Optimization of the Elasticity and Adhesion of Catechol- or Dopamine-Loaded Gelatin Gels under Oxidative Conditions
Abstract
1. Introduction
2. Results and Discussion
2.1. Optimal Concentration Gelatin and in NaIO4
2.2. Influence of the Catechol and Dopamine Concentration on the Gels’ Elasticity and Adhesiveness
- (1)
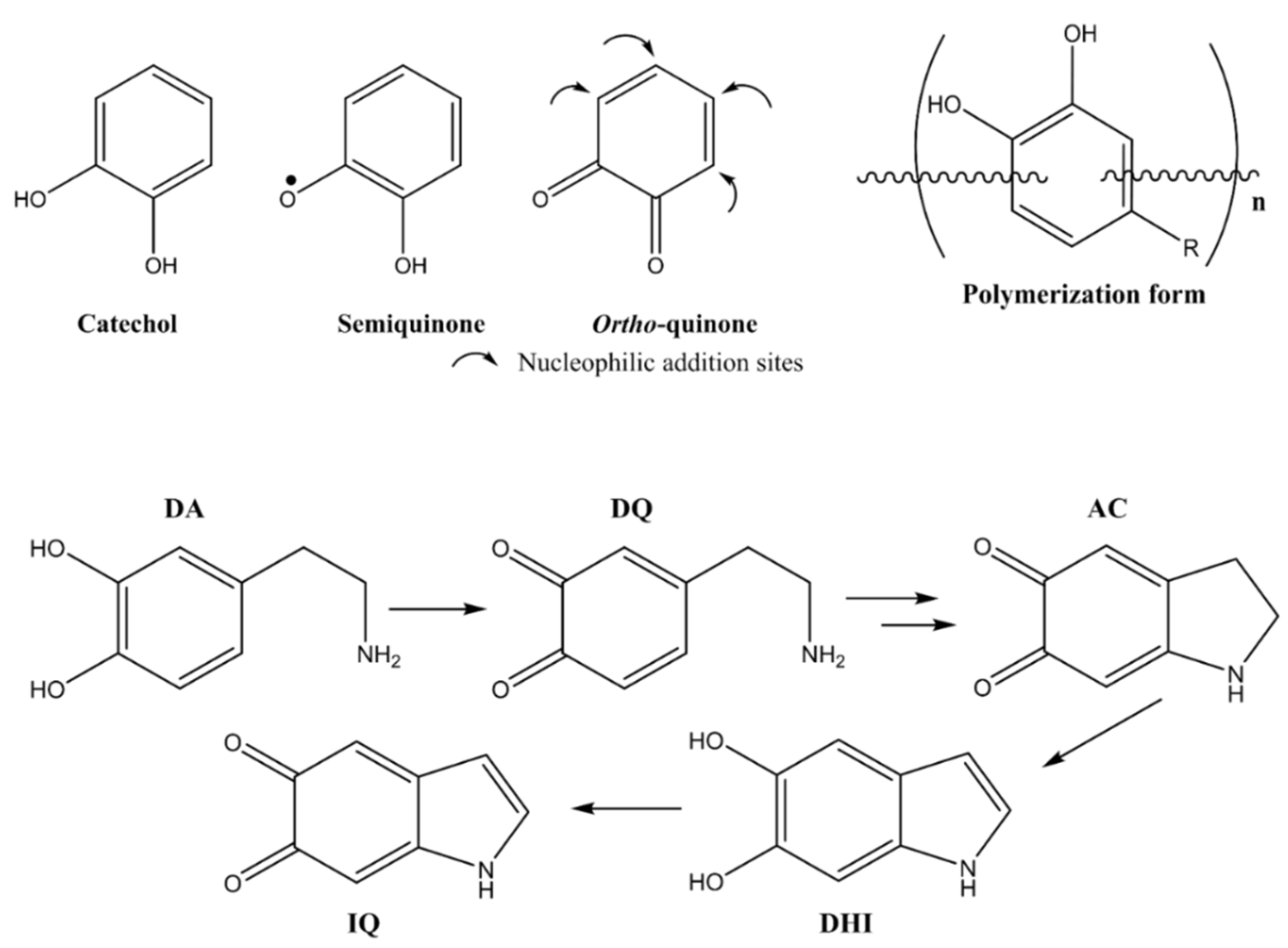
 - The mechanical and adhesive properties of the catechol- or dopamine-containing G10CzN10 or G10DzN10 hydrogels are optimal for a molar concentration corresponding to a 2-fold molar excess of catechol or dopamine with respect to NaIO4, and correspond to an optimal crosslinking density with gelatin. A priori, such a ratio is unexpected because the oxidation of catechol or dopamine produces a quinone with the loss of two protons and two electrons, whereas the IO4− anion is reduced in the IO3− anion in a two electron process. One would hence expect an optimal catechol or dopamine concentration close to 10 mM, and hence a catechol/dopamine ratio equal to 1. The finding that it occurs close to 20 mM might be due to the fact that the oxidation of catechol or dopamine by NaIO4 is a fast reaction (as observed in pure solvent, see also [43]), and its rate limiting step is the encounter between catechol or dopamine and the oxidant in a confined and viscous medium as a gelatin-based sol. In the case of higher catechol or dopamine concentrations, those molecules do not have enough oxidant available to undergo oxidation and react preferentially with the quinones or semiquinones formed upon oxidation to yield catechol-containing aggregates or polymers rather than catechol or dopamine molecules binding on nucleophilic sites present on the gelatin. This excess of introduced catechol or dopamine is hence useless to further crosslink the gels. For catechol or dopamine concentrations lower than 20 mM, there are not enough quinones able to react with nucleophiles on gelatin, and there remains the possibility to increase the thermomechanical properties of the hydrogel by adding more solutes able to undergo oxidation.
 - (2)
 
2.3. Morphological Characterizations of the Catechol- and Dopamine-Containing Hydrogels
3. Conclusions
4. Materials and Methods
4.1. Chemicals
4.2. Hydrogels Preparation
4.3. Characterization Methods
4.3.1. Rheological Experiments
4.3.2. UV-Vis Spectra
4.3.3. FTIR-ATR Spectra
4.3.4. Digital Microscopy
4.3.5. Scanning Electron Microscopy
Supplementary Materials
Author Contributions
Funding
Institutional Review Board Statement
Informed Consent Statement
Data Availability Statement
Conflicts of Interest
References
- Khademhosseini, A.; Langer, R. Microengineered Hydrogels for Tissue Engineering. Biomaterials 2007, 28, 5087–5092. [Google Scholar] [CrossRef] [PubMed]
