Valorization of Cattle Slaughtering Industry By-Products: Modification of the Functional Properties and Structural Characteristics of Cowhide Gelatin Induced by High Hydrostatic Pressure
Abstract
:1. Introduction
2. Results and Discussion
2.1. Functional Characteristics
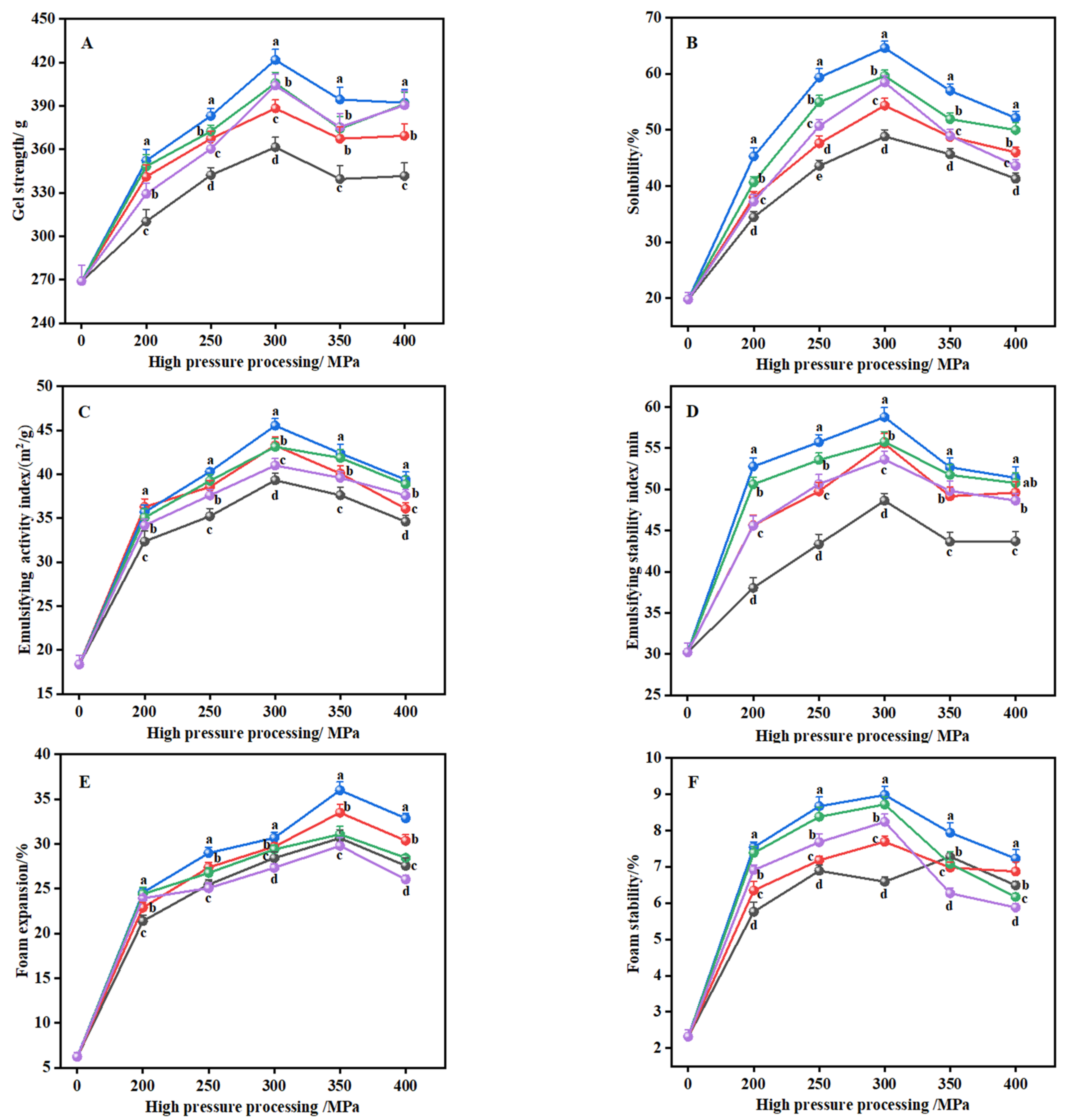
2.1.1. Gel Strength
2.1.2. Solubility
2.1.3. Emulsifying Activity Index (EAI) and Emulsifying Stability Index (ESI)
2.1.4. Foam Expansion (FE) and Foam Stability (FS)
2.2. Secondary Structure
2.3. Intermolecular Force
2.3.1. Hydrophobic Interactions
2.3.2. Disulfide Bonds
2.3.3. Electrostatic Interactions
2.3.4. Hydrogen Bonds
2.4. Principal Component Analysis (PCA)
3. Conclusions
4. Materials and Methods
4.1. Materials
4.2. Functional Characteristics
4.2.1. Gel Strength and Solubility
4.2.2. Emulsifying and Foaming Properties
4.3. Secondary Structure
4.4. Intermolecular Force
4.4.1. Hydrophobic Interactions (Surface Hydrophobicity) and Disulfide Bonds (Total Sulfhydryl Groups and Active Sulfhydryl)
4.4.2. Electrostatic Interactions (Zeta Potentials) and Hydrogen Bonds (Raman Spectra)
4.5. Statistical Analysis
Author Contributions
Funding
Institutional Review Board Statement
Informed Consent Statement
Data Availability Statement
Conflicts of Interest
References
- Toldra, F.; Mora, L.; Reig, M. New insights into meat by-product utilization. Meat Sci. 2016, 120, 54–59. [Google Scholar] [CrossRef] [PubMed] [Green Version]
- Jayathilakan, K.; Sultana, K.; Radhakrishna, K.; Bawa, A.S. Utilization of byproducts and waste materials from meat, poultry and fish processing industries: A review. J. Food Sci. Technol. 2012, 49, 278–293. [Google Scholar] [CrossRef] [PubMed] [Green Version]
- Shen, X.; Zhang, M.; Bhandari, B.; Gao, Z. Novel technologies in utilization of byproducts of animal food processing: A review. Crit. Rev. Food Sci. Nutr. 2018, 59, 3420–3430. [Google Scholar] [CrossRef] [PubMed]
- Ahmad, T.; Ismail, A.; Ahmad, S.A.; Khalil, K.A.; Kee, L.T.; Awad, E.A.; Sazili, A.Q. Physicochemical characteristics and molecular structures of gelatin extracted from bovine skin: Effects of actinidin and papain enzymes pretreatment. Int. J. Food Prop. 2019, 22, 138–153. [Google Scholar] [CrossRef] [Green Version]
- Shahbandeh, M. Distribution Share of the Gelatin Market Worldwide in 2016, by Type of Raw Material. 2017. Available online: https://www.statista.com/statistics/712112/distribution-gelatin-market-worldwide/ (accessed on 5 January 2022).
- Nitsuwat, S.; Zhang, P.; Ng, K.; Fang, Z. Fish gelatin as an alternative to mammalian gelatin for food industry: A meta-analysis. LWT-Food Sci. Technol. 2021, 141, 110899. [Google Scholar] [CrossRef]
- Boran, G.; Pancar, E.D.; Andic, S. Comparative effects of fish and cow gelatins and locust bean gum on chemical, textural, and sensory properties of yogurt. J. Aquat. Food Prod. Technol. 2016, 25, 843–853. [Google Scholar]
