Yogurt Enriched with Mango Peel Extracts (Mangifera indica) in Chitosan–Xanthan Gum Dispersions: Physicochemical, Rheological, Stability, and Antioxidant Activity
Abstract
:1. Introduction
2. Materials and Methods
2.1. Materials
2.2. Mango Peel Extracts (MPEs)
2.3. Preparation of Chitosan–Xanthan Gum–MPE Dispersions
2.4. Yogurt Preparation
2.5. Water Holding Capacity (WHC) and Syneresis
2.6. Physicochemical Analysis
2.7. Color Analysis
2.8. Total Phenolic Content (TPC) and Antioxidant Activity
2.9. CG-MS
2.10. Rheological Analysis
2.11. Statistical Analysis
3. Results and Discussion
3.1. Mango Peel Extracts
3.2. Dispersions Enriched with Bioactive Compounds
3.3. Yogurt with Dispersions Enriched with Natural Extracts
3.3.1. Physicochemical Properties
3.3.2. Total Phenolic Content (TPC) and Antioxidant Activity
3.3.3. Analysis of Color
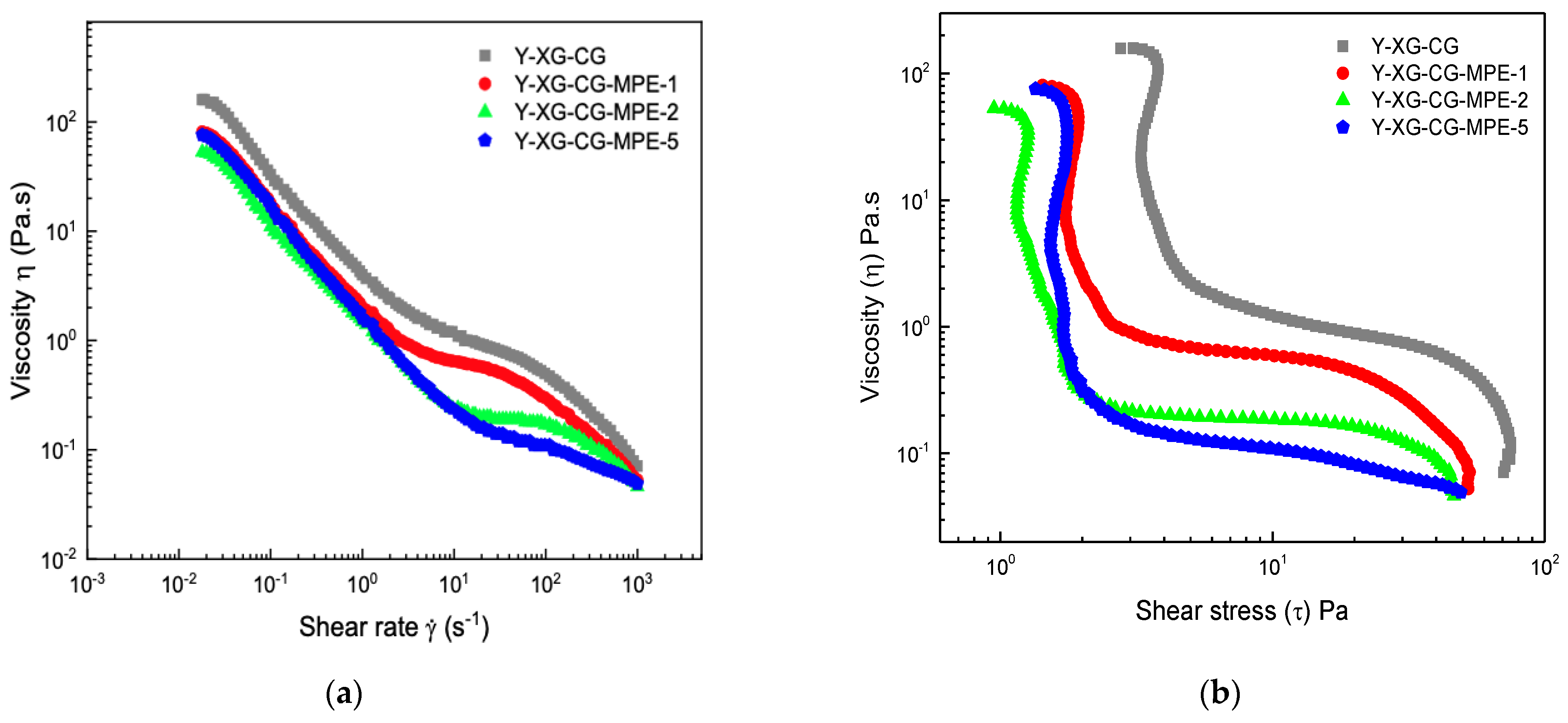
3.3.4. Rheological Properties
4. Conclusions
Author Contributions
Funding
Data Availability Statement
Acknowledgments
Conflicts of Interest
References
- Mohamed Ahmed, I.A.; Alqah, H.A.S.; Saleh, A.; Al-Juhaimi, F.Y.; Babiker, E.E.; Ghafoor, K.; Hassan, A.B.; Osman, M.A.; Fickak, A. Physicochemical Quality Attributes and Antioxidant Properties of Set-Type Yogurt Fortified with Argel (Solenostemma Argel Hayne) Leaf Extract. LWT 2021, 137, 110389. [Google Scholar] [CrossRef]
- Ogusku Quintanilha, G.E.; Alves Baptista, A.T.; Gomes, R.G.; Salcedo Vieira, A.M. Yogurt Production Added Ultrafiltered Seed Extract of Moringa Oleifera Lam. Biocatal. Agric. Biotechnol. 2021, 37, 102159. [Google Scholar] [CrossRef]
- Dönmez, Ö.; Mogol, B.A.; Gökmen, V. Syneresis and Rheological Behaviors of Set Yogurt Containing Green Tea and Green Coffee Powders. J. Dairy Sci. 2017, 100, 901–907. [Google Scholar] [CrossRef]
- Chandan, R.C.; Gandhi, A.; Shah, N.P. Chapter 1—Yogurt: Historical Background, Health Benefits, and Global Trade. In Yogurt in Health and Disease Prevention; Shah, N.P., Ed.; Academic Press: Cambridge, MA, USA, 2017; pp. 3–29. ISBN 978-0-12-805134-4. [Google Scholar]
- Settachaimongkon, S.; van Valenberg, H.J.F.; Smid, E.J. Chapter 25—Metabolomics as an Emerging Strategy for the Investigation of Yogurt Components. In Yogurt in Health and Disease Prevention; Shah, N.P., Ed.; Academic Press: Cambridge, MA, USA, 2017; pp. 427–449. ISBN 978-0-12-805134-4. [Google Scholar]
- Zygmantaitė, G.; Keršienė, M.; Jasutienė, I.; Šipailienė, A.; Venskutonis, P.R.; Leskauskaitė, D. Extract Isolated from Cranberry Pomace as Functional Ingredient in Yoghurt Production: Technological Properties and Digestibility Studies. LWT 2021, 148, 111751. [Google Scholar] [CrossRef]
- Anuyahong, T.; Chusak, C.; Adisakwattana, S. Incorporation of Anthocyanin-Rich Riceberry Rice in Yogurts: Effect on Physicochemical Properties, Antioxidant Activity and in Vitro Gastrointestinal Digestion. LWT 2020, 129, 109571. [Google Scholar] [CrossRef]
- Šeregelj, V.; Pezo, L.; Šovljanski, O.; Lević, S.; Nedović, V.; Markov, S.; Tomić, A.; Čanadanović-Brunet, J.; Vulić, J.; Šaponjac, V.T.; et al. New Concept of Fortified Yogurt Formulation with Encapsulated Carrot Waste Extract. LWT 2021, 138, 110732. [Google Scholar] [CrossRef]
- Akgün, D.; Gültekin-Özgüven, M.; Yücetepe, A.; Altin, G.; Gibis, M.; Weiss, J.; Özçelik, B. Stirred-Type Yoghurt Incorporated with Sour Cherry Extract in Chitosan-Coated Liposomes. Food Hydrocoll. 2020, 101, 105532. [Google Scholar] [CrossRef]
