Numerical Analysis of Convective Mass Transfer during Multi-Droplet Impingement on a Structured Surface in the Presence of an Adhered Liquid Film—An Application to Spray Etching of PCBs
Abstract
1. Introduction
2. Model
2.1. Computational Domain
2.2. Material Properties
2.3. Impingement Conditions
2.4. Governing Equations
2.5. Computation Schemes
2.6. Passive Tracer Tracking
3. Results
3.1. Film Dynamics on Droplet Impingement
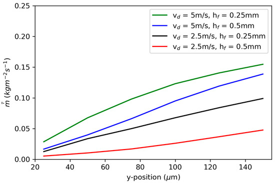
3.2. Convective Mass Transfer Rate
3.3. Tracer Decay
4. Discussion
Author Contributions
Funding
Data Availability Statement
Conflicts of Interest
References
- Peng, C.; Xu, X.; Liang, X. Numerical investigation on crown behavior and energy evolution of droplet impinging onto thin film. Int. Commun. Heat Mass 2020, 114, 104532. [Google Scholar] [CrossRef]
- Bhattacharya, P.; Samanta, A.; Chakraborty, S. Spray evaporative cooling to achieve ultra fast cooling in runout table. Int. J. Therm. Sci. 2009, 48, 1741–1747. [Google Scholar] [CrossRef]
- Lohrasbi, S.; Hammer, R.; Essl, W.; Reiss, G.; Defregger, S.; Sanz, W. A Comprehensive Review on the Core Thermal Management Improvement Concepts in Power Electronics. IEEE Access 2020, 8, 166880–166906. [Google Scholar] [CrossRef]
- Garud, K.; Lee, M.-Y. Grey relational based Taguchi analysis on heat transfer performances of direct oil spray cooling system for electric vehicle driving motor. Int. J. Heat Mass Transf. 2023, 201, 123596. [Google Scholar] [CrossRef]
- Esfe, M.; Kamyab, M.; Valadkhani, M. Application of nanofluids and fluids in photovoltaic thermal system: An updated review. Sol. Energy 2020, 199, 796–818. [Google Scholar] [CrossRef]
- Shih, C.-W.; Wang, Y.-Y.; Wan, C.-C. Anisotropic copper etching with monoethanolamine-complexed cupric ion solutions. J. Appl. Electrochem. 2003, 33, 403–410. [Google Scholar] [CrossRef]
- Löher, T.; Neumann, A.; Böttcher, L.; Pahl, B.; Ostmann, A.; Aschenbrenner, R.; Reichl, H. Smart PCBs Manufacturing Technologies. In Proceedings of the 6th International Conference on Electronics Packaging Technology, Shenzhen, China, 30 August–2 September 2005. [Google Scholar]
- Yeh, T.-K.; Tsai, M.-H.; Wang, M.-Y.; Weng, C.-K. Improved shape evolution of copper interconnects prepared by jet-stream etching. J. Appl. Electrochem. 2008, 38, 1495–1500. [Google Scholar] [CrossRef]
- Reiss, G.; Kosednar-Legenstein, B.; Riedler, J.; Eßl, W. Impact of electric field at rough copper lines on failure time due to electrochemical migration in PCBs. Microelectron. Reliab. 2021, 117, 114035. [Google Scholar] [CrossRef]
- Ramachandran, K.; Liu, F.; Raj, P.; Sundaram, V.; Tummala, R. Conductive Anodic Filament Failures in Fine-Pitch Through-Via Interconnections in Organic Package Substrates. J. Electron. Mat. 2013, 42, 348–354. [Google Scholar] [CrossRef]
- Ready, W.; Turbini, L. The Effect of Flux Chemistry, Applied Voltage, Conductor Spacing, and Temperature on Conductive Anodic Filament Formation. J. Electron. Mat. 2002, 31, 1208–1224. [Google Scholar] [CrossRef]
- Sheng, J.; Li, H.; Shen, S.; Ming, R.; Sun, B.; Wang, J.; Zhang, D.; Tang, Y. Investigation on Chemical Etching Process of FPCB with 18 µm Line Pitch. IEEE Access 2021, 9, 50872–50879. [Google Scholar] [CrossRef]
- Rath, P.; Chai, J.; Zheng, H.; Lam, Y.; Murukeshan, V.; Hu, H. A fixed-grid approach for diffusion- and reaction-controlled wet chemical etching. Int. J. Heat Mass Transf. 2005, 48, 2140–2149. [Google Scholar] [CrossRef]
- Rath, P.; Chai, J.C. Modeling Convection-Driven Diffusion-Controlled Wet Chemical Etching Using a Total-Concentration Fixed-Grid Method. Numer. Heat Tr B Fund. 2007, 53, 143–159. [Google Scholar] [CrossRef]
- Shin, C.B.; Economou, D.J. Effect of Transport and Reaction on the Shape Evolution of Cavities during Wet Chemical Etching. J. Electrochem. Soc. 1989, 136, 1997–2004. [Google Scholar] [CrossRef]