- Nuez, S.M.; Cárdenas, C.; Pinto, M.; Valencia, P.; Almonacid, S. Bovine skin gelatin hydrolysates as potential substitutes for polyphosphates: The role of degree of hydrolysis and pH on water holding capacity. J. Food Sci. 2020, 86, 1988–1996. [Google Scholar] [CrossRef]
- Ma, Y.S.; Zhao, H.J.; Zhao, X.H. Comparison of the effects of the alcalase-hydrolysates of caseinate, and of fish and bovine gelatins on the acidification and textural features of set-style skimmed yogurt-type products. Foods 2019, 8, 501. [Google Scholar] [CrossRef] [Green Version]
- Ahmad, T.; Ismail, A.; Ahmad, S.A.; Khalil, K.A.; Kumar, Y.; Adeyemi, K.D.; Sazili, A.Q. Recent advances on the role of process variables affecting gelatin yield and characteristics with special reference to enzymatic extraction: A review. Food Hydrocoll. 2017, 63, 85–96. [Google Scholar] [CrossRef]
- Noor, N.Q.I.M.; Razali, R.S.; Ismail, N.K.; Ramli, R.A.; Razali, U.H.M.; Bahauddin, A.R.; Zaharudin, N.; Rozzamri, A.; Bakar, J.; Shaarani, S.M. Application of Green Technology in Gelatin Extraction: A Review. Processes 2021, 9, 2227. [Google Scholar] [CrossRef]
- Park, J.H.; Choe, J.H.; Kim, H.W.; Hwang, K.E.; Song, D.H.; Yeo, E.J.; Kim, H.Y.; Choi, Y.S.; Lee, S.H.; Kim, C.J. Effects of various extraction methods on quality characteristics of duck feet gelatin. Korean J. Food Sci. Anim. Resour. 2013, 33, 162–169. [Google Scholar] [CrossRef] [Green Version]
- Tomas, B.; Vibeke, O.; Anita, S.; Kemal, A.; Kathrine, H.B.; Claire, G.; Anna-Sophie, S.; Marie, D.L.; Christian, H.; Dagmar, A.B. High-pressure processing of meat: Molecular impacts and industrial applications. Compr. Rev. Food Sci. Food Saf. 2020, 20, 332–368. [Google Scholar]
- Bai, Y.; Zeng, X.; Zhang, C.; Zhang, T.; Xu, X. Effects of high hydrostatic pressure treatment on the emulsifying behavior of myosin and its underlying mechanism. LWT-Food Sci. Technol. 2021, 146, 111397. [Google Scholar] [CrossRef]
- Yang, J.; Liu, G.; Zeng, H.; Chen, L. Effects of high pressure homogenization on faba bean protein aggregation in relation to solubility and interfacial properties. Food Hydrocoll. 2018, 83, 275–286. [Google Scholar] [CrossRef]
- Xing, S.M.; Jian, R.L.; Chen, J.R.; Shu, M.Y.; Yong, M.Y. Changes in gel properties and water properties of nemipterus virgatus surimi gel induced by high-pressure processing. LWT-Food Sci. Technol. 2015, 61, 377–384. [Google Scholar]
- Guo, Z.; Li, Z.; Wang, J.; Zheng, B. Gelation properties and thermal gelling mechanism of golden threadfin bream myosin containing cacl2 induced by high pressure processing. Food Hydrocoll. 2019, 95, 43–52. [Google Scholar] [CrossRef]
- Guan, H.N.; Diao, X.Q.; Liu, D.Y.; Han, J.C.; Kong, B.H.; Liu, D.Y.; Gao, C.Z.; Zhang, L.L. Effect of high-pressure processing enzymatic hydrolysates of soy protein isolate on the emulsifying and oxidative stability of myofibrillar protein-prepared oil-in-water emulsions. J. Sci. Food Agric. 2020, 100, 3910–3919. [Google Scholar] [CrossRef]
- Zhang, Y.; Ren, Y.; Bi, Y.; Wang, Q.; Chen, F. Review: Seafood allergy and potential application of high hydrostatic pressure to reduce seafood allergenicity. Int. J. Food Eng. 2019, 15, 20180392. [Google Scholar] [CrossRef]
