Evolution of Water Wave Groups in the Forced Benney–Roskes System
Abstract
1. Introduction
2. Formulation
3. Initial Conditions
3.1. Case 1: Peregrine Breather
3.2. Case 2: Line Soliton
3.3. Case 3: Long Wave Perturbation
3.4. Case 4: Periodic Perturbation
4. Numerical Results
- A second order Fourier split step method is applied to solve these systems (21)–(24). More details are described in Appendix A.
- In (29), the modulation wavenumbers in the transformed space are in directions, respectively.
4.1. Deep-Water Limit
- We will present the results using the dimensional amplitude . For a 5 s wave, s. From the linear dispersion relation m setting m s. Then, from (14) we conclude that m s, m s and m.
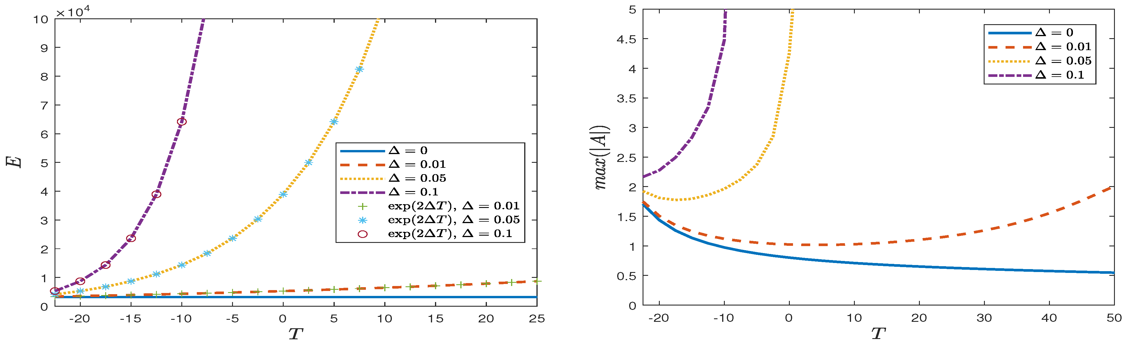
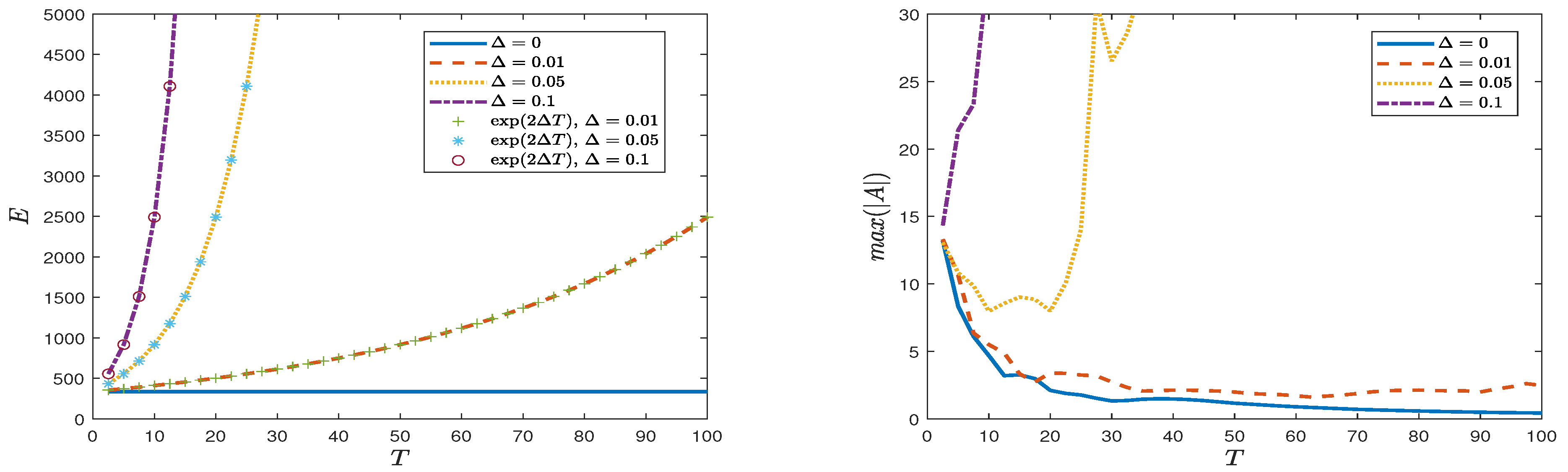
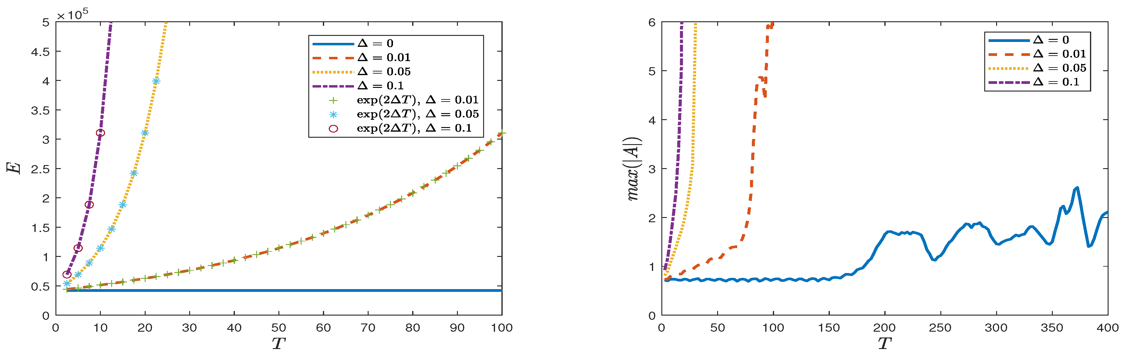
4.1.1. Case 1: Peregrine Breather
4.1.2. Case 2: Line Soliton
4.1.3. Case 3: Long Wave Perturbation
4.1.4. Case 4: Periodic Perturbation
4.2. Finite Depth
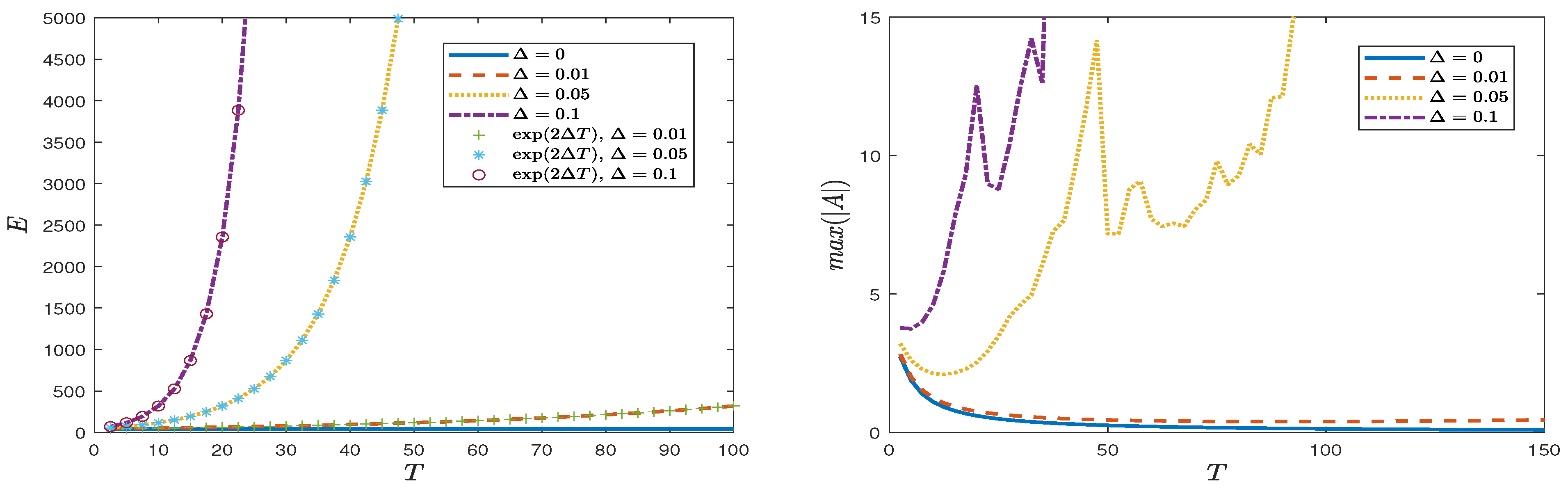
4.2.1. Case 1: Peregrine Breather
4.2.2. Case 2: Line Soliton
4.2.3. Case 3: Long Wave Perturbation
4.2.4. Case 4: Periodic Perturbation
4.3. Shallow Water
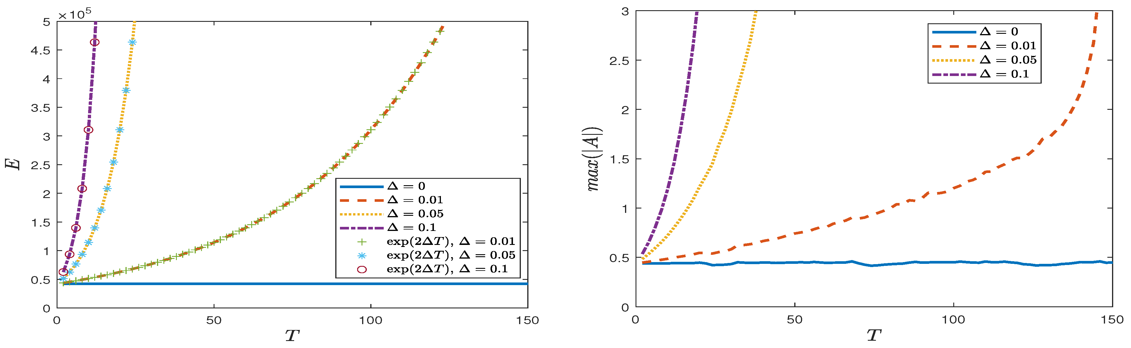
4.3.1. Case 1: Peregrine Breather
- Hence at the initial time , we choose so that are outside the computational -domain. In the numerical