- Palafox-Carlos, H.; Yahia, E.M.; González-Aguilar, G.A. Identification and Quantification of Major Phenolic Compounds from Mango (Mangifera indica, Cv. Ataulfo) Fruit by HPLC-DAD-MS/MS-ESI and Their Individual Contribution to the Antioxidant Activity during Ripening. Food Chem. 2012, 135, 105–111. [Google Scholar] [CrossRef]
- Jahurul, M.H.A.; Zaidul, I.S.M.; Ghafoor, K.; Al-Juhaimi, F.Y.; Nyam, K.L.; Norulaini, N.A.N.; Sahena, F.; Mohd Omar, A.K. Mango (Mangifera indica L.) by-Products and Their Valuable Components: A Review. Food Chem. 2015, 183, 173–180. [Google Scholar] [CrossRef]
- Quintana, S.E.; Salas, S.; García-Zapateiro, L.A. Bioactive Compounds of Mango (Mangifera indica): A Review of Extraction Technologies and Chemical Constituents. J. Sci. Food Agric. 2021, 101, 6186–6192. [Google Scholar] [CrossRef]
- Quintana, S.E.; Llalla, O.; García-Zapateiro, L.A.; García-Risco, M.R.; Fornari, T. Preparation and Characterization of Licorice-Chitosan Coatings for Postharvest Treatment of Fresh Strawberries. Appl. Sci. 2020, 10, 8431. [Google Scholar] [CrossRef]
- Vergara, H.; Cózar, A.; Rubio, N. Effect of Adding of Different Forms of Oregano (Origanum vulgare) on Lamb Meat Burgers Quality during the Storage Time. CyTA J. Food 2020, 18, 535–542. [Google Scholar] [CrossRef]
- Skendi, A. Chapter 11—Alternatives to Increase the Antioxidant Capacity of Bread with Phenolics. In Trends in Wheat and Bread Making; Galanakis, C.M., Ed.; Academic Press: Cambridge, MA, USA, 2021; pp. 311–341. ISBN 978-0-12-821048-2. [Google Scholar]
- Liu, K.; Chen, Y.; Zha, X.; Li, Q.; Pan, L.; Luo, J. Research Progress on Polysaccharide / Protein Hydrogels: Preparation Method, Functional Property and Application as Delivery Systems for Bioactive Ingredients. Food Res. Int. 2021, 147, 110542. [Google Scholar] [CrossRef]
- Gültekin-Özgüven, M.; Karadağ, A.; Duman, Ş.; Özkal, B.; Özçelik, B. Fortification of Dark Chocolate with Spray Dried Black Mulberry (Morus nigra) Waste Extract Encapsulated in Chitosan-Coated Liposomes and Bioaccessability Studies. Food Chem. 2016, 201, 205–212. [Google Scholar] [CrossRef]
- Liu, J.; Shim, Y.Y.; Tse, T.J.; Wang, Y.; Reaney, M.J.T. Flaxseed Gum a Versatile Natural Hydrocolloid for Food and Non-Food Applications. Trends Food Sci. Technol. 2018, 75, 146–157. [Google Scholar] [CrossRef]
- George, A.; Shah, P.A.; Shrivastav, P.S. Guar Gum: Versatile Natural Polymer for Drug Delivery Applications. Eur. Polym. J. 2019, 112, 722–735. [Google Scholar] [CrossRef]
- Bush, R.K.; Taylor, S.L. Reactions to Food and Drug Additives, 9th ed.; Elsevier Inc.: Amsterdam, The Netherlands, 2014; Volume 2, ISBN 9780323324977. [Google Scholar]
- Muñoz-González, I.; Ruiz-Capillas, C.; Salvador, M.; Herrero, A.M. Emulsion Gels as Delivery Systems for Phenolic Compounds: Nutritional, Technological and Structural Properties. Food Chem. 2021, 339, 128049. [Google Scholar] [CrossRef]
- Cofelice, M.; Cuomo, F.; Lopez, F. Rheological Properties of Alginate–Essential Oil Nanodispersions. Colloids Interfaces 2018, 2, 48. [Google Scholar] [CrossRef]
- Huerta, R.R.; Silva, E.K.; El-Bialy, T.; Saldaña, M.D.A. Clove Essential Oil Emulsion-Filled Cellulose Nanofiber Hydrogel Produced by High-Intensity Ultrasound Technology for Tissue Engineering Applications. Ultrason. Sonochem. 2020, 64, 104845. [Google Scholar] [CrossRef] [PubMed]
