On an Exact Step Length in Gradient-Based Aerodynamic Shape Optimization
Abstract
1. Introduction
2. Governing Equations
Airfoil Parameterization
3. Aerodynamic Shape Optimization
3.1. Design Variables
3.2. Objective Function
3.3. Sensitivity Analysis
4. Optimization Method
- (1)
- Specify the physical domain; the boundary conditions; the problem conditions, such as the free stream Mach number; and the angle of attack.
- (2)
- Generate structured or unstructured grids over the domain. The airfoil surface is generated using aBezier curve of degree .
- (3)
- Solve the flow problem regarding finding the pressure values at thegrid points of the physical domain and hence the airfoil surface.
- (4)
- Using Equations (8) and (9), compute the objective function Equation (10).
- (5)
- Compute the sensitivity coefficients using Equation (17).
- (6)
- Compute the gradient direction using Equation (16).
- (7)
- The initial approximate inverse of Hessian matrix, , is taken as the identity matrix, namely .
- (8)
- Compute the direction of descent using the following equation:
- (9)
- Compute the search step length . An explicit expression for computing the search step length will be presented later.
- (10)
- Evaluate the new values of the design variables (Bezier curve control points) using the following equation:
- (11)
- Set the next iteration and return to step 2. Update the approximate inverse of the Hessian matrix as [24]:where:
Exact Step Length
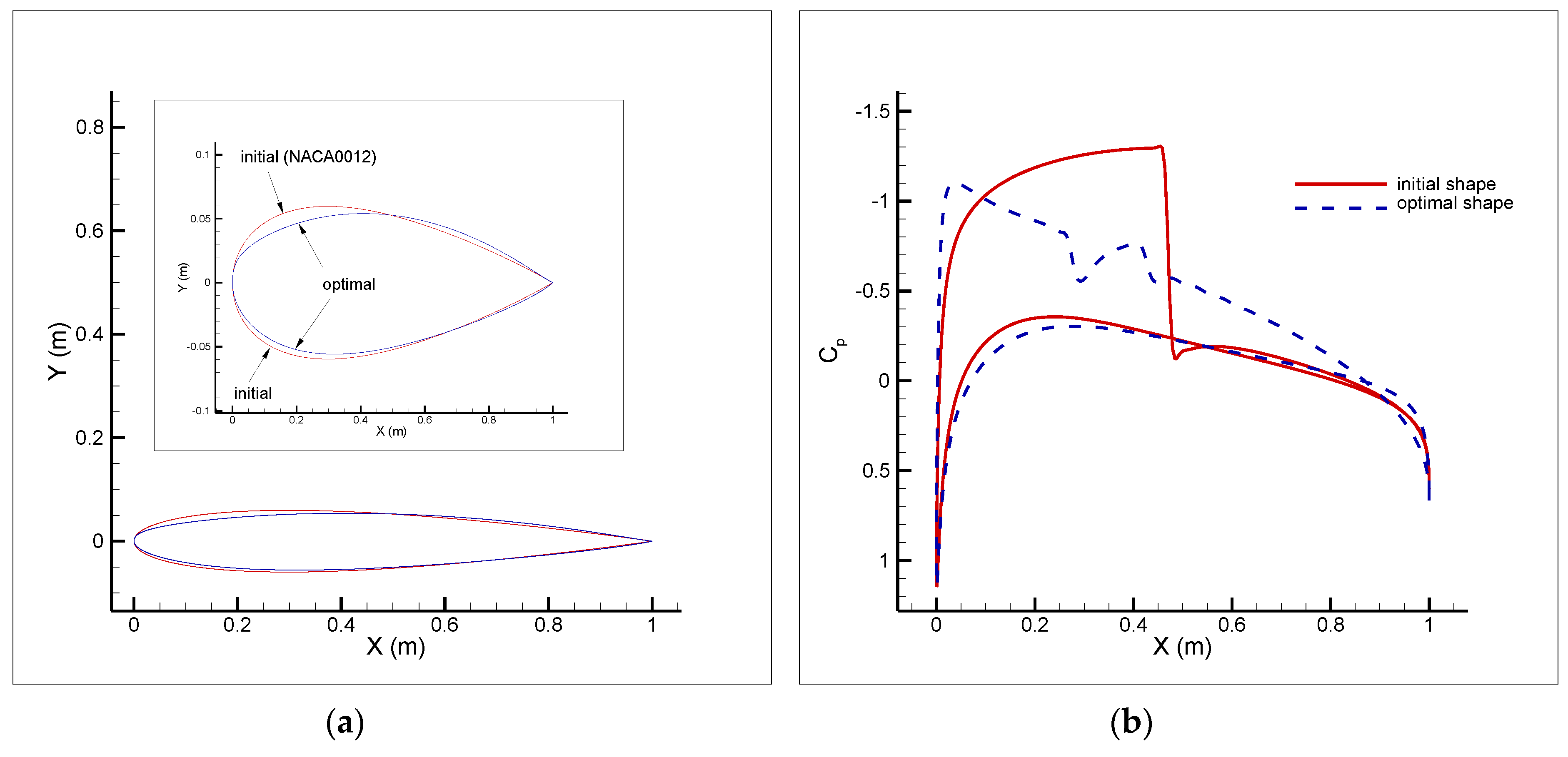
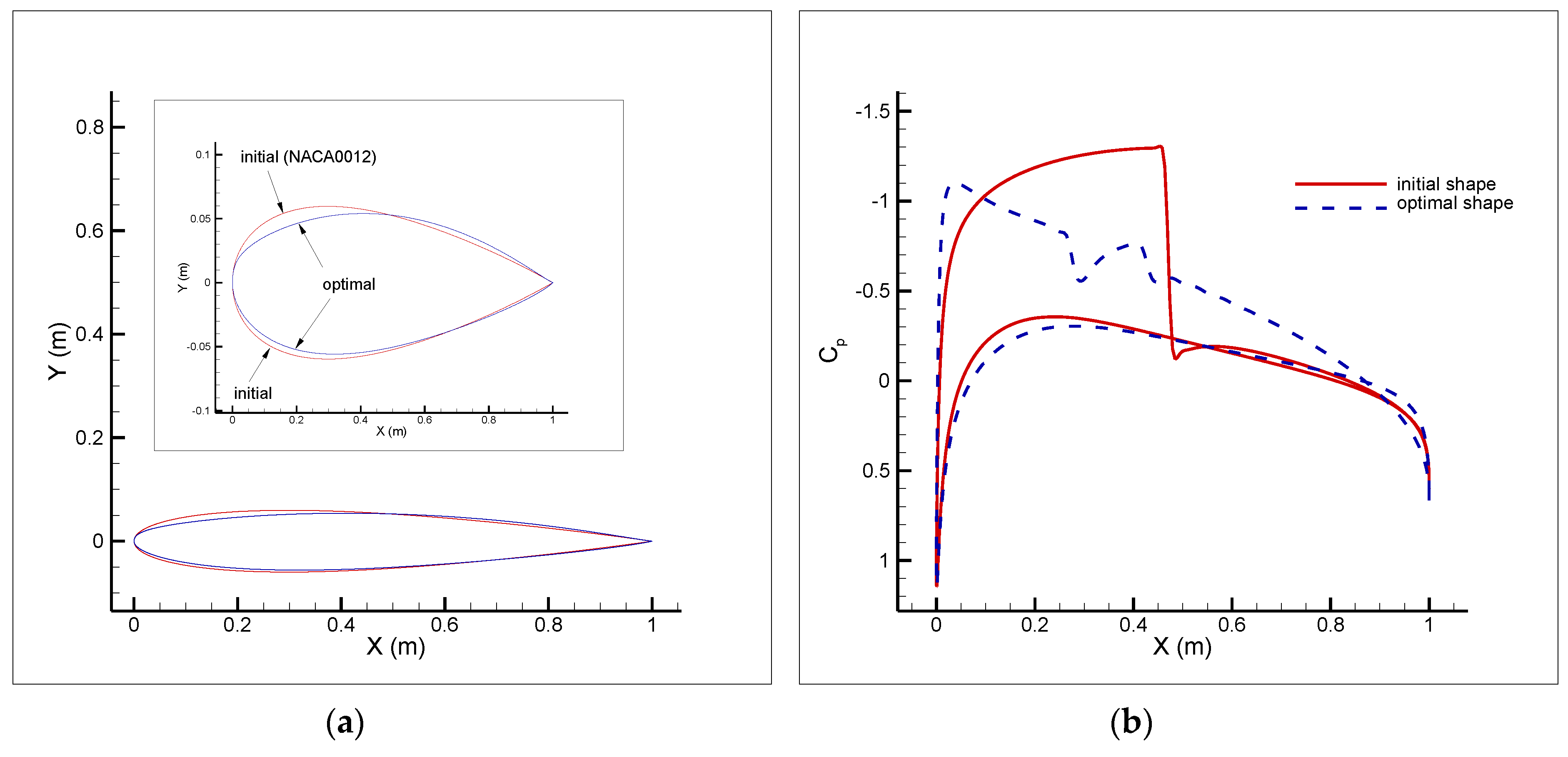
5. Results
6. Conclusions
Author Contributions
Funding
Conflicts of Interest
Nomenclature
| Bezier curve control point | |
| direction of descent at iteration | |
| objective function | |
| Bernstein basis polynomial | |
| degree of the Bernstein basis polynomial in Bezier curve | |
| pressure | |
| and/or in the Bezier curve expression | |
| parameter used in the Bezier curve, | |
