A miRNA Signature for Non-Invasive Colorectal Cancer Diagnosis in Morocco: miR-21, miR-29a and miR-92a
Abstract
1. Introduction
2. Results
2.1. Characteristics of the Study Population
2.2. Comparison of miR-21, miR-92, and miR-29 Expression Levels Between CRC Patients and Healthy Volunteers
2.3. The Relationship Between Clinicopathological Characteristics of Patients with CRC and the Expression of miR-21, miR-29a and miR-92a
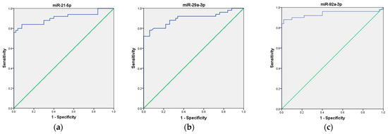
2.4. Potential Diagnostic Value of miR-21, miR-29a, and miR-92a as Biomarkers for CRC
2.5. Correlation Analysis Between Circulating miR-21, miR-29a, and miR-92a
2.6. In Silico Validation of miR-21, miR-92a, and miR-29a as Diagnostic Biomarkers in CRC
3. Materials and Methods
3.1. Patients Recruitment
3.2. Specimens Collection
3.3. Total RNA Purification and microRNA Quantification
3.4. cDNA Synthesis
3.5. cDNA Preamplification
3.6. microRNAs Expression Analysis
3.7. microRNAs Relative Expression
3.8. CA 19-9 CEA Analysis
3.9. In Silico Validation of Candidate microRNAs
3.10. Statistical Analysis
3.11. Ethics Approval and Consent to Participate
4. Discussion
5. Conclusions
Author Contributions
Funding
Institutional Review Board Statement
Informed Consent Statement
Data Availability Statement
Acknowledgments
Conflicts of Interest
Abbreviations
| CRC | Colorectal Cancer |
| APC | Adenomatous Polyposis Coli |
| KRAS | Kirsten Rat Sarcoma Viral Oncogene Homolog |
| miRNAs | MicroRNAs |
| mRNAs | Messenger RNAs |
| miRISC | miRNA-Induced Silencing Complex |
| PTEN | Phosphatase and Tensin Homolog |
| BIM | Bcl-2-Like Protein 11 |
| AUC | Area Under the Curve |
| EDTA | Ethylenediaminetetraacetic Acid |
| Ct | Cycle threshold |
| CEA | Carcinoembryonic Antigen |
| MSI | Microsatellite instability |
| MSS | Microsatellite stable |
| MSI-H | High microsatellite instability |
| CA 19-9 | Carbohydrate Antigen 19-9 |
| SD | Standard Deviation |
| ROC | Receiver Operating Characteristic |
| PPV | Positive Predictive Value |
| NPV | Negative Predictive Value |
References
- Available online: https://gco.iarc.who.int/media/globocan/factsheets/populations/504-morocco-fact-sheet.pdf (accessed on 3 December 2024).
- Ferrari, A.; Neefs, I.; Hoeck, S.; Peeters, M.; Van Hal, G. Towards Novel Non-Invasive Colorectal Cancer Screening Methods: A Comprehensive Review. Cancers 2021, 13, 1820. [Google Scholar] [CrossRef] [PubMed]
- Yamagishi, H.; Kuroda, H.; Imai, Y.; Hiraishi, H. Molecular pathogenesis of sporadic colorectal cancers. Chin. J. Cancer 2016, 35, 4. [Google Scholar] [CrossRef] [PubMed]
- Schetter, A.J.; Okayama, H.; Harris, C.C. The Role of microRNAs in Colorectal Cancer. Cancer J. Sudbury Mass 2012, 18, 244. [Google Scholar] [CrossRef]
