Instability of Lenticular Vortices: Results from Laboratory Experiments, Linear Stability Analysis and Numerical Simulations
Abstract
1. Introduction
2. Problem Formulation and Methods
2.1. RSW Equations and Basic State
2.1.1. The Two-Layer RSW Model
2.1.2. Vortex Profiles
2.1.3. Range of Parameters Investigated and Estimates of Realistic Values
2.2. Methods
2.2.1. Setup of the Laboratory Experiments
2.2.2. Linear Stability Analysis
2.2.3. Nonlinear Simulations: Numerics and Initial Conditions
3. Early Stage of the Instability
3.1. Preliminary Considerations from Linear Stability Analysis
3.2. Observations in Laboratory Experiments
- The parameters in the laboratory experiments are deduced from qualitative considerations and semi-empirical relations, neglecting the details of the initial adjustment;
- Friction effects decreases the azimuthal velocity, especially during the initial adjustment and near the edge of the eddy [37].
- The initial adjustment leaves out high-wavenumber perturbations to the vortex before the instability starts developing (see Figure 4a). The vortex may be unstable with respect to several wavenumbers, which are unevenly excited by this perturbation, so that a mode that is not the most unstable may initially gain more energy than the most unstable one and develop faster.
3.3. Results from Nonlinear Numerical Simulations
3.4. Sensitivity to the Initial Conditions
4. Nonlinear Saturation of the Instability
4.1. Nonlinear Saturation for Dominant
4.2. Nonlinear Saturation with Wavenumber(s)
5. Discussion: Impact of a Lower-Layer Flow
5.1. Piecewise-Constant Lower-Layer PV
5.2. Constant Lower-Layer PV
6. Conclusions
- The instability domain is dominated by the hybrid instability, associated with resonance between a frontal mode and a lower-layer Rossby wave.
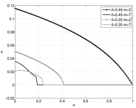
- The growth rate of the most unstable mode increases with the depth ratio and slightly decreases (increases) with the value of the PV of the eddy for small (large) values of the depth ratio. The wavenumber of the most unstable mode increases with both depth ratio and the eddy PV. Several unstable modes with close growth rates and wavenumbers co-exist for .
- Some unstable modes may be found in the zone of stability in the lower-left corner of the parameter space.
- For very large aspect ratio, we found a very unstable ageostrophic unstable mode with high wavenumber (), associated with the resonance between Poincare-like waves.
- If the lower-layer PV is constant (relevant for oceanic application and “constant-flux” experiments, and associated with a weak co-rotating lower-layer circulation), the hybrid instability vanishes as no lower-layer PV gradient supporting the Rossby wave propagation is present. As a result, the vortex is found to be stable, as was previously suggested (e.g., [24,25]) and confirmed by a linear stability analysis in the same model by Cohen et al. [26] with a different numerical method. We further confirmed this inhibition of the instability by means of nonlinear numerical simulations. The ageostrophic instability for very high depth ratio persists (from the linear stability analysis), which was not previously reported.
- If the lower layer is piecewise-constant (corresponding to the inviscid adjusted state in “constant-volume” laboratory experiments and associated with a weak counter-rotating lower-layer circulation), the stability properties are hardly changed for , as shown by both the linear stability analysis and the nonlinear simulations. The growth rate is slightly lower for large depth ratio. For , no significant unstable mode has been found, but weakly unstable mode may exist for high values of the depth ratio.
- The wavenumber observed in laboratory experiments was sometimes different than the linear prediction, especially for large values of the depth ratio;
- The growth rate in the numerical experiments is lower that expected from the linear stability analysis (between 10% and 40%, increasing with ).
- for , two baroclinic dipoles form and propagate away from the initial eddy, leaving eventually a weak monopole at the center;
- for , several dipoles propagate with a strongly curved direction. As a result, they sometimes stay in the neighbourhood of the initial eddy, interacting in a complex manner with each other. Again, a weak monopole can be left at the location of the initial location of the eddy, depending on the parameters.