- Liu, D.; Zhang, L.; Wang, Y.; Li, Z.; Han, J. Effect of high hydrostatic pressure on solubility and conformation changes of soybean protein isolate glycated with flaxseed gum. Food Chem. 2020, 333, 127530. [Google Scholar] [CrossRef]
- Falade, E.O.; Mu, T.H.; Zhang, M. Improvement of ultrasound microwave-assisted enzymatic production and high hydrostatic pressure on emulsifying, rheological and interfacial characteristics of sweet potato protein hydrolysates. Food Hydrocoll. 2021, 117, 106684. [Google Scholar] [CrossRef]
- Tan, M.; Xu, J.; Gao, H.; Yu, Z.; Zheng, Z. Effects of combined high hydrostatic pressure and ph-shifting pretreatment on the structure and emulsifying properties of soy protein isolates. J. Food Eng. 2021, 306, 110622. [Google Scholar] [CrossRef]
- Sezer, P.; Okur, I.; Oztop, M.H.; Alpas, H. Improving the physical properties of fish gelatin by high hydrostatic pressure (hhp) and ultrasonication (us). Int. J. Food Sci. Technol. 2019, 55, 1468–1476. [Google Scholar] [CrossRef]
- Chen, L.Q.; Ma, L.; Zhou, M.R.; Liu, Y.; Zhang, Y.H. Effects of pressure on gelatinization of collagen and properties of extracted gelatins. Food Hydrocoll. 2014, 36, 316–322. [Google Scholar] [CrossRef]
- Zheng, H.; Han, M.; Yun, B.; Xu, X.; Zhou, G. Combination of high pressure and heat on the gelation of chicken myofibrillar proteins. Innov. Food Sci. Emerg. Technol. 2018, 52, 122–130. [Google Scholar] [CrossRef]
- Xue, S.; Wang, C.; Yuan, H.; Bian, G.; Zhou, G. Application of high-pressure treatment improves the in vitro protein digestibility of gel-based meat product. Food Chem. 2019, 306, 125602. [Google Scholar] [CrossRef] [PubMed]
- Chen, X.; Xu, X.; Zhou, G. Potential of high pressure homogenization to solubilize chicken breast myofibrillar proteins in water. Innov. Food Sci. Emerg. Technol. 2016, 33, 170–179. [Google Scholar] [CrossRef]
- Chen, X.; Tume, R.K.; Xiong, Y.; Xu, X.L.; Nishiumi, T. Structural modification of myofibrillar proteins by high-pressure processing for functionally improved, value-added and healthy muscle gelled foods. Crit. Rev. Food Sci. Nutr. 2017, 58, 2981–3003. [Google Scholar] [CrossRef]
- Ya, L.F.; Oey, I.; Bremer, P.; Carne, A.; Silcock, P. Modifying the functional properties of egg proteins using novel processing techniques: A review. Compr. Rev. Food Sci. Food Saf. 2019, 18, 986–1002. [Google Scholar]
- Zhu, S.M.; Lin, S.L.; Ramaswamy, H.S.; Yu, Y.Q.; Zhang, T. Enhancement of functional properties of rice bran proteins by high pressure treatment and their correlation with surface hydrophobicity. Food Bioprocess Technol. 2017, 10, 317–327. [Google Scholar] [CrossRef]
- Taghi, G.S.M.; Hernández-Ortega, C.; Jorge, W.C.; Predrag, P.; Barba, F.J.; Kumar, M.; Escobedo-Avellaneda, Z.; Roohinejad, S. High pressure processing of food-grade emulsion systems: Antimicrobial activity, and effect on the physicochemical properties. Food Hydrocoll. 2018, 87, 307–320. [Google Scholar]