- Ćirić, A.; Medarević, Đ.; Čalija, B.; Dobričić, V.; Rmandić, M.; Barudžija, T.; Malenović, A.; Djekic, L. Effect of Ibuprofen Entrapment Procedure on Physicochemical and Controlled Drug Release Performances of Chitosan/Xanthan Gum Polyelectrolyte Complexes. Int. J. Biol. Macromol. 2021, 167, 547–558. [Google Scholar] [CrossRef]
- Hansen, M.M.; Hartel, R.W.; Roos, Y.H. Encapsulant-Bioactives Interactions Impact on Physico-Chemical Properties of Concentrated Dispersions. J. Food Eng. 2021, 302, 110586. [Google Scholar] [CrossRef]
- Campelo, P.H.; Junqueira, L.A.; Resende, J.V.; Zacarias, R.D.; Fernandes, R.V.; Botrel, D.A.; Borges, S.V. Stability of Lime Essential Oil Emulsion Prepared Using Biopolymers and Ultrasound Treatment. Int. J. Food. Prop. 2017, 20, S564–S579. [Google Scholar] [CrossRef]
- Hashtjin, A.M.; Abbasi, S. Nano-Emulsification of Orange Peel Essential Oil Using Sonication and Native Gums. Food Hydrocoll. 2015, 44, 40–48. [Google Scholar] [CrossRef]
- Gomes, J.V.P.; de Oliveira, L.A.; Pereira, S.M.S.; da Conceição, A.R.; Anunciação, P.C.; de Souza, E.C.G.; Perrone, Í.T.; da Silva Junqueira, M.; Pinheiro Sant’Ana, H.M.; Della Lucia, C.M. Comparison of Bioactive Compounds and Nutrient Contents in Whey Protein Concentrate Admixture of Turmeric Extract Produced by Spray Drying and Foam Mat Drying. Food Chem. 2021, 345, 128772. [Google Scholar] [CrossRef] [PubMed]
- Nooshkam, M.; Varidi, M.; Alkobeisi, F. Bioactive Food Foams Stabilized by Licorice Extract/Whey Protein Isolate/Sodium Alginate Ternary Complexes. Food Hydrocoll. 2022, 126, 107488. [Google Scholar] [CrossRef]
- Mieles-Gómez, L.; Lastra-Ripoll, S.E.; Torregroza-Fuentes, E.; Quintana, S.E.; García-Zapateiro, L.A. Rheological and Microstructural Properties of Oil-in-Water Emulsion Gels Containing Natural Plant Extracts Stabilized with Carboxymethyl Cellulose/Mango (Mangifera indica) Starch. Fluids 2021, 6, 312. [Google Scholar] [CrossRef]
- Lastra Ripoll, S.E.; Quintana Martínez, S.E.; García Zapateiro, L.A. Rheological and Microstructural Properties of Xanthan Gum-Based Coating Solutions Enriched with Phenolic Mango (Mangifera indica) Peel Extracts. ACS Omega 2021, 6, 16119–16128. [Google Scholar] [CrossRef]
- Qiu, L.; Zhang, M.; Mujumdar, A.S.; Chang, L. Effect of Edible Rose (Rosa rugosa Cv. Plena) Flower Extract Addition on the Physicochemical, Rheological, Functional and Sensory Properties of Set-Type Yogurt. Food Biosci. 2021, 43, 101249. [Google Scholar] [CrossRef]
- Ismail, E.A.; Aly, A.A.; Atallah, A.A. Quality and Microstructure of Freeze-Dried Yoghurt Fortified with Additives as Protective Agents. Heliyon 2020, 6, e05196. [Google Scholar] [CrossRef]
- Singleton, V.L.; Orthofer, R.; Lamuela-Raventós, R.M. [14] Analysis of Total Phenols and Other Oxidation Substrates and Antioxidants by Means of Folin-Ciocalteu Reagent. Methods Enzymol. 1999, 299, 152–178. [Google Scholar] [CrossRef]
- Re, R.; Pellegrini, N.; Proteggente, A.; Pannala, A.; Yang, M.; Rice-Evans, C. Antioxidant Activity Applying an Improved ABTS Radical Cation Decolorization Assay. Free. Radic. Biol. Med. 1999, 26, 1231–1237. [Google Scholar] [CrossRef]
- Lanjekar, K.J.; Rathod, V.K. Application of Ultrasound and Natural Deep Eutectic Solvent for the Extraction of Glycyrrhizic Acid from Glycyrrhiza Glabra: Optimization and Kinetic Evaluation. Ind. Eng. Chem. Res. 2021, 60, 9532–9538. [Google Scholar] [CrossRef]
