New Hydrogel Network Based on Alginate and a Spiroacetal Copolymer
Abstract
:1. Introduction
2. Results and Discussion
2.1. FTIR Spectra
2.2. SEM Studies
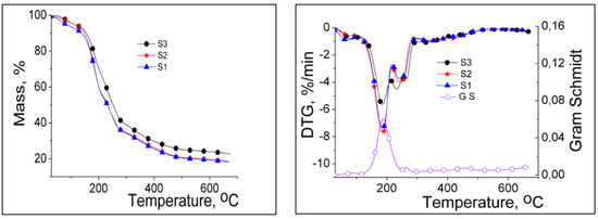
2.3. Thermal Degradation
2.4. Swelling Study
2.5. Release Study
3. Materials and Methods
3.1. Materials
3.2. Copolymer Synthesis
3.3. Bioconjugate Samples Preparation
3.4. Bioactive Compound Preparation
3.5. Characterization of PITAU–Alg Gels
3.5.1. FT–IR Spectra
3.5.2. SEM Studies
3.5.3. Thermal Analysis
3.5.4. The Swelling Studies
3.5.5. The Release Study
4. Conclusions
Author Contributions
Funding
Conflicts of Interest
References
- Nita, L.E.; Chiriac, A.P.; Bercea, M.; Ghilan, A.; Rusu, A.G.; Dumitriu, R.P.; Mititelu–Tartau, L. Multifunctional hybrid 3D network based on hyaluronic acid and a copolymer containing pendant spiroacetal moieties. Int. J. Biol. Macromol. 2019, 125, 191–202. [Google Scholar] [CrossRef] [PubMed]
- Fisher, O.Z.; Khademhosseini, A.; Langer, R.; Peppas, N.A. Bioinspired materials for controlling stem cell fate. Acc. Chem. Res. 2010, 43, 419–428. [Google Scholar] [CrossRef] [PubMed] [Green Version]
- Fajardo, A.R.; Pereira, A.G.B.; Rubira, A.F.; Valente, A.J.M.; Muniza, E.C. Stimuli responsive polysaccharide–based hydrogels. In Polysaccharide Hydrogels Characterization and Biomedical Applications; Matricardi, P., Alhaique, F., Coviello, T., Eds.; Taylor & Francis Group: Abingdon-on-Thames, UK, 2016. [Google Scholar]
- Costa, D.; Valente, A.J.M.; Miguel, M.G.; Queiroz, J. Gel network photodisruption: A new strategy for the codelivery of plasmid DNA and drugs. Langmuir 2011, 27, 13780–13789. [Google Scholar] [CrossRef] [PubMed]
- Dugan, J.M.; Gough, J.E.; Eichhorn, S.J. Bacterial cellulose scaffolds and cellulose nanowhiskers for tissue engineering. Nanomedicine 2013, 8, 287–298. [Google Scholar] [CrossRef] [PubMed]
- Durst, C.A.; Cuchiara, M.P.; Mansfield, E.G.; West, J.L.; Grande–Allen, K.J. Flexural characterization of cell encapsulated PEGDA hydrogels with applications for tissue engineered heart valves. Acta Biomater. 2011, 7, 2467–2476. [Google Scholar] [CrossRef] [PubMed] [Green Version]
- Van Vlierberghe, S.; Dubruel, P.; Schacht, E. Biopolymerbased hydrogels as scaffolds for tissue engineering applications: A review. Biomacromolecules 2011, 12, 1387–1408. [Google Scholar] [CrossRef] [PubMed]
- Diaconu, A.; Nita, L.E.; Chiriac, A.P.; Mititelu–Tartau, L.; Doroftei, F.; Vasile, C.; Pinteala, M. Self-linked polymer gels [based on hyaluronic acid and poly(itaconic anhydride-co-3,9-divinyl-2,4,8,10-tetraoxaspiro[5.5]undecane)] as potential drug delivery networks. In Proceedings of the 5th IEEE International Conference on E-Health and Bioengineering—EHB, Iasi, Romania, 19–21 November 2015. [Google Scholar]
- Callesa, J.A.; Tártarac, L.I.; Lopez-Garcíad, A.; Dieboldd, Y.; Palmac, S.D.; Vallésa, E.M. Novel bioadhesive hyaluronan–itaconic acid crosslinked films for ocular therapy. Int. J. Pharm. 2013, 455, 48–56. [Google Scholar] [CrossRef] [PubMed]
- Hoarea, T.R.; Kohaneb, D.S. Hydrogels in drug delivery: Progress and challenges. Polymer 2008, 49, 1993–2007. [Google Scholar] [CrossRef] [Green Version]