| Cartesian coordinates in the physical domain | |
| search step length at iteration | |
| design variable | |
| iteration number |
Appendix A
Appendix B
Appendix B.1. Other Forms of the Objective Function
Appendix B.1.1. Drag Minimization
Appendix B.1.2. Lift-Constrained Drag Minimization
Appendix C
- C n is the degree of Bezier curve
- C CPN is the Control Points Number (which is n+1=10+1=11 here)
- C B_Y_T and B_Y_B is Bezier control points associated with the top and
- C bottom surfaces, respectively
- C B_Y is the Bezier design variable (see Figure 3: Two Bezier control
- C points adjacent to trailing edge are not considered as design C
- C variables in this code;therefore, there are eight design variables on top and
- C surface and eight design variables on the bottom surface)
- n=10
- CPN=n+1
- DO I=1,CPN-3
- B_Y(I,1)=B_Y_T(CPN-I-1,1)
- ENDDO
- DO I=CPN-3+1,2*CPN-6
- B_Y(I,1)=B_Y_B(I-CPN+3+1,1)
- ENDDO
Appendix D
- C STS stands for step-size (length) calculation
- C t_STS is associated with each node on the airfoil surface,
- C as defined in Figure 1
- C t_T is t for the top surface; t_B is t for the bottom surface
- C N is the number of nodes on airfoil surface
- DELTA1_TT=(1.0−0.0)/((N+1)/2−1)
- DELTA1_TB=(1.0−0.0)/((N+1)/2−1)
- t_T(1,1)=0.0
- t_T((N+1)/2,1)=1.0
- t_B(1,1)=0.0
- t_B((N+1)/2,1)=1.0
- DO I=2,(N+1)/2−1
- t_T(I,1)=t_T(I-1,1)+DELTA1_TT
- ENDDO
- DO I=2,(N+1)/2−1
- t_B(I,1)=t_B(I−1,1)+DELTA1_TB
- ENDDO
- t_STS(1,1)=1.0
- t_STS(1,(N+1)/2)=0.0
- t_STS(1,N)=1.0
- DO J=2,(N+1)/2−1
- t_STS(1,J)=t_T((N+1)/2+1−J,1)
- ENDDO
- DO J=(N+1)/2+1,N−1
- t_STS(1,J)=t_B(J−(N+1)/2+1,1)
- ENDDO
- C for the upper surface
- A(1)=0.0
- DO J=2,(N+1)/2−1
- A(1)=A(1)+10.0*(t_STS(1,J)**9)*((1.0−t_STS(1,J))**1)*
- +(PRESSURE(1,J)−PRESSURE(1,J−1))
- ENDDO
- A(2)=0.0
- DO J=2,(N+1)/2−1
- A(2)=A(2)+45.0*(t_STS(1,J)**8)*((1.0-t_STS(1,J))**2)*
- +(PRESSURE(1,J)−PRESSURE(1,J−1))
