Metabolic Oscillation Phenomena in Clostridia Species—A Review
Abstract
1. Introduction
2. Metabolic Oscillation in Clostridia
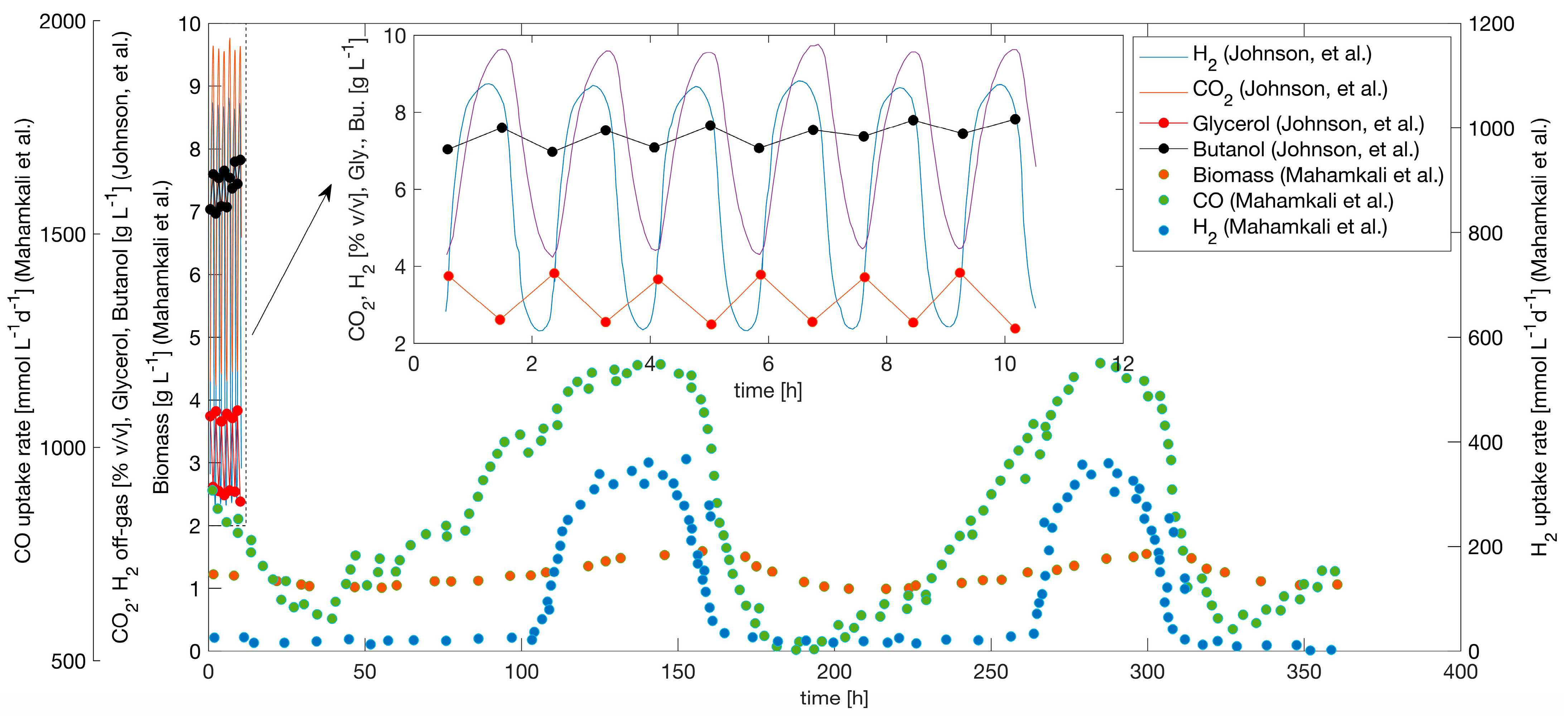
2.1. Metabolic Oscillation in Clostridium pasteurianum
2.2. Metabolic Oscillation in Clostridium acetobutylicum
2.3. Metabolic Oscillation in Clostridium saccharoperbutylacetonicum
2.4. Metabolic Oscillation in Clostridium thermobutyricum
2.5. Metabolic Oscillation in Clostridium beijerinckii
2.6. Metabolic Oscillation in Clostridium autoethanogenum
2.7. Metabolic Oscillation in Clostridium butyricum
| Organism | Process/Application | Oscillating Parameters | Oscillation Conditions | Period of Oscillation | Mechanism of Oscillation | Strategies to Mitigate | Source |
|---|---|---|---|---|---|---|---|
| C. pasteurianum | Butanol production | CO2 in off-gas; redox potential | Batch fermentations on glycerol, pH of 4.7, after 20 h of fermentation time | A few hours | “true metabolic response” | [38] | |
| Butanol production | CO2 in off-gas; redox potential | Continuous fermentation with glycerol as substrate | A few hours | Regulation of enzymes involved in the oxidative glycerol metabolism by intermediates or reductive equivalents | Oscillation ceases for lower fermentation temperatures | [32] | |
| Butanol production | Concentrations of glycerol, butanol, butyric acid; cell viability and density | Continuous fermentation | Multiple days | Product inhibition (butanol) | n/a | [41] | |
| C. acetobutylicum | ABE fermentation | Growth rate; concentrations of acids and solvents | Continuous fermentation | ~30 h | Biphasic behaviour; acidogenic vs. solventogenic phase | n/a | [43] |
| ABE fermentation | Biomass; concentrations of glucose, butanol, butyric acid, acetone, acetic acid, ethanol | Continuous fermentation; spin-filter perfusion bioreactor to retain cells and only remove cell-free spent medium; feed glucose concentrations over 49 g/L | ~24 h | Product inhibition (butanol) | Removal of cell-containing medium instead of only cell-free medium | [45] | |
| ABE fermentation | Gas production; cell growth; concentrations of acids and solvents | Continuous fermentation, low dilution rates | Several days | Product inhibition (butanol) | n/a | [46] | |
| H2 production | Cell growth; concentrations of glucose and acids; H2 outflow | Degenerated strain (no sporulation, no solventogenesis), continuous fermentation with high dilution rate | ~50 h | n/a | Eventually self-stabilized after 400 h of fermentation | [47] | |
