Numerical Study on the Aerodynamic Performance and Noise of Composite Bionic Airfoils
Abstract
1. Introduction
2. Formulation of Models
2.1. Geometric Model
2.2. Mathematical Models and Computational Methods
2.3. Mesh Division and Simulation Validation
3. Results and Discussion
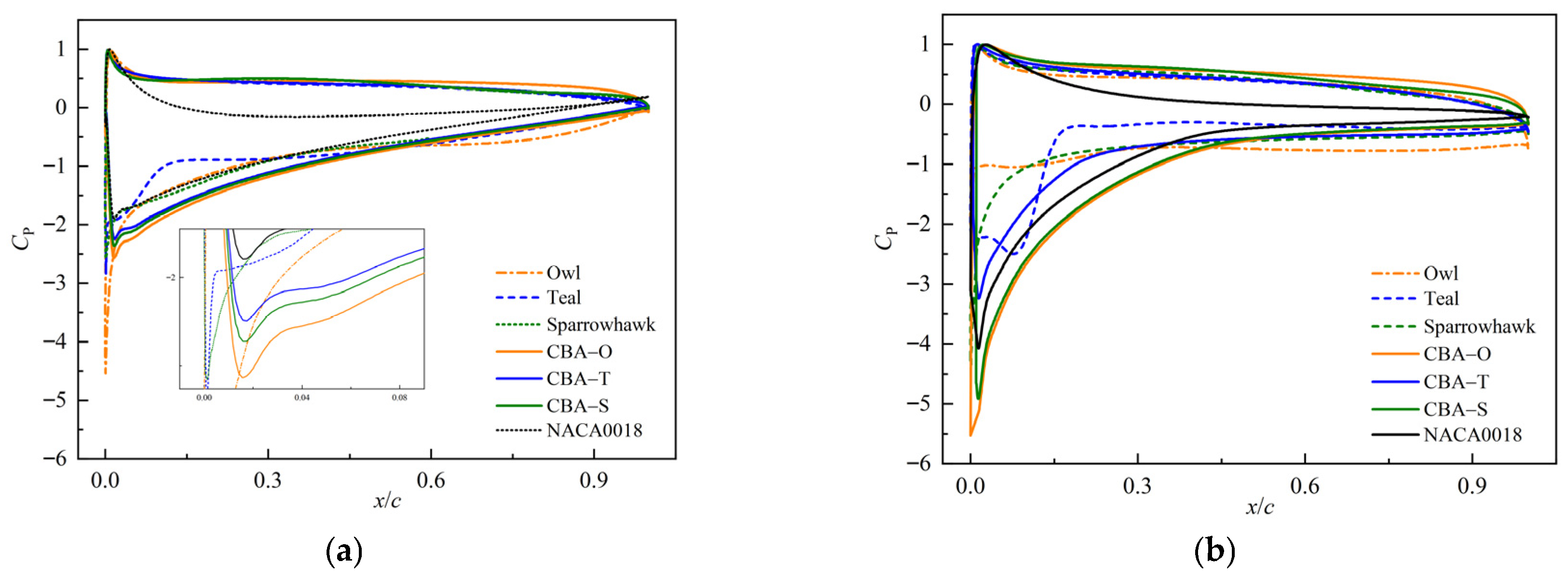
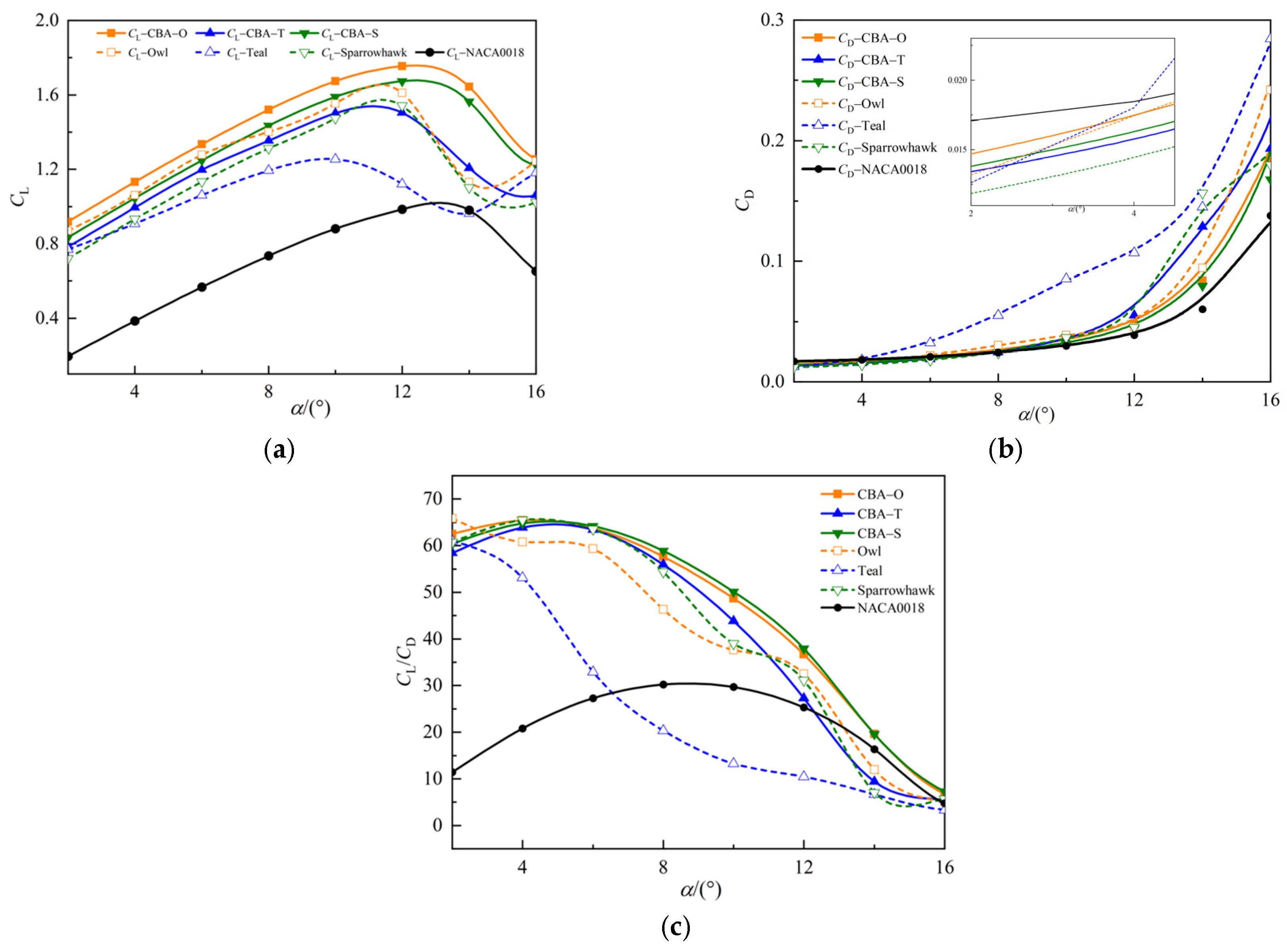
3.1. Aerodynamic Performance of CBAs
3.2. Aerodynamic Noise
3.2.1. Directional Distribution of Noise
3.2.2. Noise Spectrum
3.2.3. Wake Noise
3.3. Wake Vortex Pattern
4. Conclusions
Author Contributions
Funding
Institutional Review Board Statement
Informed Consent Statement
Data Availability Statement
Conflicts of Interest
References
- Lotfabadi, P.; Alibaba, H.Z.; Arfaei, A. Sustainability; as a Combination of Parametric Patterns and Bionic Strategies. Renew. Sustain. Energy Rev. 2016, 57, 1337–1346. [Google Scholar] [CrossRef]
- Zhao, M.; Zhao, Y.; Liu, Z. Dynamic Mode Decomposition Analysis of Flow Characteristics of an Airfoil with Leading Edge Protuberances. Aerosp. Sci. Technol. 2020, 98, 105684. [Google Scholar] [CrossRef]
- Li, M.; Wu, J.H.; Yuan, X.Y. Wall Suction & Slip Effect of Spherical-Grooved Bionic Metasurface for Controlling the Aerodynamic Noise. Appl. Acoust. 2021, 171, 107537. [Google Scholar] [CrossRef]
- Huang, S.; Hu, Y.; Wang, Y. Research on Aerodynamic Performance of a Novel Dolphin Head-Shaped Bionic Airfoil. Energy 2021, 214, 118179. [Google Scholar] [CrossRef]
- Domel, A.G.; Saadat, M.; Weaver, J.C.; Haj-Hariri, H.; Bertoldi, K.; Lauder, G.V. Shark Skin-Inspired Designs That Improve Aerodynamic Performance. J. R. Soc. Interface 2018, 15, 20170828. [Google Scholar] [CrossRef]
- Avallone, F.; van der Velden, W.C.P.; Ragni, D. Benefits of Curved Serrations on Broadband Trailing-Edge Noise Reduction. J. Sound Vib. 2017, 400, 167–177. [Google Scholar] [CrossRef]