- Jose, J.T.; Dunne, J.F. Numerical Simulation of Single-Droplet Dynamics, Vaporization, and Heat Transfer from Impingement onto Static and Vibrating Surfaces. Fluids 2020, 5, 188. [Google Scholar] [CrossRef]
- Guggilla, G.; Narayanaswamy, R.; Stephan, P.; Pattamatta, A. Influence of flow rate and surface thickness on heat transfer characteristics of two consecutively impinging droplets on a heated surface. Int. J. Heat Mass Transf. 2021, 165, 120688. [Google Scholar] [CrossRef]
- Guilizzoni, M.; Frontera, G. Crater Depth after the Impact of Multiple Drops into Deep Pools. Fluids 2022, 7, 50. [Google Scholar] [CrossRef]
- Muthusamy, J.; Zhang, T.; Alvarado, J.; Kanjirakat, A.; Sadr, R. Hydrodynamic and heat transfer characteristics of droplet train spreading-splashing transition on heated surface. Int. J. Heat Mass Transf. 2021, 164, 120500. [Google Scholar] [CrossRef]
- Díaz, A.; Ortega, A. Investigation of a gas-propelled liquid droplet impinging onto a heated surface. Int. J. Heat Mass Transf. 2013, 67, 1181–1190. [Google Scholar] [CrossRef]
- Yuan, Z.; Matsumoto, M.; Kurose, R. Numerical study of droplet impingement on surfaces with hierarchical structures. Int. J. Multiphas. Flow 2022, 147, 103908. [Google Scholar] [CrossRef]
- Rafi, A.; Haque, M.; Ahmed, D. Two-dimensional analogies to the deformation characteristics of a falling droplet and its collision. Arch. Mech. Eng. 2022, 69, 21–43. [Google Scholar]
- Yang, Q.; Wang, X.; Zhu, L.; Wang, R.; Zhao, J. Numerical investigation of local heat transfer characteristics of an oblique droplet impacting a wetted wall. Case Stud. Therm. Eng. 2019, 14, 100461. [Google Scholar] [CrossRef]
- Lee, S.H.; Hur, N.; Kang, S. A numerical analysis of drop impact on liquid film by using a level set method. J. Mech. Sci. 2011, 25, 2567–2572. [Google Scholar] [CrossRef]
- Wang, Y.-B.; Wang, X.-D.; Wang, T.-H.; Yan, W.-M. Asymmetric heat transfer characteristics of a double droplet impact on a moving liquid film. Int. J. Heat Mass Transf. 2018, 126, 649–659. [Google Scholar] [CrossRef]
- Raman, K.; Jaiman, R.; Lee, T.; Low, H. On the dynamics of crown structure in simultaneous two droplets impact onto stationary and moving liquid film. Comput. Fluids 2015, 107, 285–300. [Google Scholar] [CrossRef]
- Wu, J.; Liu, C.; Zhao, N. Dynamics of falling droplets impact on a liquid film: Hybrid lattice Boltzmann simulation. Colloids Surf. A Physicochem. Eng. Asp. 2015, 472, 92–100. [Google Scholar] [CrossRef]
- Liu, C.; Shen, M.; Wu, J. Investigation of a single droplet impact onto a liquid film with given horizontal velocity. Eur. J. Mech. B Fluids 2018, 67, 269–279. [Google Scholar] [CrossRef]
- Qiyu, H.; Holden, Z. A study of different fluid droplets impacting on a liquid film. Pet. Sci. 2008, 5, 62–66. [Google Scholar]
- Motzkus, C.; Gensdarmes, F.; Géhin, E. Study of the coalescence/splash threshold of droplet impact on liquid films and its relevance in assessing airborne particle release. J. Colloid Interface Sci. 2011, 362, 540–552. [Google Scholar] [CrossRef]
- Yang, J.H.; Lee, C.Y. Experimental study on phenomena of single water droplet impacts on liquid surfaces: Pattern maps and correlations. Exp. Therm. Fluid Sci. 2022, 130, 110480. [Google Scholar] [CrossRef]
- Gao, X.; Li, R. Impact of a single drop on a flowing liquid film. Phys. Rev. E 2015, 92, 053005. [Google Scholar] [CrossRef]
- Wang, X.; Xu, B.; Guo, S.; Zhao, Y.; Chen, Z. Droplet impacting dynamics: Recent progress and future aspects. Adv. Colloid Interface Sci. 2023, 317, 102919. [Google Scholar] [CrossRef]
- Cossali, G.E.; Coghe, A.; Marengo, M. The impact of a single drop on a wetted solid surface. Exp. Fluids. 1997, 22, 463–472. [Google Scholar] [CrossRef]
- Marengo, M.; Tropea, C. Aufprall von Tropfen auf Flüssigkeitsfilme. Dtsch. Forsch. 1999, 194, 1. [Google Scholar]
- Zhang, Z.; Liu, H.; Zhang, F.; Yao, M. Numerical study of spray micro-droplet impinging on dry/wet wall. Appl. Therm. Eng. 2016, 95, 1–9. [Google Scholar] [CrossRef]