- He, L.; Thomson, J.M.; Hemann, M.T.; Hernando-Monge, E.; Mu, D.; Goodson, S.; Powers, S.; Cordon-Cardo, C.; Lowe, S.W.; Hannon, G.J.; et al. A microRNA polycistron as a potential human oncogene. Nature 2005, 435, 828–833. [Google Scholar] [CrossRef]
- Zhang, B.; Pan, X.; Cobb, G.P.; Anderson, T.A. microRNAs as oncogenes and tumor suppressors. Dev. Biol. 2007, 302, 1–12. [Google Scholar] [CrossRef]
- Yousefnia, S.; Negahdary, M. Role of miRNAs in Cancer: Oncogenic and Tumor Suppressor miRNAs, Their Regulation and Therapeutic Applications. In Interdisciplinary Cancer Research; Springer International Publishing: Cham, Switzerland, 2024; pp. 1–27. [Google Scholar] [CrossRef]
- Shenouda, S.K.; Alahari, S.K. MicroRNA function in cancer: Oncogene or a tumor suppressor? Cancer Metastasis Rev. 2009, 28, 369–378. [Google Scholar] [CrossRef]
- O’Brien, J.; Hayder, H.; Zayed, Y.; Peng, C. Overview of MicroRNA Biogenesis, Mechanisms of Actions, and Circulation. Front. Endocrinol. 2018, 9, 402. [Google Scholar] [CrossRef]
- Winter, J.; Diederichs, S. Argonaute proteins regulate microRNA stability: Increased microRNA abundance by Argonaute proteins is due to microRNA stabilization. RNA Biol. 2011, 8, 1149–1157. [Google Scholar] [CrossRef] [PubMed]
- Zhao, C.; Sun, X.; Li, L. Biogenesis and function of extracellular miRNAs. ExRNA 2019, 1, 38. [Google Scholar] [CrossRef]
- Wu, Q.; Li, L.; Jia, Y.; Xu, T.; Zhou, X. Advances in studies of circulating microRNAs: Origination, transportation, and distal target regulation. J. Cell Commun. Signal. 2023, 17, 445–455. [Google Scholar] [CrossRef]
- Turchinovich, A.; Samatov, T.R.; Tonevitsky, A.G.; Burwinkel, B. Circulating miRNAs: Cell–cell communication function? Front. Genet. 2013, 4, 119. [Google Scholar] [CrossRef] [PubMed]
- Michael, M.Z.; O’ Connor, S.M.; van Holst Pellekaan, N.G.; Young, G.P.; James, R.J. Reduced accumulation of specific microRNAs in colorectal neoplasia. Mol. Cancer Res. MCR 2003, 1, 882–891. [Google Scholar]
- Zhang, H.; Li, P.; Ju, H.; Pesta, M.; Kulda, V.; Jin, W.; Cai, M.; Liu, C.; Wu, H.; Xu, J.; et al. Diagnostic and Prognostic Value of microRNA-21 in Colorectal Cancer: An Original Study and Individual Participant Data Meta-Analysis. Cancer Epidemiol. Biomark. Prev. 2014, 23, 2783–2792. [Google Scholar] [CrossRef] [PubMed]
- Zhao, J.; Zhang, Y.; Zhao, G. Emerging role of microRNA-21 in colorectal cancer. Cancer Biomark. 2015, 15, 219–226. [Google Scholar] [CrossRef]
- Xiong, B.; Cheng, Y.; Ma, L.; Zhang, C. MiR-21 regulates biological behavior through the PTEN/PI-3 K/Akt signaling pathway in human colorectal cancer cells. Int. J. Oncol. 2013, 42, 219–228. [Google Scholar] [CrossRef]
- Yu, Y.; Kanwar, S.S.; Patel, B.B.; Oh, P.-S.; Nautiyal, J.; Sarkar, F.H.; Majumdar, A.P.N. MicroRNA-21 induces stemness by downregulating transforming growth factor beta receptor 2 (TGFβR2) in colon cancer cells. Carcinogenesis 2012, 33, 68–76. [Google Scholar] [CrossRef]
