Natural Drag-Reducing Polymers: Discovery, Characterization and Potential Clinical Applications
Abstract
:1. Introduction
2. Experimental Section
2.1. Preparation of AV-DRP
2.2. In Vitro Hydrodynamic Tests Characterizing the Drag Reducing Ability of AV-DRP
2.3. Chemical Characterization of AV-DRP
2.4. Gel Permeation Chromatography (GPC)
2.5. Rheological Characterization
2.6. Microfluidic Studies
2.7. Statistical Analysis
3. Results
3.1. In Vitro Testing Drag Reducing Ability of AV-DRP
3.2. Chemical Characterization of AV-DRP
3.3. GPC
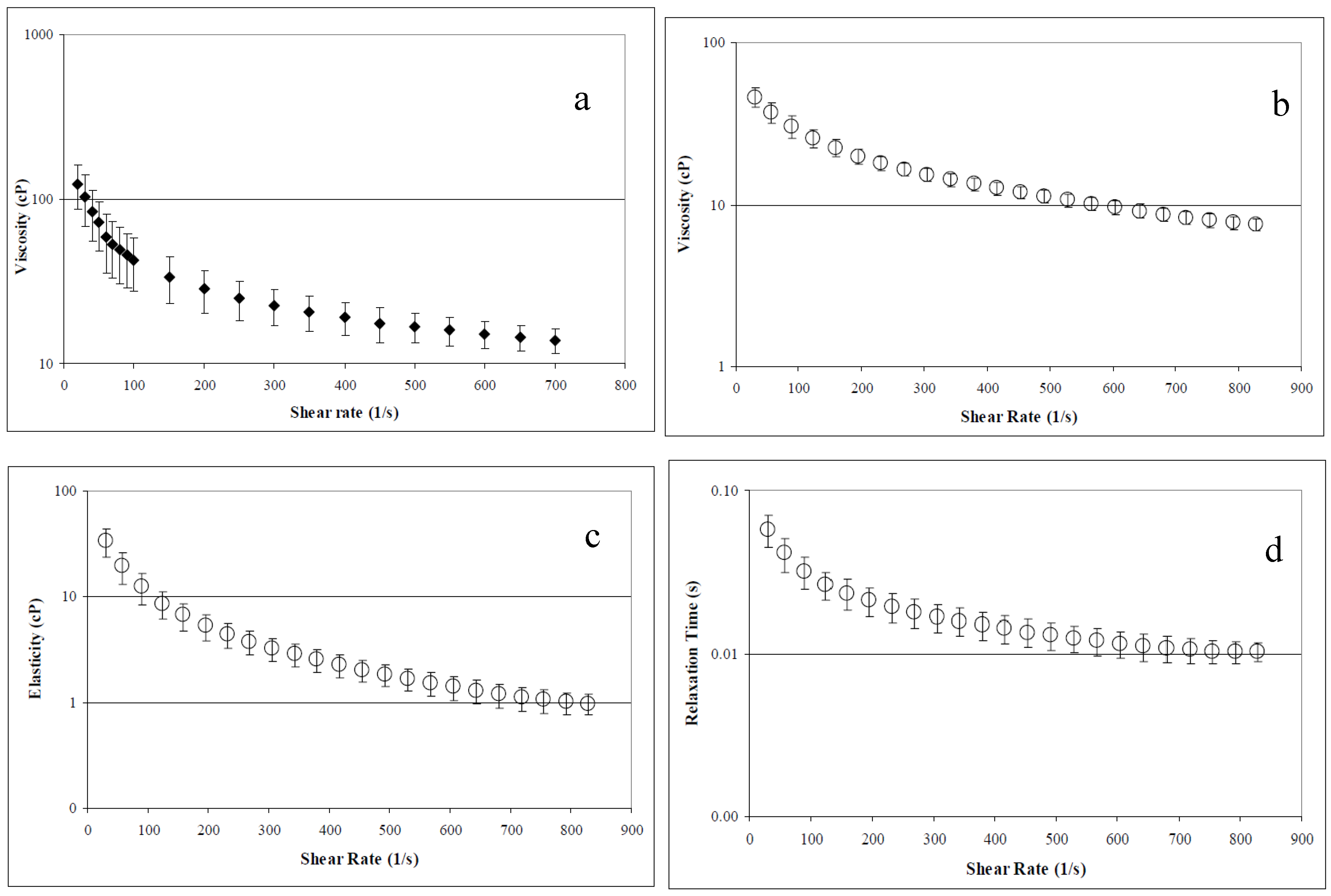
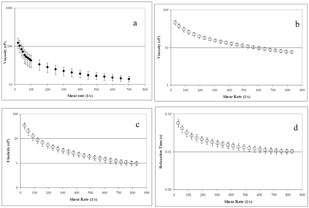
3.4. Viscoelasticity
3.5. Microfluidic Studies
4. Discussion
5. Conclusions
Acknowledgments
Author Contributions
Conflicts of Interest
References
- Toms, B.A. Some observations on the flow of linear polymer solution through straight tubes at large Reynolds numbers. Proc. Int. Congr. Rheol. 1948, 2, 135–141. [Google Scholar]
- Lumley, J.L. Drag reduction by additives. Annu. Rev. Fluid Mech. 1969, 1, 367–384. [Google Scholar] [CrossRef]
- Shenoy, A.V. A review on drag reduction with special reference to micellar systems. Colloid Polym. Sci. 1984, 262, 319–337. [Google Scholar] [CrossRef]
- Grigorian, S.S.; Kameneva, M.V.; Shakhnazarov, A.A. Effect of high molecular weight compounds dissolved in blood on hemodynamics. Sov. Phys. Dokl. 1976, 21, 702–703. [Google Scholar]
- Kameneva, M.V.; Wu, Z.J.; Uraysh, A.; Repko, B.; Litwak, K.N.; Billiar, T.R.; Fink, M.P.; Simmons, R.L.; Griffith, B.P.; Borovetz, H.S. Blood soluble drag-reducing polymers prevent lethality from hemorrhagic shock in acute animal experiments. Biorheology 2004, 41, 53–64. [Google Scholar] [PubMed]
- Kameneva, M.V. Microrheological effects of drag-reducing polymers in vitro and in vivo. Int. J. Eng. Sci. 2012, 59, 168–183. [Google Scholar] [CrossRef]
- Gannushkina, I.V.; Grigoryan, S.S.; Kameneva, M.V.; Shakhnazarov, A.A. The possibility that after circulatory ischemia of the brain the blood circulation can be restored by introducing special polymers to the blood. Sov. Phys. Dokl. 1981, 26, 376. [Google Scholar]
- Golub, A.S.; Grigoryan, S.S.; Kameneva, M.V.; Malkina, N.A.; Shoshenko, K.A. Influence of polyethylene oxide on the capillary blood flow of diabetic rats. Sov. Phys. Dokl. 1987, 32, 620–621. [Google Scholar]
- Gannushkina, I.V.; Antelava, A.L.; Baranchikova, M.V. Suppression of Experimental Alimentary Atherosclerosis with Drag Reducing Polymers. Bull. Exp. Biol. Med. 1993, 116, 1219–1222. [Google Scholar] [CrossRef]
- Gannushkina, I.V.; Kameneva, M.V.; Antelava, A.L. Effect of polymers reducing hydrodynamic resistance on systemic hemodynamics. Bull. Exp. Biol. Med. 1988, 106, 533–536. [Google Scholar] [CrossRef]
