, V.F.C.; de Melo Costa, C.C.; Devaraj, C.; Krishnan, G.; Bagath, M.; Nameer, P.O.; Bhatta, R. Goat as the ideal climate resilient animal model in tropical environment: Revisiting advantages over other livestock species. Int. J. Biometeorol. 2021, 65, 2229–2240. [Google Scholar] [CrossRef]
  6. Pan, X.; Cai, Y.; Li, Z.; Chen, X.; Heller, R.; Wang, N.; Wang, Y.; Zhao, C.; Wang, Y.; Xu, H.; et al. Modes of genetic adaptations underlying functional innovations in the rumen. Sci. China Life Sci. 2021, 64, 1–21. [Google Scholar] [CrossRef]
  7. Chaidanya, K.; Soren, N.M.; Sejian, V.; Bagath, M.; Manjunathareddy, G.B.; Kurien, E.K.; Varma, G.; Bhatta, R. Impact of heat stress, nutritional stress and combined (heat and nutritional) stresses on rumen associated fermentation characteristics, histopathology and HSP70 gene expression in goats. J. Anim. Behav. Biometeorol. 2017, 5, 36–48. [Google Scholar] [CrossRef]
  8. Silpa, M.V.; Sejian, V.; Devaraj, C.; Manjunathareddy, G.B.; Ruban, W.; Kadam, V.; König, S.; Bhatta, R. Novel Insights to Assess Climate Resilience in Goats Using a Holistic Approach of Skin-Based Advanced NGS Technologies. Int. J. Mol. Sci. 2023, 24, 10319. [Google Scholar] [CrossRef]
  9. Kim, S.H.; Ramos, S.C.; Valencia, R.A.; Cho, Y.I.; Lee, S.S. Heat stress: Effects on rumen microbes and host physiology, and strategies to alleviate the negative impacts on lactating dairy cows. Front. Microbiol. 2022, 13, 804562. [Google Scholar] [CrossRef]
  10. Li, M.; Xu, L.B.; Zhang, C.; Zhang, P.H.; Tao, S.; Liu, H.Y. Effects of acute and chronic heat stress on the rumen microbiome in dairy goats. Anim. Biosci. 2024, 37, 2081–2090. [Google Scholar] [CrossRef]
  11. Pan, C.; Li, H.; Mustafa, S.B.; Renqing, C.; Zhang, Z.; Li, J.; Song, T.; Wang, G.; Zhao, W. Coping with extremes: The rumen transcriptome and microbiome co-regulate plateau adaptability of Xizang goat. BMC Genom. 2024, 25, 258. [Google Scholar] [CrossRef]
  12. Sales, G.F.C.; Carvalho, B.F.; Schwan, R.F.; de Figueiredo Vilela, L.; Meneses, J.A.M.; Gionbelli, M.P.; da Silva Avila, C.L. Heat stress influence the microbiota and organic acids concentration in beef cattle rumen. J. Thermal Biol. 2021, 97, 102897. [Google Scholar] [CrossRef]
  13. Ying, Z.; Xie, S.; Xiu, Z.; Sun, Y.; Yang, Q.; Gao, H.; Fan, W.; Wu, Y. Under heat stress conditions, selenium nanoparticles promote lactation through modulation of rumen microbiota and metabolic processes in dairy goats. Sci. Rep. 2025, 15, 9063. [Google Scholar] [CrossRef]
  14. Zhong, S.; Ding, Y.; Wang, Y.; Zhou, G.; Guo, H.; Chen, Y.; Yang, Y. Temperature and humidity index (THI)-induced rumen bacterial community changes in goats. Appl. Microbiol. Biotechnol. 2019, 103, 3193–3203. [Google Scholar] [CrossRef]
  15. McDowell, R.E. Improvement of Livestock Production in Warm Climate; WH Freeman and Co.: San Fransisco, CA, USA, 1972. [Google Scholar]
  16. de Sousa Silva, R.; Furtado, D.A.; Ribeiro, N.L.; Neto, J.P.L.; Rodrigues, R.C.M.; de Oliveira, A.G.; da Costa Silva, J.A.P.; da Silva, M.R.; Mascarenhas, N.M.H.; Marques, J.I.; et al. Physiological variables and estimates of heat exchange in sheep kept at thermoneutral and thermal stress temperatures. Small Rumin. Res. 2024, 237, 107320. [Google Scholar] [CrossRef]
  17. Miller, G.L. Modified DNS method for reducing sugars. Anal. Chem. 1959, 31, 426–428. [Google Scholar] [CrossRef]
  18. Kim, D.H.; Kim, M.H.; Kim, S.B.; Son, J.K.; Lee, J.H.; Joo, S.S.; Gu, B.H.; Park, T.; Park, B.Y.; Kim, E.T. Differential dynamics of the ruminal microbiome of jersey cows in a heat stress environment. Animals 2020, 10, 1127. [Google Scholar] [CrossRef]
  19. He, H.; Fang, C.; Liu, L.; Li, M.; Liu, W. Environmental Driving of Adaptation Mechanism on Rumen Microorganisms of Sheep Based on Metagenomics and Metabolomics Data Analysis. Int. J. Mol. Sci. 2024, 25, 10957. [Google Scholar] [CrossRef]
  20. Cai, L.; Yu, J.; Hartanto, R.; Zhang, J.; Yang, A.; Qi, D. Effects of heat challenge on growth performance, ruminal, blood and physiological parameters of Chinese crossbred goats. Small Rumin. Res. 2019, 174, 125–130. [Google Scholar] [CrossRef]
  21. Tajima, K.; Nonaka, I.; Higuchi, K.; Takusari, N.; Kurihara, M.; Takenaka, A.; Mitsumori, M.; Kajikawa, H.; Aminov, R.I. Influence of high temperature and humidity on rumen bacterial diversity in Holstein heifers. Anaerobe 2007, 2, 57–64. [Google Scholar] [CrossRef]