| C. saccharoperbutylacetonicum | Conversion of n-Butyrate to n-Butanol | Concentration of butanol | Continuous culture, in situ product removal via gas stripping | 4–6 days | n/a | Establishing a two stage-system; first stage: “continuous inoculum”; second stage: actual conversion | [51] |
| C. thermobutyricum | Butyric acid production | Concentrations of butyrate and acetate | Continuous cultivation in rotary fermenter system, glucose as substrate | Several days | Product inhibition (H2) | n/a | [53] |
| C. beijerinckii | Butanol from gas fermentation | CO2 and H2 in fermentation off-gasses | Fed-batch fermentation | A few hours | Partial re-assimilation of CO2 and H2, mixotrophic carbon capture | n/a | [54] |
| ABE fermentation | Cell and glucose concentrations as well as acid production | Continuous culture | ~50 h | Biphasic behaviour; acidogenic vs. solventogenic phase | High dilution rates favour acid-producing cells, eventually self-stabilized after 60 h | [56] | |
| ABE fermentation | Acid and solvent production | Continuous culture | Between 20 and 100 h | Biphasic behaviour; acidogenic vs. solventogenic phase | n/a | [55] | |
| H2 production | Concentrations of glucose and ethanol | Batch culture of C. beijerinckii 6A1 with alcohol stillage supplemented with glucose as a substrate | ~70 h | Switch between saccharification and fermentation | n/a | [57] | |
| C. autoethanogenum | Gas fermentation using syngas | Gas uptake rate; concentrations of extracellular by-products (acetate, ethanol, 2,3-butanediol, pyruvate); biomass levels | Continuous culture | 6 days | Alternating growth on CO and CO and H2, coordinated with cell-internal redox potential | n/a | [33] |
| C. butyricum | 1,3-propandiol production from glycerol | Cell morphology; biomass; concentrations of glycerol, 1,3-propandiol, butyrate, acetate, formate, lactate; redox-potential; CO2 and H2 in off-gas | Continuous fermentation, glycerol-limited conditions at low dilution rates | 51 h (~2 days) | Connected to redox state of the cells | n/a | [60] |
| Clostridia-dominated Consortium | 1,3-Propandiol production form crude glycerol | Make-up of the consortium | Continuous fermentation, glycerol-limited conditions | 49 h (~2 days) | C. butyricum causes oscillation, not interaction within consortium | n/a | [59] |
3. Discussion
4. Conclusions
- (A)
- Strains that follow a biphasic growth cycle in batch cultivation (e.g., acid formation followed by solvent formation) can switch between the two growth stages in continuous cultivation, resulting in observed oscillation. Such processes, similar to the production of secondary metabolites, are not well suited for single-reactor continuous processing and benefit from reactor cascades.
