Effect of the Resorcinol/Formaldehyde Ratio and the Temperature of the Resorcinol–Formaldehyde Gel Solidification on the Chemical Stability and Sorption Characteristics of Ion-Exchange Resins
Abstract
:1. Introduction
2. Results and Discussion
2.1. Effect of the Resorcinol/Formaldehyde Molar Ratio and the Solidification Temperature on Chemical Stability and Sorption Characteristics of the Resulting Resins
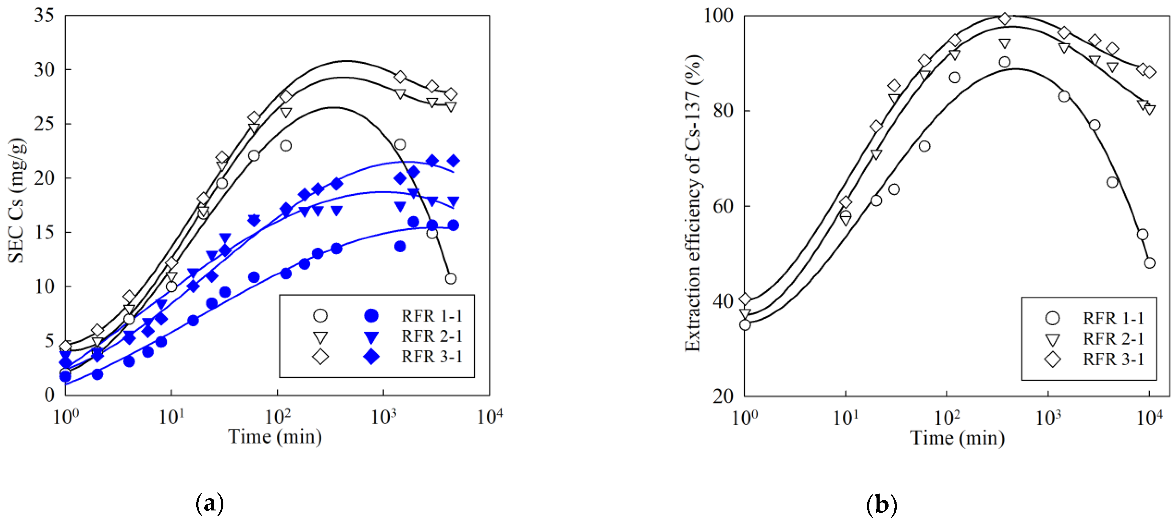
2.2. Removal of Cesium from a Model Solution Simulating the Clarified Part of Heterogeneous LRW
3. Conclusions
4. Materials and Methods
4.1. RFR Synthesis
4.2. Experimental Technique
4.2.1. Evaluation of the Effectiveness and Chemical Stability of RFR
4.2.2. Removal of Cesium from a Model Solution Simulating the Clarified Part of Heterogeneous LRW
4.3. Equipment and Software
Author Contributions
Funding
Institutional Review Board Statement
Informed Consent Statement
Data Availability Statement
Conflicts of Interest
References
- Hassan, N.M.; Adu-Wusu, K. Cesium Removal from Hanford Tank Waste Solution Using Resorcinol-Formaldehyde Resin. Solvent Extr. Ion Exch. 2005, 23, 375–389. [Google Scholar] [CrossRef]
- Duignan, M.R.; Nash, C.A. Removal of Cesium from Savannah River Site Waste with Spherical Resorcinol Formaldehyde Ion Exchange Resin: Experimental Tests. Sep. Sci. Technol. 2010, 45, 1828–1840. [Google Scholar] [CrossRef] [Green Version]
- Russel, R.L.; Fiskum, S.K.; Jagoda, L.K.; Poloski, A.P. AP-101 Diluted Feed (Envelope A) Simulant Development Report; Battelle, Pacific Northwest Division: Richland, WA, USA, 2003. [Google Scholar]
- Fiskum, S.K.; Colburn, H.A.; Rovira, A.M.; Allred, J.R.; Smoot, M.R.; Peterson, R.A.; Landon, M.R.; Colosi, K.A. Cesium Removal from AP-105 Hanford Tank Waste Using Spherical Resorcinol Formaldehyde Resin. Sep. Sci. Technol. 2019, 54, 1932–1941. [Google Scholar] [CrossRef]
- Fiskum, S.K.; Peterson, R.A.; Colburn, H.A.; Smoot, M.R.; Landon, M.R.; Colosi, K.A.; Wilson, R.A. Small- to Large-Scale Comparisons of Cesium Ion Exchange Performance with Spherical Resorcinol Formaldehyde Resin. Sep. Sci. Technol. 2019, 54, 1922–1931. [Google Scholar] [CrossRef]
- Kozlov, P.V.; Remizov, M.B.; Makarovskii, R.A.; Dementyeva, I.I.; Lupekha, N.A.; Zubrilovskii, E.N.; Kustov, S.V.; Miroshnichenko, A.A. Main Approaches, Experience, and Problems of Liquid Radioactive Waste of Complex Chemical Composition Accumulated in Tanks. Radioact. Waste (Radioakt. Otkhody) 2018, 4, 55–56. (In Russian) [Google Scholar]