  22. Schneider, P.; Sklan, D.; Chalupa, W.; Kronfeld, D.S. Feeding calcium salts of fatty acids to lactating cows. J. Dairy. Sci. 1988, 8, 2143–2150. [Google Scholar] [CrossRef]
  23. Zhang, Y.K.; Zhang, X.X.; Li, F.D.; Li, C.; Li, G.Z.; Zhang, D.Y.; Song, Q.Z.; Li, X.L.; Zhao, Y.; Wang, W.M. Characterization of the rumen microbiota and its relationship with residual feed intake in sheep. Animal 2021, 15, 100161. [Google Scholar] [CrossRef]
  24. Stewart, C.S.; Flint, H.J.; Bryant, M.P. The rumen bacteria. In The Rumen Microbial Ecosystem; Springer: Dordrecht, The Netherlands, 1997; pp. 10–72. [Google Scholar]
  25. Li, H.; Li, R.; Chen, H.; Gao, J.; Wang, Y.; Zhang, Y.; Qi, Z. Effect of different seasons (spring vs summer) on the microbiota diversity in the feces of dairy cows. Int. J. Biometeorol. 2020, 64, 345–354. [Google Scholar] [CrossRef]
  26. Khafipour, E.; Li, S.; Tun, H.M.; Derakhshani, H.; Moossavi, S.; Plaizier, J.C. Effects of grain feeding on microbiota in the digestive tract of cattle. Anim. Front. 2016, 6, 13–19. [Google Scholar] [CrossRef]
Figure 1. Average temperature humidity index (THI) for the study period both in the thermoneutral chamber and heating chamber.
Figure 1. Average temperature humidity index (THI) for the study period both in the thermoneutral chamber and heating chamber.
Fermentation 11 00450 g001
Figure 2. Alpha diversity indices of Nandidurga and Bidri goat breeds subjected to heat stress with their respective controls. Chao1 and ACE represent the richness of the sample, while Shannon, Simpson, InvSimpson and Fisher represent both richness and relative abundance.
Figure 2. Alpha diversity indices of Nandidurga and Bidri goat breeds subjected to heat stress with their respective controls. Chao1 and ACE represent the richness of the sample, while Shannon, Simpson, InvSimpson and Fisher represent both richness and relative abundance.
Fermentation 11 00450 g002
Figure 3. Relative abundances of rumen microbial phyla at group level. Distribution of 10 most abundant rumen microbial phyla of Nandidurga and Bidri goat breeds subjected to heat stress and their respective control groups (NC—Nandidurga control; NHS—Nandidurga heat stress; BC—Bidri control; BHS—Bidri heat stress).
Figure 3. Relative abundances of rumen microbial phyla at group level. Distribution of 10 most abundant rumen microbial phyla of Nandidurga and Bidri goat breeds subjected to heat stress and their respective control groups (NC—Nandidurga control; NHS—Nandidurga heat stress; BC—Bidri control; BHS—Bidri heat stress).
Fermentation 11 00450 g003
Figure 4. Relative abundances of rumen microbiomes at the genus level between the groups. Relative abundances of 10 most abundant rumen microbial genera of Nandidurga and Bidri goat breeds subjected to heat stress and their respective control groups (NC—Nandidurga control; NHS—Nandidurga heat stress; BC—Bidri control; BHS—Bidri heat stress).
Figure 4. Relative abundances of rumen microbiomes at the genus level between the groups. Relative abundances of 10 most abundant rumen microbial genera of Nandidurga and Bidri goat breeds subjected to heat stress and their respective control groups (NC—Nandidurga control; NHS—Nandidurga heat stress; BC—Bidri control; BHS—Bidri heat stress).
Fermentation 11 00450 g004
Figure 5. Relative abundances of caprine rumen microbiota at the species level between the groups. Relative abundances of 10 most abundant rumen microbial species of Nandidurga and Bidri goat breeds subjected to heat stress and their respective control groups (NC—Nandidurga control; NHS—Nandidurga heat stress; BC—Bidri control; BHS—Bidri heat stress).
Figure 5. Relative abundances of caprine rumen microbiota at the species level between the groups. Relative abundances of 10 most abundant rumen microbial species of Nandidurga and Bidri goat breeds subjected to heat stress and their respective control groups (NC—Nandidurga control; NHS—Nandidurga heat stress; BC—Bidri control; BHS—Bidri heat stress).
Fermentation 11 00450 g005
Figure 6. Linear Discriminant Analysis Effect Size (LEfSe) plots of differentially abundant rumen microbial genera for a comparison of NC vs. NHS and BC vs. BHS.