 - Hoare, T.R.; Kohane, D.S. Hydrogels in Drug Delivery: Progress and Challenges. Polymer 2008, 49, 1993–2007. [Google Scholar] [CrossRef]
 - Larrañeta, E.; Stewart, S.; Ervine, M.; Al-Kasasbeh, R.; Donnelly, R. Hydrogels for Hydrophobic Drug Delivery. Classification, Synthesis and Applications. JFB 2018, 9, 13. [Google Scholar] [CrossRef] [PubMed]
 - Bhagat, V.; Becker, M.L. Degradable Adhesives for Surgery and Tissue Engineering. Biomacromolecules 2017, 18, 3009–3039. [Google Scholar] [CrossRef] [PubMed]
 - Duarte, A.P.; Coelho, J.F.; Bordado, J.C.; Cidade, M.T.; Gil, M.H. Surgical Adhesives: Systematic Review of the Main Types and Development Forecast. Prog. Polym. Sci. 2012, 37, 1031–1050. [Google Scholar] [CrossRef]
 - Patil, N.; Jérôme, C.; Detrembleur, C. Recent Advances in the Synthesis of Catechol-Derived (Bio)Polymers for Applications in Energy Storage and Environment. Prog. Polym. Sci. 2018, 82, 34–91. [Google Scholar] [CrossRef]
 - Yoshida, H.; Hirozane, K.; Kamiya, A. Adhesive Strength of Autologous Fibrin Glue. Biol. Pharm. Bull. 2000, 23, 313–317. [Google Scholar] [CrossRef][Green Version]
 - Donkerwolcke, M.; Burny, F.; Muster, D. Tissues and Bone Adhesives—Historical Aspects. Biomaterials 1998, 19, 1461–1466. [Google Scholar] [CrossRef]
 - Lee, B.P.; Messersmith, P.B.; Israelachvili, J.N.; Waite, J.H. Mussel-Inspired Adhesives and Coatings. Annu. Rev. Mater. Res. 2011, 41, 99–132. [Google Scholar] [CrossRef]
 - Nicklisch, S.C.T.; Waite, J.H. Mini-Review: The Role of Redox in Dopa-Mediated Marine Adhesion. Biofouling 2012, 28, 865–877. [Google Scholar] [CrossRef]
 - Rahimnejad, M.; Zhong, W. Mussel-Inspired Hydrogel Tissue Adhesives for Wound Closure. RSC Adv. 2017, 7, 47380–47396. [Google Scholar] [CrossRef]
 - Saiz-Poseu, J.; Mancebo-Aracil, J.; Nador, F.; Busqué, F.; Ruiz-Molina, D. The Chemistry behind Catechol-Based Adhesion. Angew. Chem. Int. Ed. 2019, 58, 696–714. [Google Scholar] [CrossRef]
 - Lee, H.; Scherer, N.F.; Messersmith, P.B. Single-Molecule Mechanics of Mussel Adhesion. Proc. Natl. Acad. Sci. USA 2006, 103, 12999–13003. [Google Scholar] [CrossRef]
 - Yu, J.; Wei, W.; Danner, E.; Ashley, R.K.; Israelachvili, J.N.; Waite, J.H. Mussel Protein Adhesion Depends on Interprotein Thiol-Mediated Redox Modulation. Nat. Chem. Biol. 2011, 7, 588–590. [Google Scholar] [CrossRef]
 - Yang, J.; Cohen Stuart, M.A.; Kamperman, M. Jack of All Trades: Versatile Catechol Crosslinking Mechanisms. Chem. Soc. Rev. 2014, 43, 8271–8298. [Google Scholar] [CrossRef]
 - Faure, E.; Falentin-Daudré, C.; Jérôme, C.; Lyskawa, J.; Fournier, D.; Woisel, P.; Detrembleur, C. Catechols as Versatile Platforms in Polymer Chemistry. Pror. Polym. Sci. 2013, 38, 236–270. [Google Scholar] [CrossRef]