Author Contributions
Funding
Institutional Review Board Statement
Informed Consent Statement
Data Availability Statement
Acknowledgments
Conflicts of Interest
Abbreviations
| PV | Potential Vorticity |
| RSW | Rotating Shallow Water |
| QG | Quasi-Geostrophic |
Appendix A. Linear Problem in the Exterior Domain (r > 1) and Boundary Conditions
Appendix B. Initial Conditions for the Nonlinear Numerical Simulations
Appendix C. Linear Stability Analysis with a Free Surface
Appendix D. Laboratory Experiments Parameters
| m | |||||||||||
|---|---|---|---|---|---|---|---|---|---|---|---|
| cm/s | cm | cm | cm | rad/s | |||||||
| 0.330 | 0.110 | 5.0 | 5.5 | 40.0 | 4.5 | 0.75 | 8.66 | 0.10 | 7.5 | 0.12 | 2 |
| 0.160 | 0.095 | 5.0 | 5.5 | 40.0 | 3.8 | 1.00 | 7.70 | 0.09 | 12.3 | 0.08 | 2 |
| 0.880 | 0.175 | 3.8 | 5.5 | 40.0 | 7.0 | 0.50 | 10.66 | 0.14 | 4.3 | 0.18 | 2 |
| 0.280 | 0.150 | 3.8 | 5.5 | 40.0 | 6.0 | 0.83 | 8.41 | 0.14 | 8.4 | 0.11 | 2 |
| 0.190 | 0.150 | 3.8 | 5.5 | 40.0 | 6.0 | 1.00 | 7.90 | 0.14 | 10.9 | 0.09 | 2 |
| 0.120 | 0.150 | 3.8 | 5.5 | 40.0 | 6.0 | 1.25 | 7.41 | 0.15 | 15.1 | 0.07 | 2 |
| 0.230 | 0.100 | 6.9 | 5.5 | 40.0 | 4.0 | 1.00 | 8.14 | 0.10 | 9.5 | 0.10 | 2 |
| 0.144 | 0.100 | 6.8 | 5.5 | 40.0 | 4.0 | 1.25 | 7.59 | 0.10 | 13.2 | 0.07 | 2 |
| 0.260 | 0.195 | 4.4 | 5.5 | 20.5 | 4.0 | 0.75 | 8.30 | 0.18 | 8.8 | 0.10 | 2 |
| 0.093 | 0.195 | 4.4 | 5.5 | 20.5 | 4.0 | 1.25 | 7.18 | 0.19 | 18.3 | 0.05 | 3 |
| 0.146 | 0.195 | 4.4 | 5.5 | 20.5 | 4.0 | 1.00 | 7.60 | 0.19 | 13.1 | 0.07 | 2 |
| 0.420 | 0.400 | 3.2 | 5.5 | 10.0 | 4.0 | 0.50 | 9.06 | 0.35 | 6.5 | 0.13 | 2 |
| 0.185 | 0.400 | 3.2 | 5.5 | 10.0 | 4.0 | 0.75 | 7.87 | 0.38 | 11.1 | 0.09 | 2 |
| 0.067 | 0.400 | 3.2 | 5.5 | 10.0 | 4.0 | 1.25 | 6.92 | 0.39 | 23.7 | 0.04 | 4 |
| 0.086 | 0.400 | 3.2 | 5.5 | 10.0 | 4.0 | 1.10 | 7.11 | 0.39 | 19.4 | 0.05 | 4 |
| 0.066 | 0.630 | 2.5 | 5.5 | 8.0 | 5.0 | 1.25 | 6.91 | 0.62 | 23.9 | 0.04 | 4 |
| 0.460 | 0.560 | 6.3 | 5.5 | 9.0 | 5.0 | 0.75 | 9.23 | 0.49 | 6.1 | 0.14 | 2 |
| 0.170 | 0.630 | 6.3 | 5.5 | 8.0 | 5.0 | 1.25 | 7.77 | 0.60 | 11.7 | 0.08 | 4 |
| 0.100 | 0.088 | 6.3 | 5.5 | 40.0 | 3.5 | 1.35 | 7.24 | 0.09 | 17.3 | 0.06 | 2 |
| 0.055 | 0.175 | 17.6 | 20.0 | 28.5 | 28.5 | 1.00 | 24.69 | 0.17 | 27.7 | 0.04 | 4 |
| 0.037 | 0.175 | 11.9 | 20.0 | 28.5 | 28.5 | 1.00 | 23.85 | 0.17 | 38.4 | 0.03 | 5 |
| 0.023 | 0.175 | 7.4 | 20.0 | 28.5 | 28.5 | 1.00 | 23.03 | 0.17 | 57.7 | 0.02 | 6 |
| 0.088 | 0.193 | 25.8 | 20.0 | 28.5 | 28.5 | 1.00 | 25.93 | 0.19 | 19.1 | 0.05 | 3 |
| 0.135 | 0.175 | 43.4 | 20.0 | 28.5 | 28.5 | 1.00 | 27.35 | 0.17 | 13.9 | 0.07 | 3 |
| 0.015 | 0.175 | 6.8 | 20.0 | 28.5 | 28.5 | 1.00 | 22.45 | 0.17 | 84.0 | 0.02 | 7 |
