Abstract
Pump-as-turbines (PAT) has been widely used during the last decade as one of the most interesting technologies in the field of energy recovery. Many studies and papers have been published in which the performance of the pumps in the turbine operating regime were analysed. Since horizontal single stage centrifugal norm pumps are most commonly used as PATs, their performances are analysed in this paper. Most of the research was related to individual pump aggregates or smaller groups and to obtaining their performance curves in turbine random mode. In this work, extensive experimental, numerical, and theoretical investigations were conducted to obtain complete dimensionless performance characteristics of single stage centrifugal norm pumps operating as turbines. One of the goals was to form a simple analytical expression that will, for this type of aggregate, map the pump operating characteristic to the appropriate turbine operating regime. By using the expressions obtained and presented in the paperwork, engineers are enabled to make the appropriate choice of pump aggregate for operation in turbine random mode for potential locations. For this purpose, the procedure for choosing the appropriate PAT aggregate or parallel operation of aggregates and the analysis of their operation on the existing system are presented in the paper. This innovative procedure allows us to select quickly PAT aggregates for a potential location and carry out appropriate techno-economic analyses and analyses of possible energy savings.
1. Introduction
Hydroelectric power is a renewable energy source, due to the water cycle—as long as the water cycle continues, this energy source is usable. Hydropower plants are used in the production of electric energy, without significant environmental impact. Compared to thermal and nuclear power plants, from an environmental point of view, hydropower plants have incomparable advantages. Although they do not have a comparable capacity factor with conventional power plants, hydro-energy, especially small-scale hydro-energy, represents a promising solution for a large number of existing and still unused locations. The foregoing facts should be considered especially from the position of increasing electricity needs and long-term environmental strategies. Hydropower plants can provide electricity for base load and/or peak load, depending on their design and the needs of the electrical system users. They are very responsive and capable of achieving rapid changes of operation.
Hydroelectric power is the main form of renewable energy used in Europe and in the World as well, generating more than all other renewable technologies combined. Even though in Europe nearly 40% of the economically viable hydropower potential is not being tapped [].
Production of electricity from renewable energy sources (RES) has become a major issue in meeting the ambitious European renewable energy targets set in the European Commission (EC) legislations [] and confirmed in the action plans of the Member States (EU27) [].
Modern environmental standards that fall under designated areas such as Natura 2000 and the Water Framework Directive significantly affect small hydro power (SHP) potential. According to ESHA [] research, the SHP economically feasible potential was reduced by more than a half for some countries, but there is still a large potential for SHP development in the EU-27. Less than half of the potential has already been used—some 44 TWh/year—and more than 50 TWh/year can be brought in the future. In order to achieve this task and to take advantage of the remaining potential, SHP must be designed site by site to comply with all the environmental requirements [].
There are many things that must be considered when designing a hydroelectric power plant, but the choice of an adequate turbine unit is of particular importance. Due to the technological complexity of small size turbines, in SHPs the use of pumps operating under reverse mode (pump-as-turbines, or PAT) represents a practical solution, considering their wide range of specific speed numbers and available standard sizes. For this reason, PATs are often used in water distribution systems, gravitational pipelines, and oil pipelines, where they can replace pressure reducing valves in hydraulic pumped storage plants. PATs can also be used in small hydropower plants during periods of low water levels. PATs can become a cost-effective alternative to traditional turbines as long as their turbine mode performance can be accurately predicted. However, pump manufacturers do not usually offer performance curves of their pumps operating under turbine mode.
There are manuals dealing with small- and micro-hydropower systems based on PAT, where all aspects of these systems are represented and analysed [,].
Some experimental studies of characteristic curves of centrifugal pumps working as turbines in different specific speeds have been presented in order to obtain an adequate choice of PAT. A closed-loop test rig for experimental studies on hydraulic pumps and turbines has been used with the aim to support experimentally the theoretical studies in the development of accurate and robust models for prediction of PAT performance [,].
Some other experimental studies, such as experimental investigation of Derakhshan and Nourbakhsh [], have led to the prediction of the best efficiency point (BEP) operating parameters of a PAT and dimensionless equations have also been proposed for low-specific-speed centrifugal pumps. The authors obtained second order polynomials for the turbine head dimensionless curve and third order polynomial for the turbine power dimensionless curve, but only for BEP.
Analytical prediction models for evaluating PAT performance, also in BEP, obtained by Rossi and Renzi, were the result of analysis of 32 available curves given in the literature [].
The procedure of selecting the proper pump operating as a turbine requires a detailed analysis, and the goal of many researchers has been to obtain an adequate procedure for PAT selection that would also be as universal as possible.
Barbarelli et al. presented a combined method using statistical and numerical models for selecting a pump operating as a turbine in micro-hydro plants [].
The last two decades of CFD methodology were widely used for predicting PAT performance [,,]. Most cases used performance prediction techniques of the turbine operation of pumps based on best efficiency or on specific speed, such as given in the paper by Frosina et al. []. Numerical investigation given in the research of Bogdanovic Jovanovic et al. [], which compared results with the available methods such as the BUTU method, gave the advantages of using CFD techniques in PAT performance prediction. An empirical method, based on curve fitting of experimental data, is presented in the BUTU method which predicts turbine performance at both best efficiency points (BEPs) and the values away from this point. This is very valuable as a selected PAT will typically not operate exactly at its BEP but somewhere close to it.
Formulas for performance predictions, based on theoretical research, are provided by Stepanoff [], Alatorre-Frenk [], Sharma [], Shmiedl [], Grover [], and Hergt [], where some of results were based on experimental data and some of them assumed that the pump and turbine operating mode achieved the same efficiency.
Nowadays, there are more studies that use artificial neural networks and evolutionary polynomial regression methods for prediction of PAT performance, such as Balacco [], giving the starting point for similar future research.
In recent years, there was also research carried out of PAT with varying rotating speed, such as Hu et al. [] and Zhou et al. [], obtaining useful conclusions regarding the transient hydrodynamic behaviour of PAT.
2. Pumps Used as Turbines
Small hydropower plants can be a significant source of hydropower everywhere, especially in rural areas. Designing a hydropower system and selecting and purchasing a turbine for each specific location represent a fundamental challenge, both engineering and economic. Using standard pumps-as-turbines (PATs) can be an alternative with huge economic advantage. PATs are selected, like any other hydraulic turbines, according to their head and volume flow rate range, while having the maximum possible efficiency, i.e., they must operate around BEP.
There are two particular cases where the use of PATs can be used without any reservations. First, there are gravity water supply systems with the problem of pipeline damping by the valve, which occurs in periods of less water supply regime. In gravity water supply systems, a water tank is placed at a high altitude and water flows by gravity. The water pressure is lowered down to a threshold value in order to guarantee the water supply to all the end-users. The excess of hydraulic energy is dissipated through pressure reducing valves which significantly increase the inefficiency of the entire hydraulic system. One of solutions for increasing the energy efficiency of such a water supply system is to install hydraulic turbines, which could recover some of the hydraulic energy [,]. In such situations, it is always better to install PAT rather than conventional hydraulic turbines, as an effective and less expensive solution. In addition to the gravitational water distribution network, PAT can be applied in any gravity water pipeline system [].
