Determining Fermentation Conditions to Enhance Antioxidant Properties and Nutritional Value of Basil Seeds Using Lactobacillus plantarum
Abstract
1. Introduction
2. Materials and Methods
2.1. Chemical and Reagents
2.2. Sample Preparation
2.3. Moisture, pH, and Microbiological Quality Measurement
2.4. Antioxidant Properties
2.4.1. Extracting Basil Samples
2.4.2. DPPH and ABTS• Scavenging Assay
2.4.3. Total Polyphenol Components (TPCs)
2.5. The Extraction Procedure for Nicotinamide (Niacin)
Detection, Quantification, and Confirmation of Nicotinamide Content by Gas Chromatography (GC-FID)
2.6. Statistical Analysis
3. Results
3.1. Moisture Content, Changes in Colony Count (log CFU/mL), and pH
3.2. Impacts of Different Fermentation Conditions on Antioxidant Properties of Basil Seeds
3.2.1. DPPH and ABTS• Scavenging Ability
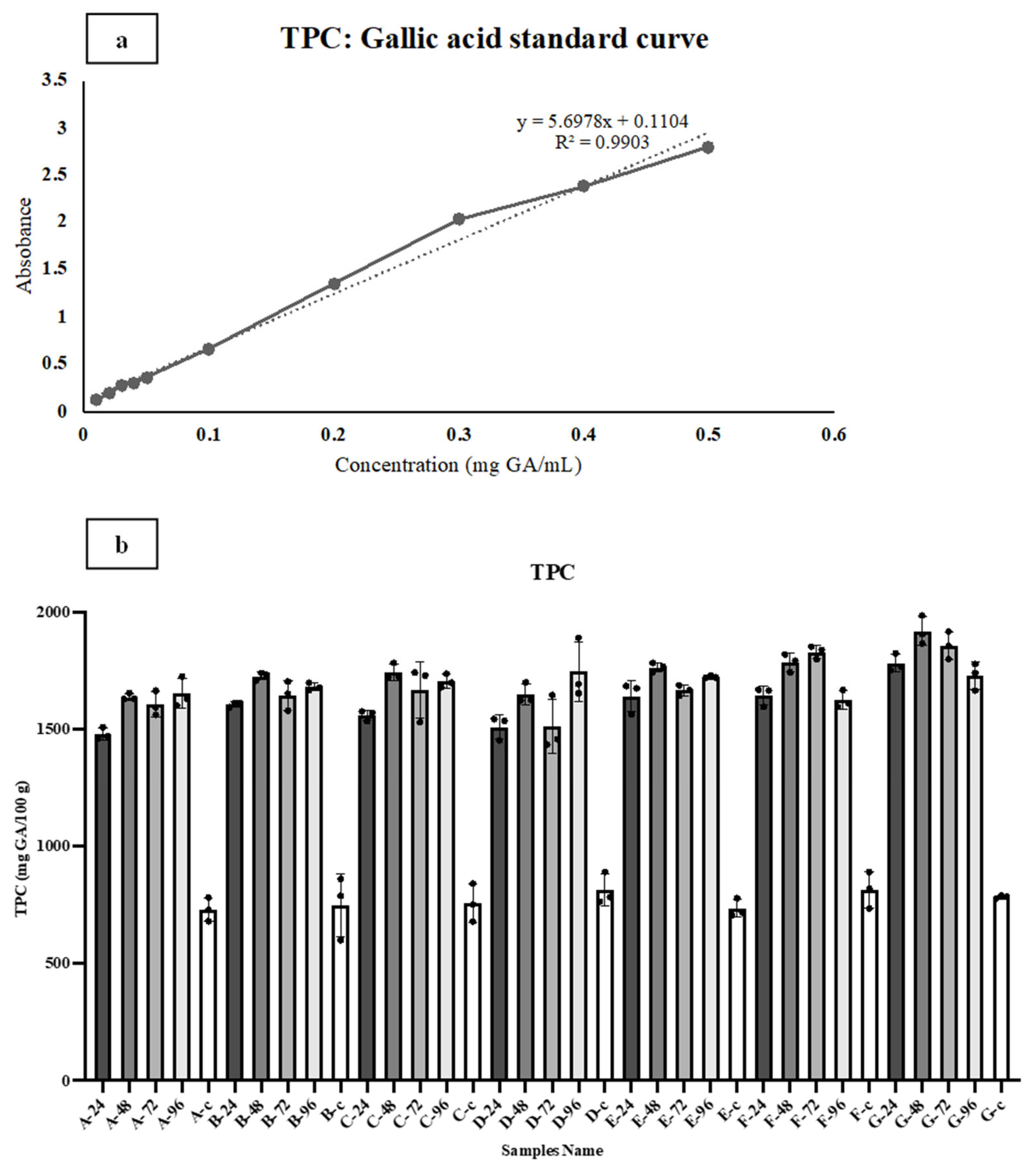
3.2.2. Total Polyphenol Concentration (TPC)
3.3. Impacts of Different Fermentation Conditions on Nicotinamide (Niacin) Content of Basil Seeds
4. Discussion
5. Conclusions
Author Contributions
Funding
Institutional Review Board Statement
Informed Consent Statement
Data Availability Statement
Acknowledgments
Conflicts of Interest
References
- Abdul Hakim, B.N.; Xuan, N.J.; Oslan, S.N.H. A Comprehensive Review of Bioactive Compounds from Lactic Acid Bacteria: Potential Functions as Functional Food in Dietetics and the Food Industry. Foods 2023, 12, 2850. [Google Scholar] [CrossRef] [PubMed]
- Gupta, S.; Lee, J.J.L.; Chen, W.N. Analysis of Improved Nutritional Composition of Potential Functional Food (Okara) after Probiotic Solid-State Fermentation. J. Agric. Food Chem. 2018, 66, 5373–5381. [Google Scholar] [CrossRef]
- Lee, J.H.; Yoon, Y.C.; Kim, J.K.; Park, Y.E.; Hwang, H.S.; Kwon, G.S.; Lee, J.B. Antioxidant and Whitening Effects of the Fermentation of Barley Seeds (Hordeum Vulgare L.) Using Lactic Acid Bacteria. J. Life 2018, 28, 444–453. [Google Scholar] [CrossRef]
- Thakur, P.; Kumar, K. Nutritional Importance and Processing Aspects of Pseudo-Cereals. J. Agric. Eng. Food Technol. 2019, 6, 155–160. [Google Scholar] [CrossRef]
- Ro, H.S.; Jang, H.J.; Kim, G.R.; Park, S.J.; Lee, H.Y. Enhancement of the Anti-Skin Wrinkling Effects of Aloe Arborescens Miller Extracts Associated with Lactic Acid Fermentation. Evid.-Based Complement. Altern. Med. 2020, 2020, 2743594. [Google Scholar] [CrossRef] [PubMed]