- Pron, I.A.; Kolupaev, D.N.; Remizov, M.B.; Kozlov, P.V.; Koltyshev, V.K.; Logunov, M.V. Processing of High-Activity Heterogeneous Waste of FSUE “Mayak PA”. Saf. Nucleatr Technol. Environ. (Bezop. Yad. Tekhnologii I Okruz. Sredy) 2013, 1, 22–28. (In Russian) [Google Scholar]
- Logunov, M.V.; Karpov, V.I.; Druzhinina, N.E.; Tananaev, I.G. Approaches to Processing of High-Activity Pulps Accumulated at FSUE “Mayak PA”. Probl. Radiat. Saf. (Vopr. Radiatsionnoi Bezop.) 2011, 1, 15–28. (In Russian) [Google Scholar]
- Milyutin, V.V.; Mikheev, S.V.; Gelis, V.M.; Kozlitin, E.A. Sorption of Cesium on Ferrocyanide Sorbents from Highly Saline Solutions. Radiochemistry 2009, 51, 298–300. [Google Scholar] [CrossRef]
- Zicman, L.R.; Neacsu, E.; Done, L.; Tugulan, L.; Dragolici, F.; Obreja, B.T.; Dobre, T. Removal of 137Cs ions from aqueous radioactive waste using nickel ferrocyanide, precipitated on silica gel. Bull. Rom. Chem. Eng. Soc. 2015, 2, 84–99. [Google Scholar]
- Nilchi, A.; Atashi, H.; Javid, A.H.; Saberi, R. Preparations of PAN-Based Adsorbers for Separation of Cesium and Cobalt from Radioactive Wastes. Appl. Radiat. Isot. 2007, 65, 482–487. [Google Scholar] [CrossRef] [PubMed]
- Kozlov, P.V.; Kazadaev, A.A.; Makarovskii, R.A.; Remizov, M.B.; Verbitskii, K.V.; Logunov, M.V. Development of a Process for Cesium Recovery from the Clarified Phase of High-Level Waste Storage Tanks of the Mayak Production Association with a Ferrocyanide Sorbent. Radiochemistry 2016, 58, 295–301. [Google Scholar] [CrossRef]
- Milyutin, V.V.; Gelis, V.M.; Ershov, B.G.; Seliverstov, A.F. Effect of Complexing Agents and Surfactants on Coprecipitation of Cesium Radionuclides with Nickel Ferrocyanide. Radiochemistry 2011, 50, 67–69. [Google Scholar] [CrossRef]
- Milyutin, V.V.; Zelenin, P.G.; Kozlov, P.V.; Remizov, M.B.; Kondrutskii, D.A. Sorption of Cesium from Alkaline Solutions onto Resorcinol-Formaldehyde Sorbents. Radiochemistry 2019, 61, 714–718. [Google Scholar] [CrossRef]
- Brown, G.N.; Russell, R.L.; Peterson, R.A. Small-Column Cesium Ion Exchange Elution Testing of Spherical Resorcinol-Formaldehyde; Pacific Northwest National Laboratory: Richland, WA, USA, 2011. [Google Scholar]
- Hubler, T.L.; Franz, J.A.; Shaw, W.J.; Bryan, S.; Hallen, R.; Brown, G.N.; Bray, L.A.; Linehan, J.C. Synthesis, Structural Characterization, and Performance Evaluation of Resorcinol-Formaldehyde (RF) Ion-Exchange Resin; Pacific Northwest Laboratory: Richland, WA, USA, 1995. [Google Scholar] [CrossRef] [Green Version]
- Hubler, T.L.; Shaw, W.J.; Brown, G.N.; Linehan, J.C.; Franz, J.A.; Hart, T.R.; Hogan, M.O. Chemical Derivation to Enhance the Chemical/Oxidative Stability of Resorcinol-Formaldehyde (R-F) Resin; Pacific Northwest National Lab.: Richland, WA, USA, 1996. [Google Scholar]
