Electroviscoelstic Stability Analysis of Cylindrical Structures in Walters B Conducting Fluids Streaming through Porous Medium
Abstract
:1. Introduction
2. Flow Description
2.1. Basic Equations
2.2. Boundary Conditions
- On a rigid cylindrical surface, the velocity potentials and the electric potentials must satisfy the following conditions [14]:
- At the interface , the tangential electric field component is assumed to be continuous [14]:where define the jump of the quantity f over the interface between the two fluids.
- When the uniform conductivity of fluids is taken into account, the problem becomes more attractive, though more challenging as well. In many electrical structures, surface charges and conduction in the interface region play a crucial role. The continuity of stationary current normal to the interface should lead to charge accumulation on the interface [10,23]. At steady state, we obtain the following condition:
- 4.
- 5.
- 6
- The remaining dynamical boundary condition regarding the mass transport across the interface, as shown by many authors [14,15], is the conservation of momentum balance:where P is the pressure and and are the tangential and normal components of the electric field, respectively. Integrating the linear equation of motion (1) results in Bernoulli’s formula; eliminating the pressure using Bernoulli equation, condition (17) can be rewritten in linearized form as
3. Stability Analysis
3.1. Derivation of Characteristic Equation
- In the presence of heat and mass transfer , inviscid Kelvin–Helmholtz instability, i.e., (), pure flow with no elasticity, i.e., (), non porous medium, i.e., (), and absence of applied electric field (), the dispersion relation (27) reduces to the same equation as established by Nayak and Chakraborty [33].
- In the presence of an applied electric field ( without heat and mass transfer, i.e., (, inviscid Rayleigh–Taylor instability, i.e., (), pure flow with no elasticity, i.e., (), and a non-porous medium, i.e., (), relation (27) reduces to the same equation as was derived by Elhefnawy et al. [29].
3.2. Growth Rate and Stability Criteria
4. Numerical Results and Discussion
5. Conclusions
- The electrical conductivities play a critical role in the cylindrical structure’s mechanism. The axial electric field according to its value, has a dual role on the structure’s stability. From this, the following new results can be summarized.
- The increase of the inner fluid conductivity with fixed outer fluid conductivity increases the instability of the structure, showing the destabilizing effect of the inner fluid conductivity , while the increase in the outer fluid conductivity with fixed inner fluid conductivity decreases, showing the stabilizing effect of the outer fluid conductivity .
- The increase of the electrical conductivity values () increases the stability of the structure for a small wavenumber range (), showing the stabilizing effect of the electrical conductivity values (). The increase of the electrical conductivity values () increases the instability of the structure, showing the destabilizing effect of these electrical conductivity values. These results are in agreement with the previous results achieved by Elhefnawy [30] and Elsayed [36].
- –
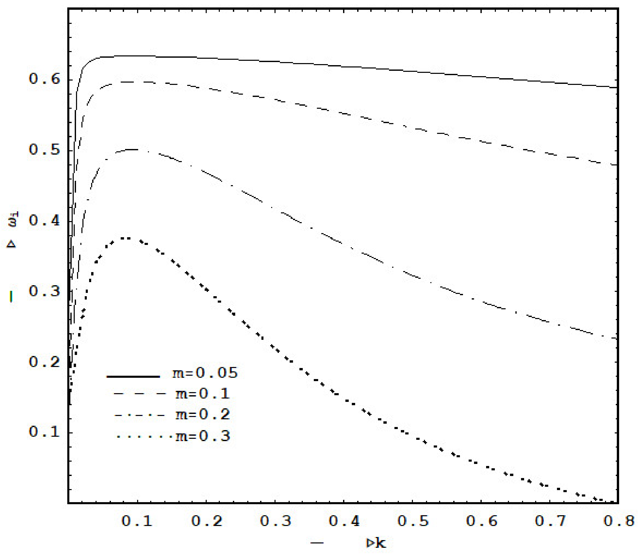
- The kinematic viscosities , , kinematic viscoelasticities , and porosity of the medium m have stabilizing effects on the structure.