- Macias, C.A.; Kameneva, M.V.; Tenhunen, J.J.; Puyana, J.C.; Fink, M.P. Survival in a rat model of lethal hemorrhagic shock is prolonged following resuscitation with a small volume of a solution containing a drag-reducing polymer derived from aloe vera. Shock 2004, 22, 151–156. [Google Scholar] [CrossRef] [PubMed]
- Mostardi, R.A.; Greene, H.L.; Nokes, R.F.; Thomas, L.C.; Lue, T. The effect of drag reducing agents on stenotic flow disturbances in dogs. Biorheology 1976, 13, 37–41. [Google Scholar]
- Faruqui, F.I.; Otten, M.D.; Polimeni, P.I. Protection against atherogenesis with the polymer drag-reducing agent Separan AP-30. Circulation 1987, 75, 627–635. [Google Scholar] [CrossRef] [PubMed]
- Polimeni, P.I.; Ottenbreit, B.T. Hemodynamic effects of a poly(ethylene oxide) drag-reducing polymer, Polyox WSR N-60K, in the open-chest rat. J. Cardiovasc. Pharmacol. 1989, 14, 374–380. [Google Scholar] [CrossRef] [PubMed]
- Polimeni, P.I.; Al-Sadir, J.; Cutilletta, A.F. Polysaccharide for enhancement of cardiac output. US Patent 4154822, 1979. [Google Scholar]
- Zhao, R.; Marhefka, J.N.; Antaki, J.F.; Kameneva, M.V. Drag reducing polymers reduce near-wall concentration of platelets in microchannel blood flow. Biorheology 2010, 47, 193–203. [Google Scholar] [PubMed]
- Marhefka, J.N.; Zhao, R.; Wu, Z.; Velankar, S.S.; Antaki, J.F.; Kameneva, M.V. Drag reducing polymers improve tissue perfusion via modification of the RBC traffic in microvessels. Biorheology 2009, 46, 281–292. [Google Scholar] [PubMed]
- D’Almeida, A.R.; Dias, M.L. Comparative study of shear degradation of carboxymethylcellulose and poly(ethylene oxide) in aqueous solution. Polym. Degrad. Stab. 1997, 56, 331–337. [Google Scholar] [CrossRef]
- Kenis, P.R. Turbulent Flow Friction Reduction Effectiveness and Hydrodynamic Degradation of Polysaccharides and Synthetic Polymers. J. Appl. Polym. Sci. 1971, 15, 607–618. [Google Scholar] [CrossRef]
- Kim, C.A.; Lim, S.T.; Choi, H.J.; Sohn, J.I.; Jhno, M.S. Characterization of drag reducing guar gum in a rotating disk flow. J. Appl. Polym. Sci. 2002, 83, 2938–2944. [Google Scholar] [CrossRef]
- Talmadge, J.; Chavez, J.; Jacobs, L.; Munger, C.; Chinnah, T.; Chow, J.T.; Williamson, D.; Yates, K. Fractionation of Aloe vera L. inner gel, purification and molecular profiling of activity. Int. Immunopharmacol. 2004, 4, 1757–1773. [Google Scholar] [CrossRef] [PubMed]
- Williams, D.L.; Sherwood, E.R.; Browder, I.W.; McNamee, R.B.; Jones, E.L.; Di Luzio, N.R. Pre-clinical safety evaluation of soluble glucan. Int. J. Immunopharmacol. 1988, 10, 405–414. [Google Scholar] [CrossRef]
- Gowda, D.C.; Neelisiddaiah, B.; Anijaneyalu, Y.V. Structural Studies of Polysaccharides from Aloe Vera. Carbohydr. Res. 1979, 72, 201–205. [Google Scholar] [CrossRef]
- Hamman, J.H. Composition and Applications of Aloe vera Leaf Gel. Molecules 2008, 13, 1599–1616. [Google Scholar] [CrossRef] [PubMed]
- Kameneva, M.V.; Borovetz, H.S.; Griffith, B.P.; Repko, B.M.; Chapman, T. Artificial blood fluids and microflow drag reducing factors for enhanced blood circulation. US Patent 20030026855, 2 January 2002. [Google Scholar]