Another suitable application of PAT is for small-hydropower plants []. Small-hydropower plants are located in small rivers which have low water levels in certain periods of the year. The recommendation for turbine selection is that the volume flow rate of the turbine is within the limits , where is an average year water flow rate. Standard turbines, like Francis for example, cannot be used in months of low water levels. Therefore, it would be justified from a technical and economical point of view to add PAT aggregates in order to use the maximum flow rate, even during those months of low water levels. In addition to small-hydropower plants, PAT generators can also be used in smaller hydropower systems, such as micro-, nano- and pico-hydropower plants [,].
The purchase and installation of PAT unit is significantly cheaper compared to conventional hydraulic turbines; the capital cost of PAT may be less than 50% of the comparable conventional turbine. Also, they have lower maintenance and operation costs.
The main issue is that, in most cases, the turbine performance is not available. The prediction of turbine performance in the PAT aggregate has become an increasingly important topic of numerous research works in recent years. Many researchers offer their procedures for selecting PAT [,,,], with more or less accuracy and with certain limitations related to the hydro energetic system. The given methods achieve a relatively good prediction for the BEP, but they show certain errors at operating points away from the BEP.
Single-stage, normal-priming spiral casing pumps, so-called norm pumps, are most often used as PAT aggregates, due to their similarity in operating performance when produced by different manufacturers. Therefore, in this paper we deal with the operating characteristics of norm pumps when operating in turbine mode. Part of the dimensional and all the dimensionless operating characteristics are given in the paper for all sizes of the studied PAT aggregates. The methodology for PAT selection and obtaining its performance curves is presented in this paper.
3. Overview of Previous Research
The main difficulties using PAT aggregate is the lack of performance curves when PAT operates in turbine mode. Current efforts have been in the direction of defining the way of predicting the turbine performance curves, which is essential for choosing PAT aggregate. Many have tried to connect the efficiency values of pump and turbine operation, creating the coupling of these two operation modes.
The best efficiency point in turbine mode is different from BEP in turbine mode, and it depends on the type and size of PAT and the specific speed [].
Tan and Engerda [] tested four PATs operated in both pump and turbine mode and presented a prediction of PAT performance running in turbine mode referring to previous methods available in the literature and considering the specific angular speed and the specific diameter as the main evaluation parameters:
Balacco [] presented a table of PAT performance models in chronological order from 1957 to 2017, where the criterion was BEP or the specific speed of the pump. It is noticeable that there is a significant difference in the form of given formulas which predict PAT performance.
Barbarelli et al. [] suggested dependence of nsp and nst and defined head ratio and flow rate ratio coefficients as a polynomial dependence of the specific speed of the pump, based on the sample of 26 investigated PATs:
where, q is the ratio between turbine and pump volume flow rates at the BEP, h is the ration between turbine and pump head in BEP:
While the specific speed of the pump and turbine is defined as follows:
The connection between nsp and nst is given by authors [] as a linear relationship:
Stefanizzi et al. [] conducted experimental investigation and performance prediction modelling of a single stage centrifugal pump operating as a turbine, recommended following the procedure for prediction of the pump performance curve in turbine operating mode:
where,
The turbine head and volume flow rate at BEP were calculated using the following equations:
Rossi and Renzi [] collected the running data of 32 PATs that were studied and analysed in previous papers, in order to define analytical equations for forecasting the main magnitudes involved in the PAT performance evaluation.
Stepanoff [], Alatorre-Frenk [], and Sharma [] investigated the relation between two coefficients—head ratio and flow rate ratio coefficients—and linked them with pump efficiency. Schmiedl [], Grover [], and Hergt [] also provided a good starting point for recalculating turbine operating parameters.
A comparison of all the research works [,] along with results [,,,,,] is given in Table 1.
Table 1.
Comparison of some previous studies.
In the non-dimensional analysis, three coefficients are used: flow coefficient (ϕ), head coefficient (ψ), and power coefficient (Λ). These coefficients are evaluated considering the flow rate (m3/s), the head (m), the power output of the PAT (W), the impeller diameter (m) and the rotating speed (rad/s). Both flow and head coefficients are normalized with respect to the corresponding BEP:
Most models are based on the specific speed number rather than on the efficiency at BEP, to take into account different PATs which operate in similar operating conditions [].
It should be emphasized that most of predictions are given for the BEP and cannot be considered valid for the whole range of the performance curve.
4. Experimental Research and Recalculation of Pat Performance
For the purposes of this research, the performance of numerous PAT aggregates of the reputable pump manufacturers (KSB, Grundfos) was tested experimentally. Comparisons of performance curves in turbine and pump mode were made, obtaining dimensionless performance curves of PAT aggregates. Approximation of PAT operating curves was performed, i.e., turbine head and turbine power performance curves were obtained using the regression analysis method. Polynomial curves of the fifth degree were obtained, which approximate very well with the dimensionless performance curves of PATs.
In this paper, single stage centrifugal norm pumps were analysed, which in the pump regime operate with a nominal speed around 1450 min−1, depending on pump manufacturer. This selection is made because in many cases PAT units have asynchronous motors which go into the generator mode when the rpm exceeds the synchronous value of 1520 rpm.
On the other hand, asynchronous motors are designed for speeds up to 3000 rpm, of course for markets where the frequency is 50 Hz. In case of grid failure, PAT rpm increases to runaway speed. In the case of pump selection with nominal speed of 3000 rpm runaway operation mode is difficult to handle. The choice of aggregates with lower rpm is completely justified, and this choice overcomes the problems with the runaway operation mode. Also, the durability of aggregates working with lower rpm is higher, as are their reliability in operation, as well as the NPSH characteristics for both pump and turbine mode of operation. On the other hand, if the same aggregates are used in modes with lower rpm, a larger number of them is needed or their price per unit of installed power is higher.
During our research, many pumps were tested in turbine operating mode both experimentally and using CFD analyses. We believe that norm aggregates that have been produced for many years by pump manufacturers that meet the MEI (minimum energy efficiency) standards have very similar characteristics in the turbine random mode, of course depending on their optimal operating point (BEP) in the pump mode and the corresponding number of revolutions. The most important experimental investigations were carried out on several mini-hydroelectric plants. The first analysis was carried out on two mini-hydroelectric plants, SHPP Dzep and SHPP Ljuti Dol. These power plants are characterized by the following operating parameters.