- Guo, Z.W.; Huang, Z.X.; Guo, Y.N.; Li, B.L.; Wang, Z.J. Effects of high-pressure homogenization on structural and emulsifying properties of thermally soluble aggregated kidney bean (Phaseolus vulgaris L.) proteins. Food Hydrocoll. 2021, 119, 106835. [Google Scholar] [CrossRef]
- Chao, D.; Jung, S.; Luko, A.R. Physicochemical and functional properties of high pressure-treated isolated pea protein. Innov. Food Sci. Emerg. Technol. 2017, 45, 179–185. [Google Scholar] [CrossRef]
- Baier, A.K.; Knorr, D. Influence of high isostatic pressure on structural and functional characteristics of potato protein. Food Res. Int. 2015, 77, 753–761. [Google Scholar] [CrossRef]
- Qin, Z.H.; Guo, X.F.; Lin, Y.; Chen, J.L.; Liao, X.J.; Hu, X.S.; Wu, J.H. Effects of high hydrostatic pressure on physicochemical and functional properties of walnut (Juglans regia L.) protein isolate. J. Sci. Food Agric. 2013, 93, 1105–1111. [Google Scholar] [CrossRef]
- Chen, X.; Xu, X.; Han, M.; Zhou, G.; Chen, C.; Li, P. Conformational changes induced by high-pressure homogenization inhibit myosin filament formation in low ionic strength solutions. Food Res. Int. 2016, 85, 1–9. [Google Scholar] [CrossRef]
- Chen, X.; Zhou, R.; Xu, X.; Zhou, G.; Liu, D. Structural modification by high-pressure homogenization for improved functional properties of freeze-dried myofibrillar proteins powder. Food Res. Int. 2017, 100 Pt 1, 193. [Google Scholar] [CrossRef]
- Nan, J.; Zou, M.L.; Wang, H.B.; Xu, C.Z.; Zhang, J.T.; Wei, B.M.; He, L.; Xu, Y.L. Effect of ultra-high pressure on molecular structure and properties of bullfrog skin collagen. Int. J. Biol. Macromol. 2018, 11, 200–207. [Google Scholar] [CrossRef]
- Kang, D.C.; Zou, Y.H.; Cheng, Y.P.; Xing, L.J.; Zhou, G.H.; Zhang, W.G. Effects of power ultrasound on oxidation and structure of beef proteins during curing processing. Ultrason. Sonochem. 2016, 33, 47–53. [Google Scholar] [CrossRef]
- Jiang, S.; Zhao, N.Y.; Wu, J.; Li, C. Ultrasonic treatment increased functional properties and in vitro digestion of actomyosin complex during meat storage. Food Chem. 2021, 352, 129398. [Google Scholar] [CrossRef]
- Zhang, Z.; Yang, Y.; Zhou, P.; Zhang, X.; Wang, J. Effects of high pressure modification on conformation and gelation properties of myofibrillar protein. Food Chem. 2017, 217, 678–686. [Google Scholar] [CrossRef]
- Wu, D.; Wu, C.; Wang, Z.Y.; Fan, F.J.; Chen, H.; Ma, W.C.; Du, M. Effects of high pressure homogenize treatment on the physicochemical and emulsifying properties of proteins from scallop (Chlamys farreri). Food Hydrocoll. 2019, 94, 537–545. [Google Scholar] [CrossRef]
- Li, G.S.; Chen, Y.T.; Xuan, S.F.; Lv, M.C.; Zhang, J.J.; Lou, Q.M.; Jia, R.; Yang, W.G. Effects of ultra-high pressure on the biochemical properties and secondary structure of myofibrillar protein from oratosquilla oratoria muscle. J. Food Process Eng. 2019, 42, e13231. [Google Scholar]