- El Mecherfi, K.E.; Todorov, S.D.; De Albuquerque, M.A.C.; Denery-Papini, S.; Lupi, R.; Haertlé, T.; De Melo Franco, B.D.G.; Larre, C. Allergenicity of Fermented Foods: Emphasis on Seeds Protein-Based Products. Foods 2020, 9, 792. [Google Scholar] [CrossRef]
- Rembe, J.-D.; Fromm-Dornieden, C.; Stuermer, E.K. Effects of Vitamin B Complex and Vitamin C on Human Skin Cells. Adv. Skin Wound Care 2018, 31, 225–233. [Google Scholar] [CrossRef]
- Shumao, C.; Zhexin, F. Lactic Acid Bacteria and Fermented Meat Products. In Lactic Acid Bacteria; Springer: Singapore, 2019; ISBN 978-981-13-7282-7. [Google Scholar]
- Kang, H.; Hwang, J.; Lee, S. Bacillus Subtilis Fermentation Augments the Anti-Inflammatory and Skin Moisture Improvement Activities of Tetragonia Tetragonoides through the Upregulation of Antioxidant Components. Fermentation 2023, 9, 800. [Google Scholar] [CrossRef]
- Laaksonen, O.; Kahala, M.; Marsol-Vall, A.; Blasco, L.; Järvenpää, E.; Rosenvald, S.; Virtanen, M.; Tarvainen, M.; Yang, B. Impact of Lactic Acid Fermentation on Sensory and Chemical Quality of Dairy Analogues Prepared from Lupine (Lupinus Angustifolius L.) Seeds. Food Chem. 2021, 346, 128852. [Google Scholar] [CrossRef]
- Ferreira, I.; de Sousa Melo, D.; Menezes, A.G.T.; Fonseca, H.C.; de Assis, B.B.T.; Ramos, C.L.; Magnani, M.; Dias, D.R.; Schwan, R.F. Evaluation of Potentially Probiotic Yeasts and Lactiplantibacillus Plantarum in Co-Culture for the Elaboration of a Functional Plant-Based Fermented Beverage. Food Res. Int. 2022, 160, 111697. [Google Scholar] [CrossRef]
- Hou, F.; Cai, Y.; Wang, J. Antioxidant Capacity Changes and Untargeted Metabolite Profile of Broccoli during Lactic Acid Bacteria Fermentation. Fermentation 2023, 9, 474. [Google Scholar] [CrossRef]
- Varnosfaderani, S.M.; Razavi, S.H.; Fadda, A.M. Germination and Fermentation of Soybeans: Two Healthy Steps to Release Angiotensin Converting Enzyme Inhibitory Activity Compounds. Appl. Food Biotechnol. 2019, 6, 201–215. [Google Scholar] [CrossRef]
- Hettwer, S.; Gyenge, E.B.; Suter, B.; Obermayer, B.; Hettwer, S.; Gyenge, E.B.; Suter, B.; Obermayer, B. Can Fermentation “Preserve” the Skin? Sofw 2021, 147, 24–28. [Google Scholar]
- Dong, X.; Ji, J.; Zhang, S.; Peng, D.; Wang, Y.; Zhang, L.; Li, J.; Wang, G. Study on a Low-Temperature Cellulose-Degrading Strain: Fermentation Optimization, Straw Degradation, and the Effect of Fermentation Broth on Seed Growth. Biotechnol. Bioprocess Eng. 2022, 27, 652–667. [Google Scholar] [CrossRef]