- Martínez-Ramos, T.; Benedito-Fort, J.; Watson, N.J.; Ruiz-López, I.I.; Che-Galicia, G.; Corona-Jiménez, E. Effect of Solvent Composition and Its Interaction with Ultrasonic Energy on the Ultrasound-Assisted Extraction of Phenolic Compounds from Mango Peels (Mangifera indica L.). Food Bioprod. Process. 2020, 122, 41–54. [Google Scholar] [CrossRef]
- Schieber, A.; Ullrich, W.; Carle, R. Characterization of Polyphenols in Mango Puree Concentrate by HPLC with Diode Array and Mass Spectrometric Detection. Innov. Food Sci. Emerg. Technol. 2000, 1, 161–166. [Google Scholar] [CrossRef]
- Pierson, J.T.; Monteith, G.R.; Roberts-Thomson, S.J.; Dietzgen, R.G.; Gidley, M.J.; Shaw, P.N. Phytochemical Extraction, Characterisation and Comparative Distribution across Four Mango (Mangifera indica L.) Fruit Varieties. Food Chem. 2014, 149, 253–263. [Google Scholar] [CrossRef]
- Alañón, M.E.; Pimentel-Moral, S.; Arráez-Román, D.; Segura-Carretero, A. Profiling Phenolic Compounds in Underutilized Mango Peel By-Products from Cultivars Grown in Spanish Subtropical Climate over Maturation Course. Food Res. Int. 2021, 140, 109852. [Google Scholar] [CrossRef] [PubMed]
- Lanjekar, K.J.; Gokhale, S.; Rathod, V.K. Utilization of Waste Mango Peels for Extraction of Polyphenolic Antioxidants by Ultrasound-Assisted Natural Deep Eutectic Solvent. Bioresour. Technol. Rep. 2022, 18, 101074. [Google Scholar] [CrossRef]
- Valero Guandalini, B.B.; Rodrigues, N.P.; Marczak, L.D.F. Sequential Extraction of Phenolics and Pectin from Mango Peel Assisted by Ultrasound. Food Res. Int. 2019, 119, 455–461. [Google Scholar] [CrossRef]
- Castañeda-Valbuena, D.; Ayora-Talavera, T.; Luján-Hidalgo, C.; Álvarez-Gutiérrez, P.; Martínez-Galero, N.; Meza-Gordillo, R. Ultrasound Extraction Conditions Effect on Antioxidant Capacity of Mango By-Product Extracts. Food Bioprod. Process. 2021, 127, 212–224. [Google Scholar] [CrossRef]
- Sogi, D.S.; Siddiq, M.; Dolan, K.D. Total Phenolics, Carotenoids and Antioxidant Properties of Tommy Atkin Mango Cubes as Affected by Drying Techniques. LWT 2015, 62, 564–568. [Google Scholar] [CrossRef]
- Marcillo-Parra, V.; Anaguano, M.; Molina, M.; Tupuna-Yerovi, D.S.; Ruales, J. Characterization and Quantification of Bioactive Compounds and Antioxidant Activity in Three Different Varieties of Mango (Mangifera indica L.) Peel from the Ecuadorian Region Using HPLC-UV/VIS and UPLC-PDA. NFS J. 2021, 23, 1–7. [Google Scholar] [CrossRef]
- Marçal, S.; Pintado, M. Mango Peels as Food Ingredient/Additive: Nutritional Value, Processing, Safety and Applications. Trends Food Sci. Technol. 2021, 114, 472–489. [Google Scholar] [CrossRef]
- Oliver-Simancas, R.; Labrador-Fernández, L.; Hidalgo, M.C.; Pérez-Coello, M.; Alanon, M. Comprehensive Research on Mango By-Products Applications in Food Industry. Trends Food Sci. Technol. 2021, 118, 179–188. [Google Scholar] [CrossRef]
- Hamzalıoğlu, A.; Gökmen, V. Chapter 18—Interaction between Bioactive Carbonyl Compounds and Asparagine and Impact on Acrylamide. In Acrylamide in Food, 2nd ed.; Gökmen, V.B., Mogol, B.A., Eds.; Academic Press: Cambridge, MA, USA, 2016; pp. 355–376. ISBN 978-0-12-802832-2. [Google Scholar]
- Alafnan, A.; Sridharagatta, S.; Saleem, H.; Khurshid, U.; Alamri, A.; Ansari, S.Y.; Zainal Abidin, S.A.; Ansari, S.A.; Alamri, A.S.; Ahemad, N.; et al. Evaluation of the Phytochemical, Antioxidant, Enzyme Inhibition, and Wound Healing Potential of Calotropis gigantea (L.) Dryand: A Source of a Bioactive Medicinal Product. Front. Pharmacol. 2021, 12, 701369. [Google Scholar] [CrossRef] [PubMed]