The technical solution of SHPP Dzep includes two water intakes at Mutnica and Garvanica, shorter pipeline routes than the water intakes with a diameter of DN800 and DN700 from water intake Garvanici with a length of approximately 836 m to the mouth of the rivers, and then a gravity pipeline DN1000 to the facility of SHPP DŽEP with a length of approximately 2244 m. At this location the gross head of the turbine is 86 m. The installed flow rate of the SHPP is 1.6 m3/s, and the installation of two turbine aggregates of the Francis type is planned. Since the turbine aggregates have a maximum capacity of approximately 0.9 m3/s, their operation below 360 L/s is not optimal in terms of usefulness, and there is a possibility of vibrations and vortex shedding in the turbine diffuser. For this location, the tests and analysis of the installation of the PAT aggregate—produced by KSB—would work in the period of low water, where there is no major change in the net head, and the available potential is used and increases the efficiency of the operation of the plant with relatively small investments. For this location, turbine aggregates manufactured by KSB: Etanorm-R 200-400, Etanorm-R 300-500, and Etanorm-R 250-500 were considered.
The technical solution of SHPP Ljuti Dol includes three water intakes: the largest in the Bratina dol basin, and two smaller ones in the Glozanska Mahala and Romanova Mahala locations. A pipeline with a diameter of DN800 and a total length of 3450 m runs from the main water intake on Bratina dol. Short pipelines with a length of about 400 m run from Glozanska and Romanova Mahala. The gross head of the turbine at this location is 72.5 m. The installed flow rate of the SHPP is 0.916 m3/s, and the installation of two turbine aggregates of the Francis type is planned. Since the turbine aggregates have a maximum capacity of approximately 0.52 m3/s, their operation below 210 L/s is not optimal in terms of usefulness, and there is a possibility of vibrations and vortex shedding in the turbine diffuser. For this location, the tests and analysis of the installation of the PAT aggregate—manufactured by KSB—would operate in the period of low water, where there is no major change in the net head, due to low speeds in the DN800 diameter pipeline. At the same time the available potential is used, and efficiency is increased in the operation of the plant with relatively small investments.
Since two mini-hydro power plants were built at the same time, the same aggregates were considered, and they were made at the test facility at the KSB factory. Some of the test curves are shown below, in Figure 1.
Figure 1.
Etanorm performance curves in (a) pump and (b) turbine operating regime (n = 1520 rpm).
Test facility, where all experimental measurements of KSB pumps were conducted is presented in Figure 2.
Figure 2.
KSB test facility.
The locations where testing was performed in real conditions at mini-hydropower plants are as follows:
The first location is SHPP Slavnik (Figure 3). This location is directly below the reservoir lake Brestovac on the Pusta River. At this location, there is a pipeline whose purpose is irrigation and water supply to the drinking water factory.
Figure 3.
Installation of PAT aggregate in SHPP Slavnik and test facility.
The main pipeline has a diameter of DN 600, while the water supply connection to the mini-hydroelectric power plant is DN150. The installed capacity of the HPP is approximately 150 L/s, while the length of the pipeline to the HPP location is 3745 m. As the location is directly below the storage lake and the capacity of the pipeline is significantly larger, the solution of installing a PAT unit instead of a classic turbine unit was designed, the price of which would be very high for such a small flow and installed power. For the needs of this location, two aggregates KSB Etanorm 150-315 with impeller diameter 334 mm and Croatia pump NN 150-315 with impeller diameter 335 mm were tested. The pump produced by KSB was tested in the factory, while the pump produced by the Croatia pump was installed on site and tested on site Figure 4.
Figure 4.
NN 150-315 and KSB 150-315 curves in (a) pump and (b) turbine regime (n = 1520 rpm).
It should be noted that during the research and analysis of the PAT operation in the turbine random regime, a project was also being carried out for the purpose of the water supply of the city of Nis, where there are two locations with gravity pipelines and the flow rate is regulated by valves. The flow regulation by valves is done depending on the needs of the water supply system and it is around 4 bar. Detailed analyses, calculations, and tests of etanorm aggregates produced by KSB were conducted for these locations as well, and further implementation and installation of aggregates is expected.
A comparison of obtained performance curves in the pump and turbine regime is shown in Figure 4.
The last example given in the paper is SHPP Citluk in the vicinity of Soko Banja. As with the other SHPPs mentioned, the reason for installing the PAT aggregate is due to the unevenness of the flow duration curve at the water intakes and to enable the use of all available potential (Figure 5).
Figure 5.
Turbine aggregate in SHPP Citluk.
The pipeline is 1304 m long and has an internal diameter of 592 mm, which corresponds to an HDPE pipeline with a nominal pressure of 4 bar. The gross head of the turbine is 36 m, while the installed flow rate is 0.48 m3/s. A PAT aggregate was installed at this location, i.e., a pump manufactured by Grundfos, whose purpose is to maintain production and to use the available potential during periods of low water when the turbine cannot operate. One aggregate with two different impellers (diameters 269 mm and 274 mm) was tested at the facility; one is NK 100-250/269, while the other is NK 100-250/274 (Figure 6). For the impeller diameters 269 mm and 274 mm, the maximum relative difference in the value of turbine head and power is up to 5% and 6%, respectively, and for efficiency up to 10%.
Figure 6.
Performance curves of PATs: NK 100-250/269 and NK 100-250/269 (n = 1520 rpm).
Based on tests which were carried out at the presented locations, CFD analysis, company data, and data from scientific and professional paper works, this study was continued with the aim of providing the dimensionless characteristics of the PAT aggregates, in order to enable quick and efficient assessments of the possibility of installing PAT aggregates and also to choose an adequate PAT aggregate. Some of the test results are presented in the paper as well as the procedure and expressions given in the next Section 5, which can be used to predict, with high accuracy, the turbine operating regime of the NORM pump aggregate.
Many different PATs were experimentally tested, mainly norm pump units of the renowned pump manufacturers KSB and Grundfos. Performance curves of some of the tested pumps are presented in Figure 7 and Figure 8.
Figure 7.
Some of the KSB norm pumps tested experimentally: (a) Etanorm 150-315/334 and (b) Etanorm 250-500/520 operating in pump (n = 1450 rpm) and in turbine mode (n = 1520 rpm and n = 1000 rpm).
Figure 8.
Some of the Grundfos norm pumps tested experimentally: (a) NK 100-315/295 and (b) NK 125-315/290 operating in pump (n = 1470 rpm) and in turbine mode (n = 1520 rpm).
Comparison of Results
Some researchers conducted studies in Stellenbosch University [] and were involved in the implementation of PAT in SHPP (up to 10 kW), using norm pumps for that purpose. They also conducted PAT testing in turbine mode for pump 50–160. A comparison of the results we obtained with the results presented in [] are given in Figure 9, showing an excellent agreement for both turbine parameters: turbine head and turbine power. For part of the performance curves we compared, the maximum relative error of the turbine head did not exceed 5%, for the turbine power even less.
Figure 9.
Comparison of (a) turbine head and (b) turbine power for Etanorm 50-160, n = 1520 rpm with the results obtained by Lombard [].
5. Performance Prediction of Norm Pumps Operate in Turbine Mode
Norm pump aggregates are standardized according to dimensions, connection flanges, and their markings. All standard aggregates at the pump manufacturer bear the following mark: DN (suction) -DN (discharge)-Impeller diameter, for example, 100-80-200.