 - Ninan, L. Adhesive Strength of Marine Mussel Extracts on Porcine Skin. Biomaterials 2003, 24, 4091–4099. [Google Scholar] [CrossRef]
 - Loizou, E.; Weisser, J.T.; Dundigalla, A.; Porcar, L.; Schmidt, G.; Wilker, J.J. Structural Effects of Crosslinking a Biopolymer Hydrogel Derived from Marine Mussel Adhesive Protein. Macromol. Biosci. 2006, 6, 711–718. [Google Scholar] [CrossRef]
 - Malisova, B.; Tosatti, S.; Textor, M.; Gademann, K.; Zürcher, S. Poly(Ethylene Glycol) Adlayers Immobilized to Metal Oxide Substrates Through Catechol Derivatives: Influence of Assembly Conditions on Formation and Stability. Langmuir 2010, 26, 4018–4026. [Google Scholar] [CrossRef]
 - Burke, K.A.; Roberts, D.C.; Kaplan, D.L. Silk Fibroin Aqueous-Based Adhesives Inspired by Mussel Adhesive Proteins. Biomacromolecules 2016, 17, 237–245. [Google Scholar] [CrossRef]
 - Jin, R.; Hiemstra, C.; Zhong, Z.; Feijen, J. Enzyme-Mediated Fast in Situ Formation of Hydrogels from Dextran–Tyramine Conjugates. Biomaterials 2007, 28, 2791–2800. [Google Scholar] [CrossRef]
 - Kurisawa, M.; Chung, J.E.; Yang, Y.Y.; Gao, S.J.; Uyama, H. Injectable Biodegradable Hydrogels Composed of Hyaluronic Acid–Tyramine Conjugates for Drug Delivery and Tissue Engineering. Chem. Commun. 2005, 34, 4312–4314. [Google Scholar] [CrossRef]
 - Burke, S.A.; Ritter-Jones, M.; Lee, B.P.; Messersmith, P.B. Thermal Gelation and Tissue Adhesion of Biomimetic Hydrogels. Biomed. Mater. 2007, 2, 203–210. [Google Scholar] [CrossRef]
 - Shao, H.; Bachus, K.N.; Stewart, R.J. A Water-Borne Adhesive Modeled after the Sandcastle Glue of P. californica: A Water-Borne Adhesive Modeled after the Sandcastle Glue of P. californica. Macromol. Biosci. 2009, 9, 464–471. [Google Scholar] [CrossRef]
 - Liu, Y.; Meng, H.; Konst, S.; Sarmiento, R.; Rajachar, R.; Lee, B.P. Injectable Dopamine-Modified Poly(Ethylene Glycol) Nanocomposite Hydrogel with Enhanced Adhesive Property and Bioactivity. ACS Appl. Mater. Interfaces 2014, 6, 16982–16992. [Google Scholar] [CrossRef]
 - Cencer, M.; Murley, M.; Liu, Y.; Lee, B.P. Effect of Nitro-Functionalization on the Cross-Linking and Bioadhesion of Biomimetic Adhesive Moiety. Biomacromolecules 2015, 16, 404–410. [Google Scholar] [CrossRef]
 - Oh, D.X.; Kim, S.; Lee, D.; Hwang, D.S. Tunicate-Mimetic Nanofibrous Hydrogel Adhesive with Improved Wet Adhesion. Acta Biomater. 2015, 20, 104–112. [Google Scholar] [CrossRef]
 - Feng, J.; Ton, X.-A.; Zhao, S.; Paez, J.; del Campo, A. Mechanically Reinforced Catechol-Containing Hydrogels with Improved Tissue Gluing Performance. Biomimetics 2017, 2, 23. [Google Scholar] [CrossRef] [PubMed]
 - Jenkins, C.L.; Siebert, H.M.; Wilker, J.J. Integrating Mussel Chemistry into a Bio-Based Polymer to Create Degradable Adhesives. Macromolecules 2017, 50, 561–568. [Google Scholar] [CrossRef]