- Sivapalan, S.; Dharmalingam, S.; Venkatesan, V.; Angappan, M.; Ashokkumar, V. Phytochemical Analysis, Anti-Inflammatory, Antioxidant Activity of Calotropis Gigantea and Its Therapeutic Applications. J. Ethnopharmacol. 2023, 303, 115963. [Google Scholar] [CrossRef] [PubMed]
- Yu, X.; Zhao, M.; Liu, F.; Zeng, S.; Hu, J. Identification of 2,3-Dihydro-3,5-Dihydroxy-6-Methyl-4H-Pyran-4-One as a Strong Antioxidant in Glucose–Histidine Maillard Reaction Products. Food Res. Int. 2013, 51, 397–403. [Google Scholar] [CrossRef]
- Cho, J.H.; Song, M.C.; Lee, Y.; Noh, S.-T.; Kim, D.-O.; Rha, C.-S. Newly Identified Maltol Derivatives in Korean Red Ginseng and Their Biological Influence as Antioxidant and Anti-Inflammatory Agents. J. Ginseng Res. 2023, 47, 593–603. [Google Scholar] [CrossRef]
- Wang, W.; Fan, M.; Hu, J.; Sha, J.; Zhang, H.; Wang, Z.; Zhang, J.; Wang, S.-H.; Zheng, S.; Li, W. Maltol, a Naturally Occurring Flavor Enhancer, Ameliorates Cisplatin-Induced Apoptosis by Inhibiting NLRP3 Inflammasome Activation by Modulating ROS-Mediated Oxidative Stress. J. Funct. Foods 2022, 94, 105127. [Google Scholar] [CrossRef]
- Chatzidaki, M.D.; Xenakis, A. Food Soft Nano-Dispersions for Bioactive Delivery: General Concepts and Applications. In Encyclopedia of Food Chemistry; Melton, L., Shahidi, F., Varelis, P., Eds.; Academic Press: Oxford, UK, 2019; pp. 701–707. ISBN 978-0-12-814045-1. [Google Scholar]
- Cheikh, D.; Majdoub, H.; Darder, M. An Overview of Clay-Polymer Nanocomposites Containing Bioactive Compounds for Food Packaging Applications. Appl. Clay Sci. 2022, 216, 106335. [Google Scholar] [CrossRef]
- Kaderides, K.; Mourtzinos, I.; Goula, A.M. Stability of Pomegranate Peel Polyphenols Encapsulated in Orange Juice Industry By-Product and Their Incorporation in Cookies. Food Chem. 2020, 310, 125849. [Google Scholar] [CrossRef]
- Prommachart, R.; Belem, T.S.; Uriyapongson, S.; Rayas-Duarte, P.; Uriyapongson, J.; Ramanathan, R. The Effect of Black Rice Water Extract on Surface Color, Lipid Oxidation, Microbial Growth, and Antioxidant Activity of Beef Patties during Chilled Storage. Meat Sci. 2020, 164, 108091. [Google Scholar] [CrossRef]
- Macosko, C. Rheology: Principles, Measurements, and Applications; Wiley: Hoboken, NJ, USA, 1996; ISBN 978-0-471-18575-8. [Google Scholar]
- Machacon, D.; Quintana, S.E.; Garcia-Zapateiro, L.A. Viscous Characterization of Spreadable Pigeon Pea (Cajanus cajan) Paste with Antioxidants. Contemp. Eng. Sci. 2018, 11, 807–814. [Google Scholar] [CrossRef]
- Zhang, L.; Liu, Z.; Sun, Y.; Wang, X.; Li, L. Effect of α-Tocopherol Antioxidant on Rheological and Physicochemical Properties of Chitosan/Zein Edible Films. LWT 2020, 118, 108799. [Google Scholar] [CrossRef]
- Rodrigues, M.Á.; Bertolo, M.R.; Marangon, C.A.; Martins, V.D.; de Guzzi Plepis, A.M. Chitosan and Gelatin Materials Incorporated with Phenolic Extracts of Grape Seed and Jabuticaba Peel: Rheological, Physicochemical, Antioxidant, Antimicrobial and Barrier Properties. Int. J. Biol. Macromol. 2020, 160, 769–779. [Google Scholar] [CrossRef]
- Tudorache, M.; Bordenave, N. Phenolic Compounds Mediate Aggregation of Water-Soluble Polysaccharides and Change Their Rheological Properties: Effect of Different Phenolic Compounds. Food Hydrocoll. 2019, 97, 105193. [Google Scholar] [CrossRef]