- –
- The permeability of the medium , the mass and heat transfer coefficient , and the fluid velocities , have destabilizing effects on the structure.
- –
- The second group of figures (, k) for different values of the parameters confirm the same results obtained in the first group of figures (, k); through these groups, the previous limiting case can be recovered. Nonlinear effects in EHD phenomena will be discussed in a future study.
Author Contributions
Funding
Data Availability Statement
Acknowledgments
Conflicts of Interest
Nomenclature
| cylindrical coordinates | |
| A | complex amplitude of surface elevation |
| electric field components | |
| g | gravitational acceleration |
| m | porosity of the medium |
| permeability of the medium | |
| dielectric constant | |
| p | fluid pressure |
| v | fluid velocity |
| T | surface tension |
| R | radius of cylinder |
| r | coordinate transverse to the cylinder surface |
| , , and | temperature at , , and |
| t | time |
| vertical uniform velocity | |
| electrical conductivity | |
| coefficient of heat and mass transfer | |
| elevation of unperturbed interface | |
| fluid kinematic viscoelasticity | |
| fluid kinematic viscosity | |
| fluid density | |
| velocity potential function | |
| electrostatic potential function | |
| and | tangential and normal components of the electric field |
| q | free charge density |
| J | free current density |
| k | wavenumber |
| complex growth rate |
References
- Shore, S.N. An Introduction to Astrophysical Hydrodynamics; Academic Press Inc.: New York, NY, USA, 1992. [Google Scholar]
- Chandrasekhar, S. Hydrodynamic and Hydromagnetic Stability; Oxford University Press: Oxford, UK, 1961. [Google Scholar]
- Weissman, M.A. Nonlinear wave packets in the Kelvin-Helmholtz instability. Philosiphical Trans. R. Soc. Lond. A 1979, 290, 639–685. [Google Scholar]
- Choudhury, S.R. Nonlinear Evolution of the Kelvin Helmholtz Instability of Supersonic Tangential Velocity Discontinuities. J. Math. Anal. App. 1997, 214, 561–586. [Google Scholar] [CrossRef] [Green Version]
- Funada, T.; Joseph, D.D. Viscous potential flow analysis of Kelvin–Helmholtz instability in a channel. J. Fluid Mech. 2001, 445, 263–283. [Google Scholar] [CrossRef] [Green Version]
- Chong, R.; Lafitte, O.; Pla, F.; Cahen, J. Linear growth rate for Kelvin–Helmholtz instability appearing in a moving mixing layer. Phys. Scr. 2008, T132, 014039. [Google Scholar] [CrossRef]
- Asthana, R.; Awasthi, M.K.; Agrawal, G.S. Viscous Potential Flow Analysis of Kelvin–Helmholtz Instability of a Cylindrical Flow with Heat and Mass Transfer. Heat Transf. Asian Res. 2014, 43, 6. [Google Scholar] [CrossRef]
- Hoshoudy, G.A.; Cavus, H. Kelvin–Helmholtz instability of two finite-thickness fluid layers with continuous density and velocity profiles. J. Astrophys. Astr. 2018, 39, 39. [Google Scholar] [CrossRef]
- David, J.G. Introduction to Electrohydrodynamics; Prentice Hall International Inc.: Hoboken, NJ, USA, 1999. [Google Scholar]
- Melcher, J.R.; Taylor, G.I. Electrohydrodynamics: A review of the role of Interfacial shear stresses. Ann. Rev. Fluid Mech. 1969, 1, 111–146. [Google Scholar] [CrossRef]
- Saville, D.A. Electrohydrodynamics: The Taylor–Melcher leaky dielectric model. Annu. Rev. Fluid Mech. 1997, 29, 27–64. [Google Scholar] [CrossRef]