- Ni, Y.; Turner, D.; Yates, K.M.; Tizard, I. Isolation and characterization of structural components of Aloe vera L. leaf pulp. Int. Immunopharmacol. 2004, 4, 1745–1755. [Google Scholar] [CrossRef] [PubMed]
- Chow, J.T.; Williamson, D.A.; Yates, K.M.; Goux, W.J. Chemical characterization of the immunomodulating polysaccharide of Aloe vera L. Carbohydr. Res. 2005, 340, 1131–1142. [Google Scholar] [CrossRef] [PubMed]
- Eshun, K.; He, Q. Aloe vera: A valuable ingredient for the food, pharmaceutical, and cosmetic industries—A review. Crit. Rev. Food Sci. Nutr. 2004, 44, 91–96. [Google Scholar] [CrossRef] [PubMed]
- Sakai, T.; Repko, B.; Griffith, B.P.; Waters, J.H.; Kameneva, M.V. I.V. infusion of a drag-reducing polymer extracted from aloe vera prolonged survival time in a rat model of acute myocardial ischaemia. Br. J. Anaesth. 2007, 98, 23–28. [Google Scholar] [CrossRef] [PubMed]
- Marascalco, P.J.; Blair, H.C.; Nieponice, A.; Robinson, L.J.; Kameneva, M.V. Intravenous injections of soluble drag-reducing polymers reduce foreign body reaction to implants. ASAIO J. 2009, 55, 503–508. [Google Scholar] [CrossRef] [PubMed]
- Marhefka, J.N.; Velankar, S.S.; Chapman, T.M.; Kameneva, M.V. Mechanical degradation of drag reducing polymers in suspensions of blood cells and rigid particles. Biorheology 2008, 45, 599–609. [Google Scholar] [PubMed]
- Whitmore, R.L. Rheology of the Circulation, 1st ed.; Pergamon Press: Oxford, UK; New York, NY, USA, 1968; p. 196. [Google Scholar]
- Marhefka, J.N. Study of Drag Reducing Polymers and Mechanisms of Their Intravascular Effect. Ph.D. Dissertation, University of Pittsburgh, Pittsburgh, PA, USA, 2007. [Google Scholar]
- Ebling, W.; Hennrich, N.; Klockow, M.; Metz, H.; Orth, H.D.; Lang, H. Proteinase K from Tritirachium album Limber. Eur. J. Biochem 1974, 47, 91–97. [Google Scholar] [CrossRef]
- Voet, D.; Voet, J.G.; Pratt, C.W. Fundamentals of Biochemistry; Wiley: New York, NY, USA, 1999; pp. 111–112, 307–309. [Google Scholar]
- Boyle, J. Microcirculatory hematocrit and blood flow. J. Theor. Biol. 1988, 131, 223–229. [Google Scholar] [CrossRef]
- Goldsmith, H.L.; Cokelet, G.R.; Gaehtgens, P. Robin Fahraeus: Evolution of his concepts in cardiovascular physiology. Am. J. Physiol. 1989, 257, H1005–H1015. [Google Scholar] [PubMed]
- McDonald, J.C.; Duffy, D.C.; Anderson, J.R.; Chiu, D.T.; Wu, H.; Schueller, O.J.; Whitesides, G.M. Fabrication of microfluidic systems in poly(dimethylsiloxane). Elecrophoresis 2000, 21, 27–40. [Google Scholar] [CrossRef]
- Guyton, A.C.; Hall, J.E. Textbook of Medical Physiology, 9th ed.; W.B. Saunders: Philadelphia, PA, USA, 1996; pp. xliii, 1148. [Google Scholar]
- Kim, O.K.; Little, R.C.; Patterson, R.L.; Ting, R.Y. Polymer structures and turbulent shear stability of drag reducing solutions. Nature 1974, 250, 408–410. [Google Scholar] [CrossRef]