- Li, Z.Y.; Wang, J.Y.; Zheng, B.D.; Guo, Z.B. Effects of high pressure processing on gelation properties and molecular forces of myosin containing deacetylated konjac glucomannan. Food Chem. 2019, 52, 117–125. [Google Scholar] [CrossRef] [PubMed]
- Wang, M.Y.; Chen, X.; Zou, Y.F.; Chen, H.Q.; Xue, S.W.; Qian, C.; Wang, P.; Xu, X.L.; Zhou, G.H. High-pressure processing-induced conformational changes during heating affect water holding capacity of myosin gel. Int. J. Food Sci. Technol. 2017, 724–732. [Google Scholar] [CrossRef]
- Li, Y.; Kang, Z.; Sukmanov, V.; Ma, H. Effects of soy protein isolate on gel properties and water holding capacity of low-salt pork myofibrillar protein under high pressure processing. Meat Sci. 2021, 176, 108471. [Google Scholar] [CrossRef]
- Lv, M.C.; Tan, B.B.; Yang, R.; Xu, A.Q.; Zhang, J.J.; Xu, D.L.; Yang, W.G. Effects of high pressure on biochemical properties and structure of myofibrillar protein from Tegillarca granosa. Int. J. Food Sci. Technol. 2020, 55, 1515–1522. [Google Scholar] [CrossRef]
- Cando, D.; Herranz, B.; Javier Borderias, A.; Moreno, H.M. Effect of high pressure on reduced sodium chloride surimi gels. Food Hydrocoll. 2015, 51, 176–187. [Google Scholar] [CrossRef]
- Mwindaace, N.S.; Lord, R.C.; Chen, M.C.; Tadahisa, T.; Issei, H.; Hiroatsu, M.; Takehiko, M. Interpretation of the doublet at 850 and 830 cm−1 in the raman spectra of tyrosyl residues in proteins and certain model compounds. Biochemistry 1975, 14, 4870–4876. [Google Scholar]
- Li, X.Y.; Mao, L.; He, X.Y.; Ma, P.H.; Gao, Y.X.; Yuan, F. Characterization of β-lactoglobulin gels induced by high pressure processing. Innov. Food Sci. Emerg. Technol. 2018, 47, 335–345. [Google Scholar] [CrossRef]
- Zhang, Z.; Yang, Y.; Tang, X.; Chen, Y.; You, Y. Chemical forces and water holding capacity study of heat-induced myofibrillar protein gel as affected by high pressure. Food Chem. 2015, 188, 111–118. [Google Scholar] [CrossRef]
- He, L.; Gao, Y.; Han, L.; Yu, Q.; Zang, R. Enhanced gelling performance of oxhide gelatin prepared from cowhide scrap by high pressure-assisted extraction. J. Food Sci. 2021, 86, 2525–2538. [Google Scholar] [CrossRef] [PubMed]
- Kuan, Y.H.; Nafchi, A.M.; Huda, N.; Ariffin, F.; Karim, A.A. Comparison of physicochemical and functional properties of duck feet and bovine gelatins. J. Sci. Food Agric. 2016, 97, 1663–1671. [Google Scholar] [CrossRef] [PubMed]
- Xu, M.Q.; Wei, L.X.; Xiao, Y.C.; Bi, H.T.; Yang, H.X.; Du, Y.Z. Physicochemical and functional properties of gelatin extracted from yak skin. Int. J. Biol. Macromol. 2017, 95, 1246–1253. [Google Scholar] [CrossRef]
- Ellman, G.L. Tissue sulfhydryl groups. Arch. Biochem. Biophys. 1959, 82, 70–77. [Google Scholar] [CrossRef]

); 200 MPa (
); 250 MPa (
); 300 MPa (
); 350 MPa (
); 400 MPa (
). Amide A (amide A band in the FTIR spectrum); amide B (amide B band in the FTIR spectrum); amide I (amide I band in the FTIR spectrum); amide II (amide II band in the FTIR spectrum); amide III (amide III band in the FTIR spectrum).