- ENDDO
- A(3)=0.0
- DO J=2,(N+1)/2−1
- A(3)=A(3)+120.0*(t_STS(1,J)**7)*((1.0−t_STS(1,J))**3)*
- +(PRESSURE(1,J)−PRESSURE(1,J−1))
- ENDDO
- A(4)=0.0
- DO J=2,(N+1)/2−1
- A(4)=A(4)+210.0*(t_STS(1,J)**6)*((1.0−t_STS(1,J))**4)*
- +(PRESSURE(1,J)−PRESSURE(1,J−1))
- ENDDO
- A(5)=0.0
- DO J=2,(N+1)/2−1
- A(5)=A(5)+252.0*(t_STS(1,J)**5)*((1.0−t_STS(1,J))**5)*
- +(PRESSURE(1,J)−PRESSURE(1,J−1))
- ENDDO
- A(6)=0.0
- DO J=2,(N+1)/2−1
- A(6)=A(6)+210.0*(t_STS(1,J)**4)*((1.0−t_STS(1,J))**6)*
- +(PRESSURE(1,J)−PRESSURE(1,J-1))
- ENDDO
- A(7)=0.0
- DO J=2,(N+1)/2−1
- A(7)=A(7)+120.0*(t_STS(1,J)**3)*((1.0−t_STS(1,J))**7)*
- +(PRESSURE(1,J)−PRESSURE(1,J−1))
- ENDDO
- A(8)=0.0
- DO J=2,(N+1)/2−1
- A(8)=A(8)+45.0*(t_STS(1,J)**2)*((1.0−t_STS(1,J))**8)*
- +(PRESSURE(1,J)−PRESSURE(1,J−1))
- ENDDO
- A(9)=0.0
- DO J=2,(N+1)/2−1
- A(9)=A(9)+10.0*(t_STS(1,J)**1)*((1.0−t_STS(1,J))**9)*
- +(PRESSURE(1,J)−PRESSURE(1,J−1))
- ENDDO
- C for the lower surface
- A(10)=0.0
- DO J=(N+1)/2+1,N−1
- A(10)=A(10)+10.0*(t_STS(1,J)**1)*((1.0−t_STS(1,J))**9)*
- +(PRESSURE(1,J)−PRESSURE(1,J−1))
- ENDDO
- A(11)=0.0
- DO J=(N+1)/2+1,N−1
- A(11)=A(11)+45.0*(t_STS(1,J)**2)*((1.0−t_STS(1,J))**8)*
- +(PRESSURE(1,J)−PRESSURE(1,J−1))
- ENDDO
- A(12)=0.0
- DO J=(N+1)/2+1,N−1
- A(12)=A(12)+120.0*(t_STS(1,J)**3)*((1.0−t_STS(1,J))**7)*
- +(PRESSURE(1,J)−PRESSURE(1,J−1))
- ENDDO
- A(13)=0.0
- DO J=(N+1)/2+1,N−1
- A(13)=A(13)+210.0*(t_STS(1,J)**4)*((1.0−t_STS(1,J))**6)*
- +(PRESSURE(1,J)−PRESSURE(1,J−1))
- ENDDO
- A(14)=0.0
- DO J=(N+1)/2+1,N−1
- A(14)=A(14)+252.0*(t_STS(1,J)**5)*((1.0−t_STS(1,J))**5)*
- +(PRESSURE(1,J)−PRESSURE(1,J−1))
- ENDDO
- A(15)=0.0
- DO J=(N+1)/2+1,N−1
- A(15)=A(15)+210.0*(t_STS(1,J)**6)*((1.0−t_STS(1,J))**4)*
- +(PRESSURE(1,J)−PRESSURE(1,J-1))
- ENDDO
- A(16)=0.0
- DO J=(N+1)/2+1,N−1
- A(16)=A(16)+120.0*(t_STS(1,J)**7)*((1.0−t_STS(1,J))**3)*
- +(PRESSURE(1,J)−PRESSURE(1,J−1))
- ENDDO
- A(17)=0.0