- Jeon, G.; Ro, H.; Kim, G.; Lee, H. Enhancement of Melanogenic Inhibitory Effects of the Leaf Skin Extracts of Aloe Barbadensis Miller by the Fermentation Process. Fermentation 2022, 8, 580. [Google Scholar] [CrossRef]
- Michalak, M.; Pierzak, M.; Kręcisz, B.; Suliga, E. Bioactive Compounds for Skin Health: A Review. Nutrients 2021, 13, 203. [Google Scholar] [CrossRef]
- Lee, S.; Eun, C.; Kwon, Y.; Baek, J.; Kim, I. Evaluation of Fermented Extracts of Aloe Vera Processing Byproducts as Potential Functional Ingredients. Fermentation 2021, 7, 269. [Google Scholar] [CrossRef]
- Abdel-Aty, A.M.; Barakat, A.Z.; Bassuiny, R.I.; Mohamed, S.A. Antioxidant-Polyphenols of Saw Palmetto Seeds: Statistical Optimized Production and Improved Functional Properties under Solid-State Fermentation by Trichoderma Reesei. J. Food Meas. Charact. 2023, 17, 1132–1143. [Google Scholar] [CrossRef]
- Iga-Buitron, D.; Torres-Maravilla, E.; Berm, L.G.; Ascacio-Valdes, J.A.; Aguilar, N.; Flores-Gallegos, A.C. Lactic Fermentation of Broccoli (Brassica Oleracea Var. Italica) to Enhance the Antioxidant and Antiproliferative Activities. Fermentation 2023, 9, 122. [Google Scholar] [CrossRef]
- Maleki, S.; Razavi, S.H. Pulses’ Germination and Fermentation: Two Bioprocessing against Hypertension by Releasing ACE Inhibitory Peptides. Crit. Rev. Food Sci. Nutr. 2021, 61, 2876–2893. [Google Scholar] [CrossRef]
- Majdinasab, M.; Niakousari, M.; Shaghaghian, S.; Dehghani, H. Antimicrobial and Antioxidant Coating Based on Basil Seed Gum Incorporated with Shirazi Thyme and Summer Savory Essential Oils Emulsions for Shelf-Life Extension of Refrigerated Chicken Fillets. Food Hydrocoll. 2020, 108, 106011. [Google Scholar] [CrossRef]
- Bartkiene, E.; Laurikietyte, R.; Lele, V.; Zavistanaviciute, P.; Mozuriene, E.; Baltusnikiene, A. Agar-Immobilized Basil–Lactic Acid Bacteria Bioproducts as Goat Milk Taste-Masking Agents and Natural Preservatives for the Production of Unripened Goat Cheese. J. Dairy Sci. 2018, 101, 10866–10876. [Google Scholar] [CrossRef] [PubMed]
- Ghasempour, Z.; Javanmard, N.; Mojaddar Langroodi, A.; Alizadeh-Sani, M.; Ehsani, A.; Moghaddas Kia, E. Development of Probiotic Yogurt Containing Red Beet Extract and Basil Seed Gum; Techno-Functional, Microbial and Sensorial Characterization. Biocatal. Agric. Biotechnol. 2020, 29, 101785. [Google Scholar] [CrossRef]
- Thanh Sang, V.; Phuong Uyen, L.; Dai Hung, N. The Increased Gamma-Aminobutyric Acid Content by Optimizing Fermentation Conditions of Bacteria from Kimchi and Investigation of Its Biological Activities. EurAsian J. Biosci. 2018, 12, 369–376. [Google Scholar]