- (B)
- Processes using multiple or complex substrates and rates depending on the respective concentrations of these substrates cannot achieve a steady state in response to dynamic change in the substrate concentrations caused by cell growth. Finely tuned process control might be used to provide substrates at suitable ratios to avoid oscillations between them.
- (C)
- In terms of inhibition caused by either a product or an intermediate, the oscillations attributed to this mechanism can be challenging to mitigate and are the least understood, as inhibition is typically expected to simply result in a different steady state. Different degrees of cell synchronization appear during these oscillations, resulting in vastly different timescales. Such systems offer excellent opportunities to investigate the dynamics of complex metabolic networks.
5. Future Directions
Author Contributions
Funding
Institutional Review Board Statement
Informed Consent Statement
Data Availability Statement
Conflicts of Interest
References
- Cao, Y.; Lopatkin, A.; You, L. Elements of Biological Oscillations in Time and Space. Nat. Struct. Mol. Biol. 2016, 23, 1030–1034. [Google Scholar] [CrossRef] [PubMed]
- Patke, A.; Young, M.W.; Axelrod, S. Molecular Mechanisms and Physiological Importance of Circadian Rhythms. Nat. Rev. Mol. Cell Biol. 2020, 21, 67–84. [Google Scholar] [CrossRef] [PubMed]
- Partch, C.L.; Green, C.B.; Takahashi, J.S. Molecular Architecture of the Mammalian Circadian Clock. Trends Cell Biol. 2014, 24, 90–99. [Google Scholar] [CrossRef] [PubMed]
- Harrison, D.E.F.; Topiwala, H.H. Transient and Oscillatory States of Continuous Culture. In Advances in Biochemical Engineering, Volume 3; Advances in Biochemical Engineering/Biotechnology; Springer: Berlin/Heidelberg, Germany, 1974; Volume 3, pp. 167–219. ISBN 978-3-540-06546-3. [Google Scholar]
- Weber, J.; Kayser, A.; Rinas, U. Metabolic Flux Analysis of Escherichia coli in Glucose-Limited Continuous Culture. II. Dynamic Response to Famine and Feast, Activation of the Methylglyoxal Pathway and Oscillatory Behaviour. Microbiology 2005, 151, 707–716. [Google Scholar] [CrossRef]
- Ofiţeru, I.D.; Ferdeş, M.; Knapp, C.W.; Graham, D.W.; Lavric, V. Conditional Confined Oscillatory Dynamics of Escherichia coli Strain K12-MG1655 in Chemostat Systems. Appl. Microbiol. Biotechnol. 2012, 94, 185–192. [Google Scholar] [CrossRef]
- Robert, M.; Murray, D.; Honma, M.; Nakahigashi, K.; Soga, T.; Tomita, M. Extracellular Metabolite Dynamics and Temporal Organization of Metabolic Function in E. coli. In Proceedings of the 2012 ICME International Conference on Complex Medical Engineering (CME), Kobe, Japan, 1–4 July 2012; pp. 197–202. [Google Scholar]
- Jöbses, I.M.L.; Egberts, G.T.C.; Luyben, K.C.A.M.; Roels, J.A. Fermentation Kinetics of Zymomonas mobilis at High Ethanol Concentrations: Oscillations in Continuous Cultures. Biotechnol. Bioeng. 1986, 28, 868–877. [Google Scholar] [CrossRef]
- Menzel, K.; Zeng, A.-P.; Biebl, H.; Deckwer, W.-D. Kinetic, Dynamic, and Pathway Studies of Glycerol Metabolism by Klebsiella pneumoniae in Anaerobic Continuous Culture: I. The Phenomena and Characterization of Oscillation and Hysteresis. Biotechnol. Bioeng. 1996, 52, 549–560. [Google Scholar] [CrossRef]
