Highly Efficient Removal of PFAS from Water Using Surface-Modified Regenerable Quaternized Chitosan Hydrogels
Abstract
1. Introduction
2. Results and Discussion
2.1. Characterization of Hydrogels
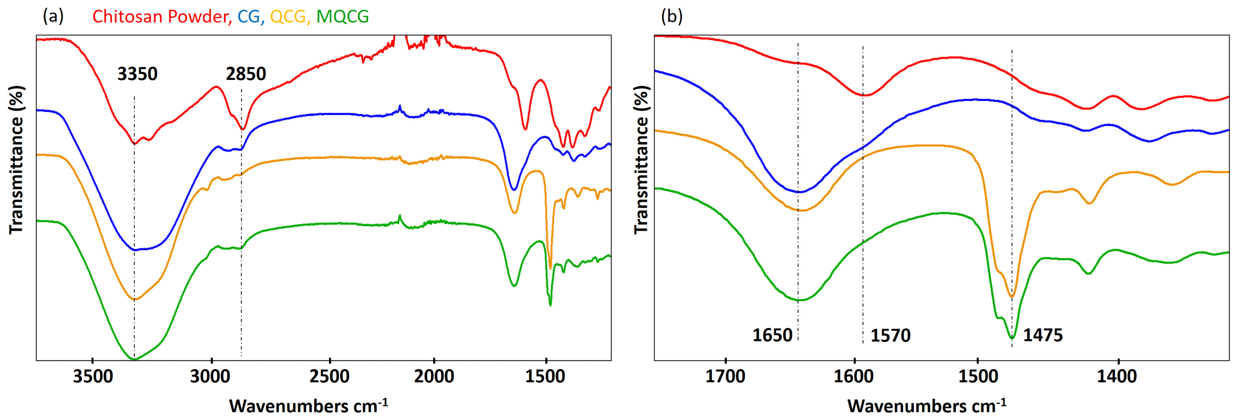
2.1.1. Fourier Transform Infrared–Attenuated Total Reflection Spectroscopy
2.1.2. Microscopy and Elemental Analysis
2.1.3. Zeta Potential Measurements
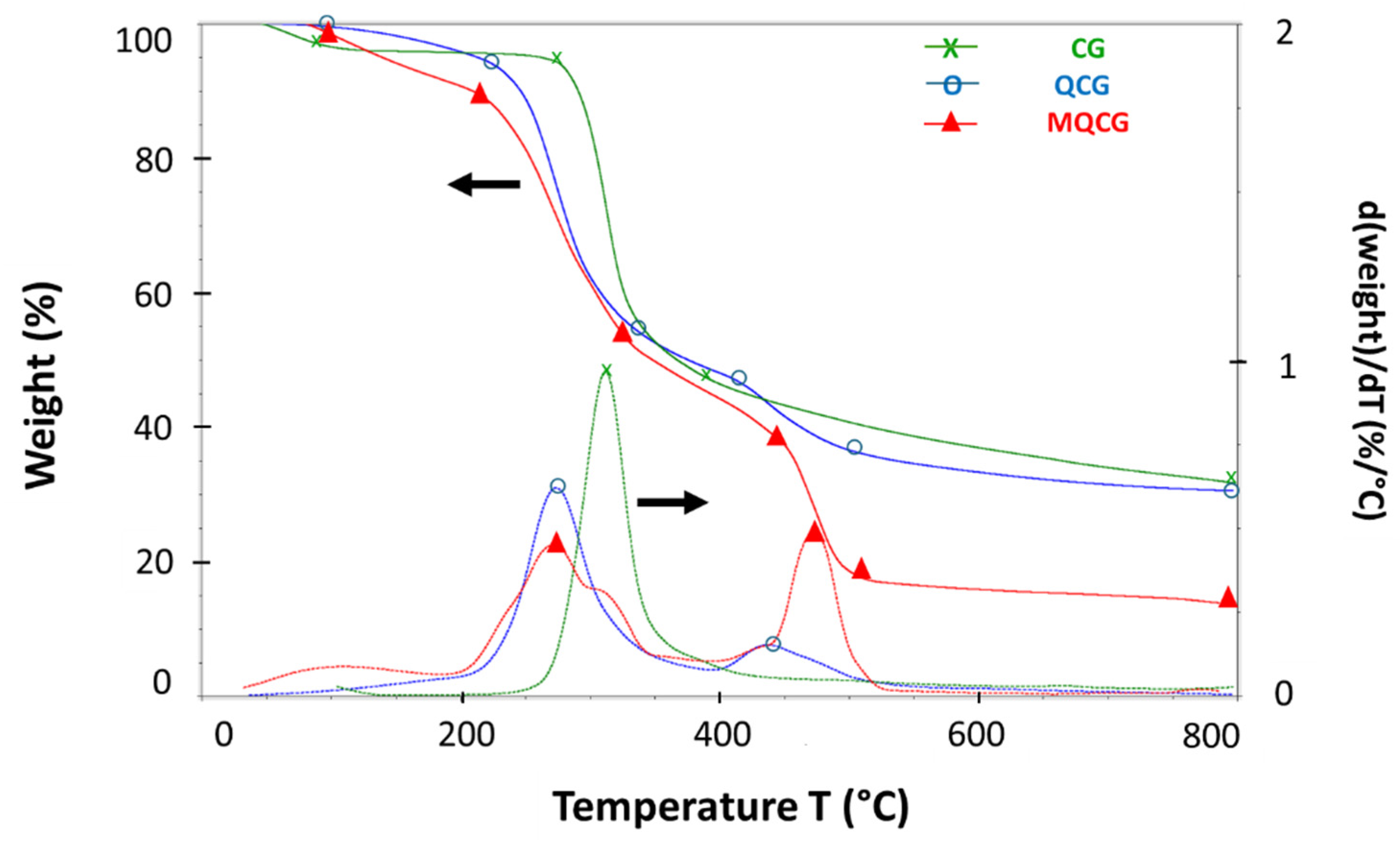
2.1.4. Thermogravimetric Analysis
2.1.5. BET Surface Area Measurements
2.2. PFAS Adsorption Performance
2.2.1. Removal Efficiency and Adsorption Capacity at Equilibrium
2.2.2. The Isotherm and Kinetics of the Adsorption of PFOS
2.2.3. The Effect of pH on PFAS Removal Efficiency
2.2.4. Regeneration Studies
2.2.5. PFAS Removal Efficiency in Simulated Tap Water
3. Conclusions
4. Materials and Methods
4.1. Materials
4.2. Synthesis and Surface Modification of Chitosan Hydrogels
4.2.1. Synthesis of Chitosan Hydrogels
4.2.2. Crosslinking of Chitosan Hydrogels
4.2.3. Surface Modification of Crosslinked Quaternized Chitosan Hydrogels
4.2.4. Quaternization of Chitosan Hydrogels
4.3. Characterization of Chitosan Hydrogels
4.3.1. Fourier Transform Infrared–Attenuated Total Reflectance Spectroscopy
4.3.2. Microscopy and Elemental Analysis
4.3.3. Thermogravimetric Analysis
4.3.4. Surface Area Measurement
4.3.5. Zeta Potential Measurements
4.4. Quantification of PFAS via Liquid Chromatography/Mass Spectroscopy Analysis
4.5. Equilibrium PFAS Removal Efficiency and Adsorption Capacity
4.6. Isotherm and Kinetics of Adsorption of PFAS on Hydrogels
4.7. The Effect of the Water pH on the Adsorption Efficiency of the Hydrogels
4.8. The Regenerability of the Hydrogels
4.9. The Removal Efficiency of PFAS from Simulated Tap Water
Supplementary Materials
Author Contributions
Funding
Institutional Review Board Statement
Informed Consent Statement
Data Availability Statement