- Wu, Y.-S. Chapter 7—Immiscible Displacement of Non-Newtonian Fluids. In Multiphase Fluid Flow in Porous and Fractured Reservoirs; Wu, Y.-S., Ed.; Gulf Professional Publishing: Boston, MA, USA, 2016; pp. 127–166. ISBN 978-0-12-803848-2. [Google Scholar]
- Zhang, L. Chapter 9—Application of Fractal Theory in Transient Pressure Properties of Hydrocarbon Reservoir. In Modelling of Flow and Transport in Fractal Porous Media; Cai, J., Zhang, L., Wei, W., Eds.; Elsevier: Amsterdam, The Netherlands, 2021; pp. 193–249. ISBN 978-0-12-817797-6. [Google Scholar]
- Peressini, D.; Bravin, B.; Lapasin, R.; Rizzotti, C.; Sensidoni, A. Starch–Methylcellulose Based Edible Films: Rheological Properties of Film-Forming Dispersions. J. Food Eng. 2003, 59, 25–32. [Google Scholar] [CrossRef]
- Silva-Weiss, A.; Bifani, V.; Ihl, M.; Sobral, P.J.A.; Gómez-Guillén, M.C. Structural Properties of Films and Rheology of Film-Forming Solutions Based on Chitosan and Chitosan-Starch Blend Enriched with Murta Leaf Extract. Food Hydrocoll. 2013, 31, 458–466. [Google Scholar] [CrossRef]
- Meng, W.; Shi, J.; Zhang, X.; Lian, H.; Wang, Q.; Peng, Y. Effects of Peanut Shell and Skin Extracts on the Antioxidant Ability, Physical and Structure Properties of Starch-Chitosan Active Packaging Films. Int. J. Biol. Macromol. 2020, 152, 137–146. [Google Scholar] [CrossRef] [PubMed]
- Tong, C.; Wu, Z.; Sun, J.; Lin, L.; Wang, L.; Guo, Y.; Huang, Z.; Wu, C.; Pang, J. Effect of Carboxylation Cellulose Nanocrystal and Grape Peel Extracts on the Physical, Mechanical and Antioxidant Properties of Konjac Glucomannan Films. Int. J. Biol. Macromol. 2020, 156, 874–884. [Google Scholar] [CrossRef]
- Steffe, J.F. Rheological Methods in Food Process Engineering; Freeman Pr.: East Lansing, MI, USA, 1996. [Google Scholar]
- De Oliveira, M.M.; Augusto, P.E.; Da Cruz, A.G.; Cristianini, M. Effect of Dynamic High Pressure on Milk Fermentation Kinetics and Rheological Properties of Probiotic Fermented Milk. Innov. Food Sci. Emerg. Technol. 2014, 26, 67–75. [Google Scholar] [CrossRef]
- Piñeiro-Lago, L.; Franco, I.; Tovar, C.A. Temperature Dependence of the Viscoelastic Properties of an Acid-Curd Spanish Cheese: Afuega’l Pitu Atroncau Roxu Variety (PDO). LWT 2020, 126, 109304. [Google Scholar] [CrossRef]
- Powles, J.; Rickayzen, G.; Heyes, D. Purely Viscous Fluids. Proc. R. Soc. A Math. Phys. Eng. Sci. 1999, 455, 3725–3742. [Google Scholar] [CrossRef]
- Tan, C.; Wang, J.; Sun, B. Biopolymer-Liposome Hybrid Systems for Controlled Delivery of Bioactive Compounds: Recent Advances. Biotechnol. Adv. 2021, 48, 107727. [Google Scholar] [CrossRef] [PubMed]
- Clark, S.; Michael, M.; Schmidt, K.A. Rheological Properties of Yogurt: Effects of Ingredients, Processing and Handling. In Rheology of Semisolid Foods; Joyner, H.S., Ed.; Springer International Publishing: Cham, Switzerland, 2019; pp. 203–229. ISBN 978-3-030-27134-3. [Google Scholar]
- Marcillo-Parra, V.; Tupuna-Yerovi, D.S.; González, Z.; Ruales, J. Encapsulation of Bioactive Compounds from Fruit and Vegetable By-Products for Food Application—A Review. Trends Food Sci. Technol. 2021, 116, 11–23. [Google Scholar] [CrossRef]
- Kwon, H.C.; Bae, H.; Seo, H.G.; Han, S.G. Short Communication: Chia Seed Extract Enhances Physiochemical and Antioxidant Properties of Yogurt. J. Dairy Sci. 2019, 102, 4870–4876. [Google Scholar] [CrossRef] [PubMed]