simulations, the initial time is s with m and m). The singularities are at . To avoid these singularities, we set the computational domain with the number of Fourier modes for each spatial direction.
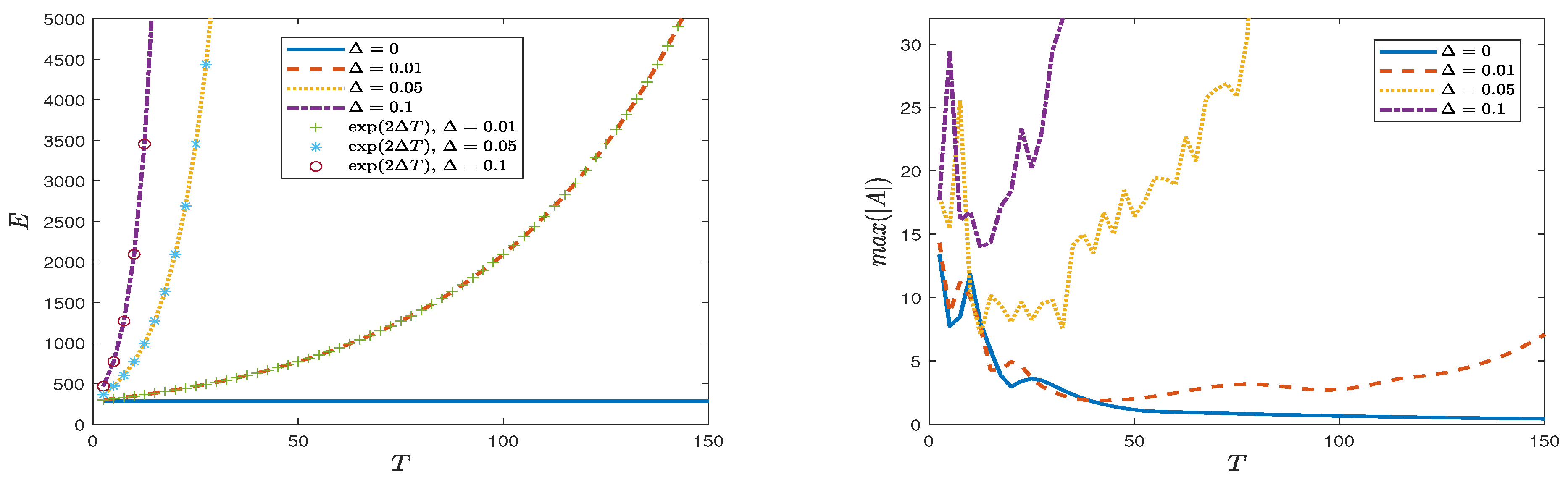
4.3.2. Case 2: Line Soliton
- This is singular at . At these are at and can be placed outside the computational -domain by appropriate choice of through . Here, we put ( m), and then the nearest singular points are . To avoid these singularities, we set the computational domain with the number of Fourier modes for each spatial direction. We simulate only over a short time period s to avoid some reflection effects from the truncated boundaries.