- Lin, P.-L.; Wu, D.-W.; Huang, C.-C.; He, T.-Y.; Chou, M.-C.; Sheu, G.-T.; Lee, H. MicroRNA-21 promotes tumour malignancy via increased nuclear translocation of β-catenin and predicts poor outcome in APC-mutated but not in APC-wild-type colorectal cancer. Carcinogenesis 2014, 35, 2175–2182. [Google Scholar] [CrossRef] [PubMed]
- Nguyen, H.T.; Kacimi, S.E.O.; Nguyen, T.L.; Suman, K.H.; Lemus-Martin, R.; Saleem, H.; Do, D.N. MiR-21 in the Cancers of the Digestive System and Its Potential Role as a Diagnostic, Predictive, and Therapeutic Biomarker. Biology 2021, 10, 417. [Google Scholar] [CrossRef]
- Wu, Y.; Song, Y.; Xiong, Y.; Wang, X.; Xu, K.; Han, B.; Bai, Y.; Li, L.; Zhang, Y.; Zhou, L. MicroRNA-21 (Mir-21) Promotes Cell Growth and Invasion by Repressing Tumor Suppressor PTEN in Colorectal Cancer. Cell. Physiol. Biochem. 2017, 43, 945–958. [Google Scholar] [CrossRef]
- Świechowski, R.; Pietrzak, J.; Wosiak, A.; Mik, M.; Balcerczak, E. Genetic Insights into Colorectal Cancer: Evaluating PI3K/AKT Signaling Pathway Genes Expression. Int. J. Mol. Sci. 2024, 25, 5806. [Google Scholar] [CrossRef]
- Zhang, G.-J.; Li, L.-F.; Yang, G.-D.; Xia, S.-S.; Wang, R.; Leng, Z.-W.; Liu, Z.-L.; Tian, H.-P.; He, Y.; Meng, C.-Y.; et al. MiR-92a promotes stem cell-like properties by activating Wnt/β-catenin signaling in colorectal cancer. Oncotarget 2017, 8, 101760–101770. [Google Scholar] [CrossRef] [PubMed]
- Zhang, G.; Zhou, H.; Xiao, H.; Liu, Z.; Tian, H.; Zhou, T. MicroRNA-92a Functions as an Oncogene in Colorectal Cancer by Targeting PTEN. Dig. Dis. Sci. 2014, 59, 98–107. [Google Scholar] [CrossRef]
- Ke, T.-W.; Wei, P.-L.; Yeh, K.-T.; Chen, W.T.-L.; Cheng, Y.-W. MiR-92a Promotes Cell Metastasis of Colorectal Cancer Through PTEN-Mediated PI3K/AKT Pathway. Ann. Surg. Oncol. 2015, 22, 2649–2655. [Google Scholar] [CrossRef]
- Chen, E.; Li, Q.; Wang, H.; Yang, F.; Min, L.; Yang, J. MiR-92a promotes tumorigenesis of colorectal cancer, a transcriptomic and functional based study. Biomed. Pharmacother. 2018, 106, 1370–1377. [Google Scholar] [CrossRef]
- Zaki, A.; Fawzy, A.; Akel, S.Y.; Gamal, H.; Elshimy, R.A.A. Evaluation of microRNA 92a Expression and Its Target Protein Bim in Colorectal Cancer. Asian Pac. J. Cancer Prev. APJCP 2022, 23, 723–730. [Google Scholar] [CrossRef]
- Tsuchida, A.; Ohno, S.; Wu, W.; Borjigin, N.; Fujita, K.; Aoki, T.; Ueda, S.; Takanashi, M.; Kuroda, M. miR-92 is a key oncogenic component of the miR-17–92 cluster in colon cancer. Cancer Sci. 2011, 102, 2264–2271. [Google Scholar] [CrossRef] [PubMed]
- Tang, W.; Zhu, Y.; Gao, J.; Fu, J.; Liu, C.; Liu, Y.; Song, C.; Zhu, S.; Leng, Y.; Wang, G.; et al. MicroRNA-29a promotes colorectal cancer metastasis by regulating matrix metalloproteinase 2 and E-cadherin via KLF4. Br. J. Cancer 2014, 110, 450–458. [Google Scholar] [CrossRef]