- Calvo-Lerma, J.; Asensio-Grau, A.; García-Hernández, J.; Heredia, A.; Andrés, A. Exploring the Impact of Solid-State Fermentation on Macronutrient Profile and Digestibility in Chia (Salvia Hispanica) and Sesame (Sesamum Indicum) Seeds. Foods 2022, 11, 410. [Google Scholar] [CrossRef] [PubMed]
- Salar, R.K.; Purewal, S.S.; Bhatti, M.S. Optimization of Extraction Conditions and Enhancement of Phenolic Content and Antioxidant Activity of Pearl Millet Fermented with Aspergillus Awamori MTCC-548. Resour. Technol. 2016, 2, 148–157. [Google Scholar] [CrossRef]
- Haile, M.; Kang, W.H. Antioxidant Activity, Total Polyphenol, Flavonoid and Tannin Contents of Fermented Green Coffee Beans with Selected Yeasts. Fermentation 2019, 5, 29. [Google Scholar] [CrossRef]
- Silveira Coelho, M.; de Araujo Aquino, S.; Machado Latorres, J.; de las Mercedes Salas-Mellado, M. In Vitro and in Vivo Antioxidant Capacity of Chia Protein Hydrolysates and Peptides. Food Hydrocoll. 2019, 91, 19–25. [Google Scholar] [CrossRef]
- Hwang, S.; Lee, J. Comparison of Antioxidant Activities Expressed as Equivalents of Standard Antioxidant. Food Sci. Technol. 2023, 43, e121522. [Google Scholar] [CrossRef]
- Shirvani, A.; Goli, S.A.H.; Shahedi, M.; Soleimanian-Zad, S. Changes in Nutritional Value and Application of Thyme (Thymus Vulgaris) Essential Oil on Microbial and Organoleptic Markers of Persian Clover (Trifolium Resupinatum) Sprouts. LWT 2016, 67, 14–21. [Google Scholar] [CrossRef]
- Hämmerle, M.; Le, M.H.; Hekmat, O. GC-FID-Based Quantification of the Sum of the Three Forms of Vitamin B3 from Animal Liver. Anal. Biochem. 2020, 601, 113778. [Google Scholar] [CrossRef] [PubMed]
- Dhakal, R.; Bajpai, V.K.; Baek, K.H. Production of GABA (γ-Aminobutyric Acid) by Microorganisms: A Review. Braz. J. Microbiol. 2012, 43, 1230–1241. [Google Scholar] [CrossRef] [PubMed]
- Parekh, S.; Vinci, V.A.; Strobel, R.J. Improvement of Microbial Strains and Fermentation Processes. Appl. Microbiol. Biotechnol. 2000, 54, 287–301. [Google Scholar] [CrossRef] [PubMed]
- Ojewumi, M.E.; Omoleye, A.J.; Nyingifa, A.S. Biological and Chemical Changes during the Aerobic and Anaerobic Fermentation of African Locust Bean. Int. J. Chem. Stud. 2018, 2, 25–30. [Google Scholar] [CrossRef]
- Wu, Z.; Miao, W.; Yang, Y.; Fan, G.; Wu, C.; Li, T.; Xie, C.; Shen, D. Preparation of Monascus-Fermented Ginkgo Seeds: Optimization of Fermentation Parameters and Evaluation of Bioactivity. Food Sci. Biotechnol. 2022, 31, 721–730. [Google Scholar] [CrossRef]