4.3.3. Case 3: Long Wave Perturbation
4.3.4. Case 4: Periodic Perturbation
5. Summary and Discussion
Author Contributions
Funding
Data Availability Statement
Conflicts of Interest
Appendix A. Numerical Method
- By taking the inverse Fourier transform, we can find when is known. At the initial time , is given. Then, we will know explicitly.
- Next, we split the operators by writingwhere the linear and nonlinear operators, and , are defined by
- Define the notationsandwhere refers to time at step m with time spacing . Calculating the numerical solution in time is composed of three steps as follows.where E is . Then, for a given initial condition , we use (A1) to approximate Q and then calculate A using (A2) for the next time step. Directly, we can approximate B in the rescale coordinate from (21) using the transformations (23) and (24).
References
- Grimshaw, R.; Hunt, J.; Johnson, E. IUTAM Symposium Wind Waves, 2017; Elsevier IUTAM Procedia Series; Elsevier: Amsterdam, The Netherlands, 2018; Volume 26, pp. 1–226. [Google Scholar]
- Miles, J.W. On the generation of surface waves by shear flows. J. Fluid Mech. 1957, 3, 185–204. [Google Scholar] [CrossRef]
- Janssen, P. The Interaction of Ocean Waves and Wind; Cambridge University Press: Cambridge, UK, 2004. [Google Scholar]
- Cavaleri, L.; Alves, J.H.; Ardhuin, F.; Babanin, A.; Banner, M.; Belibassakis, K.; Benoit, M.; Donelan, M.; Groeneweg, J.; Herbers, T.; et al. Wave modelling: The state of the art. Prog. Oceanogr. 2007, 75, 603–674. [Google Scholar] [CrossRef]
- Phillips, O.M. On the generation of waves by turbulent wind. J. Fluid Mech. 1957, 2, 417–445. [Google Scholar] [CrossRef]
- Phillips, O.M. Wave interactions - the evolution of an idea. J. Fluid Mech. 1981, 106, 215–227. [Google Scholar] [CrossRef]
- Jeffreys, H. On the formation of water waves by wind. Proc. R. Soc. A 1925, 107, 189–206. [Google Scholar]
- Belcher, S.E.; Hunt, J.C.R. Turbulent flow over hills and waves. Ann. Rev. Fluid Mech. 1998, 30, 507–538. [Google Scholar] [CrossRef]
- Wu, J.; Popinet, S.; Deike, L. Revisiting wind wave growth with fully coupled direct numerical simulations. J. Fluid Mech. 2022, 951, A18. [Google Scholar] [CrossRef]
- Sajjadi, S.G.; Drullion, F.; Hunt, J.C.R. Computational turbulent shear flows over growing and nongrowing wave groups. In IUTAM Symposium Wind Waves; Grimshaw, R., Hunt, J., Johnson, E., Eds.; Elsevier IUTAM Procedia Series; Elsevier: Amsterdam, The Netherlands, 2018; Volume 26, pp. 145–152. [Google Scholar]
- Sullivan, P.P.; Banner, M.L.; Morison, R.; Peirson, W.L. Impacts of wave age on turbulent flow and drag of steep waves. In IUTAM Symposium Wind Waves; Grimshaw, R., Hunt, J., Johnson, E., Eds.; Elsevier IUTAM Procedia Series; Elsevier: Amsterdam, The Netherlands, 2018; Volume 26, pp. 184–193. [Google Scholar]
- Wang, J.; Yan, S.; Ma, Q. Deterministic numerical modelling of three-dimensional rogue waves on large scale with presence of wind. In IUTAM Symposium Wind Waves; Grimshaw, R., Hunt, J., Johnson, E., Eds.; Elsevier IUTAM Procedia Series; Elsevier: Amsterdam, The Netherlands, 2018; Volume 26, pp. 214–226. [Google Scholar]
- Hao, X.; Cao, T.; Yang, Z.; Li, T.; Shen, L. Simulation-based study of wind-wave interaction. In IUTAM Symposium Wind Waves; Grimshaw, R., Hunt, J., Johnson, E., Eds.; Elsevier IUTAM Procedia Series; Elsevier: Amsterdam, The Netherlands, 2018; Volume 26, pp. 162–173. [Google Scholar]