The analysis of the operation of PAT was performed based on the measured operating curves and the analysis of the numerical simulations of flow that were conducted in earlier research of PAT, as well as the application of the regression analysis of the obtained data.
To check the possibility of PAT application and to make the universal PAT performance curves, 47 aggregates were analysed. Data on aggregates were collected systematically over a long period of time, from experimental testing, data from built-in PAT aggregates, CFD simulations for individual circuits, and published papers [].
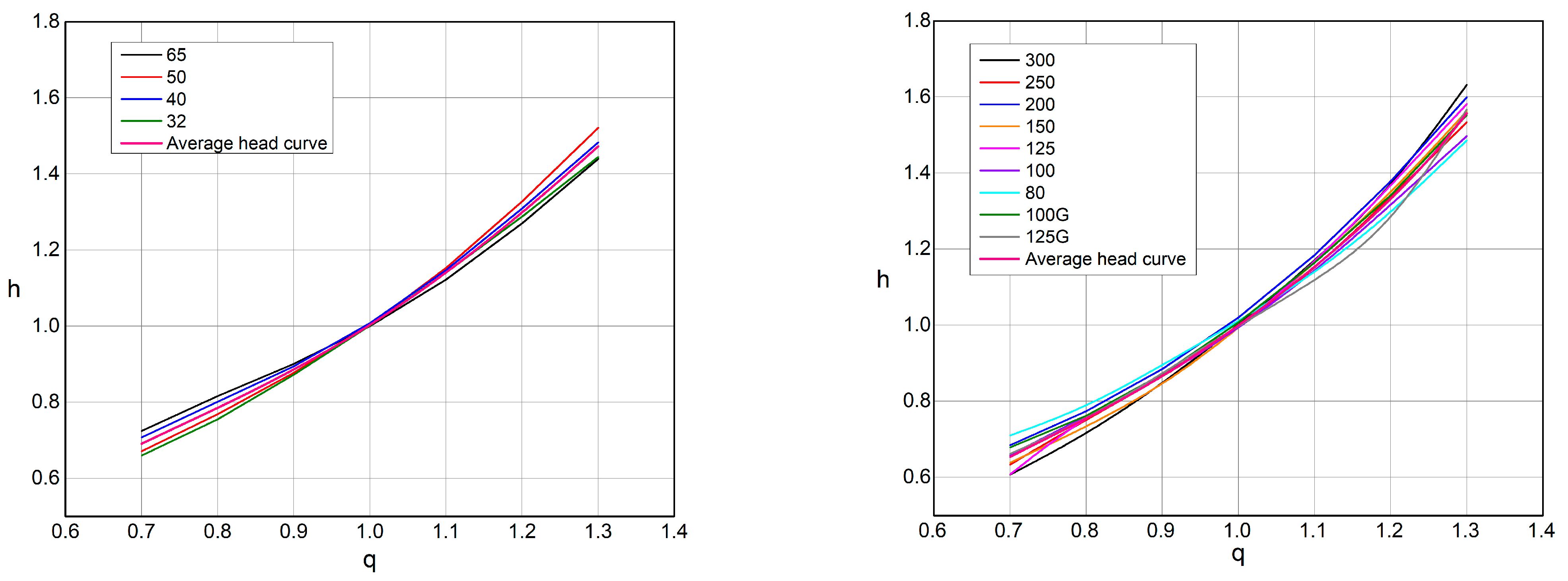
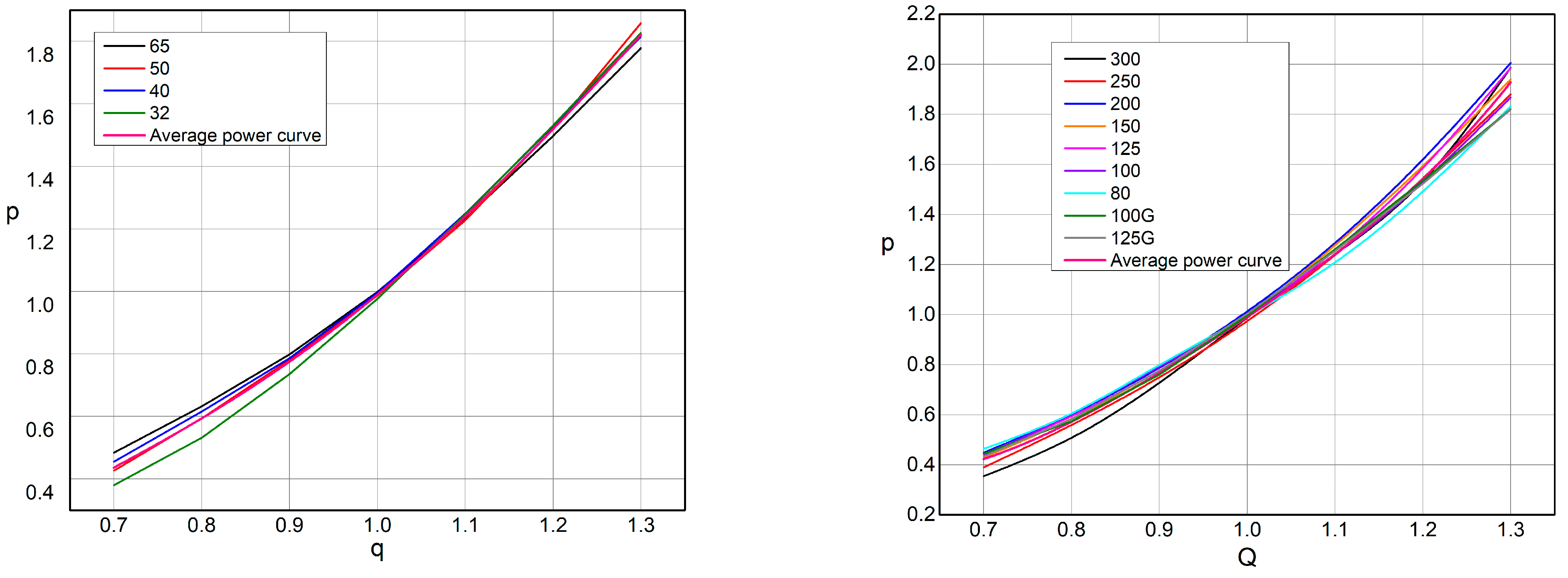
All the data obtained for norm pumps starting with 32 to 300 mm are divided into two groups: smaller pumps from 32 to 65 and larger ones from 80 to 300.