- Yuan, L.-L.; Li, L.; Liu, J.-N.; Mei, J.; Lei, C.-J. Down-regulation of miR-29a facilitates apoptosis of colorectal carcinoma cell SW480 and suppresses its Paclitaxel resistance. Eur. Rev. Med. Pharmacol. Sci. 2018, 22, 5499–5507. [Google Scholar] [CrossRef] [PubMed]
- Fathi, S.; Guessous, F.; Karkouri, M. Diagnostic Value of Potential MicroRNAs in CRC: A Meta-Analysis. MicroRNA 2022, 11, 190–205. [Google Scholar] [CrossRef]
- Yang, C.-L.; Tsai, F.-M.; Chen, C.-W.; Hsiao, K.-H.; Chen, J.-H.; Kao, W.-Y. Comparing miR-16 and miR-1228 as an optimal endogenous control for quantification of circulating microRNAs in colorectal cancer patients. Tzu-Chi Med. J. 2022, 34, 318–322. [Google Scholar] [CrossRef]
- Hu, J.; Wang, Z.; Liao, B.-Y.; Yu, L.; Gao, X.; Lu, S.; Wang, S.; Dai, Z.; Zhang, X.; Chen, Q.; et al. Human miR-1228 as a stable endogenous control for the quantification of circulating microRNAs in cancer patients. Int. J. Cancer 2014, 135, 1187–1194. [Google Scholar] [CrossRef] [PubMed]
- Livak, K.J.; Schmittgen, T.D. Analysis of relative gene expression data using real-time quantitative PCR and the 2−∆∆CT Method. Methods 2001, 25, 402–408. [Google Scholar] [CrossRef]
- Slattery, M.L.; Herrick, J.S.; Pellatt, D.F.; Stevens, J.R.; Mullany, L.E.; Wolff, E.; Hoffman, M.D.; Samowitz, W.S.; Wolff, R.K. MicroRNA profiles in colorectal carcinomas, adenomas and normal colonic mucosa: Variations in miRNA expression and disease progression. Carcinogenesis 2016, 37, 245–261. [Google Scholar] [CrossRef] [PubMed]
- Toiyama, Y.; Takahashi, M.; Hur, K.; Nagasaka, T.; Tanaka, K.; Inoue, Y.; Kusunoki, M.; Boland, C.R.; Goel, A. Serum miR-21 as a diagnostic and prognostic biomarker in colorectal cancer. J. Natl. Cancer Inst. 2013, 105, 849–859. [Google Scholar] [CrossRef]
- Li, C.; Zhao, L.; Chen, Y.; He, T.; Chen, X.; Mao, J.; Li, C.; Lyu, J.; Meng, Q.H. MicroRNA-21 promotes proliferation, migration, and invasion of colorectal cancer, and tumor growth associated with down-regulation of sec23a expression. BMC Cancer 2016, 16, 605. [Google Scholar] [CrossRef] [PubMed]
- Slaby, O.; Svoboda, M.; Fabian, P.; Smerdova, T.; Knoflickova, D.; Bednarikova, M.; Nenutil, R.; Vyzula, R. Altered expression of miR-21, miR-31, miR-143 and miR-145 is related to clinicopathologic features of colorectal cancer. Oncology 2007, 72, 397–402. [Google Scholar] [CrossRef]
- Huang, Z.; Huang, D.; Ni, S.; Peng, Z.; Sheng, W.; Du, X. Plasma microRNAs are promising novel biomarkers for early detection of colorectal cancer. Int. J. Cancer 2010, 127, 118–126. [Google Scholar] [CrossRef]
- Liu, H.-N.; Liu, T.-T.; Wu, H.; Chen, Y.-J.; Tseng, Y.-J.; Yao, C.; Weng, S.-Q.; Dong, L.; Shen, X.-Z. Serum microRNA signatures and metabolomics have high diagnostic value in colorectal cancer using two novel methods. Cancer Sci. 2018, 109, 1185. [Google Scholar] [CrossRef]