Acknowledgments
Conflicts of Interest
References
- Brendel, S.; Fetter, É.; Staude, C.; Vierke, L.; Biegel-Engler, A. Short-Chain Perfluoroalkyl Acids: Environmental Concerns and a Regulatory Strategy under REACH. Environ. Sci. Eur. 2018, 30, 9. [Google Scholar] [CrossRef]
- Liu, F.; Pignatello, J.J.; Sun, R.; Guan, X.; Xiao, F. A Comprehensive Review of Novel Adsorbents for Per- and Polyfluoroalkyl Substances in Water. ACS EST Water 2024, 4, 1191–1205. [Google Scholar] [CrossRef]
- Patlewicz, G.; Judson, R.S.; Williams, A.J.; Butler, T.; Barone, S.; Carstens, K.E.; Cowden, J.; Dawson, J.L.; Degitz, S.J.; Fay, K.; et al. Development of Chemical Categories for Per- and Polyfluoroalkyl Substances (PFAS) and the Proof-of-Concept Approach to the Identification of Potential Candidates for Tiered Toxicological Testing and Human Health Assessment. Comput. Toxicol. 2024, 31, 100327. [Google Scholar] [CrossRef]
- Glüge, J.; Scheringer, M.; Cousins, I.T.; DeWitt, J.C.; Goldenman, G.; Herzke, D.; Lohmann, R.; Ng, C.A.; Trier, X.; Wang, Z. An Overview of the Uses of Per- and Polyfluoroalkyl Substances (PFAS). Environ. Sci. Process. Impacts 2020, 22, 2345–2373. [Google Scholar] [CrossRef] [PubMed]
- Gaines, L.G.T. Historical and Current Usage of Per- and Polyfluoroalkyl Substances (PFAS): A Literature Review. Am. J. Ind. Med. 2023, 66, 353–378. [Google Scholar] [CrossRef] [PubMed]
- Pan, S.; Guo, R.; Björnmalm, M.; Richardson, J.J.; Li, L.; Peng, C.; Bertleff-Zieschang, N.; Xu, W.; Jiang, J.; Caruso, F. Coatings Super-Repellent to Ultralow Surface Tension Liquids. Nat. Mater. 2018, 17, 1040–1047. [Google Scholar] [CrossRef]
- Zhao, P.; Xia, X.; Dong, J.; Xia, N.; Jiang, X.; Li, Y.; Zhu, Y. Short- and Long-Chain Perfluoroalkyl Substances in the Water, Suspended Particulate Matter, and Surface Sediment of a Turbid River. Sci. Total Environ. 2016, 568, 57–65. [Google Scholar] [CrossRef] [PubMed]