- Jood, S.; Khetarpaul, N.; Goyal, R. Effect of Germination and Probiotic Fermentation on PH, Titratable Acidity, Dietary Fibre, β-Glucan and Vitamin Content of Sorghum Based Food Mixtures. J. Nutr. Food Sci. 2012, 2, 1000164. [Google Scholar] [CrossRef]
- Nizioł-Łukaszewska, Z.; Ziemlewska, A.; Bujak, T.; Zagórska-Dziok, M.; Zarębska, M.; Hordyjewicz-Baran, Z.; Wasilewski, T. Effect of Fermentation Time on Antioxidant and Anti-Ageing Properties of Green Coffee Kombucha Ferments. Molecules 2020, 25, 5394. [Google Scholar] [CrossRef]
- Mao, B.; Guo, W.; Chen, M.; Tang, X.; Zhang, Q.; Zhao, J.; Zhang, H.; Cui, S. Effects of Streptococcus Thermophilus Fermentation on the Flavors and Antioxidant Properties of Barley Juice. Fermentation 2023, 9, 623. [Google Scholar] [CrossRef]
- Maleki, S.; Razavi, S.H.; Yadav, H. Diabetes and Seeds: New Horizon to Promote Human Nutrition and Anti-Diabetics Compounds in Grains by Germination. Crit. Rev. Food Sci. Nutr. 2022, 63, 8457–8477. [Google Scholar] [CrossRef]
- Tangüler, H. The Effect of Using Different Size Purple Carrots and Lactobacillus Plantarum on the Properties of Fermented Shalgam (Şalgam). Turk. J. Agric. Food Sci. Technol. 2021, 9, 1759–1766. [Google Scholar] [CrossRef]
- Vatansever, S.; Vegi, A.; Garden-Robinson, J.; Hall, C.A., III. The Effect of Fermentation on the Physicochemical Characteristics of Dry-Salted Vegetables. J. Food Res. 2017, 6, 32. [Google Scholar] [CrossRef]
- Yuan, Y.; Peng, Y.; Liu, Y.; Jin, B.; Wang, B.; Wang, S. Change of PH during Excess Sludge Fermentation under Alkaline, Acidic and Neutral Conditions. Bioresour. Technol. 2014, 174, 1–5. [Google Scholar] [CrossRef]
- Marco, M.L.; Heeney, D.; Binda, S.; Cifelli, C.J.; Cotter, P.D.; Foligné, B.; Gänzle, M.; Kort, R.; Pasin, G.; Pihlanto, A.; et al. Health Benefits of Fermented Foods: Microbiota and Beyond. Curr. Opin. Biotechnol. 2017, 44, 94–102. [Google Scholar] [CrossRef] [PubMed]
- Budryn, G.; Klewicka, E.; Grzelczyk, J.; Gałązka-Czarnecka, I.; Mostowski, R. Lactic Acid Fermentation of Legume Seed Sprouts as a Method of Increasing the Content of Isoflavones and Reducing Microbial Contamination. Food Chem. 2019, 285, 478–484. [Google Scholar] [CrossRef] [PubMed]
- Hu, Y.; Ge, C.; Yuan, W.; Zhu, R.; Zhang, W.; Du, L.; Xue, J. Characterization of Fermented Black Soybean Natto Inoculated with Bacillus Natto during Fermentation. J. Sci. Food Agric. 2010, 90, 1194–1202. [Google Scholar] [CrossRef] [PubMed]
