A Meshless Algorithm for Modeling the Gas-Dynamic Interaction between High-Inertia Particles and a Shock Layer
Abstract
1. Introduction
2. Materials and Methods
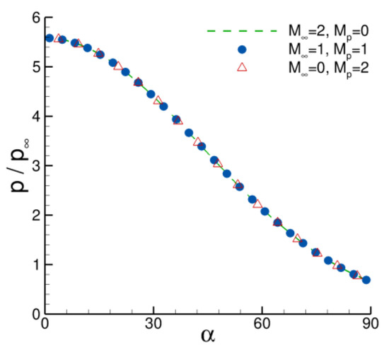
- the sphere is at rest , the Mach number of the oncoming flow ;
- the sphere moves against the oncoming flow (), the sphere velocity corresponds to Mach number
- the gas is stationary , the sphere moves with the velocity corresponding to Mach number
3. Results and Discussion
4. Conclusions
Author Contributions
Funding
Institutional Review Board Statement
Informed Consent Statement
Data Availability Statement
Conflicts of Interest
References
- Ershova, T.V.; Mikhatulin, D.S.; Reviznikov, D.L.; Sposobin, A.V.; Vinnikov, V.V. Numerical Simulation of Heat and Mass Transfer between Heterogeneous Flow and an Obstacle. Comput. Therm. Sci. 2011, 3, 15–30. [Google Scholar] [CrossRef]
- Tsirkunov, Y.M. Gas-particle flows around bodies—Key problems, modeling and numerical analysis. In Proceedings of the Fourth International Conference on Multiphase Flow—CD ROM Proc. ICMF’2001, New Orleans, LA, USA, 27 May–1 June 2001; Michaelides, E., Ed.; Paper No. 609. [Google Scholar]
- Molleson, G.V.; Stasenko, A.L. Acceleration of Microparticles and their Interaction with a Solid Body. High Temp. 2017, 55, 906–913. [Google Scholar] [CrossRef]
- Oesterlé, B.; Volkov, A.N.; Tsirkunov, Y.M. Numerical investigation of two-phase flow structure and heat transfer in a supersonic dusty gas flow over a blunt body. Prog. Flight Phys. 2013, 5, 441–456. [Google Scholar]
- Osiptsov, A.N.; Egorova, L.A.; Sakharov, V.I.; Wang, B. Heat transfer in supersonic dusty-gas flow past a blunt body with inertial particle deposition effect. Prog. Nat. Sci. 2002, 12, 887–892. [Google Scholar]
- Reviznikov, D.L.; Sposobin, A.V.; Dombrovsky, L.A. Radiative Heat Transfer from Supersonic Flow with Suspended Polydisperse Particles to a Blunt Body: Effect of Collisions between Particles. Comput. Therm. Sci. 2015, 5, 313–325. [Google Scholar] [CrossRef]
- Varaksin, A.Y. Fluid dynamics and thermal physics of two-phase flows: Problems and achievements. High Temp. 2013, 51, 377–407. [Google Scholar] [CrossRef]
- Varaksin, A.Y. Gas-Solid Flows Past Bodies. High Temp. 2018, 56, 275–295. [Google Scholar] [CrossRef]
- Fleener, W.A.; Watson, R.H. Convective heating in dust-laden hypersonic flows. In Proceedings of the 8th Thermophysics Conference, Palm Springs, CA, USA, 16–18 July 1973. AIAA Paper 1973, No. 73-761. [Google Scholar]
- Holden, M.S.; Duryea, G.; Gustafson, G.; Hudack, L. An Experimental Study of Particle-Induced Convective Heating Augmentation. In Proceedings of the 9th Fluid and Plasma Dynamics Conference, San Diego, CA, USA, 14–16 July 1976. AIAA Paper 1976, No. 76-320. [Google Scholar]
- Vladimirov, A.S.; Ershov, I.V.; Makarevich, G.A.; Khodtsev, A.V. Experimental investigation of the process of interaction between heterogeneous flows and flying bodies. High Temp. 2008, 46, 512–517. [Google Scholar] [CrossRef]