); 200 MPa (
); 250 MPa (
); 300 MPa (
); 350 MPa (
); 400 MPa (
). Amide A (amide A band in the FTIR spectrum); amide B (amide B band in the FTIR spectrum); amide I (amide I band in the FTIR spectrum); amide II (amide II band in the FTIR spectrum); amide III (amide III band in the FTIR spectrum).


| P (MPa) | T (min) | S.E | Sig. | ||||||
|---|---|---|---|---|---|---|---|---|---|
| 5 | 10 | 15 | 20 | 25 | P | T | I | ||
| α-helix (%) | |||||||||
| 0 | 13.52 Aa ± 0.24 | 13.52 Aa ± 0.24 | 13.52 Aa ± 0.24 | 13.52 Aa ± 0.24 | 13.52 Aa ± 0.24 | <0.01 | ** | ** | ** |
| 200 | 10.27 Ba ± 0.18 | 9.79 Bb ± 0.23 | 9.38 Bbc ± 0.43 | 9.11 Bc ± 0.21 | 8.69 Bd ± 0.19 | ||||
| 250 | 9.53 Ca ± 0.19 | 8.95 Cb ± 0.14 | 8.23 Cc ± 0.23 | 7.93 Cc ± 0.25 | 7.63 Cd ± 0.31 | ||||
| 300 | 8.38 Da ± 0.11 | 7.87 Db ± 0.21 | 7.42 Dbc ± 0.24 | 7.12 Dc ± 0.21 | 6.94 Dc ± 0.29 | ||||
| 350 | 6.84 Fa ± 0.33 | 6.75 Ea ± 0.19 | 6.21 Eb ± 0.29 | 6.27 Eb ± 0.15 | 6.22 Eb ± 0.31 | ||||
| 400 | 7.89 Ea ± 0.22 | 7.61 Dab ± 0.32 | 7.12 Db ± 0.15 | 7.35 Db ± 0.17 | 7.13 Db ± 0.26 | ||||
| β-sheet (%) | |||||||||
| 0 | 58.38 Ea ± 1.32 | 58.38 Ea ± 1.32 | 58.38 Ea ± 1.32 | 58.38 Ea ± 1.32 | 58.38 Ea ± 1.32 | <0.01 | ** | ** | ** |
| 200 | 65.29 De ± 0.27 | 66.97 Dd ± 0.35 | 67.93 Dc ± 0.23 | 68.39 Db ± 0.22 | 69.21 Da ± 0.43 | ||||
| 250 | 67.31 Ce ± 0.35 | 68.99 Cd ± 0.31 | 70.24 Cc ± 0.45 | 71.13 Cb ± 0.28 | 71.99 Ca ± 0.31 | ||||
| 300 | 70.27 Bd ± 0.41 | 71.31 Bc ± 0.39 | 72.25 Bb ± 0.52 | 73.23 Ba ± 0.41 | 74.14 Ba ± 0.56 | ||||
| 350 | 74.17 Ac ± 0.39 | 76.26 Ab ± 0.48 | 76.17 Ab ± 0.44 | 76.52 Ab ± 0.34 | 77.52 Aa ± 0.39 | ||||
| 400 | 74.19 Ad ± 0.49 | 75.37 Ac ± 0.41 | 75.91 Abc ± 0.36 | 76.21 Ab ± 0.38 | 77.36 Aa ± 0.45 | ||||
| β-turn (%) | |||||||||
| 0 | 16.48 Aa ± 0.23 | 16.48 Aa ± 0.23 | 16.48 Aa ± 0.23 | 16.48 Aa ± 0.23 | 16.48 Aa ± 0.23 | <0.01 | ** | * | ** |
| 200 | 11.69 Ba ± 0.52 | 10.38 Bb ± 0.58 | 9.87 Bb ± 0.72 | 9.32 Bb ± 0.49 | 9.03 Bb ± 0.68 | ||||
| 250 | 9.82 Ca ± 0.21 | 8.21 Cb ± 0.29 | 7.56 Cc ± 0.35 | 7.21 Cc ± 0.42 | 7.09 Cc ± 0.54 | ||||
| 300 | 7.79 Da ± 0.19 | 6.58 Db ± 0.22 | 5.94 Dc ± 0.32 | 5.25 Dd ± 0.33 | 5.11 Dd ± 0.32 | ||||
| 350 | 6.83 Ea ± 0.14 | 5.23 Eb ± 0.16 | 4.61 Ec ± 0.26 | 4.42 Ec ± 0.32 | 4.02 Ed ± 0.33 | ||||
| 400 | 6.79 Ea ± 0.12 | 5.33 Eb ± 0.15 | 4.63 Ec ± 0.23 | 4.45 Ec ± 0.27 | 4.03 Ed ± 0.12 | ||||