- DO J=(N+1)/2+1,N−1
- A(17)=A(17)+45.0*(t_STS(1,J)**8)*((1.0−t_STS(1,J))**2)*
- +(PRESSURE(1,J)−PRESSURE(1,J−1))
- ENDDO
- A(18)=0.0
- DO J=(N+1)/2+1,N−1
- A(18)=A(18)+10.0*(t_STS(1,J)**9)*((1.0−t_STS(1,J))**1)*
- +(PRESSURE(1,J)−PRESSURE(1,J−1))
- ENDDO
- C terms in Equation (24):
- DO I=1,2*CPN−4
- b_STS(I,1)=0.0
- DO L=1,2*CPN−4
- b_STS(I,1)=b_STS(I,1)+BY_BFGS(I,L)*DELTA_SY(L,1)
- ENDDO
- ENDDO
- DO I=1,2*CPN−4
- a_STS(I,1)=B_Y(I,1)
- ENDDO
- C calculation of beta (exact step-size):
- C terms in numerator of Equation (A5)
- BETA1_KY=0.0
- DO I=1,2*CPN−4
- BETA1_KY=BETA1_KY+a_STS(I,1)*A(I)
- ENDDO
- C terms in the denominator of Equation (A5)
- BETA2_KY=0.0
- DO I=1,2*CPN−4
- BETA2_KY=BETA2_KY+b_STS(I,1)*A(I)
- ENDDO
- C Equation (A5):
- BETA_KY=(COS(PI*AOA/180.0)*BETA1_KY+NORMAL_FORCE*
- +SIN(PI*AOA/180.0))/(COS(PI*AOA/180.0)*BETA2_KY)
References
- Hicks, R.M.; Murman, E.M.; Vanderplaats, G.N. An Assessment of Airfoil Design by Numerical Optimization; National Technical Information Service: Springfield, VA, USA, 1974. [Google Scholar]
- Hicks, R.M.; Henne, P.A. Wing design by numerical optimization. J. Aircr. 1978, 15, 407–412. [Google Scholar] [CrossRef]
- Pironneau, O. On optimum design in fluid mechanics. J. Fluid Mech. 1974, 64, 97–110. [Google Scholar] [CrossRef]
- Jameson, A. Aerodynamic design via control theory. J. Sci. Comput. 1988, 3, 233–260. [Google Scholar] [CrossRef]
- Jameson, A. Optimum aerodynamic design using CFD and control theory. In Proceedings of the 12th Computational Fluid Dynamics Conference, San Diego, CA, USA, 19–22 June 1995; p. 1729. [Google Scholar]
- Jameson, A. Automatic design of transonic airfoils to reduce the shock induced pressure drag. In Proceedings of the 31st Israel Annual Conference on Aviation and Aeronautics, Tel Aviv, Israel, 21–22 February 1990; pp. 5–17. [Google Scholar]