- Baygents, J.C.; Baldessari, F. Electrohydrodynamic instability in a thin fluid layer with an electrical conducting gradient. Phys. Fluids 1998, 10, 301. [Google Scholar] [CrossRef]
- Rudraiah, N.; Ng, C.O. A model for manufacture of Nano-Sized materials free from impurities. Curr. Sci. 2004, 86, 1076. [Google Scholar]
- Elhefnawy, A.R.F.; Moatimid, G.M. The effect of an axial electric field on the stability of cylindrical flows in the presence of mass and heat transfer and absence ofgravity. Phys. Scr. 1994, 50, 258. [Google Scholar] [CrossRef]
- Moatimid, G.M.; Hassan, M.A. Three-Dimensional Viscous Potential Electrohydrodynamic Kelvin–Helmholtz Instability Through Vertical Cylindrical Porous Inclusions With Permeable Boundaries. J. Fluids Eng. 2014, 136, 021203. [Google Scholar] [CrossRef]
- Awasthi, M.K. Electrohydrodynamic capillary instability with heat and mass transfer. Ain Shams Eng. J. 2014, 5, 263–270. [Google Scholar] [CrossRef] [Green Version]
- Awasthi, M.K.; Agrawal, G.S. Viscous contributions to the pressure for the electroviscous potential flow analysis of capillary instability. Int. J. Theo. App. Multi. Mech. 2011, 2, 131–145. [Google Scholar] [CrossRef]
- Awasthi, M.K.; Agrawal, G.S. Viscous potential flow analysis of capillary instability with radial electric field. Int. J. Theo. App. Multi. Mech. 2012, 2, 185–197. [Google Scholar] [CrossRef]
- Li, F.; Yin, X.Y.; Yin, X.Z. Axisymmetric and Non-Axisymmetric Instability of an Electrified Viscous Coaxial Jet. J. Fluid Mech. 2009, 632, 199–225. [Google Scholar] [CrossRef]
- Li, F.; Yin, X.Y.; Yin, X.Z. Instability of a leaky dielectric coaxial jet in both axial and radial electric fields. Phys. Rev. E 2008, 78, 036302. [Google Scholar] [CrossRef]
- El-Sayed, M.F.; Moussa, M.H.M.; Hassan, A.A.; Hafez, N.M. Electrohydrodynamic instability of two thin viscous leaky dielectric fluid films in a porous medium. Appl. Math. A 2011, 2011, 498718. [Google Scholar] [CrossRef] [Green Version]
- El-Sayed, M.F.; Moussa, M.H.M.; Hassan, A.A.; Hafez, N.M. Electrohydrodynamic instability of liquid sheet saturating porous medium with interfacial surface charges. At. Sprays 2013, 23, 2. [Google Scholar] [CrossRef]
- Mestel, A.S. Electrohydrodynamic stability ofa slightly viscous jet. J. Fluid Mech. 1994, 274, 93. [Google Scholar] [CrossRef]
- Mestel, A.S. Electrohydrodynamic stability ofa highly viscous jet. J. Fluid Mech. 1996, 312, 311. [Google Scholar] [CrossRef]
- Ganan-Calvo, A.M. On the theory of electrohydrodynamically driven capillary jets. J. Fluid Mech. 1997, 335, 165. [Google Scholar] [CrossRef]
- Ozen, O.; Aubry, N.; Papageorgiou, D.T.; Petropoulos, P.G. Electrohydrodynamic linear stability of two immiscible fluids in channel flow. Electrochem. Acta 2006, 51, 316. [Google Scholar] [CrossRef]
- Gonzalez, H.; Garcia, F.J.; Castellanos, A. Stability analysis of conducting jets under AC radial electric fields for arbitrary viscosity. Phys. Fluids 2003, 15, 395. [Google Scholar] [CrossRef]
- Lpez-Herrera, J.M.; Riesco-Chueca, P.; Ganan-Calvo, A.M. Linear stability analysis of axisymmetric perturbations in imperfectly conducting liquid jets. Phys. Fluids 2005, 17, 034106. [Google Scholar] [CrossRef]