| 0.196 | 0.190 | 36.5 | 20.0 | 28.7 | 28.7 | 1.20 | 28.85 | 0.18 | 10.6 | 0.04 | 3 |
| 0.046 | 0.100 | 18.5 | 20.0 | 39.5 | 39.5 | 0.80 | 24.29 | 0.10 | 32.1 | 0.05 | 3 |
| 0.030 | 0.100 | 17.1 | 20.0 | 39.5 | 39.5 | 1.00 | 23.46 | 0.10 | 45.9 | 0.03 | 4 |
| 0.022 | 0.100 | 11.0 | 20.0 | 39.5 | 39.5 | 1.20 | 22.97 | 0.10 | 59.9 | 0.01 | 5 |
| 0.056 | 0.100 | 28.7 | 20.0 | 39.0 | 39.0 | 1.20 | 24.73 | 0.10 | 27.3 | 0.03 | 3 |
| 0.018 | 0.100 | 10.5 | 20.0 | 39.0 | 39.0 | 1.20 | 22.68 | 0.10 | 71.5 | 0.01 | 5 |
| 0.200 | 0.600 | 53.7 | 20.0 | 10.0 | 6.0 | 1.00 | 28.94 | 0.56 | 10.5 | 0.09 | 3 |
| 0.100 | 0.670 | 25.9 | 20.0 | 10.5 | 7.0 | 1.00 | 26.32 | 0.65 | 17.3 | 0.06 | 4 |
| 0.062 | 0.600 | 16.4 | 20.0 | 10.0 | 6.0 | 1.00 | 24.98 | 0.59 | 25.2 | 0.04 | 5 |
| 0.041 | 0.600 | 11.0 | 20.0 | 10.0 | 6.0 | 1.00 | 24.05 | 0.58 | 35.3 | 0.03 | 6 |
| 0.055 | 0.600 | 14.8 | 20.0 | 10.0 | 6.0 | 1.00 | 24.69 | 0.59 | 27.7 | 0.04 | 5 |
| 0.052 | 0.600 | 13.9 | 20.0 | 10.0 | 6.0 | 1.00 | 24.56 | 0.59 | 29.0 | 0.03 | 5 |
| 0.025 | 0.400 | 9.8 | 20.0 | 10.0 | 4.0 | 1.00 | 23.16 | 0.40 | 53.6 | 0.02 | 7 |
| 0.030 | 0.400 | 12.0 | 20.0 | 10.0 | 4.0 | 1.00 | 23.46 | 0.40 | 45.9 | 0.02 | 5 |
| 0.031 | 0.194 | 8.4 | 20.0 | 31.0 | 6.0 | 1.00 | 23.52 | 0.19 | 44.6 | 0.02 | 5 |
| 0.037 | 0.194 | 9.8 | 20.0 | 31.0 | 6.0 | 1.00 | 23.85 | 0.19 | 38.4 | 0.03 | 5 |
| 0.026 | 0.194 | 6.9 | 20.0 | 31.0 | 6.0 | 1.00 | 23.22 | 0.19 | 51.9 | 0.02 | 5 |
References
- McWilliams, J.C. Submesoscale, coherent vortices in the ocean. Rev. Geophys. 1985, 23, 165–182. [Google Scholar] [CrossRef]
- Olson, D.B. Rings in the Ocean. Annu. Rev. Earth Planet. Sci. 1991, 19, 283–311. [Google Scholar] [CrossRef]
- Carton, X. Oceanic vortices. In Fronts, Waves and Vortices in Geophysical Flows; Flòr, J., Ed.; Springer: Berlin/Heidelberg, Germany, 2010; Volume 805, pp. 61–108. [Google Scholar]
- Chelton, D.; Schlax, M.; Samelson, R. Global observations of nonlinear mesoscale eddies. Progr. Oceanogr. 2011, 91, 167–216. [Google Scholar] [CrossRef]
- Paci, A.; Caniaux, G.; Gavart, M.; Giordani, H.; Lévy, M.; Prieur, L.; Reverdin, G. A High-Resolution Simulation of the Ocean during the POMME Experiment: Simulation Results and Comparison with Observations. J. Geophys. Res. Ocean. 2005, 110. [Google Scholar] [CrossRef]
- Paci, A.; Caniaux, G.; Giordani, H.; Lévy, M.; Prieur, L.; Reverdin, G. A High-Resolution Simulation of the Ocean during the POMME Experiment: Mesoscale Variability and near Surface Processes. J. Geophys. Res. Ocean. 2007, 112. [Google Scholar] [CrossRef]
- Flierl, G.R. A simple model for the structure of warm and cold core rings. J. Geophys. Res. Ocean. 1979, 84, 781–785. [Google Scholar] [CrossRef]