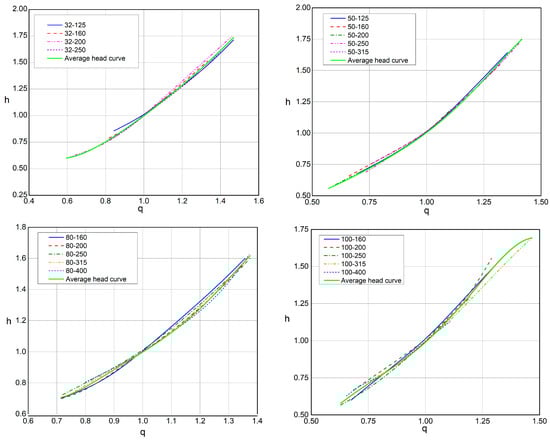
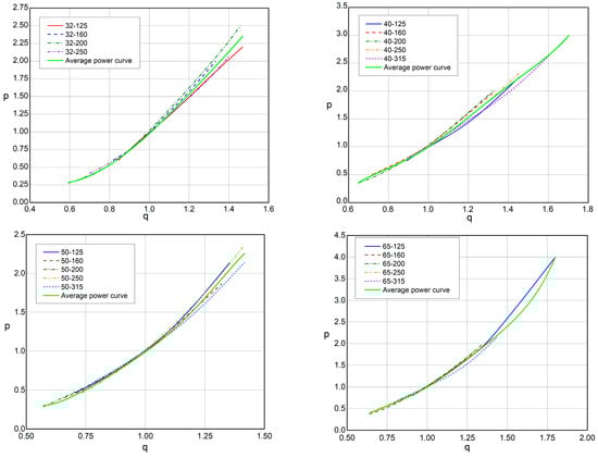
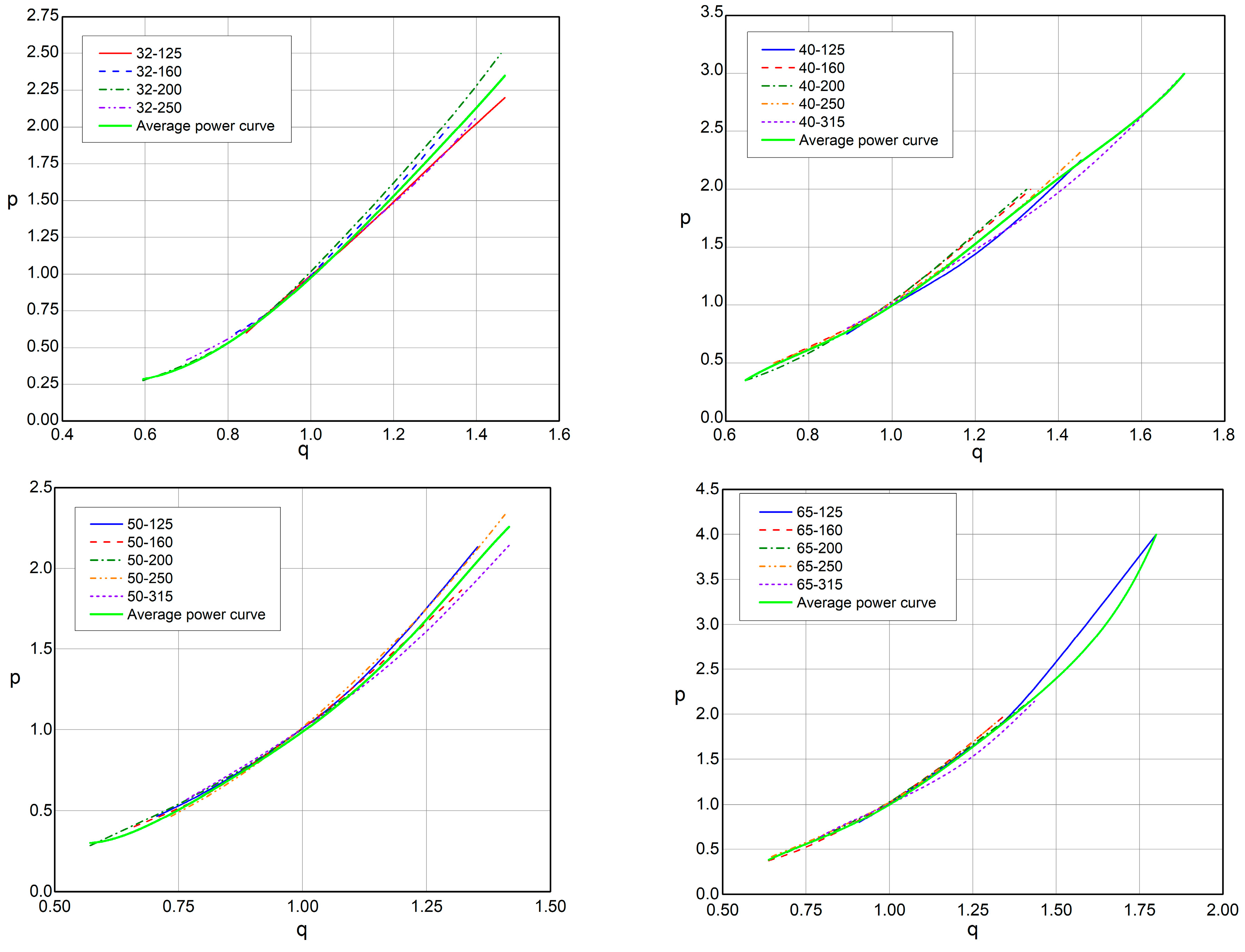
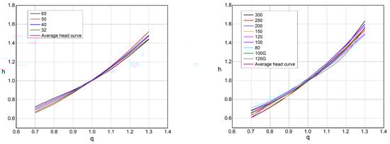
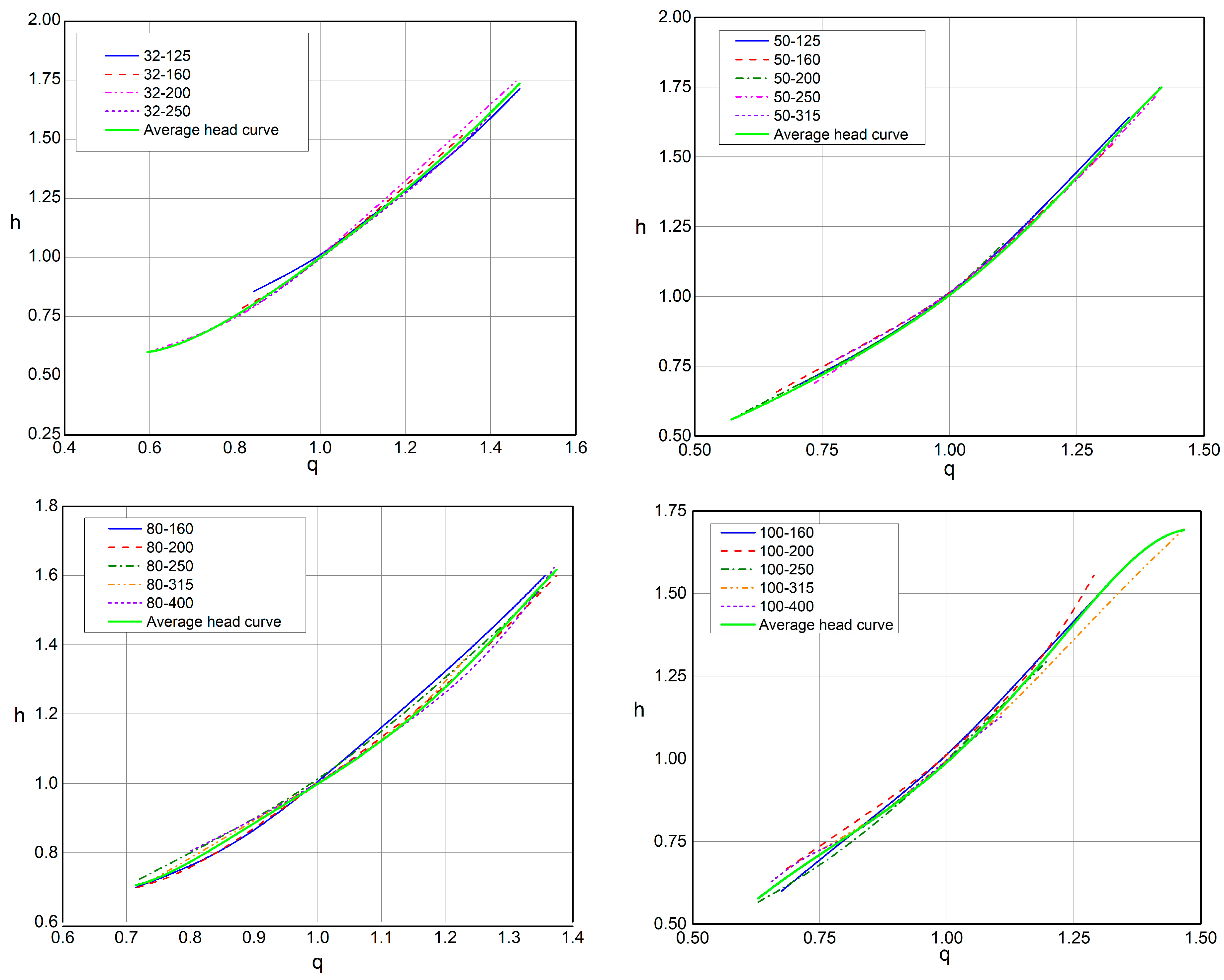
All performance curves are given as dimensionless, to compare different PAT sizes and present the universal performance curve. Dimensionless head curves are given in Figure 10, Figure 11 and Figure 12, while dimensionless power curves are given in Figure 13 and Figure 14.
Figure 10.
Dimensionless head curves of pump and turbine mode: (a) Etanorm 40, (b) Etanorm 65.

Figure 11.
Dimensionless head curves (Etanorm 32, 50, 80, 100, 125, 150, 200, 250, 300).
Figure 12.
Dimensionless head curves (Grundfos 100 and 125).

Figure 13.
Dimensionless power curves Etanorm 32, 40, 50, 65, 80, 100, 125, 150, 200, 250, 300.
Figure 14.
Dimensionless power curves of PAT: (a) Grundfos 100 and (b) Grundfos 125.
The theory of similarity is used to recalculate the performance curves for the required number of revolutions of the machine, using the following expressions:
while for the efficiency calculation, the following formula is used:
The previous Equations (14) and (15) show the relationship between the specific operating parameters (volume flow rate, head, power, and efficiency) and the number of revolutions, so are used to recalculate the operating characteristics when the number of revolutions changes.
For the obtained performance curves, the point of maximum efficiency and the corresponding values of volume flow rate, head, and power are determined.
The data on the obtained performance curves of PAT units are now translated into a dimensionless form in the following way:
In Figure 10 different dimensionless head curves are presented, for various PAT aggregates produced by the KSB pump factory, and Figure 11 shows curves for some pumps manufactured by Grundfos. All curves were obtained using mathematical averaging procedures in order to further develop expressions that greatly simplify the process of selecting PAT aggregates.
Similar to the previous diagrams for dimensionless head curves, Figure 13 and Figure 14 show some of the dimensionless power curves of well-known pump manufacturers: KSB and Grundfos, respectively.
According to obtained data for different PATs, the analytical equation for obtaining dimensionless curves is derived with conducted regression analysis. A polynomial distribution of the fifth degree was used to ensure that the curve represented the data as well as possible. Polynomial fitting was performed with the requirement that the resulting polynomial had the smallest error in relation to all existing points.
For the average head curve and for the smaller PATs from 32 to 65, the formula is as follows:
while for larger PATs the obtained polynomial distribution is the following:
When talking about dimensionless power curves, for PATs from 32 to 65, the obtained distribution is as follows:
while for larger PATs it is the following:
Figure 15.