- Elhefnawy, A.R.F.; Agoor, B.M.H.; Elcoot, A.E.K. Nonlinear electrohydrodynamic stability of a finitely conducting jet under an axial electric field. Phys. A 2001, 297, 368. [Google Scholar] [CrossRef]
- Elhefnawy, A.R.F.; Moatimid, G.M.; Elcoot, A. The effect of an axial electric field on the nonlinear stability between two uniform stream flows of finitely conducting cylinders. Can. J. Phys. 2003, 81, 805–821. [Google Scholar] [CrossRef]
- Hsieh, D.Y. Interfacial stability with mass and heat transfer. Phys. Fluids 1978, 21, 745. [Google Scholar] [CrossRef] [Green Version]
- Hsieh, D.Y.; Ho, S.P. Rayleigh–Taylor stability with mass and heat transfer. Phys. Fluids 1981, 24, 2002. [Google Scholar] [CrossRef]
- Nayak, A.R.; Chakraborty, B.B. Kelvin-Helmholtz stability with mass and heat transfer. Phys. Fluids 1984, 27, 1937–1941. [Google Scholar] [CrossRef]
- Kim, H.J.; Kwon, S.J.; Padrino, J.C.; Funada, T. Viscous potential flow analysis of capillary instability with heat and mass transfer. J. Phys. A Math. Theor. 2008, 41, 11. [Google Scholar] [CrossRef] [Green Version]
- Awasthi, M.K.; Asthana, R.; Uddinb, Z. Nonlinear Study of Kelvin-Helmholtz instability of cylindrical flow with mass and heat transfer. Int. Comm. Heat Mass Trans. 2016, 71, 216–224. [Google Scholar] [CrossRef]
- El-Sayed, M.F.; Mohamed, A.A.; Metwaly, T.M.N. Effect of general applied elecric field on conducting liquid jets instabilities in the presence of heat and mass transfer. Appl. Math. Comput. 2006, 172, 1078–1102. [Google Scholar]
- El-Sayed, M.F.; Mohamed, A.A.; Metwaly, T.M.N. Stability of cylindrical conducting fluids with heat and mass transfer in longitudinal periodic electric field. Phys. A 2007, 379, 59–80. [Google Scholar] [CrossRef]
- El-Sayed, M.F.; Mohamed, A.A.; Metwaly, T.M.N. Thermohydrodynamic instabilities of conducting liquid jets in the presence of time-dependent transverse electric fields. Phys. A 2005, 345, 367–394. [Google Scholar] [CrossRef]
- Tiwari, D.K.; Awasthi, M.K.; Agrawal, G.S. Study on Electrohydrodynamic Capillary Instability with Heat and Mass Transfer. Int. J. Phys. Math Sc. 2013, 7, 1362–1369. [Google Scholar]
- Tiwari, D.K.; Awasthi, M.K.; Agrawal, G.S. Viscous potential flow analysis of electrohydrodynamic capillary instability with heat and mass transfer: Effect of free surface charge. Int. J. Appl. Electromag. Mech. 2015, 47, 453–465. [Google Scholar] [CrossRef]
- Nield, D.A.; Bejan, A. Convection in Porous Media, 2nd ed.; Springer: Berlin, Germany, 1999. [Google Scholar]
- Vafai, K. Handbook of Porous Media; Marcel Dekker: New York, NY, USA, 2000. [Google Scholar]
- Pop, I.; Ingham, D.B. Convective Heat Transfer: Mathematical and Computational Modeling of Viscous Fluids and Porous Media; Pergamon Press: Oxford, UK, 2000. [Google Scholar]
- Moatimid, G.M.; Hassan, M.A. Viscous potential flow of electrohydrodynamic Kelvin-Helmholtz instability through two porous layers with suction/injection effect. Int. J. Eng. Sci. 2012, 54, 12–26. [Google Scholar] [CrossRef]
- El-Sayed, M.F.; Moatimid, G.M.; Metwaly, T.M.N. Nonlinear Electrohydrodynamic Stability of Two Superposed Streaming Finite Dielectric Fluids in Porous Medium with Interfacial Surface Charges. Transp. Porous Med. 2011, 86, 559–578. [Google Scholar] [CrossRef]