- Jameson, A.; Reuther, J. Control theory based airfoil design using the Euler equations. In Proceedings of the 5th Symposium on Multidisciplinary Analysis and Optimization, Panama City Beach, FL, USA, 7–9 September 1994; p. 4272. [Google Scholar]
- Lyu, Z.; Kenway, G.K.; Martins, J.R. Aerodynamic shape optimization investigations of the common research model wing benchmark. AIAA J. 2014, 53, 968–985. [Google Scholar] [CrossRef]
- Papadimitriou, D.I.; Papadimitriou, C. Aerodynamic shape optimization for minimum robust drag and lift reliability constraint. Aerosp. Sci. Technol. 2016, 55, 24–33. [Google Scholar] [CrossRef]
- Srinath, D.N.; Mittal, S. An adjoint method for shape optimization in unsteady viscous flows. J. Comput. Phys. 2010, 229, 1994–2008. [Google Scholar] [CrossRef]
- Economon, T.D.; Palacios, F.; Copeland, S.R.; Lukaczyk, T.W.; Alonso, J.J. SU2: An open-source suite for multiphysics simulation and design. AIAA J. 2015, 54, 828–846. [Google Scholar] [CrossRef]
- He, X.; Li, J.; Mader, C.A.; Yildirim, A.; Martins, J.R. Robust aerodynamic shape optimization—From a circle to an airfoil. Aerosp. Sci. Technol. 2019, 87, 48–61. [Google Scholar] [CrossRef]
- Mohammadi, B.; Pironneau, O. Applied Shape Optimization for Fluids; Oxford University Press: Oxford, UK, 2009. [Google Scholar]
- Thevenin, D.; Janiga, G. Optimization and Computational Fluid Dynamics; Springer Science & Business Media: Berlin, Germany, 2008. [Google Scholar]
- Skinner, S.N.; Zare-Behtash, H. State-of-the-art in aerodynamic shape optimisation methods. Appl. Soft Comput. 2018, 62, 933–962. [Google Scholar] [CrossRef]
- Giles, M.B.; Pierce, N.A. An introduction to the adjoint approach to design. Flow Turbul. Combust. 2000, 65, 393–415. [Google Scholar] [CrossRef]
- Giles, M.B.; Duta, M.C.; M-uacute, J.D.; Pierce, N.A. Algorithm developments for discrete adjoint methods. AIAA J. 2003, 41, 198–205. [Google Scholar] [CrossRef]