- Turner, C.E.; Williamson, D.A.; Stroud, P.A.; Talley, D.J. Evaluation and comparison of commercially available Aloe vera L. products using size exclusion chromatograpy with refractive index and multi-angle laser light scattering detection. Int. Immunopharmacol. 2004, 4, 1727–1737. [Google Scholar] [CrossRef] [PubMed]
- Dourembos, N.J.; Fetterman, P.S.; Quimby, M.W.; Turner, C.E. Cultivation, extraction and analysis of Cannabis sativa L. Ann. N Y Acad. Sci. 1971, 3–14. [Google Scholar] [CrossRef]
- Fisher, D.H.; Rodriguez, F. Degradation of Drag Reducing Polymers. J. Appl. Polym. Sci. 1971, 15, 2975–2985. [Google Scholar] [CrossRef]
- McCollister, D.D.; Oyen, F.; Rowe, V.K. Toxicology of acrylamide. Toxicol. Appl. Pharmacol. 1963, 6, 172–181. [Google Scholar] [CrossRef]
- Grigorian, S.S.; Kameneva, M.V. Resistance-reducing polymers in the blood circulation. In Contemporary Problems of Biomechanics; Chernyi, G.G., Regirer, S.A., Eds.; Mir Publ., CRC Press: Moscow, Russia; Boca Raton, FL, USA, 1990; pp. 99–110. [Google Scholar]
- Marhefka, J.N.; Marascalco, P.J.; Chapman, T.M.; Russell, A.J.; Kameneva, M.V. Poly(N-vinylformamide)-A drag-reducing polymer for biomedical applications. Biomacromolecules 2006, 7, 1597–1603. [Google Scholar] [CrossRef] [PubMed]
- Pacella, J.J.; Kameneva, M.V.; Brands, J.; Lipowsky, H.H.; Vink, H.; Lavery, L.L.; Villanueva, F.S. Modulation of Pre-capillary Arteriolar Pressure with Drag Reducing Polymers: A Novel Method for Enhancing Microvascular Perfusion. Microcirculation 2012, 19, 580–585. [Google Scholar] [CrossRef] [PubMed]
- Tsai, A.G.; Intaglietta, M. High viscosity plasma expanders: Volume resuscitation fluids for lowering the transfusion trigger. Biorheology 2001, 38, 229–237. [Google Scholar] [PubMed]



© 2016 by the authors; licensee MDPI, Basel, Switzerland. This article is an open access article distributed under the terms and conditions of the Creative Commons Attribution license ( http://creativecommons.org/licenses/by/4.0/).
Share and Cite
Marhefka, J.N.; Kameneva, M.V. Natural Drag-Reducing Polymers: Discovery, Characterization and Potential Clinical Applications. Fluids 2016, 1, 6. https://doi.org/10.3390/fluids1020006
Marhefka JN, Kameneva MV. Natural Drag-Reducing Polymers: Discovery, Characterization and Potential Clinical Applications. Fluids. 2016; 1(2):6. https://doi.org/10.3390/fluids1020006
Chicago/Turabian StyleMarhefka, Joie N., and Marina V. Kameneva. 2016. "Natural Drag-Reducing Polymers: Discovery, Characterization and Potential Clinical Applications" Fluids 1, no. 2: 6. https://doi.org/10.3390/fluids1020006
APA StyleMarhefka, J. N., & Kameneva, M. V. (2016). Natural Drag-Reducing Polymers: Discovery, Characterization and Potential Clinical Applications. Fluids, 1(2), 6. https://doi.org/10.3390/fluids1020006

