OpenFOAM Simulations of Late Stage Container Draining in Microgravity
Abstract
1. Introduction
2. Background
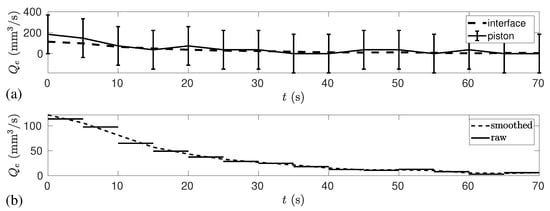
3. Experiments and Data Reduction
4. Numerical Model Review
5. ICF Experiments and Simulations
5.1. Hypothesis
5.2. Simplified Analysis
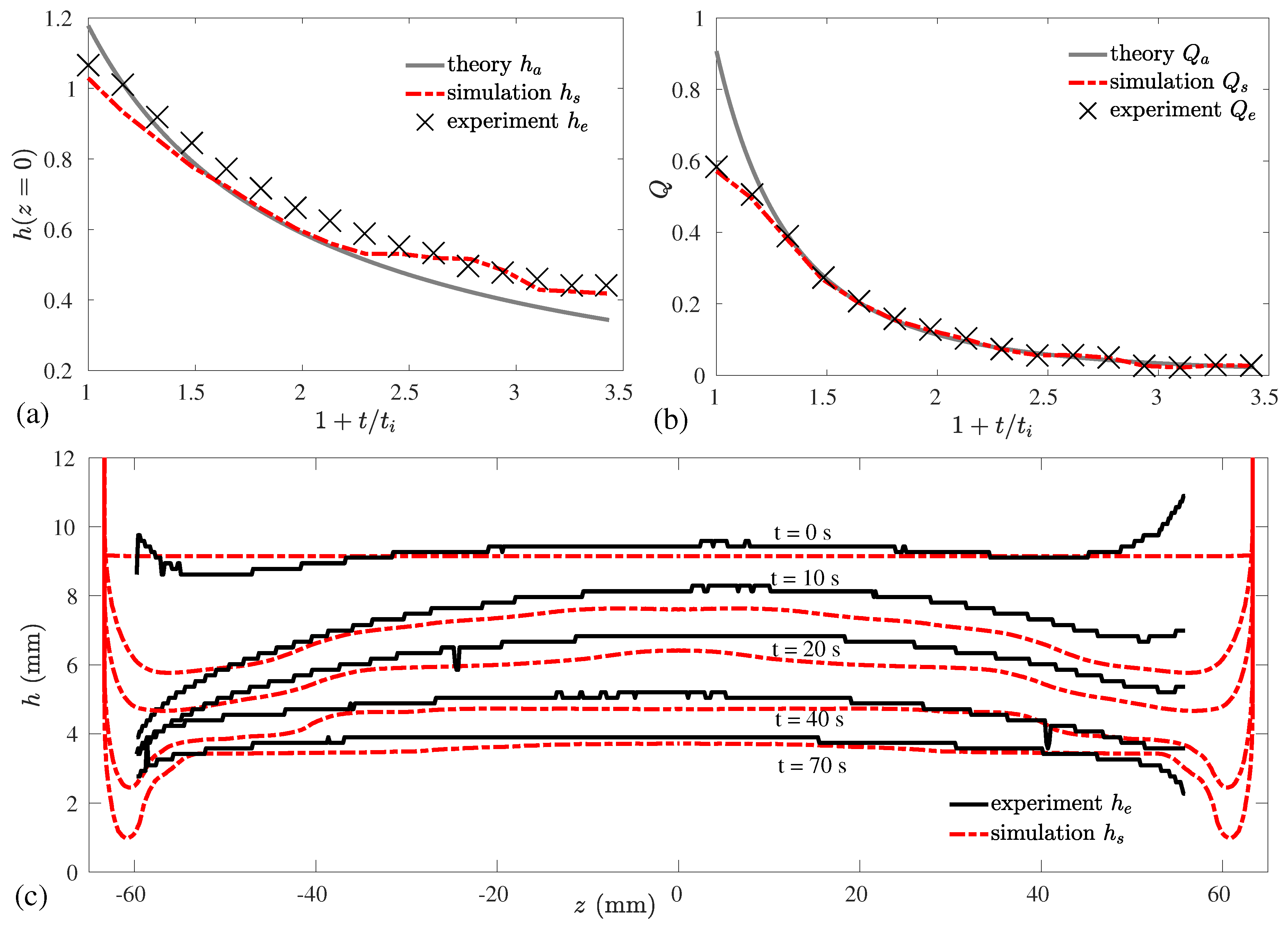
5.3. Comparison of Numerics and Analysis with Experiments for ICF-1
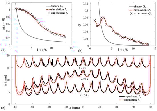
5.4. Comparison of Numerics with Experiments for ICF-8
6. Discussion
7. Conclusions
Author Contributions
Funding
Acknowledgments
Conflicts of Interest
References
- Srinivasan, R. Estimating zero-g flow rates in open channels having capillary pumping vanes. Int. J. Numer. Methods Fluids 2003, 41, 389–417. [Google Scholar] [CrossRef]
- Weislogel, M.M.; Baker, J.A.; Jenson, R.M. Quasi-steady capillarity-driven flows in slender containers with interior edges. J. Fluid Mech. 2011, 685, 271–305. [Google Scholar] [CrossRef]
- Ludwicki, J.M.; Steen, P.H. Sweeping by Sessile Drop Coalescence. Eur. Phys. J. Spec. Top. 2020, 229, 1739–1756. [Google Scholar] [CrossRef]
- Weislogel, M.M. Some analytical tools for fluids management in space: Isothermal capillary flows along interior corners. Adv. Space Res. 2003, 32, 163–170. [Google Scholar] [CrossRef]
- Zhang, T.T.; Yang, W.J.; Lin, Y.F.; Cao, Y.; Wang, M.; Wang, Q.; Wei, Y.X. Numerical study on flow rate limitation of open capillary channel flow through a wedge. Adv. Mech. Eng. 2016, 8. [Google Scholar] [CrossRef]
- Concus, P.; Finn, R. On the behavior of a capillary surface in a wedge. Proc. Natl. Acad. Sci. USA 1969, 63, 292–299. [Google Scholar] [CrossRef] [PubMed]
- Weislogel, M.M.; McCraney, J.T. The symmetric draining of capillary liquids from containers with interior corners. J. Fluid Mech. 2019, 859, 902–920. [Google Scholar] [CrossRef]
- Bostwick, J.B.; Steen, P.H. Stability of constrained capillary surfaces. Annu. Rev. Fluid Mech. 2015, 47, 539–568. [Google Scholar] [CrossRef]
- Bostwick, J.B.; DIjksman, J.A.; Shearer, M. Wetting dynamics of a collapsing fluid hole. Phys. Rev. Fluids 2017, 2, 1–14. [Google Scholar] [CrossRef]
- Snoeijer, J.H.; Andreotti, B. Moving contact lines: Scales, regimes, and dynamical transitions. Annu. Rev. Fluid Mech. 2013, 45, 269–292. [Google Scholar] [CrossRef]
- Xia, Y.; Steen, P.H. Dissipation of oscillatory contact lines using resonant mode scanning. NPJ Microgravity 2020, 6, 1–7. [Google Scholar] [CrossRef] [PubMed]
- Sui, Y.; Ding, H.; Spelt, P.D. Numerical simulations of flows with moving contact lines. Annu. Rev. Fluid Mech. 2014, 46, 97–119. [Google Scholar] [CrossRef]
- Wang, S.; Desjardins, O. Numerical study of the critical drop size on a thin horizontal fiber: Effect of fiber shape and contact angle. Chem. Eng. Sci. 2018, 187, 127–133. [Google Scholar] [CrossRef]