- Landete, J.M.; Hernández, T.; Robredo, S.; Dueñas, M.; De Las Rivas, B.; Estrella, I.; Muñoz, R. Effect of Soaking and Fermentation on Content of Phenolic Compounds of Soybean (Glycine Max Cv. Merit) and Mung Beans (Vigna Radiata [L] Wilczek). Int. J. Food Sci. Nutr. 2015, 66, 203–209. [Google Scholar] [CrossRef]
- Joshi, D.; Roy, S.; Banerjee, S. Prebiotics: A Functional Food in Health and Disease; Elsevier: Amsterdam, The Netherlands, 2018; ISBN 9780081021040. [Google Scholar]
- Torres-León, C.; Ramírez-Guzmán, N.; Ascacio-Valdés, J.; Serna-Cock, L.; dos Santos Correia, M.T.; Contreras-Esquivel, J.C.; Aguilar, C.N. Solid-State Fermentation with Aspergillus Niger to Enhance the Phenolic Contents and Antioxidative Activity of Mexican Mango Seed: A Promising Source of Natural Antioxidants. LWT 2019, 112, 108236. [Google Scholar] [CrossRef]
- Melini, F.; Melini, V. Impact of Fermentation on Phenolic Compounds and Antioxidant Capacity of Quinoa. Fermentation 2021, 7, 20. [Google Scholar] [CrossRef]
- Aung, T.; Park, S.; Kim, M. Influence of Lactobacillus (LAB) Fermentation on the Enhancement of Branched Chain Amino Acids and Antioxidant Properties in Bran among Wheat By-Products. Fermentation 2022, 8, 732. [Google Scholar] [CrossRef]
- Chaubey, P.S.; Somani, G.; Kanchan, D.; Sathaye, S.; Varakumar, S.; Singhal, R.S. Evaluation of Debittered and Germinated Fenugreek (Trigonella Foenum Graecum L.) Seed Flour on the Chemical Characteristics, Biological Activities, and Sensory Profile of Fortified Bread. J. Food Process. Preserv. 2018, 42, e13395. [Google Scholar] [CrossRef]
- Hubert, J.; Berger, M.; Nepveu, F.; Paul, F.; Daydé, J. Effects of Fermentation on the Phytochemical Composition and Antioxidant Properties of Soy Germ. Food Chem. 2008, 109, 709–721. [Google Scholar] [CrossRef] [PubMed]
- Rocchetti, G.; Miragoli, F.; Zacconi, C.; Lucini, L.; Rebecchi, A. Impact of Cooking and Fermentation by Lactic Acid Bacteria on Phenolic Profile of Quinoa and Buckwheat Seeds. Food Res. Int. 2019, 119, 886–894. [Google Scholar] [CrossRef]
- Adebo, O.A.; Medina-Meza, I.G. Impact of Fermentation on the Phenolic Compounds and Antioxidant Activity of Whole Cereal Grains: A Mini Review. Molecules 2020, 25, 927. [Google Scholar] [CrossRef]
- Yan, Y.; Li, X.; Guan, H.; Huang, L.; Ma, X.; Peng, Y.; Li, Z.; Nie, G.; Zhou, J.; Yang, W.; et al. Microbial Community and Fermentation Characteristic of Italian Ryegrass Silage Prepared with Corn Stover and Lactic Acid Bacteria. Bioresour. Technol. 2019, 279, 166–173. [Google Scholar] [CrossRef] [PubMed]