- Li, D.; Liang, G.; Hua, D. Simultaneous Impact of Hollow Droplet and Continuous Dense Droplet on Liquid Film. Front. Energy Res. 2022, 10, 911458. [Google Scholar] [CrossRef]
- Nardecchia, F.; Bernardino, A.D.; Pagliaro, F.; Monti, P.; Leuzzi, G.; Gugliermetti, L. CFD Analysis of Urban Canopy Flows Employing the V2F Model: Impact of Different Aspect Ratios and Relative Heights. Adv. Meteorol. 2018, 2018, 2189234. [Google Scholar] [CrossRef]
- Zhao, Y.; Fan, W.; Zhang, R. Influence of coupling schemes of radial and circumferential flame stabilization modes on flow and combustion characteristics of compact combustion for gas turbine. Fuel 2023, 333, 126543. [Google Scholar] [CrossRef]
- Broecker, T.; Elsesser, W.; Teuber, K.; Özgen, I.; Nützmann, G.; Hinkelmann, R. High-resolution simulation of free-surface flow and tracer retention over streambeds with ripples. Limnologica 2018, 68, 46–58. [Google Scholar] [CrossRef]
- Constantinescu, G.; Sukhodolov, A. Mass exchange in a shallow channel flow with a series of groynes: LES study and comparison with laboratory and field experiments. Environ. Fluid Mech. 2009, 9, 587–615. [Google Scholar] [CrossRef]
- Sandoval, J.; Mignot, E.; Mao, L.; Pastén, P.; Bolster, D.; Escauriaza, C. Field and Numerical Investigation of Transport Mechanisms in a Surface Storage Zone. J. Geophys. Res. Earth Surf. 2019, 124, 938–959. [Google Scholar] [CrossRef]
- de Oliveira, L.D.; Janzen, J.; Gualtieri, C. Effects of Geometric Shapes on the Hydrodynamics and Sediment Transport in Lateral Cavities. In Proceedings of the 39th IAHR World Congress, Granada, Spain, 19–24 June 2022. [Google Scholar]
- van Hooff, T.; Blocken, B. CFD evaluation of natural ventilation of indoor environments by the concentration decay method: CO2 gas dispersion from a semi-enclosed stadium. Build. Environ. 2013, 61, 1–17. [Google Scholar] [CrossRef]
- Wang, Q.; Sandberg, M.; Lin, Y.; Yin, S.; Hang, J. Impacts of Urban Layouts and Open Space on Urban Ventilation Evaluated by Concentration Decay Method. Atmosphere 2017, 8, 169. [Google Scholar] [CrossRef]
- Hormigos-Jimenez, S.; Padilla-Marcos, M.; Meiss, A.; Gonzalez-Lezcano, R.; Feijó-Muñoz, J. Experimental validation of the age-of-the-air CFD analysis: A case study. Sci. Technol. Built Environ. 2018, 24, 994–1003. [Google Scholar] [CrossRef]
- ANSYS Fluent User’s Guide, 2021 R1; ANSYS Inc.: Canonsburg, PA, USA, 2021.
- Shanahan, M.E.R. A Simple Analysis of Local Wetting Hysteresis on a Wilhelmy Plate Method. Surf. Interface Anal. 1991, 17, 489–495. [Google Scholar] [CrossRef]
- Breitenbach, J.; Roisman, I.V.; Tropea, C. From drop impact physics to spray cooling models: A critical review. Exp. Fluids 2018, 59, 55. [Google Scholar] [CrossRef]
- Yang, C.; Cao, W.; Yang, Z. Study on dynamic behavior of water droplet impacting on super-hydrophobic surface with micro-pillar structures by VOF method. Colloids Surf. A Physicochem. Eng. Asp. 2021, 630, 127634. [Google Scholar] [CrossRef]
- Choi, M.; Eom, S.; Sung, Y.; Noh, K.; Choi, G. Experimental prediction of multi-nozzle spray characteristics for optimal design in a lead frame etching process. J. Mech. Sci. Technol. 2018, 32, 2127–2139. [Google Scholar] [CrossRef]
- Jung, J.-W.; Choi, G.-M.; Kim, D.-J. Experimental Study on Spray Etching Process in Micro Fabrication of Lead Frame. KSME Int. J. 2004, 18, 2294–2302. [Google Scholar] [CrossRef]
- Jeong, H.-C.; Kim, D.-W.; Choi, G.-M.; Kim, D.-J. The Effect of Spray Characteristics on the Etching of Invar Alloy with FeCl3 Solution. Int. J. Precis. Eng. Manuf. 2009, 10, 107–114. [Google Scholar] [CrossRef]
- Ma, D.; Chang, S.; Wu, K.; Song, M. Experimental study on the water film thickness under spray impingement based on planar LIF. Int. J. Multiph. Flow 2020, 130, 103329. [Google Scholar] [CrossRef]
- ANSYS Fluent Theory Guide, 2021 R1; ANSYS Inc.: Canonsburg, PA, USA, 2021.