- Elliott, J.; Peraire, J. Aerodynamic design using unstructured meshes. In Proceedings of the Fluid Dynamics Conference, New Orleans, LA, USA, 17–20 June 1996; p. 1941. [Google Scholar]
- Nemec, M.; Zingg, D.W. Newton-Krylov algorithm for aerodynamic design using the Navier-Stokes equations. AIAA J. 2002, 40, 1146–1154. [Google Scholar] [CrossRef][Green Version]
- Anderson, W.K.; Venkatakrishnan, V. Aerodynamic design optimization on unstructured grids with a continuous adjoint formulation. Comput. Fluids 1999, 28, 443–480. [Google Scholar] [CrossRef]
- Nocedal, J.; Wright, S. Numerical Optimization; Springer: New York, NY, USA, 2006. [Google Scholar]
- Martins, J.R.; Sturdza, P.; Alonso, J.J. The complex-step derivative approximation. ACM Trans. Math. Softw. 2003, 29, 245–262. [Google Scholar] [CrossRef]
- Anderson, J.D. Fundamentals of Aerodynamics; McGraw-Hill Education: New York, NY, USA, 2016. [Google Scholar]
- Rao, S.S. Engineering Optimization: Theory and Practice; Wiley: Hoboken, NJ, USA, 2009. [Google Scholar]
- Butenko, S.; Pardalos, P.M. Numerical Methods and Optimization: An Introduction; Taylor & Francis: Abingdon-on-Thames, UK, 2014. [Google Scholar]
- Carpentieri, G.; Koren, B.; van Tooren, M.J.L. Adjoint-based aerodynamic shape optimization on unstructured meshes. J. Comput. Phys. 2007, 224, 267–287. [Google Scholar] [CrossRef]
- Chen, W.; Zhang, W.; Liu, Y.; Kou, J. Accelerating the convergence of steady adjoint equations by dynamic mode decomposition. Struct. Multidiscip. Optim. 2020. [Google Scholar] [CrossRef]















| 0 (initial shape) | 9.10775 × 10−4 | - | 515.760 | 17,090.000 | 1.294 × 10−2 | 0.42867 |
| 1 | 1.97841 × 10−5 | 0.5534 | 34.032 | 7651.200 | 8.536 × 10−4 | 0.19191 |
| 2 | 1.34569 × 10−5 | 1.6872 | 35.644 | 9716.600 | 8.940 × 10−4 | 0.24372 |
| 3 | 1.06817 × 10−5 | 1.1510 | 38.239 | 11,700.000 | 9.591 × 10−4 | 0.29348 |
| 4 | 9.92128 × 10−6 | 2.4779 | 40.664 | 12,910.000 | 1.020 × 10−3 | 0.32381 |