Dimensionless head curves of PATs and average head curves.
Figure 16.
Dimensionless power curves of PATs and average head curves.
6. Hydrotechnical Characteristics and Selection of Pat
In order to show the selection of the appropriate PAT aggregate based on the presented extensive research and formed equations, the procedure is further presented in this paper. The procedure for choosing the appropriate PAT is shown on the previously mentioned and analysed plant, and that is for one of the locations of gravity pipelines of the water supply system of the city of Nis, Serbia, where flow control is performed by closing the valves.
As a basis for adopting the technical performance of the turbines, the following data on the considered location were used, which were also verified by measurements:
- The volume of the tank at the “Cukljenik” location: 1 × 200 m3
- Total length of pipeline: 2510 m
- Elevation of the bottom of the tank: 320.7 mnm
- Elevation of the reservoir overflow: 324.4 mnm
- Optimum level during turbine operation: 323.5 do 324 mnm
- Elevation of the springs “Studena”: 397.0 mnm
- Supply pipeline to the reservoir: DN400
- Elevation of gallery for equipment accommodation: 324.5 mnm
- Maximum gross turbine head: 73.5 m
- Minimum gross turbine head: 72.5 m
In addition to the previous analysis of the hydrology of the springs from which NIVOS is supplied, there are also multi-year measurements of the public utility company “NAISSUS”, which provides relevant data on average daily flows at the location.
The following diagram shows the mean daily flow and the mean annual flow for the period 2003–2013 (Figure 17).
Figure 17.
Diagram of the mean daily flow and the mean annual flow of the reservoir “Cukljenik” for the period 2003–2013.
To check the data and determine the possible installed flow and net head of the PAT aggregate, measurements of pressure and flow rate were made on the supply pipeline to the “Cukljenik” reservoir. These measurements were carried out to determine with high reliability the so-called system curve. The measurement results are shown in Table 2:
Table 2.
Measured values on the supply pipeline to the “Cukljenik” reservoir.
The determined maximum and minimum curves of the system are given in the following diagram, as well as a comparison with the results obtained by measurement (Figure 18).
Figure 18.
Curves of the system for maximum and minimum water levels in the reservoir.
System Operating Curves, Measurement Results, and Location
Based on all previous analyses and in accordance with the needs of the water supply system, which must first satisfy the needs of the complete supply of the water supply system, the following installed flow and effort were adopted:
First, pump aggregates are selected, whose optimal operating point (in terms of pump head and flow rate) is determined based on the following newly formed expressions, where the possibility of installing one or two aggregates at the observed location is determined.