- Lafaurie, B.; Nardone, C.; Scardovelli, R.; Zaleski, S.; Zanetti, G. Modelling merging and fragmentation of multiphase flows with surfer. J. Comput. Phys. 1994, 113, 134–147. [Google Scholar] [CrossRef]










| Parameter | Value | 
|---|---|
| domain height | 3 mm | 
| domain width | 3 mm | 
| cavity height | 15 µm | 
| cavity width | 50 µm | 
| spacing between cavities | 50 µm | 
| Property | Symbol | Value | 
|---|---|---|
| density (air) | 1.225 kg m−3 | |
| density (etching solution) | 1245 kg m−3 | |
| viscosity (air) | 1.7894 × 10−5 kg m−1 s−1 | |
| viscosity (etching solution) | 1.2675 × 10−3 kg m−1 s−1 | |
| surface tension | 0.0675 N m−1 | 
| Quantity | Symbol | Value | 
|---|---|---|
| droplet release rate | 1000 Hz | |
| droplet release interval | 0.001 s | |
| droplet diameter | 150 µm | |
| droplet velocity | 2.5 m/s, 5 m/s | |
| film height | 0.25 mm, 0.5 mm | |
| dimensionless film height | 1.67, 3.33 | |
| droplet Reynolds number | 368.34, 736.69 | |
| Weber number | 17.29, 69.17 | |
| impact force | 5.50 µN, 11.00 µN | 
| Disclaimer/Publisher’s Note: The statements, opinions and data contained in all publications are solely those of the individual author(s) and contributor(s) and not of MDPI and/or the editor(s). MDPI and/or the editor(s) disclaim responsibility for any injury to people or property resulting from any ideas, methods, instructions or products referred to in the content. | 
© 2023 by the authors. Licensee MDPI, Basel, Switzerland. This article is an open access article distributed under the terms and conditions of the Creative Commons Attribution (CC BY) license (https://creativecommons.org/licenses/by/4.0/).
Share and Cite
Eßl, W.; Reiss, G.; Raninger, P.; Ecker, W.; Körbler, N.; Gerold, E.; Antrekowitsch, H.; Klocek, J.; Krivec, T. Numerical Analysis of Convective Mass Transfer during Multi-Droplet Impingement on a Structured Surface in the Presence of an Adhered Liquid Film—An Application to Spray Etching of PCBs. Fluids 2023, 8, 180. https://doi.org/10.3390/fluids8060180
Eßl W, Reiss G, Raninger P, Ecker W, Körbler N, Gerold E, Antrekowitsch H, Klocek J, Krivec T. Numerical Analysis of Convective Mass Transfer during Multi-Droplet Impingement on a Structured Surface in the Presence of an Adhered Liquid Film—An Application to Spray Etching of PCBs. Fluids. 2023; 8(6):180. https://doi.org/10.3390/fluids8060180
Chicago/Turabian StyleEßl, Werner, Georg Reiss, Peter Raninger, Werner Ecker, Nadine Körbler, Eva Gerold, Helmut Antrekowitsch, Jolanta Klocek, and Thomas Krivec. 2023. "Numerical Analysis of Convective Mass Transfer during Multi-Droplet Impingement on a Structured Surface in the Presence of an Adhered Liquid Film—An Application to Spray Etching of PCBs" Fluids 8, no. 6: 180. https://doi.org/10.3390/fluids8060180
APA StyleEßl, W., Reiss, G., Raninger, P., Ecker, W., Körbler, N., Gerold, E., Antrekowitsch, H., Klocek, J., & Krivec, T. (2023). Numerical Analysis of Convective Mass Transfer during Multi-Droplet Impingement on a Structured Surface in the Presence of an Adhered Liquid Film—An Application to Spray Etching of PCBs. Fluids, 8(6), 180. https://doi.org/10.3390/fluids8060180
 
        


 
       