- Maleki, S.; Razavi, S.H.; Yadav, H.; Letizia Manca, M. New Horizon to the World of Gut Microbiome: Seeds Germination. Crit. Rev. Food Sci. Nutr. 2024, 1–19. [Google Scholar] [CrossRef] [PubMed]
- Sanjukta, S.; Rai, A.K.; Muhammed, A.; Jeyaram, K.; Talukdar, N.C. Enhancement of Antioxidant Properties of Two Soybean Varieties of Sikkim Himalayan Region by Proteolytic Bacillus Subtilis Fermentation. J. Funct. Foods 2015, 14, 650–658. [Google Scholar] [CrossRef]
- Ngene, A.C.; Onwuakor, C.E.; Aguiyi, J.C.; Ifeanyi, V.O.; Ohaegbu, C.G.; Okwuchukwu, C.P.; Kim, E.G.; Egbere, J.O. Screening of Some Lactic Acid Bacteria Isolated from Selected Nigerian Fermented Foods for Vitamin Production. Adv. Microbiol. 2019, 9, 943–955. [Google Scholar] [CrossRef]








| Name of Samples Based on Ratio of Basil Powder (g)–Water (mL) | Fermentation Time (h) | All Samples’ Abbreviations | ||||
|---|---|---|---|---|---|---|
| A: adding 1 g of basil powder to 4 mL of water | 0: without fermentation (control) 24: 24 h fermentation 48: 48 h fermentation 72: 72 h fermentation 96: 96 h fermentation | A-0 | A-24 | A-48 | A-72 | A-96 |
| B: adding 1 g of basil powder to 5 mL of water | B-0 | B-24 | B-48 | B-72 | B-96 | |
| C: adding 1 g of basil powder to 6 mL of water | C-0 | C-24 | C-48 | C-72 | C-96 | |
| D: adding 1 g of basil powder to 7 mL of water | D-0 | D-24 | D-48 | D-72 | D-96 | |
| E: adding 1 g of basil powder to 8 mL of water | E-0 | E-24 | E-48 | E-72 | E-96 | |
| F: adding 1 g of basil powder to 9 mL of water | F-0 | F-24 | F-48 | F-72 | F-96 | |
| G: adding 1 g of basil powder to 10 mL of water | G-0 | G-24 | G-48 | G-72 | G-96 | |
| Samples | Moisture% |
|---|---|
| A | 79 ± 0.3 |
| B | 84 ± 0.3 |
| C | 86 ± 0.7 |
| D | 88 ± 0.3 |
| E | 89 ± 0.60 |
| F | 90 ± 0.6 |
| G | 91 ± 0.4 |
| Sample/Time | 0 | 24 h | 48 h | 72 h | 96 h | |||||
|---|---|---|---|---|---|---|---|---|---|---|
| pH | TMC 1 | pH | TMC 1 | pH | TMC 1 | pH | TMC 1 | pH | TMC 1 | |
| A | 6.05 a ± 0.07 | 8.92 ± 0.85 | 5.19 b ± 0.03 | 11.98 ± 0.81 | 5.22 b ± 0.13 | 11.99 ± 0.11 | 5.24 b ± 0.01 | 12.20 ± 0.058 | 5.24 b ± 0.08 | 12.89 ± 0.55 |
| B | 6.23 a ± 0.16 | 8.92 ± 0.85 | 5.22 b ± 0.07 | 11.79 ± 0.91 | 5.22 b ± 0.02 | 11.82 ± 0.03 | 5.21 b ± 0.25 | 12.00 ± 0.12 | 5.22 b ± 0. 42 | 12.48 ± 0.70 |
| C | 6.21 a ± 0.04 | 8.92 ± 0.85 | 5.12 b ± 0.04 | 11.61 ± 1.04 | 5.14 b ± 0.02 | 11.80 ± 0.32 | 5.19 b ± 0.01 | 12.44 ± 0.14 | 5.20 b ± 0.218 | 12.62± 0.61 |