- Gyawali, R.; Ibrahim, S.A. Effects of Hydrocolloids and Processing Conditions on Acid Whey Production with Reference to Greek Yogurt. Trends Food Sci. Technol. 2016, 56, 61–76. [Google Scholar] [CrossRef]
- Lesme, H.; Rannou, C.; Famelart, M.-H.; Bouhallab, S.; Prost, C. Yogurts Enriched with Milk Proteins: Texture Properties, Aroma Release and Sensory Perception. Trends Food Sci. Technol. 2020, 98, 140–149. [Google Scholar] [CrossRef]
- Wijesekara, A.; Weerasingha, V.; Jayarathna, S.; Priyashantha, H. Quality Parameters of Natural Phenolics and Its Impact on Physicochemical, Microbiological, and Sensory Quality Attributes of Probiotic Stirred Yogurt during the Storage. Food Chem. X 2022, 14, 100332. [Google Scholar] [CrossRef] [PubMed]
- Pan, L.-H.; Liu, F.; Luo, S.-Z.; Luo, J. Pomegranate Juice Powder as Sugar Replacer Enhanced Quality and Function of Set Yogurts: Structure, Rheological Property, Antioxidant Activity and in Vitro Bioaccessibility. LWT 2019, 115, 108479. [Google Scholar] [CrossRef]
- Jaster, H.; Arend, G.D.; Rezzadori, K.; Chaves, V.C.; Reginatto, F.H.; Petrus, J.C.C. Enhancement of Antioxidant Activity and Physicochemical Properties of Yogurt Enriched with Concentrated Strawberry Pulp Obtained by Block Freeze Concentration. Food Res. Int. 2018, 104, 119–125. [Google Scholar] [CrossRef]
- Rojas-Torres, S.A.; Quintana, S.E.; García-Zapateiro, L.A. Natural Yogurt Stabilized with Hydrocolloids from Butternut Squash (Cucurbita moschata) Seeds: Effect on Physicochemical, Rheological Properties and Sensory Perception. Fluids 2021, 6, 251. [Google Scholar] [CrossRef]
- Ban, Q.; Liu, Z.; Yu, C.; Sun, X.; Guo, M. Properties of Yogurt Using Monk Fruit Extract as a Sweetener. J. Dairy Sci. 2020, 101, 10006–10014. [Google Scholar] [CrossRef] [PubMed]
- Sendra, E.; Kuri, V.; Fernández-López, J.; Sayas-Barberá, E.; Navarro, C.; Pérez-Alvarez, J.A. Viscoelastic Properties of Orange Fiber Enriched Yogurt as a Function of Fiber Dose, Size and Thermal Treatment. LWT 2010, 43, 708–714. [Google Scholar] [CrossRef]
- Ramirez-Santiago, C.; Ramos-Solis, L.; Lobato-Calleros, C.; Peña-Valdivia, C.; Vernon-Carter, E.J.; Alvarez-Ramírez, J. Enrichment of Stirred Yogurt with Soluble Dietary Fiber from Pachyrhizus erosus L. Urban: Effect on Syneresis, Microstructure and Rheological Properties. J. Food Eng. 2010, 101, 229–235. [Google Scholar] [CrossRef]
- Whaley, J.K.; Templeton, C.; Anvari, M. Rheological Testing for Semisolid Foods: Traditional Rheometry. In Rheology of Semisolid Foods; Joyner, H.S., Ed.; Springer International Publishing: Cham, Switzerland, 2019; pp. 63–96. ISBN 978-3-030-27134-3. [Google Scholar]





| Sample Code | L* | a* | b* | C* | |
|---|---|---|---|---|---|
| XG–CH | 7.40 ± 1.26 a | 1.30 ± 0.10 a | 0.16 ± 0.06 a | 1.31 ± 0.09 a | |
| XG–CH–MPE-1 | 13.70 ± 0.45 b | 0.62 ± 0.31 b | 3.69 ± 1.87 b | 3.74 ± 0.90 b | 7.43 ± 0.21 a |
| XG–CH–MPE-3 | 14.56 ± 2.73 b | 0.52 ± 0.15 b | 7.20 ± 1.20 c | 7.21 ± 0.25 c | 8.34 ± 0.36 a |
| XG–CH–MPE-5 | 19.18 ± 0.36 c | 0.30 ± 0.04 b | 9.16 ± 0.99 c | 9.17 ± 0.99 c | 10.59 ± 0.72 b |
| Sample Code | K | n | R2 |
|---|---|---|---|
| XG–CH | 50.32 ± 7.21 a | 0.01 ± 0.03 a | 0.96 |
| XG–CH–MPE-1 | 49.73 ± 2.98 a | 0.02 ± 0.01 a | 0.99 |
| XG–CH–MPE-3 | 20.69 ± 1.57 b | 0.11 ± 0.01 a | 0.97 |
| XG–CH–MPE-5 | 8.41 ± 0.58 c | 0.31 ± 0.01 a | 0.97 |
| Sample Code | R2 | R2 | ||||
|---|---|---|---|---|---|---|
| XG–CH | 111.96 ± 1.88 a | 1.14 ± 0.05 a | 0.93 | 27.25 ± 0.52 a | 1.11 ± 0.06 a | 0.92 |