In the case of installing one unit, the flow rate is QT = 300 L/s = 0.3 m3/s, while in the case of operation of two aggregates, the flow rate is 150 L/s = 0.15 m3/s per aggregate, while the head in the turbine regime remains the same HT = 45 m. The number of revolutions of the PAT aggregate is 1500 rpm.
The specific number of revolutions for both cases now can be calculated:
The relationship between the specific number of revolutions of the pump is given by the following expression:
The obtained specific number of revolutions of the pump are now as follows:
—for one aggregate,
—for two aggregates.
Based on previous research, the relation between the net head of the pump unit and the net head of the turbine regime, as well as the flow ratio between these two operating regimes, is now determined:
The expression for determination of h is defined as follows:
where the proposed coefficients are given in the following Table 3:
Table 3.
Proposed coefficients for h.
The expression for determination of h is defined as follows:
where the proposed coefficients are given in the following Table 4:
Table 4.
Proposed coefficients for q.
For the established parameters, in the given example, the following characteristics of the pump aggregates are obtained (Figure 19 point A):
Figure 19.
Performance curves of Etanorm 250-400, D = 360 mm and D = 380 mm, n = 1450 rpm.
An aggregate which has the closest operating parameters is required. For the example presented is the Etanorm 250-400, operating with n = 1450 rpm (Figure 19).
For the needs of the considered location, first, one pump unit is adopted in the turbine operating regime. Its optimal head for a 360-diameter impeller is Hbep,p = 33 m, while the flow rate is Qbep,p = 210.0 L/s, which is very close to the required operating characteristics. The other option is a pump aggregate with a 380-diameter impeller with the optimal operating regime Hbep,p = 37.2 m and Qbep,p = 227.0 L/s.
Then, for the case of installing two aggregates, the following parameters are obtained (Figure 19 point B):
and then look for a pump unit that has the closest operating regime.
For the considered location, two pump aggregates are chosen in the turbine operating mode.
The optimal operating point for the impeller diameter of 334 mm is Hbep,p = 32 m and Qbep,p = 120.0 L/s, while for the defined flow rate 110 L/s, the aggregate operates with a head of 33 m and an efficiency of around 86% (Figure 20 point C).
Figure 20.
Performance curves of Etanorm 150-315, D = 334 mm, n = 1450 rpm.
By applying the expressions obtained based on our research presented in this paper, the following curve of the PAT aggregate is obtained while maintaining the efficiency at around the optimal operating point:
According to the proposed procedure, the turbine head curves were obtained, and for a shown example they are represented by the diagrams in Figure 21, while the power curves are given in Figure 22.
Figure 21.
Calculated head curves for different PAT solutions (250-400 and 150-315).
Figure 22.
Calculated power curves for different PAT solutions (250-400 and 150-315).
The procedure of choosing PAT aggregates and the calculation of its operating curves is simple and very accurate. With a few corrections on the impeller (for example trimming) the operation of the PAT aggregate can be brought to the optimal mode.
In Figure 21, it is noticeable that all the proposed solutions are practically satisfactory, within the limits of small changes in turbine heads, which are usual for such plants.
To confirm the PAT aggregate selection procedure, we compared the results with those obtained at the specific location given in []. For the location in Brazil the maximum total demand of power was 43 kW, for flow rate of 0.27 m3/s and maximum turbine net head of 21.8 m. These requirements led to the selection of a KSB pump Meganorm 200–250 pump designed for a nominal flow rate of 0.21 m3/s and a head of 15 m, with efficiency of 84%, operating with n = 1760 rpm at frequency 60 Hz []. If considered that the turbine and pump efficiency have the same values, then for the required power and available flow rate, when operating with n = 1500 rpm at frequency 50 Hz, the turbine net head is determined to be 19.5 m. Conducting the previously shown procedure, the pump operating parameters are obtained: QP = 0.162 m3/s and HP = 11.2 m. When these operating parameters are converted to a frequency of 60 Hz and n = 1450 rpm, QP = 0.2 m3/s and HP = 16.5 m were obtained, which is close enough to the operating parameters of the pump adopted at the site []. This confirms the satisfactory accuracy of the proposed procedure for selecting a norm pump to operate as a turbine.
7. Conclusions
This paper presents a new methodology used to select the appropriate pump unit for operation in turbine random mode. The data presented in this paper are the result of many years of research, experimental tests, tests on objects, and numerical CFD analysis. For many single-stage centrifugal, so-called norm pump aggregates, operating curves were determined in the turbine operating regime and the curves were then converted into a dimensionless form and divided into two groups according to a specific number of revolutions. The quality of this research regarding previous analyses is reflected in the fact that the defined procedure and the obtained results provide the complete operating curve of the PAT aggregate, not just the BEP regime.
The paper presents a detailed procedure for the selection of two PAT aggregates, both for an individual (single) operating regime and for a parallel one for an existing facility on the water supply system. The advantage of the presented procedure is the possibility of analysing the proposed solution and obtaining the actual operating regimes of the PAT aggregates in the system. Also, in this way, it is possible to analyse the PAT aggregate operating in a system that changes its regimes during the operation, which is the reality in many cases. In addition to determining the operating regime according to the turbine head and flow rate, the described procedure also obtains the power of the aggregate in the turbine operating regime, thus enabling the procedure to determine the possible production of electricity. All the results presented in the paper are given in a dimensionless form and the procedures for translating the data into a dimensional form, for a potential location, are also shown. In this way it is possible to perform engineering calculations and techno-economic analysis of the application of PAT aggregates.
Author Contributions
Conceptualization, J.B.-J.; methodology J.B.-J. and Ž.S.; software, J.B.-J. and Ž.S.; validation, M.K. and J.P.; formal analysis, J.B.-J. and Ž.S.; investigation J.B.-J., Ž.S., M.K. and J.P.; resources J.B.-J., Ž.S., M.K. and J.P.; data curation, J.B.-J. and Ž.S.; writing-original draft preparation J.B.-J. and Ž.S., writing—review and editing J.B.-J.; visualization, J.B.-J. and Ž.S.; supervision, J.B.-J. and Ž.S.; project administration, J.B.-J. All authors have read and agreed to the published version of the manuscript.
Funding
This research was financially supported by the Ministry of Science, Technological Development and Innovation of the Republic of Serbia (Contract No. 451-451-03-65/2024-03).
Data Availability Statement
The original contributions presented in the study are included in the article, further inquiries can be directed to the corresponding authors.
Conflicts of Interest
The authors declare no conflict of interest.
References
- Morales Pedraza, J. Electrical Energy Generation in Europe; Springer: Berlin/Heidelberg, Germany, 2015; ISBN 978-3-319-16082-5. [Google Scholar] [CrossRef]
- European Commission. RES Directive 2009/28/EC of the European Parliament and of the Council of 23 April 2009 on the promotion of the use of energy from renewable. Official J. L 140 05/06/2009 2009, 0016–0062. [Google Scholar]
- European Commission. Directive 2009/29/EC of the European Parliament and of the Council of 23 April 2009 amending Directive 2003/87/EC so as to improve and extend the greenhouse gas emission allowance trading scheme of the Community. Official J. L 140 05/06/2009 2009, 0063–0087. [Google Scholar]
- Small Hydropower Roadmap; Condensed Research Data for EU-27; ESHA: Maasmechelen, Belgium, 2012.