- Antritter, T.; Mayer, M.; Hachmann, P.; Ag, H.D.; Martin, W. Suppressing artificial equilibrium states caused by spurious currents in droplet spreading simulations with dynamic contact angle model. Prog. Comput. Fluid Dyn. Int. Journalpr 2020, 20, 59–70. [Google Scholar] [CrossRef]
- Gurumurthy, T.V.; Roisman, I.V.; Tropea, C.; Garoff, S. Spontaneous rise in open rectangular channels under gravity. J. Colloid Interface Sci. 2018, 527, 151–158. [Google Scholar] [CrossRef] [PubMed]
- Malekzadeh, S.; Roohi, E. Investigation of Different Droplet Formation Regimes in a T-junction Microchannel Using the VOF Technique in OpenFOAM. Microgravity Sci. Technol. 2015, 27, 231–243. [Google Scholar] [CrossRef]
- Yong-Qiang, L.; Wen-Hui, C.; Ling, L. Numerical Simulation of Capillary Flow in Fan-Shaped Asymmetric Interior Corner Under Microgravity. Microgravity Sci. Technol. 2017, 29, 65–79. [Google Scholar] [CrossRef]
- Arias, S.; Montlaur, A. Influence of Contact Angle Boundary Condition on CFD Simulation of T-Junction. Microgravity Sci. Technol. 2018, 30, 435–443. [Google Scholar] [CrossRef]
- Klatte, J.; Haake, D.; Weislogel, M.M.; Dreyer, M. A fast numerical procedure for steady capillary flow in open channels. Acta Mech. 2008, 201, 269–276. [Google Scholar] [CrossRef]
- Brakke, K.A. Surface Evolver; Spring: Berlin, Germany, 2015. [Google Scholar] [CrossRef]
- Vachaparambil, K.J.; Einarsrud, K.E. Comparison of Surface Tension Models for the Volume of Fluid Method. Processes 2019, 7, 542. [Google Scholar] [CrossRef]
- Harvie, D.J.; Davidson, M.R.; Rudman, M. An analysis of parasitic current generation in Volume of Fluid simulations. Appl. Math. Model. 2006, 30, 1056–1066. [Google Scholar] [CrossRef]
- Magnini, M.; Pulvirenti, B.; Thome, J.R. Characterization of the velocity fields generated by flow initialization in the CFD simulation of multiphase flows. Appl. Math. Model. 2016, 40, 6811–6830. [Google Scholar] [CrossRef]
- Chiodi, R.; Desjardins, O. A reformulation of the conservative level set reinitialization equation for accurate and robust simulation of complex multiphase flows. J. Comput. Phys. 2017, 343, 186–200. [Google Scholar] [CrossRef]
- Popinet, S. Numerical Models of Surface Tension. Annu. Rev. Fluid Mech. 2018, 50, 49–75. [Google Scholar] [CrossRef]
- Soh, G.Y.; Yeoh, G.H.; Timchenko, V. Numerical investigation on the velocity fields during droplet formation in a microfluidic T-junction. Chem. Eng. Sci. 2016, 139, 99–108. [Google Scholar] [CrossRef]
- Sontti, S.G.; Pallewar, P.G.; Ghosh, A.B.; Atta, A. Understanding the Influence of Rheological Properties of Shear-Thinning Liquids on Segmented Flow in Microchannel using CLSVOF Based CFD Model. Can. J. Chem. Eng. 2019, 97, 1208–1220. [Google Scholar] [CrossRef]