| random coiling (%) | |||||||||
| 0 | 11.62 Da ± 0.27 | 11.62 Ca ± 0.27 | 11.62 Ea ± 0.27 | 11.62 Da ± 0.27 | 11.62 Ca ± 0.27 | <0.01 | ** | n.s | * |
| 200 | 12.75 Cb ± 0.19 | 12.86 Bb ± 0.14 | 12.82 Cb ± 0.12 | 13.18 Ca ± 0.17 | 13.07 Bab ± 0.15 | ||||
| 250 | 13.34 Bc ± 0.11 | 13.85 Aa ± 0.31 | 13.97 Ba ± 0.16 | 13.73 Ba ± 0.11 | 13.69 Ab ± 0.11 | ||||
| 300 | 13.56 Ab ± 0.14 | 14.24 Aa ± 0.18 | 14.29 Aa ± 0.15 | 14.4 Aa ± 0.14 | 13.81 Ab ± 0.13 | ||||
| 350 | 12.16 Cc ± 0.21 | 11.76 Cd ± 0.12 | 13.01 Ca ± 0.13 | 13.09 Ca ± 0.12 | 12.74 Bb ± 0.22 | ||||
| 400 | 11.13 Ed ± 0.12 | 11.69 Cc ± 0.14 | 12.34 Da ± 0.12 | 11.99 Db ± 0.13 | 11.48 Cc ± 0.14 | ||||
| P (MPa) | T (min) | S.E | Sig. | ||||||
|---|---|---|---|---|---|---|---|---|---|
| 5 | 10 | 15 | 20 | 25 | P | T | I | ||
| I850/I830 | |||||||||
| 0 | 0.9241 Ea ± 0.0012 | 0.9241 Ea ± 0.0012 | 0.9241 Ea ± 0.0012 | 0.9241 Ca ± 0.0012 | 0.9241 Da ± 0.0012 | <0.01 | ** | ** | ** |
| 200 | 1.0030 Cd ± 0.0001 | 1.0040 Cc ± 0.0008 | 1.0078 Da ± 0.0009 | 1.0056 Bb ± 0.0002 | 1.0023 Be ± 0.0021 | ||||
| 250 | 1.0064 Bb ± 0.0008 | 1.0077 Ba ± 0.0003 | 1.0090 Ca ± 0.0014 | 1.0062 Ab ± 0.0001 | 1.0045 Bc ± 0.0007 | ||||
| 300 | 1.0096 Ac ± 0.0003 | 1.0119 Ab ± 0.0006 | 1.0132 Aa ± 0.0003 | 1.0061 Ae ± 0.0002 | 1.0075 Ad ± 0.0011 | ||||
| 350 | 0.9495 Dd ± 0.0005 | 0.9443 Dd ± 0.0013 | 1.0091 Ba ± 0.0022 | 1.0058 ABb ± 0.0009 | 0.9782 Cc ± 0.0014 | ||||
| 400 | 0.8902 Fab ± 0.0007 | 0.8823 Fd ± 0.0004 | 0.8911 Fa ± 0.0003 | 0.8901 Db ± 0.0003 | 0.8891 Ec ± 0.0006 | ||||
| Nexposed | |||||||||
| 0 | 0.5655 Ea ± 0.0002 | 0.5655 Ea ± 0.0002 | 0.5655 Da ± 0.0002 | 0.5655 Ca ± 0.0002 | 0.5655 Ea ± 0.0002 | <0.01 | ** | ** | ** |
| 200 | 0.6707 Cd ± 0.0003 | 0.6721 Cc ± 0.0003 | 0.6771 Ca ± 0.0004 | 0.6741 Bb ± 0.0003 | 0.6697 Ce ± 0.0005 | ||||
| 250 | 0.6752 Bc ± 0.0001 | 0.6770 Bb ± 0.0001 | 0.6787 Ba ± 0.0003 | 0.6750 Ac ± 0.0001 | 0.6726 Bd ± 0.0003 | ||||
| 300 | 0.6795 Ac ± 0.0002 | 0.6826 Ab ± 0.0004 | 0.6842 Aa ± 0.0001 | 0.6748 Ae ± 0.0004 | 0.6767 Ad ± 0.0004 | ||||
| 350 | 0.5993 Dd ± 0.0004 | 0.5924 De ± 0.0011 | 0.6788 Ba ± 0.0002 | 0.6744 Bb ± 0.0002 | 0.6376 Dc ± 0.0002 | ||||
| 400 | 0.5203 Fb ± 0.0003 | 0.5097 Fd ± 0.0005 | 0.5215 Ea ± 0.0005 | 0.5201 Db ± 0.0005 | 0.5188 Fc ± 0.0004 | ||||
| Nburied | |||||||||