- Kant, R.; Bhattacharyya, A. A Bio-Inspired Twin-Protuberance Hydrofoil Design. Ocean Eng. 2020, 218, 108209. [Google Scholar] [CrossRef]
- Rostamzadeh, N.; Hansen, K.L.; Kelso, R.M.; Dally, B.B. The Formation Mechanism and Impact of Streamwise Vortices on NACA 0021 Airfoil’s Performance with Undulating Leading Edge Modification. Phys. Fluids 2014, 26, 107101. [Google Scholar] [CrossRef]
- Lima Pereira, L.T.; Ragni, D.; Avallone, F.; Scarano, F. Aeroacoustics of Sawtooth Trailing-Edge Serrations under Aerodynamic Loading. J. Sound Vib. 2022, 537, 117202. [Google Scholar] [CrossRef]
- Li, D.; Chang, H.; Zuo, Z.; Wang, H.; Liu, S. Aerodynamic Characteristics and Mechanisms for Bionic Airfoils with Different Spacings. Phys. Fluids 2021, 33, 064101. [Google Scholar] [CrossRef]
- Fan, M.; Sun, Z.; Dong, X.; Li, Z. Numerical and Experimental Investigation of Bionic Airfoils with Leading-Edge Tubercles at a Low-Re in Considering Stall Delay. Renew. Energy 2022, 200, 154–168. [Google Scholar] [CrossRef]
- Guo, C.; Wu, Y.; Han, Y.; LingHu, K. Experimental Study on Influence of Sharkskin Denticles Structure on the Hydrodynamic Performance of Airfoil. Ocean Eng. 2023, 271, 113756. [Google Scholar] [CrossRef]
- Wang, L.; Liu, X.; Li, D. Noise Reduction Mechanism of Airfoils with Leading-Edge Serrations and Surface Ridges Inspired by Owl Wings. Phys. Fluids 2021, 33, 015123. [Google Scholar] [CrossRef]
- Huang, S.; Qiu, H.; Wang, Y. Aerodynamic Performance of Horizontal Axis Wind Turbine with Application of Dolphin Head-Shape and Lever Movement of Skeleton Bionic Airfoils. Energy Convers. Manag. 2022, 267, 115803. [Google Scholar] [CrossRef]
- Wang, M.; Liu, X. Numerical Investigation of Aerodynamic and Acoustic Characteristics of Bionic Airfoils Inspired by Bird Wing. Proc. Inst. Mech. Eng. Part G J. Aerosp. Eng. 2019, 233, 4004–4016. [Google Scholar] [CrossRef]