- Guo, Z.; Fletcher, D.F.; Haynes, B.S. Implementation of a height function method to alleviate spurious currents in CFD modelling of annular flow in microchannels. Appl. Math. Model. 2015, 39, 4665–4686. [Google Scholar] [CrossRef]
- Weislogel, M.M.; Lichter, S. Capillary flow in an interior corner. J. Fluid Mech. 1998, 373, 349–378. [Google Scholar] [CrossRef]
- Weislogel, M.M. Compound capillary rise. J. Fluid Mech. 2012, 709, 622–647. [Google Scholar] [CrossRef]
- Ramé, E.; Weislogel, M.M. Gravity effects on capillary flows in sharp corners. Phys. Fluids 2009, 21, 1–12. [Google Scholar] [CrossRef]
- Brackbill, J.U.; Kothe, D.B.; Zemach, C. A Continuum Method for Modeling Surface Tension. J. Comput. Phys. 1992, 100, 335–354. [Google Scholar] [CrossRef]
- Saufi, A.E.; Desjardins, O.; Cuoci, A. An accurate methodology for surface tension modeling in OpenFOAM R. arXiv 2020, arXiv:2005.02865v2. [Google Scholar]













| Property | Units | ICF-1 | ICF-8 |
|---|---|---|---|
| Density, | kg m | 950 | 910 |
| Viscosity, | kg m s | 0.0190 | 0.00455 |
| Surface tension, | N m | 0.0206 | 0.0197 |
| Contact angle, | deg | ||
| Scales | Units | ICF-1 | ICF-8 |
| Half angle, | deg | ||
| Flow length, L | mm | 63.5 | 80 |
| Initial half volume, | mm | 1468, 1484 | 10,096, 10,549 |
| Height, | mm | 8.8, 8.9 | 15.3, 15.6 |
| Velocity, | mm s | 4.5 | 31.5, 32.2 |
| Flow rate, | mm s | 105.0, 106.2 | 3970, 4241 |
| Time, | s | 14.0 | 2.54, 2.49 |
| Lubrication Assumptions | Constraint | ICF-1 | ICF-8 |
| Slender geometry, | 0.0194, 0.0196 | 0.0364, 0.0381 | |
| Low streamwise curvature | 0.0068 | 0.0267, 0.0279 | |
| Capillary dominance | , 0 | ||
| Low intertia | 0.0029, 0.0030 | 0.5111, 0.5340 | |
| Concus-Finn wetting | satisfied | satisfied |
Publisher’s Note: MDPI stays neutral with regard to jurisdictional claims in published maps and institutional affiliations. |
© 2020 by the authors. Licensee MDPI, Basel, Switzerland. This article is an open access article distributed under the terms and conditions of the Creative Commons Attribution (CC BY) license (http://creativecommons.org/licenses/by/4.0/).
Share and Cite
McCraney, J.; Weislogel, M.; Steen, P. OpenFOAM Simulations of Late Stage Container Draining in Microgravity. Fluids 2020, 5, 207. https://doi.org/10.3390/fluids5040207
McCraney J, Weislogel M, Steen P. OpenFOAM Simulations of Late Stage Container Draining in Microgravity. Fluids. 2020; 5(4):207. https://doi.org/10.3390/fluids5040207
Chicago/Turabian StyleMcCraney, Joshua, Mark Weislogel, and Paul Steen. 2020. "OpenFOAM Simulations of Late Stage Container Draining in Microgravity" Fluids 5, no. 4: 207. https://doi.org/10.3390/fluids5040207
APA StyleMcCraney, J., Weislogel, M., & Steen, P. (2020). OpenFOAM Simulations of Late Stage Container Draining in Microgravity. Fluids, 5(4), 207. https://doi.org/10.3390/fluids5040207