- Zakharov, V.; Badulin, S.; Hwang, P.; Caulliez, G. Universality of sea wave growth and its physical roots. J. Fluid Mech 2015, 780, 503–535. [Google Scholar] [CrossRef]
- Zakharov, V.; Resio, D.; Pushkarev, A. Balanced source terms for wave generation within the Hasselmann equation. Nonlinear Process. Geophys. 2017, 24, 581–597. [Google Scholar] [CrossRef]
- Zakharov, V. Analytic theory of a wind-driven sea. In IUTAM Symposium Wind Waves; Grimshaw, R., Hunt, J., Johnson, E., Eds.; Elsevier IUTAM Procedia Series; Elsevier: Amsterdam, The Netherlands, 2018; Volume 26, pp. 43–58. [Google Scholar]
- Benney, D.J.; Newell, A.C. The propagation of nonlinear wave envelopes. J. Math. Phys. 1967, 46, 133–139. [Google Scholar] [CrossRef]
- Zakharov, V.E. The instability of waves in nonlinear dispersive media. Sov. Phys. JETP 1967, 24, 740–744. [Google Scholar]
- Zakharov, V.E. Stability of periodic waves of finite amplitude on the surface of a deep fluid. J. Appl. Mech. Tech. Phys. 1968, 9, 190–194. [Google Scholar] [CrossRef]
- Zakharov, V.E.; Ostrovsky , L.A. Modulation instability: The beginning. Physica D 2009, 238, 540–548. [Google Scholar]
- Grimshaw, R. Envelope solitary waves. In Solitary Waves in Fluids: Advances in Fluid Mechanics; Grimshaw, R., Ed.; WIT Press: Southampton, UK, 2007; Volume 45, pp. 159–179. [Google Scholar]
- Osborne, A.R. Nonlinear Ocean Waves and the Inverse Scattering Transform; Elseveier: Amsterdam, The Netherlands, 2010. [Google Scholar]
- Maleewong, M.; Grimshaw, R. Amplification of wave groups in the forced nonlinear Schrödinger equation. Fluids 2022, 7, 233. [Google Scholar] [CrossRef]
- Maleewong, M.; Grimshaw, R. Evolution of water wave groups with wind action. J. Fluid Mech. 2022, 947, A35. [Google Scholar] [CrossRef]
- Leblanc, S. Amplification of nonlinear surface waves by wind. Phys. Fluids 2007, 19, 101705. [Google Scholar] [CrossRef]
- Touboul, J.; Kharif, C.; Pelinovsky, E.; Giovanangeli, J.P. On the interaction of wind and steep gravity wave groups using Miles’ and Jeffreys’ mechanisms. Nonlin. Proc. Geophys. 2008, 15, 1023–1031. [Google Scholar] [CrossRef]
- Kharif, C.; Kraenkel, R.A.; Manna, M.A.; Thomas, R. The modulational instability in deep water under the action of wind and dissipation. J. Fluid Mech. 2010, 664, 138–149. [Google Scholar] [CrossRef]
- Onorato, M.; Proment, D. Approximate rogue wave solutions of the forced and damped nonlinear Schrödinger equation for water waves. Phys. Lett. A 2012, 376, 3057–3059. [Google Scholar] [CrossRef]
- Montalvo, P.; Kraenkel, R.; Manna, M.A.; Kharif, C. Wind-wave amplification mechanisms: Possible models for steep wave events in finite depth. Nat. Hazards Earth Syst. Sci. 2013, 13, 2805–2813. [Google Scholar] [CrossRef]
- Brunetti, M.; Marchiando, N.; Berti, N.; Kasparian, J. Nonlinear fast growth of water waves under wind forcing. Phys. Lett. A 2014, 378, 1025–1030. [Google Scholar] [CrossRef]
- Slunyaev, A.; Sergeeva, A.; Pelinovsky, E. Wave amplification in the framework of forced nonlinear Schrödinger equation: The rogue wave context. Physica D 2015, 301, 18–27. [Google Scholar] [CrossRef]
- Grimshaw, R. Generation of wave groups. In IUTAM Symposium Wind Waves; Grimshaw, R., Hunt, J., Johnson, E., Eds.; Elsevier IUTAM Procedia Series; Elsevier: Amsterdam, The Netherlands, 2018; Volume 26, pp. 92–101. [Google Scholar]