- Zhang, C.; Cheng, W.; Du, T.; Sun, X.; Shen, C.; Chen, Z.; Liang, D. Experimental and Numerical Study on Noise Reduction of Airfoil with the Bioinspired Ridge-like Structure. Appl. Acoust. 2023, 203, 109190. [Google Scholar] [CrossRef]
- Wang, J.; Zhang, C.; Wu, Z.; Wharton, J.; Ren, L. Numerical Study on Reduction of Aerodynamic Noise around an Airfoil with Biomimetic Structures. J. Sound Vib. 2017, 394, 46–58. [Google Scholar] [CrossRef]
- Liu, T.; Jones, S.; Kuykendoll, K.; Rhew, R. Avian Wing Geometry and Kinematics. AIAA J. 2006, 44, 954–963. [Google Scholar] [CrossRef]
- Zhang, L.; Wang, J.; Zhang, Y.; Guo, H.; Li, W. Aerodynamic performance analysis of wind turbine airfoil based on deformable trailing edge. Electr. Power Sci. Eng. 2022, 38, 58–64. [Google Scholar]
- Yan, H.; Su, X.; Zhang, H.; Hang, J.; Zhou, L.; Liu, Z.; Wang, Z. Design Approach and Hydrodynamic Characteristics of a Novel Bionic Airfoil. Ocean Eng. 2020, 216, 108076. [Google Scholar] [CrossRef]
- Xiang, J.; Du, J.; Li, D.; Liu, K. Aerodynamic Performance of the Locust Wing in Gliding Mode at Low Reynolds Number. J. Bionic Eng. 2016, 13, 249–260. [Google Scholar] [CrossRef]
- Li, D.; Liu, X. A Comparative Study on Aerodynamic Performance and Noise Characteristics of Two Kinds of Long-Eared Owl Wing Models. J. Mech. Sci. Technol. 2017, 31, 3821–3830. [Google Scholar] [CrossRef]
- Tian, W.; Yang, Z.; Zhang, Q.; Wang, J.; Li, M.; Ma, Y.; Cong, Q. Bionic Design of Wind Turbine Blade Based on Long-Eared Owl’s Airfoil. Appl. Bionics Biomech. 2017, 2017, 8504638. [Google Scholar] [CrossRef] [PubMed]
- Akhter, M.d.Z.; Omar, F.K.; Elnajjar, E. Aerodynamic and Aeroacoustic Characteristics of a Bionic Morphing Flap. Energy Rep. 2023, 9, 310–315. [Google Scholar] [CrossRef]
- Liming, W.; Yixin, J.; Xiaomin, L.; Wanxiang, T.; Guang, X. Numerical Analysis of Dynamic Stall Characteristics of Several Bionic Airfoils. Xi’an Jiaotong Daxue Xuebao 2022, 56, 1–9. [Google Scholar]