- Borzacchiello, A.; Mayol, L.; Ramires, P.A.; Bartolo, C.; Pastorello, A.; Ambrosio, L.; Milella, E. Structural and rheological characterization of hyaluronic acid–based scaffolds for adipose tissue engineering. Biomaterials 2007, 28, 4399–4408. [Google Scholar] [CrossRef] [PubMed]
- Borzacchiello, A.; Mayol, L.; Schiavinato, A.; Ambrosio, L. Effect of hyaluronic acid amide derivative on equine synovial fluid viscoelasticity. J. Biomed. Mater. Res. A 2010, 92, 1162–1170. [Google Scholar] [CrossRef] [PubMed]
- Maltese, A.; Bucalo, C.; Maugeri, F.; Borzacchiello, A.; Mayol, L.; Nicolais, L.; Ambrosio, L. Novel polysaccharides based viscoelastic formulations for ophthalmic surgery: Rheological characterization. Biomaterials 2006, 27, 5134–5142. [Google Scholar] [CrossRef] [PubMed]
- Imrea, B.; Garcíab, L.; Pugliad, D.; Vilaplana, F. Reactive compatibilization of plant polysaccharides and biobased polymers: Review on current strategies, expectations and reality. Carbohydr. Polym. 2019, 209, 20–37. [Google Scholar] [CrossRef] [PubMed]
- Vasile, C.; Pamfil, D.; Stoleru, E.; Baican, M. New Developments in Medical Applications of Hybrid Hydrogels Containing Natural Polymers. Molecules 2020, 25, 1539. [Google Scholar] [CrossRef] [Green Version]
- Rippe, M.; Cosenza, V.; Auzely–Velty, R. Design of Soft Nanocarriers Combining Hyaluronic Acid with Another Functional Polymer for Cancer Therapy and Other Biomedical Applications. Pharmaceutics 2019, 11, 338. [Google Scholar] [CrossRef] [PubMed] [Green Version]
- Hu, Y.; Hu, S.; Zhang, S.; Dong, S.; Hu, J.; Kang, L.; Yang, X. A double-layer hydrogel based on alginate–carboxymethyl cellulose and synthetic polymer as sustained drug delivery system. Sci. Rep. 2021, 11, 9142. [Google Scholar] [CrossRef] [PubMed]
- Diaconu, A.; Nita, L.E.; Bercea, M.; Chiriac, A.P.; Rusu, A.G.; Rusu, D. Hyaluronic acid gels with tunable properties by conjugating with a synthetic copolymer. Biochem. Eng. J. 2017, 125, 135–143. [Google Scholar] [CrossRef]
- Chiriac, A.P.; Nita, L.E.; Diaconu, A.; Bercea, M.; Tudorachi, N.; Pamfil, D.; Mititelu-Tartau, L. Hybrid gels by conjugation of hyaluronic acid with poly(itaconic anhydride-co-3,9-divinyl-2,4,8,10-tetraoxaspiro[5.5]undecane) copolymers. Int. J. Biol. Macromol. 2017, 98, 407–418. [Google Scholar] [CrossRef] [PubMed]
- Diaconu, A.; Chiriac, A.P.; Nita, L.E.; Tudorachi, N.; Neamtu, I.; Vasile, C.; Pinteala, M. Design and synthesis of a new polymer network containing pendant spiroacetal moieties. Des. Monomers Polym. 2015, 18, 780–788. [Google Scholar] [CrossRef]
- Shang, S.; Huang, S.J.; Weiss, R.A. Synthesis and characterization of itaconic anhydride and stearyl methacrylate copolymers. Polymer 2009, 50, 3119–3127. [Google Scholar] [CrossRef]
- Liua, Y.; Zhang, C.J.; Zhao, J.C.; Guo, Y.; Zhu, P.; Wang, D.Y. Bio-based barium alginate film: Preparation, flame retardancy and thermal degradation behavior. Carbohydr. Polym. 2016, 139, 106–114. [Google Scholar] [CrossRef] [PubMed] [Green Version]
- Search for Species Data by Chemical Name. Available online: http://webbook.nist.gov/chemistry/name–ser.html (accessed on 1 November 2021).