- Sun, L.-H.; Song, Z.-Y.; Sun, Y.-Q.; Xiu, Z.-L. Dynamic Behavior of Glycerol–Glucose Co-Fermentation for 1,3-Propanediol Production by Klebsiella pneumoniae DSM 2026 under Micro-Aerobic Conditions. World J. Microbiol. Biotechnol. 2010, 26, 1401–1407. [Google Scholar] [CrossRef]
- Richard, P. The Rhythm of Yeast. FEMS Microbiol. Rev. 2003, 27, 547–557. [Google Scholar] [CrossRef]
- Tu, B.P.; McKnight, S.L. The Yeast Metabolic Cycle: Insights into the Life of a Eukaryotic Cell. Cold Spring Harb. Symp. Quant. Biol. 2007, 72, 339–343. [Google Scholar] [CrossRef]
- Meyenburg, H.K.V. Energetics of the Budding Cycle of Saccharomyces cerevisiae during Glucose Limited Aerobic Growth. Arch. Mikrobiol. 1969, 66, 289–303. [Google Scholar] [CrossRef]
- Murray, D.B.; Beckmann, M.; Kitano, H. Regulation of Yeast Oscillatory Dynamics. Proc. Natl. Acad. Sci. USA 2007, 104, 2241–2246. [Google Scholar] [CrossRef]
- Satroutdinov, A.D.; Kuriyama, H.; Kobayashi, H. Oscillatory Metabolism of Saccharomyces cerevisiae in Continuous Culture. FEMS Microbiol. Lett. 1992, 98, 261–267. [Google Scholar] [CrossRef]
- Xu, Z.; Tsurugi, K. A Potential Mechanism of Energy-metabolism Oscillation in an Aerobic Chemostat Culture of the Yeast Saccharomyces cerevisiae. FEBS J. 2006, 273, 1696–1709. [Google Scholar] [CrossRef] [PubMed]
- Das, S.; Barik, D. Pulsatile Signaling of Bistable Switches Reveal the Distinct Nature of Pulse Processing by Mutual Activation and Mutual Inhibition Loop. J. Theor. Biol. 2022, 540, 111075. [Google Scholar] [CrossRef]
- Tyson, J.J.; Novak, B. A Dynamical Paradigm for Molecular Cell Biology. Trends Cell Biol. 2020, 30, 504–515. [Google Scholar] [CrossRef]
- Tong, C.S.; Xu, X.J.; Wu, M. Periodicity, Mixed-Mode Oscillations, and Multiple Timescales in a Phosphoinositide-Rho GTPase Network. Cell Rep. 2023, 42, 112857. [Google Scholar] [CrossRef]
- Jarzębski, A.B. Modelling of Oscillatory Behaviour in Continuous Ethanol Fermentation. Biotechnol. Lett. 1992, 14, 137–142. [Google Scholar] [CrossRef]
- Kardynska, M.; Kogut, D.; Pacholczyk, M.; Smieja, J. Mathematical Modeling of Regulatory Networks of Intracellular Processes—Aims and Selected Methods. Comput. Struct. Biotechnol. J. 2023, 21, 1523–1532. [Google Scholar] [CrossRef] [PubMed]
- Fu, H.; Yang, S.-T. Editorial: Development and Application of Clostridia as Microbial Cell-Factories for Biofuels and Biochemicals Production. Front. Bioeng. Biotechnol. 2022, 9, 831135. [Google Scholar] [CrossRef] [PubMed]
- Cheng, C.; Bao, T.; Yang, S.-T. Engineering Clostridium for Improved Solvent Production: Recent Progress and Perspective. Appl. Microbiol. Biotechnol. 2019, 103, 5549–5566. [Google Scholar] [CrossRef] [PubMed]
- Heffernan, J.K.; Valgepea, K.; De Souza Pinto Lemgruber, R.; Casini, I.; Plan, M.; Tappel, R.; Simpson, S.D.; Köpke, M.; Nielsen, L.K.; Marcellin, E. Enhancing CO2-Valorization Using Clostridium Autoethanogenum for Sustainable Fuel and Chemicals Production. Front. Bioeng. Biotechnol. 2020, 8, 204. [Google Scholar] [CrossRef] [PubMed]
- Jones, D.T.; Woods, D.R. Acetone-Butanol Fermentation Revisited. Microbiol. Rev. 1986, 50, 484–524. [Google Scholar] [CrossRef]