 - Han, N.; Xu, Z.; Cui, C.; Li, Y.; Zhang, D.; Xiao, M.; Fan, C.; Wu, T.; Yang, J.; Liu, W. Fe3+-Crosslinked Pyrogallol-Tethered Gelatin Adhesive HydrogeDlOwI: 1i0t.1h039/D0BM00188K Antibacterial Activity for Wound Healing. Biomater. Sci. 2020, 8, 3164–3172. [Google Scholar] [CrossRef] [PubMed]
 - Balkenende, D.W.R.; Winkler, S.M.; Li, Y.; Messersmith, P.B. Supramolecular Cross-Links in Mussel-Inspired Tissue Adhesives. ACS Macro Lett. 2020, 9, 1439–1445. [Google Scholar] [CrossRef]
 - Mateescu, M.; Baixe, S.; Garnier, T.; Jierry, L.; Ball, V.; Haikel, Y.; Metz-Boutigue, M.H.; Nardin, M.; Schaaf, P.; Etienne, O.; et al. Antibacterial Peptide-Based Gel for Prevention of Medical Implanted-Device Infection. PLoS ONE 2015, 10, e0145143. [Google Scholar] [CrossRef]
 - Zhang, W.; Wang, R.; Sun, Z.; Zhu, X.; Zhao, Q.; Zhang, T.; Cholewinski, A.; Yang, F.; Zhao, B.; Pinnaratip, R.; et al. Catechol-Functionalized Hydrogels: Biomimetic Design, Adhesion Mechanism, and Biomedical Applications. Chem. Soc. Rev. 2020, 49, 433–464. [Google Scholar] [CrossRef]
 - Handique, J.G.; Baruah, J.B. Polyphenolic Compounds: An Overview. React. Funct. Polym. 2002, 52, 163–188. [Google Scholar] [CrossRef]
 - Kim, K.; Shin, M.; Koh, M.-Y.; Ryu, J.H.; Lee, M.S.; Hong, S.; Lee, H. TAPE: A Medical Adhesive Inspired by a Ubiquitous Compound in Plants. Adv. Funct. Mater. 2015, 25, 2402–2410. [Google Scholar] [CrossRef]
 - Chen, Y.-N.; Peng, L.; Liu, T.; Wang, Y.; Shi, S.; Wang, H. Poly(Vinyl Alcohol)–Tannic Acid Hydrogels with Excellent Mechanical Properties and Shape Memory Behaviors. ACS Appl. Mater. Interfaces 2016, 8, 27199–27206. [Google Scholar] [CrossRef]
 - Nam, H.G.; Nam, M.G.; Yoo, P.J.; Kim, J.-H. Hydrogen Bonding-Based Strongly Adhesive Coacervate Hydrogels Synthesized Using Poly(N-Vinylpyrrolidone) and Tannic Acid. Soft Matter 2019, 15, 785–791. [Google Scholar] [CrossRef]
 - Back, F.; Ball, V.; Arntz, Y. Influence of the NaIO4 Concentration on the Gelation and the Adhesive Strength of Pyrocatechol/Pyrogallol Containing Gelatin Hydrogels. Front. Mater. 2021, 8, 671451. [Google Scholar] [CrossRef]
 - Gilsenan, P. Rheological Characterisation of Gelatins from Mammalian and Marine Sources. Food Hydrocoll. 2000, 14, 191–195. [Google Scholar] [CrossRef]
 - Gilsenan, P.M.; Ross-Murphy, S.B. Shear Creep of Gelatin Gels from Mammalian and Piscine Collagens. Int. J. Biol. Macromol. 2001, 29, 53–61. [Google Scholar] [CrossRef]
 - Da Silva, M.A.; Arêas, E.P.G. Solvent-Induced Lysozyme Gels: Rheology, Fractal Analysis, and Sol–Gel Kinetics. J. Colloid Interface Sci. 2005, 289, 394–401. [Google Scholar] [CrossRef]