- Grimshaw, R. Generation of wave groups by shear layer instability. Fluids 2019, 4, 39. [Google Scholar] [CrossRef]
- Grimshaw, R. Two-dimensional modulation instability of wind waves. J. Ocean Eng. Mar. Energy 2019, 5, 413–417. [Google Scholar] [CrossRef]
- Segur, H.; Henderson, D.; Carter, J.; Hammack, J.; Li, C.M.; Pheiff, D.; Socha, K. Stabilizing the Benjamin-Feir instability. J. Fluid Mech. 2005, 539, 229–271. [Google Scholar] [CrossRef]
- Galchenko, A.; Babanin, A.; Chalikov, D.; Young, I.; Haus, B. Influence of wind forcing on modulation and breaking of one-dimensional deep-water wave groups. J. Phy. Ocean. 2012, 42, 928–939. [Google Scholar] [CrossRef]
- Rajan, G.; Bayram, S.; Henderson, D. Periodic envelopes of waves over non-uniform depth. Phys. Fluids 2016, 28, 042106. [Google Scholar] [CrossRef]
- Benilov, E.; Flanagan, J.; Howlin, C. Evolution of packets of surface gravity waves over smooth topography. J. Fluid Mech. 2005, 533, 171–181. [Google Scholar] [CrossRef]
- Benilov, E.; Howlin, C. Evolution of packets of surface gravity waves over strong smooth topography. Stud. Appl. Math. 2006, 116, 289–301. [Google Scholar] [CrossRef]
- Rajan, G.; Henderson, D. The linear stability of a wave train propagating on water of variable depth. Siam J. Appl. Math. 2016, 76, 2030–2041. [Google Scholar] [CrossRef]
- Helal, M.; Seadawy, A. Benjamin-Feir instability in nonlinear dispersive waves. Comput. Math. Appl. 2012, 64, 3557–3568. [Google Scholar] [CrossRef]
- Benney, D.J.; Roskes, G.J. Wave instabilities. Stud. Appl. Math 1969, 48, 377–385. [Google Scholar] [CrossRef]
- Peregrine, D.H. Water waves, nonlinear Schrödinger equations, and their solutions. J. Aust. Math. Soc. Ser. B 1983, 25, 16–43. [Google Scholar] [CrossRef]
- Mei, C.C. The Applied Dynamics of Ocean Surface Waves; Wiley-Interscience: Hoboken, NJ, USA, 1983. [Google Scholar]
- Chabchoub, A.; Grimshaw, R. The hydrodynamic nonlinear Schödinger equation: Space and time. Fluids 2016, 1, 23. [Google Scholar] [CrossRef]












































Disclaimer/Publisher’s Note: The statements, opinions and data contained in all publications are solely those of the individual author(s) and contributor(s) and not of MDPI and/or the editor(s). MDPI and/or the editor(s) disclaim responsibility for any injury to people or property resulting from any ideas, methods, instructions or products referred to in the content. |
© 2023 by the authors. Licensee MDPI, Basel, Switzerland. This article is an open access article distributed under the terms and conditions of the Creative Commons Attribution (CC BY) license (https://creativecommons.org/licenses/by/4.0/).
Share and Cite
Maleewong, M.; Grimshaw, R.H.J. Evolution of Water Wave Groups in the Forced Benney–Roskes System. Fluids 2023, 8, 52. https://doi.org/10.3390/fluids8020052
Maleewong M, Grimshaw RHJ. Evolution of Water Wave Groups in the Forced Benney–Roskes System. Fluids. 2023; 8(2):52. https://doi.org/10.3390/fluids8020052
Chicago/Turabian StyleMaleewong, Montri, and Roger H. J. Grimshaw. 2023. "Evolution of Water Wave Groups in the Forced Benney–Roskes System" Fluids 8, no. 2: 52. https://doi.org/10.3390/fluids8020052
APA StyleMaleewong, M., & Grimshaw, R. H. J. (2023). Evolution of Water Wave Groups in the Forced Benney–Roskes System. Fluids, 8(2), 52. https://doi.org/10.3390/fluids8020052