- Taguchi, S.; Nakatani, T.; Saeki, H.; Tayakout-Fayolle, M.; Itoh, K.; Yamamoto, T. Characterization of Resorcinol–Formaldehyde Hydrogel as Adsorbent for Cesium Ion. Adsorption 2021, 27, 81–90. [Google Scholar] [CrossRef]
- Egorin, A.M.; Tutov, M.V.; Didenko, N.A.; Slobodyuk, A.B.; Marinin, D.V.; Avramenko, V.A. Effect of Parameters of Thermal Treatment of Resorcinol-Formaldehyde Resins on Their Chemical Stability and Cs-137 Uptake Efficiency. J. Radioanal. Nucl. Chem. 2015, 304, 281–286. [Google Scholar] [CrossRef]
- Kim, M.G.; Wu, Y.; Amos, L.W. Polymer Structure of Cured Alkaline Phenol–Formaldehyde Resol Resins with Respect to Resin Synthesis Mole Ratio and Oxidative Side Reactions. J. Polym. Sci. Part A: Polym. Chem. 1997, 35, 3275–3285. [Google Scholar] [CrossRef]
- Mulik, S.; Sotiriou-Leventis, C.; Leventis, N. Time-Efficient Acid-Catalyzed Synthesis of Resorcinol−Formaldehyde Aerogels. Chem. Mater. 2007, 19, 6138–6144. [Google Scholar] [CrossRef]
- Shelkovnikova, L.A.; Gavlina, O.T.; Ivanov, V.A. Stability of Phenol-Formaldehyde Ion-Exchange Sorbents in Aqueous Solutions. Russ. J. Phys. Chem. 2011, 85, 1652. [Google Scholar] [CrossRef]
- Bibler, J.P.; Wallace, R.M. Cesium-Specific Phenolic Ion Exchange Resin. U.S. Patent 5,441,991, 15 August 1995. [Google Scholar]
- Bisutti, I.; Hilke, I.; Raessler, M. Determination of Total Organic Carbon–an Overview of Current Methods. TrAC Trends Anal. Chem. 2004, 23, 716–726. [Google Scholar] [CrossRef]
- Glagolenko, Y.V.; Drozhko, E.G.; Rovnyi, S.I. Main Directions of Activities of FSUE “Mayak PA” on Solving Ecological Problems Related to Its Past and Current Work. Probl. Radiat. Saf. (Vopr. Radiatsionnoi Bezop.) 2006, 1, 23–34. (In Russian) [Google Scholar]










| Peak No. | Organic Group | RFR 1-1 | RFR 2-1 | RFR 3-1 | |||
|---|---|---|---|---|---|---|---|
| CS, ppm | Area (%) | CS, ppm | Area (%) | CS, ppm | Area (%) | ||
| 1 | –CH3 | 9.85 | 3.50 | 10.05 | 2.85 | – | – |
| 2 | >HC-CH3 | 15.71 | 2.66 | 26.23 | 38.77 | 17.33 | 1.23 |
| 3 | –CH2–CH2- | 27.24 | 27.64 | – | 28.45 | 34.75 | |
| 4 | –CH2(OCH2)xOH | 55.25 | 3.32 | 49.79 | 3.23 | 48.48 | 3.25 |
| 5 | –CH2–O–CH2– | 78.39 | 1.35 | 75.77 | 1.26 | 75.67 | 1.22 |
| 6 | ˃HC–H | – | – | – | – | 106.29 | 4.03 |
| 4 | C2, C4, C6 | 119.02 | 36.17 | 119.83 | 28.71 | 120.24 | 25.05 |
| 8 | C1, C3 | 152.08 | 15.02 | 153.09 | 12.59 | 154.91 | 14.94 |
| 9 | C1, C3 | 160.67 | 3.04 | 160.37 | 3.00 | 161.88 | 2.48 |
| 10 | –CH=O | 180.08 | 1.05 | 180.99 | 1.02 | 180.92 | 0.98 |