- Amer, M.F.E.; Moatimid, G.M. Electrohydrodynamic instability of a streaming dielectric viscous liquid jet with mass and heat transfer. At. Sprays. 2020, 29, 1087–1108. [Google Scholar] [CrossRef]
- Sharma, R.C.; Sunil, C.S. The instability of streaming Walers’ viscoelastic fluid B’ in porous medium. Czech J. Phys. 1999, 49, 189–195. [Google Scholar] [CrossRef]
- Walters, K. The Solution of Flow Problems in Case of Materials with Memory. J. Mec. 1962, 1, 469–479. [Google Scholar]
- Kumar, P.; Singh, G.J. On the stability of two stratified Walters B’ viscoelastic superposed fluids. Stud. Geotech. Mech. 2010, 4, 29–37. [Google Scholar]
- El-Sayed, M.F.; Eldabe, N.T.; Haroun, M.H.; Mostafa, D.M. Nonlinear electrohydrodynamic stability of two superposed Walters B’ viscoelastic fluids in relative motion through porous medium. J. Mech. 2013, 29, 1–14. [Google Scholar] [CrossRef]
- El-Sayed, M.F.; Eldabe, N.T.; Haroun, M.H.; Mostafa, D.M. Nonlinear stability of viscoelastic fluids streaming through porous media under the influence of vertical electric fields producing surface charges. Int. J. Adv. Appl. Math. Mech. 2014, 2, 110–125. [Google Scholar]
- Moatimid, G.M.; Zekry, M.H. Nonlinear stability of electro-visco-elastic Walters’ B type in porous media. Microsyst. Technol. 2020, 26, 2013–2027. [Google Scholar] [CrossRef]
- Moatimid, G.M.; El-Dib, Y.O.; Zekry, M.H. Instability analysis of a streaming electrified cylindrical sheet through porous media. Pramana J. Phys. 2019, 92, 22. [Google Scholar] [CrossRef]
- Rayleigh, L. The Theory of Sound; Dover Publications: New York, NY, USA, 1945. [Google Scholar]
- Awasthi, M.K. Three dimensional magnetohydrodynamic Kelvin-Helmholtz instability of cylindrical flow with permeable boundaries. Phys. Plasma 2014, 21, 032124. [Google Scholar] [CrossRef]
- Zahreddine, Z.; El-Shehawey, E.F. On the stability of a system of differential equations with complex coefficients. Indian J. Pure Appl. Math. 1988, 19, 963–972. [Google Scholar]

















Publisher’s Note: MDPI stays neutral with regard to jurisdictional claims in published maps and institutional affiliations. |
© 2022 by the authors. Licensee MDPI, Basel, Switzerland. This article is an open access article distributed under the terms and conditions of the Creative Commons Attribution (CC BY) license (https://creativecommons.org/licenses/by/4.0/).
Share and Cite
Metwaly, T.M.N.; Hafez, N.M. Electroviscoelstic Stability Analysis of Cylindrical Structures in Walters B Conducting Fluids Streaming through Porous Medium. Fluids 2022, 7, 224. https://doi.org/10.3390/fluids7070224
Metwaly TMN, Hafez NM. Electroviscoelstic Stability Analysis of Cylindrical Structures in Walters B Conducting Fluids Streaming through Porous Medium. Fluids. 2022; 7(7):224. https://doi.org/10.3390/fluids7070224
Chicago/Turabian StyleMetwaly, T. M. N., and N. M. Hafez. 2022. "Electroviscoelstic Stability Analysis of Cylindrical Structures in Walters B Conducting Fluids Streaming through Porous Medium" Fluids 7, no. 7: 224. https://doi.org/10.3390/fluids7070224
APA StyleMetwaly, T. M. N., & Hafez, N. M. (2022). Electroviscoelstic Stability Analysis of Cylindrical Structures in Walters B Conducting Fluids Streaming through Porous Medium. Fluids, 7(7), 224. https://doi.org/10.3390/fluids7070224