- Kim, H.-J.; Lee, S.; Fujisawa, N. Computation of Unsteady Flow and Aerodynamic Noise of NACA0018 Airfoil Using Large-Eddy Simulation. Int. J. Heat Fluid Flow 2006, 27, 229–242. [Google Scholar] [CrossRef]
- Kundu, P. Numerical Simulation of the Effects of Passive Flow Control Techniques on Hydrodynamic Performance Improvement of the Hydrofoil. Ocean Eng. 2020, 202, 107108. [Google Scholar] [CrossRef]
- Zhang, J.; Liu, H. Effect of Blade Tip Pattern on Blade Load and Vibration Characteristics of a Twin-Stage Axial Flow Fan. J. Mech. Sci. Technol. 2022, 36, 3487–3500. [Google Scholar] [CrossRef]
- Timmer, W. Two-Dimensional Low-Reynolds Number Wind Tunnel Results for Airfoil NACA 0018. Wind Eng. 2008, 32, 525–537. [Google Scholar] [CrossRef]
- Lei, H.; Zhou, D.; Bao, Y.; Li, Y.; Han, Z. Three-Dimensional Improved Delayed Detached Eddy Simulation of a Two-Bladed Vertical Axis Wind Turbine. Energy Convers. Manag. 2017, 133, 235–248. [Google Scholar] [CrossRef]
- Nan, Z.; Xuemin, Y.; Chunxi, L. Numerical investigation on Aerodynamic noise of wind turbine airfoils with serrated gurney flap. Taiyangneng Xuebao 2023, 44, 297–305. [Google Scholar]
- Howe, M.S. Noise Produced by a Sawtooth Trailing Edge. J. Acoust. Soc. Am. 1991, 90, 482–487. [Google Scholar] [CrossRef]
- Chen, W.; Qiao, W.; Tong, F.; Wang, L.; Wang, X. Numerical Investigation of Wavy Leading Edges on Rod–Airfoil Interaction Noise. AIAA J. 2018, 56, 2553–2567. [Google Scholar] [CrossRef]
- Guo, C.; Gao, M.; Wang, J.; Shi, Y.; He, S. The Effect of Blade Outlet Angle on the Acoustic Field Distribution Characteristics of a Centrifugal Pump Based on Powell Vortex Sound Theory. Appl. Acoust. 2019, 155, 297–308. [Google Scholar] [CrossRef]
- Butt, F.; Talha, T.; Khan, R.; Mazhar, A.R.; Butt, M.; Petru, J.; Seikh, A.H. Effect of the Shape of Flapping Airfoils on Aerodynamic Forces. Heliyon 2024, 10, e29561. [Google Scholar] [CrossRef]