Figure 6. Linear Discriminant Analysis Effect Size (LEfSe) plots of differentially abundant rumen microbial genera for a comparison of NC vs. NHS and BC vs. BHS.
Fermentation 11 00450 g006
Figure 7. PICRUSt-derived abundance values of predicted functional rumen metagenome at KEGG level-01.
Figure 7. PICRUSt-derived abundance values of predicted functional rumen metagenome at KEGG level-01.
Fermentation 11 00450 g007
Figure 8. PICRUSt-derived abundance values of predicted functional rumen metagenome at KEGG level-02.
Figure 8. PICRUSt-derived abundance values of predicted functional rumen metagenome at KEGG level-02.
Fermentation 11 00450 g008
Figure 9. Abundances of different clusters of orthologous groups of proteins (COGs) across different groups.
Figure 9. Abundances of different clusters of orthologous groups of proteins (COGs) across different groups.
Fermentation 11 00450 g009
Table 1. Effect of heat stress on rumen liquor variables in Nandidurga and Bidri goat breeds.
Table 1. Effect of heat stress on rumen liquor variables in Nandidurga and Bidri goat breeds.
AttributesDaysTreatmentsEffects
NCNHSBCBHSBreedTRTDayBreed × TRT × Day
Rumen ammoniacal nitrogen020.5819.8321.4620.45NSNS**NS
1518.0717.9019.4119.34
3018.7919.0820.9818.22
4514.5914.3915.1314.06
Mean18.01 b17.80 b19.25 a18.02 b
SE±0.40±0.39±0.39±0.39±0.40
Rumen pH06.436.356.446.48NSNS*NS
157.036.987.076.90
306.116.086.076.12
456.736.806.886.90
Mean6.58 a6.55 a6.61 a6.60 a
SE±0.03±0.04±0.05±0.07±0.03
Acetate057.5456.7755.3556.48****NS
1548.8841.3245.8641.19
3051.3645.4848.8844.23
4534.6332.1528.7726.46
Mean48.10 a43.93 ab44.71 ab42.09 b
SE±1.20±1.20±1.20±1.20±1.20
Propionate028.1426.3726.7927.09NS***NS
1516.7615.1317.0316.34
3016.7315.0216.3413.75
4511.559.728.917.96
Mean18.29 a16.56 ab17.27 ab16.29 b
SE±0.50±0.50±0.50±0.50±0.50
Butyrate09.9911.1111.1011.96NSNS***
157.927.876.607.33
307.556.858.217.25
456.056.204.423.95
Mean7.88 a8.01 a7.58 a7.62 a
SE±0.28±0.28±0.28±0.28±0.28
Isobutyrate00.720.730.730.65NS****
150.420.290.360.22
300.540.340.390.23
450.570.510.320.21
Mean0.56 a0.47 a0.45 a0.33 a
SE±0.03±0.06±0.10±0.14±0.03
Valerate00.830.870.850.87*NS**NS
150.650.650.660.64
300.670.640.660.61
450.550.530.370.36
Mean0.67 a0.67 a0.63 a0.62 a
SE±0.02±0.02±0.02±0.02
Isovalerate00.870.830.770.87*NS***
150.650.560.730.58
300.690.720.700.57
450.750.720.520.50
Mean0.74 a0.71 ab0.68 ab0.63 b
SE±0.03±0.03±0.03±0.03±0.03
Total VFAs098.1296.7895.7498.39*****
1575.3165.9171.3966.51
3077.5669.1375.3466.85
4554.1449.9243.4539.65
Mean76.28 a70.43 ab71.48 ab67.85 b
SE±1.75±1.75±1.75±1.75±1.75
Extracellular CMCase04.124.224.564.66NS*****
154.064.014.604.49
303.943.323.873.24
454.152.784.042.59
Mean4.07 ab3.58 c4.27 a3.74 bc
SE±0.11±0.11±0.11±0.11±0.11
Intracellular CMCase07.377.447.527.46NS*****
157.097.057.567.17
307.145.786.675.56
456.795.376.075.15
Mean7.10 a6.41 bc6.95 ac6.33 bd
SE±0.15±0.15±0.15±0.15±0.15
Total CMCase011.4811.6612.0812.19NS******
1511.1511.0612.1611.66
3011.089.1010.538.80
4510.938.1510.107.74
Mean11.16 a9.99 b11.22 a10.09 b
SE±0.17±0.17±0.17±0.17±0.17
Extracellular Amylase065.6265.1466.3767.20NS**NS
1565.8660.8864.9160.41
3064.2658.3761.1956.29
4565.5656.1861.6352.63
Mean65.33 a60.14 ab63.53 ab59.13 b
SE±1.46±1.98±2.72±3.53±1.46
Intracellular Amylase066.9565.5566.6572.16NS**NS
1568.5364.5269.5564.31
3070.8067.5168.8163.06
4569.5560.7863.7856.78
Mean68.96 a64.59 a67.20 a64.08 a
SE±1.34±1.34±1.34±1.34±1.34
Total Amylase0132.35130.10132.05138.06NS**NS
15134.17124.80133.49123.37
30134.84125.29129.03118.01
45134.90116.36124.44108.07
Mean134.06 a124.13 b129.75 ab121.88 b
SE±2.29±2.29±2.29±2.29
NC—Nandidurga control; NHS—Nandidurga heat stress; BC—Bidri control; BHS—Bidri heat stress; TRT—treatment; Breed × TRT × Day—breed treatment and day interaction; Pooled SE—pooled standard error; ** indicates statistical significance at p < 0.01; * indicates statistical significance at p < 0.05; NS—indicates non-significant; values bearing different superscripts within a row differ significantly from each other.
Disclaimer/Publisher’s Note: The statements, opinions and data contained in all publications are solely those of the individual author(s) and contributor(s) and not of MDPI and/or the editor(s). MDPI and/or the editor(s) disclaim responsibility for any injury to people or property resulting from any ideas, methods, instructions or products referred to in the content.