- Liberato, V.; Benevenuti, C.; Coelho, F.; Botelho, A.; Amaral, P.; Pereira, N.; Ferreira, T. Clostridium sp. as Bio-Catalyst for Fuels and Chemicals Production in a Biorefinery Context. Catalysts 2019, 9, 962. [Google Scholar] [CrossRef]
- Oliveira, L.; Rückel, A.; Nordgauer, L.; Schlumprecht, P.; Hutter, E.; Weuster-Botz, D. Comparison of Syngas-Fermenting Clostridia in Stirred-Tank Bioreactors and the Effects of Varying Syngas Impurities. Microorganisms 2022, 10, 681. [Google Scholar] [CrossRef] [PubMed]
- Kasemiire, A.; Avohou, H.T.; De Bleye, C.; Sacre, P.-Y.; Dumont, E.; Hubert, P.; Ziemons, E. Design of Experiments and Design Space Approaches in the Pharmaceutical Bioprocess Optimization. Eur. J. Pharm. Biopharm. 2021, 166, 144–154. [Google Scholar] [CrossRef]
- Llano, T.; Arce, C.; Gallart, L.E.; Perales, A.; Coz, A. Techno-Economic Analysis of Macroalgae Biorefineries: A Comparison between Ethanol and Butanol Facilities. Fermentation 2023, 9, 340. [Google Scholar] [CrossRef]
- Meramo-Hurtado, S.I.; González-Delgado, Á.; Rehmann, L.; Quinones-Bolanos, E.; Mehvar, M. Comparative Analysis of Biorefinery Designs Based on Acetone-Butanol-Ethanol Fermentation under Exergetic, Techno-Economic, and Sensitivity Analyses towards a Sustainability Perspective. J. Clean. Prod. 2021, 298, 126761. [Google Scholar] [CrossRef]
- Xie, D. Continuous Biomanufacturing with Microbes—Upstream Progresses and Challenges. Curr. Opin. Biotechnol. 2022, 78, 102793. [Google Scholar] [CrossRef]
- Johnson, E.E.; Rehmann, L. Self-Synchronized Oscillatory Metabolism of Clostridium pasteurianum in Continuous Culture. Processes 2020, 8, 137. [Google Scholar] [CrossRef]
- Mahamkali, V.; Valgepea, K.; De Souza Pinto Lemgruber, R.; Plan, M.; Tappel, R.; Köpke, M.; Simpson, S.D.; Nielsen, L.K.; Marcellin, E. Redox Controls Metabolic Robustness in the Gas-Fermenting Acetogen Clostridium autoethanogenum. Proc. Natl. Acad. Sci. USA 2020, 117, 13168–13175. [Google Scholar] [CrossRef] [PubMed]
- Dworkin, M.; Gutnick, D. Sergei Winogradsky: A Founder of Modern Microbiology and the First Microbial Ecologist. FEMS Microbiol. Rev. 2012, 36, 364–379. [Google Scholar] [CrossRef] [PubMed]
- Heyndrickx, M.; Vos, P.D.; Vancanneyt, M.; Ley, J.D. The Fermentation of Glycerol by Clostridium butyricum LMG 1212t2 and 1213tl and C. pasteurianum LMG 3285. Appl. Microbiol. Biotechnol. 1991, 34, 637–642. [Google Scholar] [CrossRef]
- Biebl, H. Fermentation of Glycerol by Clostridium pasteurianum—Batch and Continuous Culture Studies. J. Ind. Microbiol. Biotechnol. 2001, 27, 18–26. [Google Scholar] [CrossRef]
- Jensen, T.Ø.; Kvist, T.; Mikkelsen, M.J.; Christensen, P.V.; Westermann, P. Fermentation of Crude Glycerol from Biodiesel Production by Clostridium pasteurianum. J. Ind. Microbiol. Biotechnol. 2012, 39, 709–717. [Google Scholar] [CrossRef] [PubMed]
- Johnson, E.E.; Rehmann, L. The Role of 1,3-Propanediol Production in Fermentation of Glycerol by Clostridium pasteurianum. Bioresour. Technol. 2016, 209, 1–7. [Google Scholar] [CrossRef] [PubMed]
- Wolf, J.; Passarge, J.; Somsen, O.J.G.; Snoep, J.L.; Heinrich, R.; Westerhoff, H.V. Transduction of Intracellular and Intercellular Dynamics in Yeast Glycolytic Oscillations. Biophys. J. 2000, 78, 1145–1153. [Google Scholar] [CrossRef]