- Yu, M.; Hrynuk, J.T.; Booth, D.T.; Poudel, N. Freestream Turbulence Effects on Low Reynolds Number NACA 0012 Airfoil Laminar Separation Bubble and Lift Generation. Aerosp. Sci. Technol. 2024, 149, 109145. [Google Scholar] [CrossRef]














| Coefficients | Long-Eared Owl | Teal |
|---|---|---|
| S1 | 3.8735 | 3.9117 |
| S2 | −0.8070 | −0.3677 |
| S3 | 0.7710 | 0.0239 |
| A1 | −15.2460 | 1.7804 |
| A2 | 26.4820 | −13.6875 |
| A3 | −18.9750 | 18.2760 |
| A4 | 4.6232 | −13.6875 |
| Case | Time Step (Δt) | OASPL, dB | Relative Difference, dB |
|---|---|---|---|
| 1 | 1 × 10−4 | 47.7 | 3.7 |
| 2 | 5 × 10−5 | 51.2 | 0.2 |
| 3 | 2 × 10−5 | 51.4 | – |
Disclaimer/Publisher’s Note: The statements, opinions and data contained in all publications are solely those of the individual author(s) and contributor(s) and not of MDPI and/or the editor(s). MDPI and/or the editor(s) disclaim responsibility for any injury to people or property resulting from any ideas, methods, instructions or products referred to in the content. |
© 2026 by the authors. Licensee MDPI, Basel, Switzerland. This article is an open access article distributed under the terms and conditions of the Creative Commons Attribution (CC BY) license.
Share and Cite
Su, S.; Xin, S.; Ye, X.; Li, C. Numerical Study on the Aerodynamic Performance and Noise of Composite Bionic Airfoils. Fluids 2026, 11, 36. https://doi.org/10.3390/fluids11020036
Su S, Xin S, Ye X, Li C. Numerical Study on the Aerodynamic Performance and Noise of Composite Bionic Airfoils. Fluids. 2026; 11(2):36. https://doi.org/10.3390/fluids11020036
Chicago/Turabian StyleSu, Shunlong, Shenwei Xin, Xuemin Ye, and Chunxi Li. 2026. "Numerical Study on the Aerodynamic Performance and Noise of Composite Bionic Airfoils" Fluids 11, no. 2: 36. https://doi.org/10.3390/fluids11020036
APA StyleSu, S., Xin, S., Ye, X., & Li, C. (2026). Numerical Study on the Aerodynamic Performance and Noise of Composite Bionic Airfoils. Fluids, 11(2), 36. https://doi.org/10.3390/fluids11020036