- Chapallaz, J.M.; Eichenberger, P.; Fischer, G. Manual on Pumps Used as Turbines; Vieweg: Braunschweig, Germany, 1992. [Google Scholar]
- Teuteberg, B.T. Design of a Pump-As-Turbine Microhydro System for an Abalone Farm; Final Report for Mechanical Project 878; Department of Mechanical and Mechatronic Engineering, Stellenbosch University: Stellenbosch, South Africa, 2010; 153p. [Google Scholar]
- Tan, X.; Engeda, A. Performance of centrifugal pumps running in reverse as turbine: Part II—Systematic specific speed and specific diameter based performance prediction. Renew. Energy 2016, 99, 188–197. [Google Scholar] [CrossRef]
- Stefanizzi, M.; Torresi, M.; Fortunato, B.; Camporeale, S.M. Experimental investigation and performance prediction modeling of a single stage centrifugal pump operating as turbine. Energy Procedia 2017, 126, 589–596. [Google Scholar] [CrossRef]
- Derakhshan, S.; Nourbakhsh, A. Experimental study of characteristic curves of centrifugal pumps working as turbines in different specific speeds. Exp. Therm. Fluid Sci. 2008, 32, 800–807. [Google Scholar] [CrossRef]
- Rossi, M.; Renzi, M.A. Analytical Prediction Models for Evaluating Pumps-As-Turbines (PaTs) Performance. Energy Procedia 2017, 118, 238–242. [Google Scholar] [CrossRef]
- Barbarelli, S.; Amelio, M.; Florio, G. Predictive model estimating the performances of centrifugal pumps used as turbines. Energy 2016, 107, 103–121. [Google Scholar] [CrossRef]
- Frosina, E.; Buono, D.; Senatore, A. A Performance Prediction Method for Pumps as Turbines (PAT) Using Computational Fluid Dynamics (CFD). Model. Approach Energ. 2017, 10, 103. [Google Scholar] [CrossRef]
- Bogdanovic Jovanovic, J.; Miklenkovic, D.; Svrkota, D.; Bogdanovic, B.; Spasic, Z. Pumps used as Turbines—Power Recovery, Energy Efficiency, CFD Analysis. Therm. Sci. 2014, 18, 1029–1040. [Google Scholar] [CrossRef]
- Páscoa1, J.C.; Silva, F.J.; Pinheiro, J.S.; Martins, D.J. A new approach for predicting PAT-pumps operating point from direct pumping mode characteristics. J. Sci. Ind. Res. 2012, 71, 144–148. [Google Scholar]
- Stepanoff, A.J. Centrifugal and Axial Flow Pumps; John Wiley: Hoboken, NJ, USA, 1957. [Google Scholar]
- Alatorre-Frenk, C. Cost Minimization in Micro Hydro Systems Using Pumps as Turbines. Ph.D. Thesis, University of Warwick, Coventry, UK, 1994. [Google Scholar]
- Sharma, K. Small Hydroelectric Project-Use of Centrifugal Pumps as Turbines; Technical Report; Kirloskar Electric Co.: Bangalore, India, 1985. [Google Scholar]
- Schmiedl, E. Kreiselpumpen im Turbinenbetrieb Pumpentagung; CSIR-NISCAIR: Karlsruhe, Germany, 1988. [Google Scholar]
- Grover, K.M. Conversion of Pumps to Turbines; GSA Inter Corp: Katonah, NY, USA, 1980. [Google Scholar]
- Hegrt, P.; Krieger, P.; Tommes, S. Die Stromungstechnischen Eigenschaften von Kreiselpumpen in Turbinenbetrieb; Pumpentagung: Karlsruhe, Germany, 1984. [Google Scholar]
- Balacco, G. Performance Prediction of a Pump as Turbine: Sensitivity Analysis Based on Artificial Neural Networks and Evolutionary Polynomial Regression. Energies 2018, 11, 3497. [Google Scholar] [CrossRef]
- Hu, J.; Su, W.; Li, K.; Wu, K.; Xue, L.; He, G. Transient Hydrodynamic Behavior of a Pump as Turbine with Varying Rotating Speed. Energies 2023, 16, 2071. [Google Scholar] [CrossRef]
- Zhou, W.; Yu, D.; Wang, Y.; Shi, J.; Gan, B. Research on the Fluid-Induced Excitation Characteristics of the Centrifugal Pump Considering the Compound Whirl Effect. Facta Univ. Ser. Mech. Eng. 2023, 21, 223–238. [Google Scholar] [CrossRef]
- Patelis, M.; Kanakoudis, V.; Gonelas, K. Pressure management and energy recovery capabilities using PATs. Procedia Eng. 2016, 162, 503–510. [Google Scholar] [CrossRef]
- Spedaletti, S.; Rossi, M.; Comodi, G.; Salvi, D.; Renzi, M. Energy recovery in gravity adduction pipelines of a water supply system (WSS) for urban areas using Pumps-as-Turbines (PaTs). Sustain. Energy Technol. Assess. 2021, 45, 101040. [Google Scholar] [CrossRef]
- Plusa, T.; Kocewiak, K.; Duda, P. Analysis of the Possibilities of Energy Recovery from Gravity Flows in Pipelines in a Copper Ore Enrichment Plant. Energies 2024, 17, 1548. [Google Scholar] [CrossRef]
- Ali, A.; Yuan, J.; Javed, H.; Si, Q.; Fall, I.; Ohiemi, I.E.; Osman, F.K.; Islam, R. 2023 Small hydropower generation using pump as turbine; a smart solution for the development of Pakistan’s energy. Heliyon 2023, 9, e14993. [Google Scholar] [CrossRef] [PubMed]
- Nejadali, J. Analysis and evaluation of the performance and utilization of regenerative flow pump as turbine (PAT) in Pico-hydropower plants. Energy Sustain. Dev. 2021, 64, 103–117. [Google Scholar] [CrossRef]
- Cornelius Johannes Lombard, A. Design and Implementation of Low Cost Grid-Connected 10 kW Hydro Power System. Master’s Thesis, Stellenbosch University, Stellenbosch, South Africa, 2010. [Google Scholar]
- Pumps, K.S.B. Hydropower from pumps-as-turbines. World Pumps 2012, 14–15. [Google Scholar]
Disclaimer/Publisher’s Note: The statements, opinions and data contained in all publications are solely those of the individual author(s) and contributor(s) and not of MDPI and/or the editor(s). MDPI and/or the editor(s) disclaim responsibility for any injury to people or property resulting from any ideas, methods, instructions or products referred to in the content. |
© 2024 by the authors. Licensee MDPI, Basel, Switzerland. This article is an open access article distributed under the terms and conditions of the Creative Commons Attribution (CC BY) license (https://creativecommons.org/licenses/by/4.0/).