- Wang, A.; Deng, S.; Chen, X.; Yu, C.; Du, Q.; Wu, Y.; Chen, G.; Hu, L.; Hu, C.; Li, Y. miR-29a-5p/STAT3 Positive Feedback Loop Regulates TETs in Colitis-Associated Colorectal Cancer. Inflamm. Bowel Dis. 2020, 26, 524–533. [Google Scholar] [CrossRef]
- Shi, Y.; Liu, Z. Serum miR-92a-1 is a novel diagnostic biomarker for colorectal cancer. J. Cell. Mol. Med. 2020, 24, 8363. [Google Scholar] [CrossRef]
- Sharma, M.; Pruitt, K. Wnt Pathway: An Integral Hub for Developmental and Oncogenic Signaling Networks. Int. J. Mol. Sci. 2020, 21, 8018. [Google Scholar] [CrossRef] [PubMed]
- Stark, V.A.; Facey, C.O.B.; Opdenaker, L.; Fields, J.Z.; Boman, B.M. Differential miRNA Expression Contributes to Emergence of Multiple Cancer Stem Cell Subpopulations in Human Colorectal Cancer. bioRxiv 2023. [Google Scholar] [CrossRef]
- Viswanathan, V.; Opdenaker, L.; Modarai, S.; Fields, J.Z.; Gonye, G.; Boman, B.M. MicroRNA Expression Profiling of Normal and Malignant Human Colonic Stem Cells Identifies miRNA92a as a Regulator of the LRIG1 Stem Cell Gene. Int. J. Mol. Sci. 2020, 21, 2804. [Google Scholar] [CrossRef] [PubMed]







| Category | Patients | miR-21 Expression | miR-29a Expression | miR-92a Expression | |||
|---|---|---|---|---|---|---|---|
| N (%) | Mean ± SD | p-Value | Mean ± SD | p-Value | Mean ± SD | p-Value | |
| Sex | |||||||
| Male | 29 (58%) | 7.58 ± 5.14 | 0.630 | 10.93 ± 12.07 | 0.945 | 12.81 ± 10.11 | 0.867 |
| Female | 21 (42%) | 7.19 ± 5.84 | 7.74 ± 7.95 | 11.98 ± 8.05 | |||
| Age at diagnosis, years | |||||||
| <50 | 10 (20%) | 8.25 ± 0.96 | 0.014 | 8.51 ± 3.48 | 0.395 | 11.48 ± 1.46 | 0.102 |
| ≥50 | 40 (80%) | 3.50 ± 1.25 | 10.53 ± 1.66 | 16.40 ± 2.62 | |||
| Family history of CRC | |||||||
| Yes | 38 (76%) | 9.38 ± 6.02 | 0.180 | 11.83 ± 13.70 | 0.874 | 17.37 ± 9.92 | 0.050 |
| No | 12 (24%) | 6.80 ± 5.11 | 8.88 ± 9.47 | 10.92 ± 8.55 | |||
| Smoking status | |||||||
| Yes | 16 (32%) | 7.87 ± 5.04 | 0.205 | 7.80 ± 8.44 | 0.460 | 9.57 ± 8.59 | 0.134 |
| No | 34 (68%) | 6.46 ± 6.14 | 10.43 ± 11.44 | 13.83 ± 9.31 | |||
| ECOG PS | |||||||
| 0 | 31 (62%) | 7.36 ± 5.08 | 0.960 | 9.56 ± 10.33 | 0.849 | 13.38 ± 9.34 | 0.303 |
| 1 | 19 (38%) | 7.51 ± 6.01 | 9.63 ± 11.22 | 10.97 ± 9.06 | |||
| Tumor location | |||||||
| Colon | 28 (56%) | 7.63 ± 5.56 | 0.769 | 12.30 ± 11.02 | 0.004 | 12.14 ± 8.84 | 0.769 |
| Rectum | 22 (44%) | 7.14 ± 5.28 | 6.13 ± 9.04 | 12.87 ± 9.88 | |||
| Tumor sidedness | |||||||
| Right | 15 (30%) | 9.40 ± 6.17 | 0.122 | 12.74 ± 9.68 | 0.035 | 13.68 ± 10.75 | 0.695 |
| Left | 35 (70%) | 6.57 ± 4.87 | 8.24 ± 10.76 | 11.94 ± 8.60 | |||
| Tumor size, cm | |||||||
| ≤5 | 23 (46%) | 4.27 ± 0.78 | 0.002 | 6.96 ± 1.93 | 0.036 | 12.43 ± 2.24 | 0.741 |
| >5 | 27 (54%) | 9.88 ± 1.24 | 12.82 ± 2.11 | 12.49 ± 1.51 | |||