- Reviznikov, D.L.; Sposobin, A.V.; Ivanov, I.E. Change in the Structure of a Flow under the Action of Highly Inertial Particle when a Hypersonic Heterogeneous Flow Passes over a Body. High Temp. 2018, 56, 884–889. [Google Scholar] [CrossRef]
- Reviznikov, D.L.; Sposobin, A.V.; Ivanov, I.E. Comparative Analysis of Calculated and Experimental Data on an Oscillating Flow Induced by the Gasdynamic Interaction of a Particle with a Shock Layer. High Temp. 2020, 58, 839–845. [Google Scholar] [CrossRef]
- Sposobin, A.V.; Reviznikov, D.L. Impact of High Inertia Particles on the Shock Layer and Heat Transfer in a Heterogeneous Supersonic Flow around a Blunt Body. Fluids 2021, 6, 406. [Google Scholar] [CrossRef]
- Benek, J.A.; Buning, P.G.; Steger, J.L. A 3-D Chimera Grid Embedding Technique. In Proceedings of the 7th Computational Physics Conference, Cincinnati, OH, USA, 15–17 July 1985. AIAA Paper 1985, No. 85-1523. [Google Scholar]
- Wang, Z.J.; Parthasarathy, V. A Fully Automated Chimera Methodology for Multiple Moving Body Problems. Int. J. Numer. Methods Fluids 2000, 33, 919–938. [Google Scholar] [CrossRef]
- Lee, K.R.; Park, J.H.; Kim, K.H. High-Order Interpolation Method for Overset Grid Based on Finite Volume Method. AIAA J. 2011, 49, 1387–1398. [Google Scholar] [CrossRef]
- Deryugin, Y.N.; Sarazov, A.S.; Zhuchkov, R.N. Features of overset meshes methodology on unstructed grids. Math. Model. Comput. Simul. 2017, 9, 587–597. [Google Scholar] [CrossRef]
- Bakhvalov, P.A.; Bobkov, V.G.; Kozubskaya, T.K. Application of schemes with a quasi-one-dimensional reconstruction of variables for calculations on nonstructured sliding grids. Math Model. Comput Simul. 2017, 9, 155–168. [Google Scholar] [CrossRef]
- Yamakawa, M.; Chikaguchi, S.; Asao, S.; Hamato, S. Multi Axes Sliding Mesh Approach for Compressible Viscous Flows. In Computational Science—ICCS 2020; Krzhizhanovskaya, V., Závodszky, G., Lees, M.H., Dongarra, J.J., Sloot, P.M.A., Brissos, S., Teixeira, J., Eds.; Lecture Notes in Computer Science; Springer: Cham, Switzerland, 2020; Volume 12143, pp. 46–59. [Google Scholar]
- Dürrwächter, J.; Kurz, M.; Kopper, P.; Kempf, D.; Munz, C.; Beck, A. An efficient sliding mesh interface method for high-order discontinuous Galerkin schemes. Comput. Fluids 2021, 217, 104825. [Google Scholar] [CrossRef]
- Steijl, R.; Barakos, G. Computational Investigation of Rotor–Fuselage Interactional Aerodynamics using Sliding–Plane CFD Method. AIAA J. 2009, 47, 2143–2157. [Google Scholar] [CrossRef]
- Nam, H.J.; Park, Y.; Kwon, O.J. Simulation of Unsteady Rotor–Fuselage Aerodynamic Interaction Using Unstructured Adaptive Meshes. J. Am. Helicopter Soc. 2006, 51, 141–149. [Google Scholar] [CrossRef]
- Li, H.; Mulay, S.S. Meshless Methods and Their Numerical Properties; CRC Press: New York, NY, USA, 2013. [Google Scholar]
- Vasilyev, A.N.; Kolbin, I.S.; Reviznikov, D.L. Meshfree computational algorithms based on normalized radial basis functions. In Advances in Neural Networks; Cheng, L., Liu, Q., Ronzhin, A., Eds.; Notes in Computer Science; Springer: Cham, Switzerland, 2016; Volume 9719, pp. 583–591. [Google Scholar]