- de Marez, C.; L’Hégaret, P.; Morvan, M.; Carton, X. On the 3D Structure of Eddies in the Arabian Sea. Deep Sea Res. Part I Oceanogr. Res. Pap. 2019, 150, 103057. [Google Scholar] [CrossRef]
- Olson, D.B. The Physical Oceanography of Two Rings Observed by the Cyclonic Ring Experiment. Part II: Dynamics. J. Phys. Oceanogr. 1980, 10, 514–528. [Google Scholar] [CrossRef]
- Olson, D.B.; Evans, R.H. Rings of the Agulhas Current. Deep Sea Res. Part A Oceanogr. Res. Pap. 1986, 33, 27–42. [Google Scholar] [CrossRef]
- Goni, G.J.; Garzoli, S.L.; Roubicek, A.J.; Olson, D.B.; Brown, O.B. Agulhas Ring Dynamics from TOPEX/POSEIDON Satellite Altimeter Data. J. Mar. Res. 1997, 55, 861–883. [Google Scholar] [CrossRef][Green Version]
- Petersen, M.R.; Williams, S.J.; Maltrud, M.E.; Hecht, M.W.; Hamann, B. A Three-Dimensional Eddy Census of a High-Resolution Global Ocean Simulation. J. Geophys. Res. Ocean. 2013, 118, 1759–1774. [Google Scholar] [CrossRef]
- McWilliams, J.C. A Survey of Submesoscale Currents. Geosci. Lett. 2019, 6, 3. [Google Scholar] [CrossRef]
- Saunders, P.M. The Instability of a Baroclinic Vortex. J. Phys. Oceanogr. 1973, 3, 61–65. [Google Scholar] [CrossRef]
- Gill, A.; Smith, J.; Cleaver, R.; Hide, R.; Jonas, P. The vortex created by mass transfer between layers of a rotating fluid. Geophys. Astrophys. Fluid Dyn. 1979, 12, 195–220. [Google Scholar] [CrossRef]
- Griffiths, R.W.; Linden, P.F. The stability of vortices in a rotating, stratified fluid. J. Fluid Mech. 1981, 105, 283–316. [Google Scholar] [CrossRef]
- Flierl, G.R. Rossby Wave Radiation from a Strongly Nonlinear Warm Eddy. J. Phys. Oceanogr. 1984, 14, 47–58. [Google Scholar] [CrossRef]
- Gula, J.; Zeitlin, V.; Bouchut, F. Instabilities of Buoyancy-Driven Coastal Currents and Their Nonlinear Evolution in the Two-Layer Rotating Shallow Water Model. Part 2. Active Lower Layer. J. Fluid Mech. 2010, 665, 209–237. [Google Scholar] [CrossRef]
- Ribstein, B.; Zeitlin, V. Instabilities of Coupled Density Fronts and Their Nonlinear Evolution in the Two-Layer Rotating Shallow-Water Model: Influence of the Lower Layer and of the Topography. J. Fluid Mech. 2013, 716, 528–565. [Google Scholar] [CrossRef]
- Boss, E.; Paldor, N.; Thompson, L. Stability of a Potential Vorticity Front: From Quasi-Geostrophy to Shallow Water. J. Fluid Mech. 1996, 315, 65–84. [Google Scholar] [CrossRef][Green Version]
- Ripa, P. Instability of a solid-body rotating vortex in a two-layer model. J. Fluid Mech. 1992, 242, 395–417. [Google Scholar] [CrossRef]
- Paldor, N.; Nof, D. Linear instability of an anticyclonic vortex in a two-layer ocean. J. Geophys. Res. 1990, 95, 18075–18079. [Google Scholar] [CrossRef]