- Bi, S.; Kargeti, M.; Colin, R.; Farke, N.; Link, H.; Sourjik, V. Dynamic Fluctuations in a Bacterial Metabolic Network. Nat. Commun. 2023, 14, 2173. [Google Scholar] [CrossRef]
- Gallazzi, A.; Branska, B.; Marinelli, F.; Patakova, P. Continuous Production of N-Butanol by Clostridium pasteurianum DSM 525 Using Suspended and Surface-Immobilized Cells. J. Biotechnol. 2015, 216, 29–35. [Google Scholar] [CrossRef]
- Dürre, P. Fermentative Butanol Production: Bulk Chemical and Biofuel. Ann. N. Y. Acad. Sci. 2008, 1125, 353–362. [Google Scholar] [CrossRef]
- Clarke, K.G.; Hansford, G.S.; Jones, D.T. Nature and Significance of Oscillatory Behavior during Solvent Production by Clostridium acetobutylicum in Continuous Culture. Biotechnol. Bioeng. 1988, 32, 538–544. [Google Scholar] [CrossRef] [PubMed]
- Li, S.; Huang, L.; Ke, C.; Pang, Z.; Liu, L. Pathway Dissection, Regulation, Engineering and Application: Lessons Learned from Biobutanol Production by Solventogenic Clostridia. Biotechnol. Biofuels 2020, 13, 39. [Google Scholar] [CrossRef] [PubMed]
- Mulchandani, A.; Volesky, B. Production of Acetone-Butanol-Ethanol by Clostridium acetobutylicum Using a Spin Filter Perfusion Bioreactor. J. Biotechnol. 1994, 34, 51–60. [Google Scholar] [CrossRef]
- Barbeau, J.Y.; Marchal, R.; Vandecasteele, J.P. Conditions Promoting Stability of Solventogenesis or Culture Degeneration in Continuous Fermentations of Clostridium acetobutylicum. Appl. Microbiol. Biotechnol. 1988, 29, 447–455. [Google Scholar] [CrossRef]
- Guerrero, K.; Gallardo, R.; Paredes, I.; Quintero, J.; Mau, S.; Conejeros, R.; Gentina, J.C.; Aroca, G. Continuous Biohydrogen Production by a Degenerated Strain of Clostridium acetobutylicum ATCC 824. Int. J. Hydrogen Energy 2021, 46, 5100–5111. [Google Scholar] [CrossRef]
- Janssen, H.; Wang, Y.; Blaschek, H.P. CLOSTRIDIUM|Clostridium acetobutylicum. In Encyclopedia of Food Microbiology, 2nd ed.; Batt, C.A., Tortorello, M.L., Eds.; Academic Press: Oxford, UK, 2014; pp. 449–457. ISBN 978-0-12-384733-1. [Google Scholar]
- Tashiro, Y.; Takeda, K.; Kobayashi, G.; Sonomoto, K.; Ishizaki, A.; Yoshino, S. High Butanol Production by Clostridium saccharoperbutylacetonicum N1-4 in Fed-Batch Culture with pH-Stat Continuous Butyric Acid and Glucose Feeding Method. J. Biosci. Bioeng. 2004, 98, 263–268. [Google Scholar] [CrossRef] [PubMed]
- Al-Shorgani, N.K.N.; Ali, E.; Kalil, M.S.; Yusoff, W.M.W. Bioconversion of Butyric Acid to Butanol by Clostridium saccharoperbutylacetonicum N1-4 (ATCC 13564) in a Limited Nutrient Medium. BioEnergy Res. 2012, 5, 287–293. [Google Scholar] [CrossRef]
- Richter, H.; Qureshi, N.; Heger, S.; Dien, B.; Cotta, M.A.; Angenent, L.T. Prolonged Conversion of n-butyrate to n-butanol with Clostridium Saccharoperbutylacetonicum in a Two-stage Continuous Culture with In-situ Product Removal. Biotechnol. Bioeng. 2012, 109, 913–921. [Google Scholar] [CrossRef]
- Wiegel, J.; Kuk, S.-U.; Kohring, G.W. Clostridium thermobutyricum sp. nov., a Moderate Thermophile Isolated from a Cellulolytic Culture, That Produces Butyrate as the Major Product. Int. J. Syst. Bacteriol. 1989, 39, 199–204. [Google Scholar] [CrossRef]
- Canganella, F.; Wiegel, J. Continuous Cultivation of Clostridium thermobutyricum in a Rotary Fermentor System. J. Ind. Microbiol. Biotechnol. 2000, 24, 7–13. [Google Scholar] [CrossRef]