| Histological type | |||||||
| Adenocarcinoma | 45 (90%) | 6.90 ± 4.93 | 0.132 | 9.21 ± 10.80 | 0.159 | 12.73 ± 9.58 | 0.638 |
| Mucinous cell carcinoma | 5 (10%) | 12.08 ± 7.62 | 12.99 ± 8.15 | 10.04 ± 4.86 | |||
| Histological grade | |||||||
| Well-differentiated | 6 (12%) | 7.54 ± 6.20 | 1 | 13.65 ± 6.98 | 0.070 | 10.49 ± 9.00 | 0.694 |
| Moderately to poorly differentiated | 44 (88%) | 7.40 ± 5.35 | 9.04 ± 10.90 | 12.73 ± 9.32 | |||
| MSI Status | |||||||
| MSS | 34 (68%) | 8.03 ± 1.01 | 0.129 | 9.30 ± 1.67 | 0.610 | 11.55 ± 1.55 | 0.270 |
| MSI-H | 16 (32%) | 5.74 ± 1.54 | 11.88 ± 3.06 | 14.41 ± 2.39 | |||
| Clinical stage | |||||||
| II | 11(22%) | 3.78 ± 3.30 | 0.001 | 9.77 ± 8.06 | 0.844 | 3.78 ± 3.15 | 0.001 |
| III | 21 (42%) | 6.86 ± 5.88 | 9.40 ± 10.45 | 13.18 ± 9.31 | |||
| IV | 18 (36%) | 10.29 ± 4.36 | 9.70 ± 12.43 | 16.93 ± 8.17 | |||
| Metastatic burden | |||||||
| 0 | 31 (62%) | 5.85 ± 5.38 | 0.004 | 9.45 ± 9.71 | 0.979 | 9.47 ± 8.65 | 0.002 |
| 1 | 15 (30%) | 9.29 ± 4.49 | 10.50 ± 13.05 | 14.64 ± 6.32 | |||
| ≥2 | 4 (8%) | 12.54 ± 3.67 | 7.23 ± 8.45 | 27.48 ± 6.14 | |||
| Lymph node metastasis | |||||||
| Yes | 8 (16%) | 10.51 ± 4.01 | 0.036 | 9.88 ± 10.91 | 0.649 | 20.00 ± 9.34 | 0.015 |
| No | 42 (84%) | 6.38 ± 5.46 | 8.04 ± 8.93 | 11.03 ± 8.57 | |||
| Lung metastasis | |||||||
| Yes | 2 (4%) | 9.25 ± 0.36 | 0.392 | 16.01 ± 21.36 | 0.720 | 24.02 ± 5.14 | 0.069 |
| No | 48 (96%) | 7.34 ± 5.49 | 9.32 ± 10.23 | 11.98 ± 9.06 | |||
| Liver metastasis | |||||||
| Yes | 14 (28%) | 10.60 ± 4.83 | 0.004 | 8.55 ± 11.82 | 0.674 | 17.75 ± 8.46 | 0.013 |
| No | 36 (72%) | 6.18 ± 5.14 | 9.99 ± 10.18 | 10.41 ± 8.77 | |||
| Abdominal pain | |||||||
| No | 23 (46%) | 7.52 ± 4.71 | 0.668 | 7.79 ± 7.72 | 0.984 | 12.50 ± 9.47 | 0.946 |
| Yes | 27 (54%) | 7.33 ± 6.00 | 11.12 ± 12.43 | 12.43 ± 9.19 | |||
| Nausea | |||||||
| Yes | 1 (20%) | 12.29 | 0.400 | 0.72 | 0.320 | 3.63 | 0.520 |
| No | 49 (80%) | 7.32 ± 5.40 | 9.77 ± 10.59 | 12.65 ± 9.23 | |||
| Constipation | |||||||
| Yes | 36 (72%) | 7.83 ± 5.55 | 0.430 | 9.34 ± 9.85 | 0.966 | 12.20 ± 8.49 | 0.897 |
| No | 14 (28%) | 6.36 ± 5.00 | 10.24 ± 12.58 | 13.15 ± 11.22 | |||
| Diarrhea | |||||||
| Yes | 13 (26%) | 9.15 ± 6.31 | 0.181 | 11.95 ± 13.05 | 0.781 | 12.06 ± 11.05 | 0.699 |
| No | 37 (74%) | 6.81 ± 4.98 | 8.76 ± 9.61 | 12.61 ± 8.66 | |||
| Bleeding per rectum | |||||||
| Yes | 10 (20%) | 8.03 ± 5.45 | 0.097 | 4.37 ± 3.40 | 0.274 | 10.54 ± 7.45 | 0.624 |
| No | 40 (80%) | 4.94 ± 4.60 | 10.89 ± 11.35 | 12.95 ± 9.63 | |||
| Significant weight loss | |||||||
| Yes | 32 (64%) | 8.14 ± 5.76 | 0.253 | 8.83 ± 9.31 | 0.903 | 13.30 ± 9.93 | 0.518 |
| No | 18 (36%) | 6.13 ± 4.52 | 10.95 ± 12.66 | 10.99 ± 8.15 | |||
| CEA level (ng/mL) | |||||||
| <5 | 34 (68%) | 7.53 ± 5.12 | 0.755 | 10.70 ± 11. 27 | 0.519 | 10.37 ± 8.87 | 0.021 |