| 0 | 0.4345 Ba ± 0.0004 | 0.4345 Ba ± 0.0004 | 0.4345 Ba ± 0.0004 | 0.4345 Ba ± 0.0004 | 0.4345 Ba ± 0.0004 | <0.01 | ** | ** | ** |
| 200 | 0.3293 Db ± 0.0003 | 0.3279 Dc ± 0.0002 | 0.3229 De ± 0.0005 | 0.3259 Cd ± 0.0003 | 0.3303 Da ± 0.0005 | ||||
| 250 | 0.3248 Eb ± 0.0003 | 0.3230 Ec ± 0.0004 | 0.3213 Ed ± 0.0005 | 0.3250 Db ± 0.0002 | 0.3274 Ea ± 0.0003 | ||||
| 300 | 0.3205 Fc ± 0.0006 | 0.3174 Fd ± 0.0003 | 0.3158 Ce ± 0.0006 | 0.3252 Da ± 0.0001 | 0.3233 Fb ± 0.0004 | ||||
| 350 | 0.4007 Cb ± 0.0008 | 0.4076 Ca ± 0.0002 | 0.3212 Ee ± 0.0002 | 0.3256 Cd ± 0.0002 | 0.3624 Cc ± 0.0003 | ||||
| 400 | 0.4797 Ac ± 0.0005 | 0.4903 Aa ± 0.0003 | 0.4785 Ad ± 0.0003 | 0.4799 Ac ± 0.0003 | 0.4812 Ab ± 0.0002 | ||||
Publisher’s Note: MDPI stays neutral with regard to jurisdictional claims in published maps and institutional affiliations. |
© 2022 by the authors. Licensee MDPI, Basel, Switzerland. This article is an open access article distributed under the terms and conditions of the Creative Commons Attribution (CC BY) license (https://creativecommons.org/licenses/by/4.0/).
Share and Cite
Gao, Y.; Wang, L.; Qiu, Y.; Fan, X.; Zhang, L.; Yu, Q. Valorization of Cattle Slaughtering Industry By-Products: Modification of the Functional Properties and Structural Characteristics of Cowhide Gelatin Induced by High Hydrostatic Pressure. Gels 2022, 8, 243. https://doi.org/10.3390/gels8040243
Gao Y, Wang L, Qiu Y, Fan X, Zhang L, Yu Q. Valorization of Cattle Slaughtering Industry By-Products: Modification of the Functional Properties and Structural Characteristics of Cowhide Gelatin Induced by High Hydrostatic Pressure. Gels. 2022; 8(4):243. https://doi.org/10.3390/gels8040243
Chicago/Turabian StyleGao, Yanlei, Liyuan Wang, Yi Qiu, Xiaona Fan, Li Zhang, and Qunli Yu. 2022. "Valorization of Cattle Slaughtering Industry By-Products: Modification of the Functional Properties and Structural Characteristics of Cowhide Gelatin Induced by High Hydrostatic Pressure" Gels 8, no. 4: 243. https://doi.org/10.3390/gels8040243
APA StyleGao, Y., Wang, L., Qiu, Y., Fan, X., Zhang, L., & Yu, Q. (2022). Valorization of Cattle Slaughtering Industry By-Products: Modification of the Functional Properties and Structural Characteristics of Cowhide Gelatin Induced by High Hydrostatic Pressure. Gels, 8(4), 243. https://doi.org/10.3390/gels8040243