| 5 | 8.40409 × 10−6 | 0.0188 | 40.980 | 14,136.000 | 1.028 × 10−3 | 0.35456 |
| 6 | 4.89131 × 10−6 | −1.2468 | 35.521 | 16,061.000 | 8.910 × 10−4 | 0.40284 |
| 7 | 1.50193 × 10−5 | 47.6144 | 72.886 | 18,807.000 | 1.828 × 10−3 | 0.47174 |
| 8 | 2.14748 × 10−5 | 2.8478 | 49.214 | 10,620.000 | 1.234 × 10−3 | 0.26638 |
| 9 | 1.66016 × 10−5 | 0.3450 | 48.401 | 11,879.000 | 1.214 × 10−3 | 0.29795 |
| 10 | 1.24568 × 10−5 | 0.2160 | 45.653 | 12,935.000 | 1.145 × 10−3 | 0.32445 |
| 11 | 7.33858 × 10−6 | 0.2599 | 38.305 | 14,140.000 | 9.608 × 10−4 | 0.35466 |
| 12 | 6.68139 × 10−6 | 0.0009 | 40.202 | 15,553.000 | 1.008 × 10−3 | 0.39011 |
| 13 | 8.65189 × 10−6 | 11.8508 | 40.162 | 13,654.000 | 1.007 × 10−3 | 0.34247 |
| 14 | 1.26244 × 10−5 | 1.8642 | 59.411 | 16,721.000 | 1.490 × 10−3 | 0.41941 |
| 15 | 5.73953 × 10−6 | 0.9977 | 36.142 | 15,086.000 | 9.065 × 10−4 | 0.37839 |
| - | 99.4% reduction | - | 93.0% reduction | 11.7% reduction | - | - |
© 2020 by the authors. Licensee MDPI, Basel, Switzerland. This article is an open access article distributed under the terms and conditions of the Creative Commons Attribution (CC BY) license (http://creativecommons.org/licenses/by/4.0/).
Share and Cite
Mohebbi, F.; Evans, B. On an Exact Step Length in Gradient-Based Aerodynamic Shape Optimization. Fluids 2020, 5, 70. https://doi.org/10.3390/fluids5020070
Mohebbi F, Evans B. On an Exact Step Length in Gradient-Based Aerodynamic Shape Optimization. Fluids. 2020; 5(2):70. https://doi.org/10.3390/fluids5020070
Chicago/Turabian StyleMohebbi, Farzad, and Ben Evans. 2020. "On an Exact Step Length in Gradient-Based Aerodynamic Shape Optimization" Fluids 5, no. 2: 70. https://doi.org/10.3390/fluids5020070
APA StyleMohebbi, F., & Evans, B. (2020). On an Exact Step Length in Gradient-Based Aerodynamic Shape Optimization. Fluids, 5(2), 70. https://doi.org/10.3390/fluids5020070