- Cohen, Y.; Dvorkin, Y.; Paldor, N. Linear instability of warm core, constant potential vorticity, eddies in a two-layer ocean. Q. J. R. Meteorol. Soc. 2015, 141, 1884–1893. [Google Scholar] [CrossRef]
- Dewar, W.K.; Killworth, P.D. On the stability of oceanic rings. J. Phys. Oceanogr. 1995, 25, 1467–1487. [Google Scholar] [CrossRef]
- Benilov, E.S. Stability of vortices in a two-layer ocean with uniform potential vorticity in the lower layer. J. Fluid Mech. 2004, 502, 207–232. [Google Scholar] [CrossRef]
- Cohen, Y.; Dvorkin, Y.; Paldor, N. On the stability of outcropping eddies in a constant PV ocean. Q. J. R. Meteorol. Soc. 2016, 142, 1920–1928. [Google Scholar] [CrossRef]
- Ikeda, M. Instability and splitting of mesoscale rings using a two-layer quasi-geostrophic model on a f-plane. J. Phys. Oceanogr. 1981, 11, 987–998. [Google Scholar] [CrossRef]
- Gent, P.R.; McWilliams, J.C. The instability of barotropic circular vortices. Geophys. Astrophys. Fluid Dyn. 1986, 24, 209–233. [Google Scholar] [CrossRef]
- Baey, J.M.; Carton, X. Vortex multipoles in two-layer rotating shallow-water flows. J. Fluid Mech. 2002, 460, 151–1753. [Google Scholar] [CrossRef]
- Lahaye, N.; Zeitlin, V. Centrifugal, barotropic and baroclinic instabilities of isolated ageostrophic anticyclones in the two-layer rotating shallow water model and their nonlinear saturation. J. Fluid Mech. 2015, 762, 5–34. [Google Scholar] [CrossRef]
- Katsman, C.A. Stability of Multilayer Ocean Vortices: A Parameter Study Including Realistic Gulf Stream and Agulhas Rings. J. Phys. Oceanogr. 2003, 33, 22. [Google Scholar] [CrossRef]
- Verzicco, R.; Lalli, F.; Campana, E. Dynamics of baroclinic vortices in a rotating, stratified fluid: A numerical study. Phys. Fluids 1997, 9, 419–432. [Google Scholar] [CrossRef]
- Thivolle-Cazat, E.; Sommeria, J.; Galmiche, M. Baroclinic instability of two-layer vortices in laboratory experiments. J. Fluid Mech. 2005, 544, 69–97. [Google Scholar] [CrossRef]
- Zeitlin, V. Geophysical Fluid Dynamics: Understanding (Almost) Everything with Rotating Shallow Water Models; Oxford University Press: Oxford, UK, 2018. [Google Scholar]
- Olson, D.B.; Schmitt, R.W.; Kennelly, M.; Joyce, T.M. A Two-Layer Diagnostic Model of the Long-Term Physical Evolution of Warm-Core Ring 82B. J. Geophys. Res. Ocean. 1985, 90, 8813–8822. [Google Scholar] [CrossRef]
- Chelton, D.B.; deSzoeke, R.A.; Schlax, M.G.; El Naggar, K.; Siwertz, N. Geographical Variability of the First Baroclinic Rossby Radius of Deformation. J. Phys. Oceanogr. 1998, 28, 433–460. [Google Scholar] [CrossRef]
- Stegner, A.; Bouruet-Aubertot, P.; Pichon, T. Nonlinear adjustment of density fronts. Part 1. The Rossby scenario and the experimental reality. J. Fluid Mech. 2004, 502, 335–360. [Google Scholar] [CrossRef]