- Sandoval-Espinola, W.J.; Chinn, M.S.; Thon, M.R.; Bruno-Bárcena, J.M. Evidence of Mixotrophic Carbon-Capture by n-Butanol-Producer Clostridium beijerinckii. Sci. Rep. 2017, 7, 12759. [Google Scholar] [CrossRef] [PubMed]
- Ezeji, T.; Qureshi, N.; Blaschek, H.P. Production of Acetone–Butanol–Ethanol (ABE) in a Continuous Flow Bioreactor Using Degermed Corn and Clostridium beijerinckii. Process Biochem. 2007, 42, 34–39. [Google Scholar] [CrossRef]
- Paredes, I.; Quintero, J.; Guerrero, K.; Gallardo, R.; Mau, S.; Conejeros, R.; Gentina, J.C.; Aroca, G. Kinetics of ABE Fermentation Considering the Different Phenotypes Present in a Batch Culture of Clostridium beijerinckii NCIMB-8052. Electron. J. Biotechnol. 2022, 56, 12–21. [Google Scholar] [CrossRef]
- Beschkov, V.; Parvanova-Mancheva, T.; Vasileva, E. Experimental Study of Bio-Hydrogen Production by Clostridium beijerinckii from Different Substrates. Energies 2023, 16, 2747. [Google Scholar] [CrossRef]
- Szymanowska-Powałowska, D.; Orczyk, D.; Leja, K. Biotechnological Potential of Clostridium butyricum Bacteria. Braz. J. Microbiol. 2014, 45, 892–901. [Google Scholar] [CrossRef]
- Zhou, J.-J.; Shen, J.-T.; Wang, X.-L.; Sun, Y.-Q.; Xiu, Z.-L. Stability and Oscillatory Behavior of Microbial Consortium in Continuous Conversion of Crude Glycerol to 1,3-Propanediol. Appl. Microbiol. Biotechnol. 2018, 102, 8291–8305. [Google Scholar] [CrossRef]
- Zhou, J.-J.; Shen, J.-T.; Wang, X.-L.; Sun, Y.-Q.; Xiu, Z.-L. Metabolism, Morphology and Transcriptome Analysis of Oscillatory Behavior of Clostridium butyricum during Long-Term Continuous Fermentation for 1,3-Propanediol Production. Biotechnol. Biofuels 2020, 13, 191. [Google Scholar] [CrossRef]
- Amemiya, T.; Shibata, K.; Yamaguchi, T. Metabolic Oscillations and Glycolytic Phenotypes of Cancer Cells. Int. J. Mol. Sci. 2023, 24, 1914. [Google Scholar] [CrossRef] [PubMed]


Disclaimer/Publisher’s Note: The statements, opinions and data contained in all publications are solely those of the individual author(s) and contributor(s) and not of MDPI and/or the editor(s). MDPI and/or the editor(s) disclaim responsibility for any injury to people or property resulting from any ideas, methods, instructions or products referred to in the content. |
© 2024 by the authors. Licensee MDPI, Basel, Switzerland. This article is an open access article distributed under the terms and conditions of the Creative Commons Attribution (CC BY) license (https://creativecommons.org/licenses/by/4.0/).
Share and Cite
Tyszak, A.; Rehmann, L. Metabolic Oscillation Phenomena in Clostridia Species—A Review. Fermentation 2024, 10, 156. https://doi.org/10.3390/fermentation10030156
Tyszak A, Rehmann L. Metabolic Oscillation Phenomena in Clostridia Species—A Review. Fermentation. 2024; 10(3):156. https://doi.org/10.3390/fermentation10030156
Chicago/Turabian StyleTyszak, Annika, and Lars Rehmann. 2024. "Metabolic Oscillation Phenomena in Clostridia Species—A Review" Fermentation 10, no. 3: 156. https://doi.org/10.3390/fermentation10030156
APA StyleTyszak, A., & Rehmann, L. (2024). Metabolic Oscillation Phenomena in Clostridia Species—A Review. Fermentation, 10(3), 156. https://doi.org/10.3390/fermentation10030156