 - Hermanson, G.T. The Reactions of Bioconjugation. In Bioconjugate Techniques; Elsevier: Amsterdam, The Netherlands, 2013; pp. 229–258. ISBN 978-0-12-382239-0. [Google Scholar]
 - Bisaglia, M.; Mammi, S.; Bubacco, L. Kinetic and Structural Analysis of the Early Oxidation Products of Dopamine. J. Biol. Chem. 2007, 282, 15597–15605. [Google Scholar] [CrossRef]
 - Yang, J.; Saggiomo, V.; Velders, A.H.; Cohen Stuart, M.A.; Kamperman, M. Reaction Pathways in Catechol/Primary Amine Mixtures: A Window on Crosslinking Chemistry. PLoS ONE 2016, 11, e0166490. [Google Scholar] [CrossRef]
 - Lee, D.H.; Arisaka, Y.; Tonegawa, A.; Kang, T.W.; Tamura, A.; Yui, N. Cellular Orientation on Repeatedly Stretching Gelatin Hydrogels with Supramolecular Cross-Linkers. Polymers 2019, 11, 2095. [Google Scholar] [CrossRef]
 - Júnior, Z.S.S.; Botta, S.B.; Ana, P.A.; França, C.M.; Fernandes, K.P.S.; Mesquita-Ferrari, R.A.; Deana, A.; Bussadori, S.K. Effect of Papain-Based Gel on Type I Collagen—Spectroscopy Applied for Microstructural Analysis. Sci. Rep. 2015, 5, 11448. [Google Scholar] [CrossRef]
 - El Yakhlifi, S.; Ball, V. Polydopamine as a Stable and Functional Nanomaterial. Colloids Surf. B 2020, 186, 110719. [Google Scholar] [CrossRef]
 - Amaral-Labat, G.; Sahimi, M.; Pizzi, A.; Fierro, V.; Celzard, A. Mechanical Properties of Heat-Treated Organic Foams. Phys. Rev. E 2013, 87, 32156. [Google Scholar] [CrossRef]
 









| Adhesive Material | Substrates | Adhesion Strength | Ref. | 
|---|---|---|---|
| Dopamine-modified silk | Aluminum | 135 ± 15 kPa | [20] | 
| Mixture of proteins from Mytilus edulis | Porcine skin | Dry conditions (25 °C, 40% relative humidity) after 24 h: 0.33 ± 0.17 MPa Wet conditions (37 °C, 80% relative humidity) after 24 h: 0.93 ± 0.32 MPa  | [17] | 
| Complex coacervates made from mixtures of copolymers, the anionic one containing phosphate and dopamine groups, the cationic one containing primary amino groups. | Cortical bone | 120 kPa | [24] | 
| Poly((3,4-dihydroxymandelic acid)x-co-(lactic acid)1−x) | Aluminum, dry state Aluminum, wet state Sanded steel, dry state Teflon, dry state  | 2.6 ± 0.4 Mpa 1.0 ± 0.3 MPa 1.7 ± 0.5 MPa 0.32 ± 0.05 MPa  | [29] | 
| 4-arm PEG (Mw = 104 g·mol−1) modified with catechol + collagen (0.1% w/v) + hydroxyapatite (2.5% w/v). Crosslinking with 120 mM NaIO4. | Skin tissue covered with blood | 40 kPa | [28] | 
| 4-arm PEG (150 mg·mL−1 + Laponite (0–2 wt%), NaIO4/dopamine ratio of 0.5 | Bovine pericardium | Laponite free gel: 3.5 ± 1.2 kPa | [25] | 
| Laponite at 2 wt%: 7.9 ± 1.8 kPa | |||
| 4-arm PEG modified with dopamine or nitrodopamine | Bovine pericardium, in wet conditions | Nitrodopamine: 4.0 ± 1.0 kPa at pH = 6.7 and 7.4 Dopamine: 1.8 ± 0.2 kPa at pH 6.7 8.0 ± 1.5 kPa at pH = 7.4  | [26] | 