- Li, J.; Hon, Y. Domain Decomposition for Radial Basis Meshless Methods. Numer. Methods Part. Differ. Equ. 2004, 20, 450–462. [Google Scholar] [CrossRef]
- Tolstykh, A.I.; Shirobokov, D.A. Meshless method based on radial basis functions. Comput. Math. Math. Phys. 2005, 45, 1447–1454. [Google Scholar]
- Hashemi, M.Y.; Jahangirian, A. Implicit fully mesh-less method for compressible viscous flow calculations. J. Comput. Appl. Math. 2011, 235, 4687–4700. [Google Scholar] [CrossRef]
- Sattarzadeh, S.; Jahangirian, A. 3D implicit mesh-less method for compressible flow calculations. Sci. Iran. 2012, 19, 503–512. [Google Scholar] [CrossRef][Green Version]
- Sattarzadeh, S.; Jahangirian, A.; Hashemi, M.Y. Unsteady Compressible Flow Calculations with Least-Square Mesh-less Method. J. Appl. Fluid Mech. 2016, 9, 233–241. [Google Scholar] [CrossRef]
- Kim, K.H.; Kim, C.; Rho, O.H. Methods for the accurate computations of hypersonic flows I. AUSMPW+ Scheme. J. Comput. Phys. 2001, 174, 38–80. [Google Scholar] [CrossRef]
- Wang, Y.; Cai, X.; Zhang, M.; Ma, X.; Ren, D.; Tan, J. The study of the three-Dimensional meshless solver based on AUSM+-up and MUSCL scheme. In Proceedings of the 2015 International Conference on Electromechanical Control Technology and Transportation, Zhuhai, China, 31 October–1 November 2015. [Google Scholar] [CrossRef]
- Fay, J.A.; Riddell, F.R. Theory of stagnation point heat transfer in dissociated air. J. Aeronaut. Sci. 1958, 25, 73–85. [Google Scholar] [CrossRef]










Disclaimer/Publisher’s Note: The statements, opinions and data contained in all publications are solely those of the individual author(s) and contributor(s) and not of MDPI and/or the editor(s). MDPI and/or the editor(s) disclaim responsibility for any injury to people or property resulting from any ideas, methods, instructions or products referred to in the content. |
© 2023 by the authors. Licensee MDPI, Basel, Switzerland. This article is an open access article distributed under the terms and conditions of the Creative Commons Attribution (CC BY) license (https://creativecommons.org/licenses/by/4.0/).
Share and Cite
Sposobin, A.; Reviznikov, D. A Meshless Algorithm for Modeling the Gas-Dynamic Interaction between High-Inertia Particles and a Shock Layer. Fluids 2023, 8, 53. https://doi.org/10.3390/fluids8020053
Sposobin A, Reviznikov D. A Meshless Algorithm for Modeling the Gas-Dynamic Interaction between High-Inertia Particles and a Shock Layer. Fluids. 2023; 8(2):53. https://doi.org/10.3390/fluids8020053
Chicago/Turabian StyleSposobin, Andrey, and Dmitry Reviznikov. 2023. "A Meshless Algorithm for Modeling the Gas-Dynamic Interaction between High-Inertia Particles and a Shock Layer" Fluids 8, no. 2: 53. https://doi.org/10.3390/fluids8020053
APA StyleSposobin, A., & Reviznikov, D. (2023). A Meshless Algorithm for Modeling the Gas-Dynamic Interaction between High-Inertia Particles and a Shock Layer. Fluids, 8(2), 53. https://doi.org/10.3390/fluids8020053