- TGA–IR User Manual, Bruker. Available online: https://www.bruker.com/en/products-and-solutions/infrared-and-raman/ft-ir-research-spectrometers/tg-ftir-thermogravimetric-analysis.html (accessed on 1 November 2021).
- Nita, L.E.; Chiriac, A.P.; Rusu, A.G.; Bercea, M.; Diaconu, A.; Tudorachi, N. Interpenetrating polymer network systems based on poly(dimethylaminoethyl methacrylate) and a copolymer containing pendant spiroacetal moieties. Mater. Sci. Eng. 2018, 87, 22–31. [Google Scholar] [CrossRef] [PubMed]
- Korsmeyer, R.W.; Lustig, S.R.; Peppas, N.A. Solute and penetrant diffusion in swellable polymers. I. Mathematical modeling. J. Polym. Sci. Part B Polym. Phys. 1986, 24, 395–408. [Google Scholar] [CrossRef]









| Sample | Degradation Stage | Tonset °C | Tpeak °C | W% | T20, °C | T40, °C | GS °C | 
|---|---|---|---|---|---|---|---|
| S3 | I | 40 | 84 | 5.18 | 181 | 227 | 86 | 
| II | 145 | 185 | 29.28 | 190 | |||
| III | 217 | 232 | 17.59 | 266 | |||
| IV | 259 | 264 | 9.27 | 340 | |||
| V | 309 | 325 | 16.13 | 460 | |||
| residue | 22.55 | ||||||
| S2 | I | 42 | 86 | 4.15 | 177 | 206 | |
| II | 147 | 193 | 40.79 | ||||
| III | 224 | 244 | 10.39 | ||||
| IV | 252 | 259 | 9.67 | ||||
| V | 309 | 347 | 16.26 | ||||
| residue | 18.74 | ||||||
| S1 | I | 34 | 71 | 6.52 | 172 | 203 | |
| II | 144 | 189 | 39.56 | ||||
| III | 224 | 243 | 11.28 | ||||
| IV | 255 | 258 | 8.35 | ||||
| V | 305 | 337 | 16.20 | ||||
| residue | 18.09 | 
| Sample Name | n | Rn2 | k (min−n) | Rk2 | 
|---|---|---|---|---|
| S1 | 0.4931 | 0.9976 | 0.0668 | 0.9971 | 
| S2 | 0.4055 | 0.9969 | 0.1209 | 0.9976 | 
| S3 | 0.5581 | 0.9982 | 0.0683 | 0.9989 | 
| Tested Samples | Gel Code | PITAU (g) | Alginate (g) | 
|---|---|---|---|
| S1 | PITAU_Alg_3_1 | 6.50 | 2.15 | 
| S2 | PITAU_Alg_2_1 | 5.00 | 2.50 | 
| S3 | PITAU_Alg_1.5_1 | 4.00 | 2.65 | 
| Publisher’s Note: MDPI stays neutral with regard to jurisdictional claims in published maps and institutional affiliations. | 
© 2021 by the authors. Licensee MDPI, Basel, Switzerland. This article is an open access article distributed under the terms and conditions of the Creative Commons Attribution (CC BY) license (https://creativecommons.org/licenses/by/4.0/).
Share and Cite
Sandu, A.E.; Nita, L.E.; Chiriac, A.P.; Tudorachi, N.; Rusu, A.G.; Pamfil, D. New Hydrogel Network Based on Alginate and a Spiroacetal Copolymer. Gels 2021, 7, 241. https://doi.org/10.3390/gels7040241
Sandu AE, Nita LE, Chiriac AP, Tudorachi N, Rusu AG, Pamfil D. New Hydrogel Network Based on Alginate and a Spiroacetal Copolymer. Gels. 2021; 7(4):241. https://doi.org/10.3390/gels7040241
Chicago/Turabian StyleSandu, Alina Elena, Loredana Elena Nita, Aurica P. Chiriac, Nita Tudorachi, Alina Gabriela Rusu, and Daniela Pamfil. 2021. "New Hydrogel Network Based on Alginate and a Spiroacetal Copolymer" Gels 7, no. 4: 241. https://doi.org/10.3390/gels7040241
APA StyleSandu, A. E., Nita, L. E., Chiriac, A. P., Tudorachi, N., Rusu, A. G., & Pamfil, D. (2021). New Hydrogel Network Based on Alginate and a Spiroacetal Copolymer. Gels, 7(4), 241. https://doi.org/10.3390/gels7040241
 
         
                                                

 
       