| D | 6.27 a ± 0.05 | 8.92 ± 0.85 | 5.16 b ± 0.02 | 11.75 ± 2.04 | 5.17 b ± 0.01 | 11.90 ± 0.21 | 5.18 b ± 0.06 | 12.12 ± 0.25 | 5.19 b ± 0.11 | 12.24± 0.16 |
| E | 6.24 a ± 0.01 | 8.92± 0.85 | 5.11 b ± 0.04 | 12.26 ± 1.05 | 5.12 b ± 0.01 | 12.25 ± 0.33 | 5.13 b ± 0.02 | 12.40 ± 0.33 | 5.22 b ± 0.27 | 12.72 ± 0.761 |
| F | 6.31 a ± 0.02 | 8.92 ± 0.85 | 5.17 b ± 0.05 | 12.38 ± 0.79 | 5.18 b ± 0.06 | 12.46 ± 0.33 | 5.19 b ± 0.01 | 12.70 ± 0.44 | 5.22 b ± 0.11 | 13.15 ± 0.84 |
| G | 6.29 a ± 0.03 | 8.92 ± 0.85 | 5.17 b ± 0.01 | 12.73 ± 0.95 | 5.22 b ± 0.04 | 12.48 ± 0.12 | 5.16 b ± 0.07 | 12.50 ± 0.83 | 5.26 b ± 0.12 | 12.48 ± 0.82 |
Disclaimer/Publisher’s Note: The statements, opinions and data contained in all publications are solely those of the individual author(s) and contributor(s) and not of MDPI and/or the editor(s). MDPI and/or the editor(s) disclaim responsibility for any injury to people or property resulting from any ideas, methods, instructions or products referred to in the content. |
© 2024 by the authors. Licensee MDPI, Basel, Switzerland. This article is an open access article distributed under the terms and conditions of the Creative Commons Attribution (CC BY) license (https://creativecommons.org/licenses/by/4.0/).
Share and Cite
Maleki, S.; Razavi, S.H.; Yadav, H.; Mousavi, Z.E.; Jain, S. Determining Fermentation Conditions to Enhance Antioxidant Properties and Nutritional Value of Basil Seeds Using Lactobacillus plantarum. Fermentation 2024, 10, 467. https://doi.org/10.3390/fermentation10090467
Maleki S, Razavi SH, Yadav H, Mousavi ZE, Jain S. Determining Fermentation Conditions to Enhance Antioxidant Properties and Nutritional Value of Basil Seeds Using Lactobacillus plantarum. Fermentation. 2024; 10(9):467. https://doi.org/10.3390/fermentation10090467
Chicago/Turabian StyleMaleki, Sima, Seyed Hadi Razavi, Hariom Yadav, Zeinab E. Mousavi, and Shalini Jain. 2024. "Determining Fermentation Conditions to Enhance Antioxidant Properties and Nutritional Value of Basil Seeds Using Lactobacillus plantarum" Fermentation 10, no. 9: 467. https://doi.org/10.3390/fermentation10090467
APA StyleMaleki, S., Razavi, S. H., Yadav, H., Mousavi, Z. E., & Jain, S. (2024). Determining Fermentation Conditions to Enhance Antioxidant Properties and Nutritional Value of Basil Seeds Using Lactobacillus plantarum. Fermentation, 10(9), 467. https://doi.org/10.3390/fermentation10090467