Share and Cite

MDPI and ACS Style

Silpa, M.V.; Sejian, V.; Devaraj, C.; Sahoo, A.; Bhatta, R. Impact of Heat Stress on Rumen Fermentation Patterns and Microbiota Diversity and Its Association with Thermotolerance in Indigenous Goats. Fermentation 2025, 11, 450. https://doi.org/10.3390/fermentation11080450

AMA Style

Silpa MV, Sejian V, Devaraj C, Sahoo A, Bhatta R. Impact of Heat Stress on Rumen Fermentation Patterns and Microbiota Diversity and Its Association with Thermotolerance in Indigenous Goats. Fermentation. 2025; 11(8):450. https://doi.org/10.3390/fermentation11080450

Chicago/Turabian Style

Silpa, Mullakkalparambil Velayudhan, Veerasamy Sejian, Chinnasamy Devaraj, Artabandhu Sahoo, and Raghavendra Bhatta. 2025. "Impact of Heat Stress on Rumen Fermentation Patterns and Microbiota Diversity and Its Association with Thermotolerance in Indigenous Goats" Fermentation 11, no. 8: 450. https://doi.org/10.3390/fermentation11080450

APA Style

Silpa, M. V., Sejian, V., Devaraj, C., Sahoo, A., & Bhatta, R. (2025). Impact of Heat Stress on Rumen Fermentation Patterns and Microbiota Diversity and Its Association with Thermotolerance in Indigenous Goats. Fermentation, 11(8), 450. https://doi.org/10.3390/fermentation11080450

Note that from the first issue of 2016, this journal uses article numbers instead of page numbers. See further details here.

Article Metrics

Back to TopTop