| 4-arm PEG modified with dopamine, with NaIO4 loaded liposomes. Gelation was thermally triggered. | Bovine skin | 35 ± 12.5 kPa | [23] | 
| Chitin modified with pyrogallol, crosslinked with NaIO4 | Bovine skin | 215 kPa | [27] | 
| Gelatin modified with 2,3,4-trihydroxybenzaldehyde | PMMA | 136.7 ± 1.4 kPa | [30] | 
| Iron | 147.3 ± 6.3 kPa | ||
| Glass | 92.9 ± 7.4 kPa | ||
| Pig skin | 56.5 ± 4.4 kPa | ||
| Polymer containing dopamine and ureido-4-pirimidinoneside chains plus 2-ethyhexyl side chains (to induce phase microphase separation) | Bovine pericardium | 122.4 ± 42.4 kPa | [31] | 
| Alginate modified with 15% of the monomers modified with catechols. | Titanium and gingiva | 30 ± 5 kPa | [32] | 
| 4-arm PEG modified with -NH2 or OH groups mixed with Tannic acid (TA) | Epidermic side of porcine skin | TA+PEG-NH2: 0.17 ± 0.01 MPa TA-PEG-OH: 0.13 ± 0.01 MPa  | [35] | 
| Poly(N-vinylpyrrolidone) mixed with Tannic acid | Glass | 3.71 MPa | [37] | 
| Gelatin blended with 20 mM pyrocatechol or 20 mM dopamine + 10 mM NaIO4, 3 h of gelation | Stainless Steel | Dopamine:  89 ± 5 kPa Catechol: 99 ± 14 kPa  | This investigation | 
| Gelatin blended with 10 mM pyrocatechol + 30 mM NaIO4, 3 h of gelation | Stainless steel | 80 ± 10 kPa | [38] | 
Publisher’s Note: MDPI stays neutral with regard to jurisdictional claims in published maps and institutional affiliations.  | 
© 2022 by the authors. Licensee MDPI, Basel, Switzerland. This article is an open access article distributed under the terms and conditions of the Creative Commons Attribution (CC BY) license (https://creativecommons.org/licenses/by/4.0/).
Share and Cite
Back, F.; Mathieu, E.; Betscha, C.; El Yakhlifi, S.; Arntz, Y.; Ball, V. Optimization of the Elasticity and Adhesion of Catechol- or Dopamine-Loaded Gelatin Gels under Oxidative Conditions. Gels 2022, 8, 210. https://doi.org/10.3390/gels8040210
Back F, Mathieu E, Betscha C, El Yakhlifi S, Arntz Y, Ball V. Optimization of the Elasticity and Adhesion of Catechol- or Dopamine-Loaded Gelatin Gels under Oxidative Conditions. Gels. 2022; 8(4):210. https://doi.org/10.3390/gels8040210
Chicago/Turabian StyleBack, Florence, Eric Mathieu, Cosette Betscha, Salima El Yakhlifi, Youri Arntz, and Vincent Ball. 2022. "Optimization of the Elasticity and Adhesion of Catechol- or Dopamine-Loaded Gelatin Gels under Oxidative Conditions" Gels 8, no. 4: 210. https://doi.org/10.3390/gels8040210
APA StyleBack, F., Mathieu, E., Betscha, C., El Yakhlifi, S., Arntz, Y., & Ball, V. (2022). Optimization of the Elasticity and Adhesion of Catechol- or Dopamine-Loaded Gelatin Gels under Oxidative Conditions. Gels, 8(4), 210. https://doi.org/10.3390/gels8040210
        
                                                