- Bouchut, F.; Zeitlin, V. A robust well-balanced scheme for multi-layer shallow water equations. Disc. Cont. Dyn. Syst. 2010, 13, 739–758. [Google Scholar] [CrossRef]
- Gula, J.; Zeitlin, V. Instabilities of shallow-water flows with vertical shear in the rotating annulus. In Modeling Atmospheric and Oceanic Fluid Flows: Insights From Laboratory Experiments; AGU Book Series: Washington, DC, USA, 2015. [Google Scholar]
- Sokolovskiy, M.A.; Verron, J. Finite-Core Hetons: Stability and Interactions. J. Fluid Mech. 2000, 423, 127–154. [Google Scholar] [CrossRef]
- Perrot, X.; Carton, X. Instability of a two-step Rankine vortex in a reduced gravity QG model. Fluid Dyn. Res. 2014, 46, 031417. [Google Scholar] [CrossRef]
- Gryanik, V.M.; Sokolovskiy, M.A.; Verron, J. Dynamics of heton-like vortices. Regul. Chaotic Dyn. 2006, 11, 383–434. [Google Scholar] [CrossRef]
- Benilov, E.S.; Flanagan, J.D. The effect of ageostrophy on the stability of vortices in a two-layer ocean. Ocean Model. 2008, 23, 49–58. [Google Scholar] [CrossRef]
- Boyd, J.P. Orthogonal rational functions on a semi-infinite interval. J. Comput. Phys. 1987, 70, 63–88. [Google Scholar] [CrossRef]












| 0.1 | 0.14 | 0.2 | 0.28 | 0.4 | 0.56 | 0.8 | |
| 3 | 10 | 16 | 25 | 40 | 63 | 90 |
Publisher’s Note: MDPI stays neutral with regard to jurisdictional claims in published maps and institutional affiliations. |
© 2021 by the authors. Licensee MDPI, Basel, Switzerland. This article is an open access article distributed under the terms and conditions of the Creative Commons Attribution (CC BY) license (https://creativecommons.org/licenses/by/4.0/).
Share and Cite
Lahaye, N.; Paci, A.; Llewellyn Smith, S.G. Instability of Lenticular Vortices: Results from Laboratory Experiments, Linear Stability Analysis and Numerical Simulations. Fluids 2021, 6, 380. https://doi.org/10.3390/fluids6110380
Lahaye N, Paci A, Llewellyn Smith SG. Instability of Lenticular Vortices: Results from Laboratory Experiments, Linear Stability Analysis and Numerical Simulations. Fluids. 2021; 6(11):380. https://doi.org/10.3390/fluids6110380
Chicago/Turabian StyleLahaye, Noé, Alexandre Paci, and Stefan G. Llewellyn Smith. 2021. "Instability of Lenticular Vortices: Results from Laboratory Experiments, Linear Stability Analysis and Numerical Simulations" Fluids 6, no. 11: 380. https://doi.org/10.3390/fluids6110380
APA StyleLahaye, N., Paci, A., & Llewellyn Smith, S. G. (2021). Instability of Lenticular Vortices: Results from Laboratory Experiments, Linear Stability Analysis and Numerical Simulations. Fluids, 6(11), 380. https://doi.org/10.3390/fluids6110380