| ≥5 | 16 (32%) | 7.17 ± 6.09 | 7.22 ± 8.73 | 16.93 ± 8.56 | |||
| CA19-9 (U/mL) | |||||||
| >37 | 41 (82%) | 7.33 ± 5.27 | 0.830 | 9.61 ± 10.49 | 0.890 | 11.79 ± 8.84 | 0.357 |
| ≤37 | 9 (18%) | 7.82 ± 6.22 | 9.51 ± 11.54 | 15.56 ± 10.80 | |||
| miRNA | SEN (%) | SPE (%) | PPV (%) | NPV (%) | AUC (95% CI) | p-Value |
|---|---|---|---|---|---|---|
| miR-21 | 92 | 56 | 67 | 87 | 0.907 (0.843–0.972) | <0.001 |
| miR-29a | 76 | 94 | 93 | 80 | 0.898 (0.832–0.964) | <0.001 |
| miR-92a | 88 | 90 | 90 | 88 | 0.938 (0.880–0.995) | <0.001 |
| miR-21 + miR-29a | 84 | 75 | 77 | 82 | 0.944 (0.891–0.9970 | <0.001 |
| miR-21 + miR-92a | 90 | 73 | 77 | 88 | 0.966 (0.920–1.000) | <0.001 |
| miR-29a + miR-92a | 82 | 92 | 92 | 84 | 0.976 (0.954–1.000) | <0.001 |
| miR-21 + miR-29a + miR-92a | 85 | 80 | 81 | 84 | 0.968 (0.923–1.000) | <0.001 |
| miRNA Expression | CRC Patients | Healthy Volunteers | p-Value |
|---|---|---|---|
| Mean ± SD | Mean ± SD | ||
| miR-21 | 8.39 ± 1.20 | 6.97 ± 1.01 | <0.001 |
| miR-29a | 6.32 ± 1.25 | 5.42 ± 1.01 | <0.001 |
| miR-92a | 6.60 ± 1.06 | 5.45 ± 0.71 | <0.001 |
Disclaimer/Publisher’s Note: The statements, opinions and data contained in all publications are solely those of the individual author(s) and contributor(s) and not of MDPI and/or the editor(s). MDPI and/or the editor(s) disclaim responsibility for any injury to people or property resulting from any ideas, methods, instructions or products referred to in the content. |
© 2025 by the authors. Licensee MDPI, Basel, Switzerland. This article is an open access article distributed under the terms and conditions of the Creative Commons Attribution (CC BY) license (https://creativecommons.org/licenses/by/4.0/).
Share and Cite
Fathi, S.; Aazzane, O.; Guendaoui, S.; Tawfiq, N.; Sahraoui, S.; Guessous, F.; Karkouri, M. A miRNA Signature for Non-Invasive Colorectal Cancer Diagnosis in Morocco: miR-21, miR-29a and miR-92a. Non-Coding RNA 2025, 11, 26. https://doi.org/10.3390/ncrna11020026
Fathi S, Aazzane O, Guendaoui S, Tawfiq N, Sahraoui S, Guessous F, Karkouri M. A miRNA Signature for Non-Invasive Colorectal Cancer Diagnosis in Morocco: miR-21, miR-29a and miR-92a. Non-Coding RNA. 2025; 11(2):26. https://doi.org/10.3390/ncrna11020026
Chicago/Turabian StyleFathi, Sofia, Oussama Aazzane, Salma Guendaoui, Nezha Tawfiq, Souha Sahraoui, Fadila Guessous, and Mehdi Karkouri. 2025. "A miRNA Signature for Non-Invasive Colorectal Cancer Diagnosis in Morocco: miR-21, miR-29a and miR-92a" Non-Coding RNA 11, no. 2: 26. https://doi.org/10.3390/ncrna11020026
APA StyleFathi, S., Aazzane, O., Guendaoui, S., Tawfiq, N., Sahraoui, S., Guessous, F., & Karkouri, M. (2025). A miRNA Signature for Non-Invasive Colorectal Cancer Diagnosis in Morocco: miR-21, miR-29a and miR-92a. Non-Coding RNA, 11(2), 26. https://doi.org/10.3390/ncrna11020026