| XG–CH–MPE-1 | 926.74 ± 9.51 b | 1.08 ± 0.03 b | 0.91 | 144.31 ± 3.16 b | 1.05 ± 0.08 a | 0.93 |
| XG–CH–MPE-3 | 2921.44 ± 25.41 c | 0.99 ± 0.03 b | 0.95 | 374.85 ± 8.02 c | 1.02 ± 0.08 a | 0.97 |
| XG–CH–MPE-5 | 2677.49 ± 41.88 d | 1.14 ± 0.05 a | 0.93 | 623.59 ± 20.19 d | 1.20 ± 0.09 ab | 0.95 |
| Sample Code | pH | TA % Lactic Acid | Syneresis % | WHC % | TPC mg GAE/g | TEAC |
|---|---|---|---|---|---|---|
| Y-XG–CH | 4.49 ± 0.02 a | 1.062 ± 0.07 a | 58.30 ± 4.01 a | 41.69 ± 4.09 a | 3.69 ± 0.28 a | 8.05 ± 0.26 a |
| Y-XG–CH–MPE-1 | 4.47 ± 0.01 a | 1.134 ± 0.07 a | 58.85 ± 1.15 ab | 41.14 ± 1.12 ab | 9.66 ± 0.72 b | 11.74 ± 0.08 b |
| Y-XG–CH–MPE-3 | 4.45 ± 0.01 a | 1.152 ± 0.07 a | 58.46 ± 2.17 ab | 41.53 ± 2.22 ab | 18.75 ± 0.71 c | 21.76 ± 0.03 c |
| Y-XG–CH–MPE-5 | 4.41 ± 0.01 a | 1.278 ± 0.05 a | 55.78 ± 2.12 b | 44.21 ± 2.07 b | 23.65 ± 1.03 d | 31.90 ± 0.75 d |
| Sample Code | L* | a* | b* | C* | |
|---|---|---|---|---|---|
| Y-XG–CH | 76.32 ± 4.32 a | −2.18 ± 0.32 a | 16.17 ± 0.34 a | 71.18 ± 3.71 a | -- |
| Y-XG–CH–MPE-1 | 75.60 ± 2.13 a | −2.16 ± 0.06 a | 16.48 ± 0.20 a | 70.45 ± 1.66 a | 2.89 ± 1.66 a |
| Y-XG–CH–MPE-3 | 77.88 ± 2.89 a | −2.19 ± 0.14 a | 16.49 ± 0.50 a | 72.29 ± 2.51 a | 1.64 ± 1.50 a |
| Y-XG–CH–MPE-5 | 77.69 ± 2.05 a | −2.15 ± 0.23 a | 16.23 ± 0.71 a | 72.30 ± 0.65 a | 2.80 ± 1.39 a |
| Sample Code | Pa | Pa | Pa |
|---|---|---|---|
| Y-XG–CH | 2.83 a | 35.71 a | 10.14 a |
| Y-XG–CH–MPE-1 | 0.82 b | 15.09 b | 2.44 b |
| Y-XG–CH–MPE-3 | 0.30 c | 9.29 c | 2.39 b |
| Y-XG–CH–MPE-5 | 1.05 d | 19.27 d | 3.18 c |
Disclaimer/Publisher’s Note: The statements, opinions and data contained in all publications are solely those of the individual author(s) and contributor(s) and not of MDPI and/or the editor(s). MDPI and/or the editor(s) disclaim responsibility for any injury to people or property resulting from any ideas, methods, instructions or products referred to in the content. |
© 2023 by the authors. Licensee MDPI, Basel, Switzerland. This article is an open access article distributed under the terms and conditions of the Creative Commons Attribution (CC BY) license (https://creativecommons.org/licenses/by/4.0/).
Share and Cite
Lastra-Ripoll, S.E.; Quintana, S.E.; García-Zapateiro, L.A. Yogurt Enriched with Mango Peel Extracts (Mangifera indica) in Chitosan–Xanthan Gum Dispersions: Physicochemical, Rheological, Stability, and Antioxidant Activity. Fluids 2023, 8, 259. https://doi.org/10.3390/fluids8100259
Lastra-Ripoll SE, Quintana SE, García-Zapateiro LA. Yogurt Enriched with Mango Peel Extracts (Mangifera indica) in Chitosan–Xanthan Gum Dispersions: Physicochemical, Rheological, Stability, and Antioxidant Activity. Fluids. 2023; 8(10):259. https://doi.org/10.3390/fluids8100259
Chicago/Turabian StyleLastra-Ripoll, Santander E., Somaris E. Quintana, and Luis A. García-Zapateiro. 2023. "Yogurt Enriched with Mango Peel Extracts (Mangifera indica) in Chitosan–Xanthan Gum Dispersions: Physicochemical, Rheological, Stability, and Antioxidant Activity" Fluids 8, no. 10: 259. https://doi.org/10.3390/fluids8100259
APA StyleLastra-Ripoll, S. E., Quintana, S. E., & García-Zapateiro, L. A. (2023). Yogurt Enriched with Mango Peel Extracts (Mangifera indica) in Chitosan–Xanthan Gum Dispersions: Physicochemical, Rheological, Stability, and Antioxidant Activity. Fluids, 8(10), 259. https://doi.org/10.3390/fluids8100259