| Parameter | Model Solution | |
|---|---|---|
| No. 1 | No. 2 | |
| Gmax | 0.42 ± 0.04 | 0.51 ± 0.01 |
| KSIPS | 1.8 ± 0.5 | 2.1 ± 0.1 |
| m | 0.43 ± 0.05 | 0.85 ± 0.02 |
| R2 | 0.994 | 0.999 |
| Cesium | Potassium | ||||
|---|---|---|---|---|---|
| Kd (mL/g) | SEC (mmol/g) | Desorption Efficiency (%) | Kd (mL/g) | SEC (mmol/g) | Desorption Efficiency (%) |
| 187 | 0.03 | 75 | 110 | 1.07 | 3.3 |
| Denotation | RFR 1-1 1 | RFR 2-1 | RFR 3-1 |
|---|---|---|---|
| Volume ratio of resorcinol/formalin solution | 1/1 | 2/1 | 3/1 |
| Resorcinol/formaldehyde molar ratio | 0.6/2.2 | 1.2/2.2 | 1.8/2.2 |
| Model Solution (No.) | Composition (mol/L) |
|---|---|
| 1 | NaOH–10−4 |
| 2 | NaOH–0.75, NaNO3–2.25 |
| 3 | KOH–0.75, KNO3–2.25 |
| Element | Content (g/L) |
|---|---|
| Na | 94 |
| Al | 5.6 |
| K | 0.7 |
| Cs | 0.055 |
| NO3 | 102 |
| NO2 | 33.4 |
| SO4 | 14.1 |
| CrO4 | 1.1 |
| SiO3 | 0.55 |
Publisher’s Note: MDPI stays neutral with regard to jurisdictional claims in published maps and institutional affiliations. |
© 2021 by the authors. Licensee MDPI, Basel, Switzerland. This article is an open access article distributed under the terms and conditions of the Creative Commons Attribution (CC BY) license (https://creativecommons.org/licenses/by/4.0/).
Share and Cite
Tokar, E.; Tutov, M.; Kozlov, P.; Slobodyuk, A.; Egorin, A. Effect of the Resorcinol/Formaldehyde Ratio and the Temperature of the Resorcinol–Formaldehyde Gel Solidification on the Chemical Stability and Sorption Characteristics of Ion-Exchange Resins. Gels 2021, 7, 239. https://doi.org/10.3390/gels7040239
Tokar E, Tutov M, Kozlov P, Slobodyuk A, Egorin A. Effect of the Resorcinol/Formaldehyde Ratio and the Temperature of the Resorcinol–Formaldehyde Gel Solidification on the Chemical Stability and Sorption Characteristics of Ion-Exchange Resins. Gels. 2021; 7(4):239. https://doi.org/10.3390/gels7040239
Chicago/Turabian StyleTokar, Eduard, Mikhail Tutov, Pavel Kozlov, Arseni Slobodyuk, and Andrei Egorin. 2021. "Effect of the Resorcinol/Formaldehyde Ratio and the Temperature of the Resorcinol–Formaldehyde Gel Solidification on the Chemical Stability and Sorption Characteristics of Ion-Exchange Resins" Gels 7, no. 4: 239. https://doi.org/10.3390/gels7040239
APA StyleTokar, E., Tutov, M., Kozlov, P., Slobodyuk, A., & Egorin, A. (2021). Effect of the Resorcinol/Formaldehyde Ratio and the Temperature of the Resorcinol–Formaldehyde Gel Solidification on the Chemical Stability and Sorption Characteristics of Ion-Exchange Resins. Gels, 7(4), 239. https://doi.org/10.3390/gels7040239