- Shabanian, S.; Lahiri, S.K.; Soltani, M.; Golovin, K. Durable Water- and Oil-Repellent Textiles without Long- or Short-Chain Perfluoroalkylated Substances. Mater. Today Chem. 2023, 34, 101786. [Google Scholar] [CrossRef]
- Capodaglio, A.G. Prospects of Novel Technologies for PFAS Destruction in Water and Wastewater. Appl. Sci. 2025, 15, 9311. [Google Scholar] [CrossRef]
- Joudan, S.; Gauthier, J.; Mabury, S.A.; Young, C.J. Aqueous Leaching of Ultrashort-Chain PFAS from (Fluoro)Polymers: Targeted and Nontargeted Analysis. Environ. Sci. Technol. Lett. 2024, 11, 168–174. [Google Scholar] [CrossRef]
- Yadav, S.; Ibrar, I.; Al-Juboori, R.A.; Singh, L.; Ganbat, N.; Kazwini, T.; Karbassiyazdi, E.; Samal, A.K.; Subbiah, S.; Altaee, A. Updated Review on Emerging Technologies for PFAS Contaminated Water Treatment. Chem. Eng. Res. Des. 2022, 182, 667–700. [Google Scholar] [CrossRef]
- Banks, D.; Jun, B.-M.; Heo, J.; Her, N.; Park, C.M.; Yoon, Y. Selected Advanced Water Treatment Technologies for Perfluoroalkyl and Polyfluoroalkyl Substances: A Review. Sep. Purif. Technol. 2020, 231, 115929. [Google Scholar] [CrossRef]
- Araújo, R.G.; Rodríguez-Hernandéz, J.A.; González-González, R.B.; Macias-Garbett, R.; Martínez-Ruiz, M.; Reyes-Pardo, H.; Hernández Martínez, S.A.; Parra-Arroyo, L.; Melchor-Martínez, E.M.; Sosa-Hernández, J.E.; et al. Detection and Tertiary Treatment Technologies of Poly-and Perfluoroalkyl Substances in Wastewater Treatment Plants. Front. Environ. Sci. 2022, 10, 864894. [Google Scholar] [CrossRef]
- Birru, R.L.; Liang, H.-W.; Farooq, F.; Bedi, M.; Feghali, M.; Haggerty, C.L.; Mendez, D.D.; Catov, J.M.; Ng, C.A.; Adibi, J.J. A Pathway Level Analysis of PFAS Exposure and Risk of Gestational Diabetes Mellitus. Environ. Health 2021, 20, 63. [Google Scholar] [CrossRef]
- Genualdi, S.; Beekman, J.; Carlos, K.; Fisher, C.M.; Young, W.; DeJager, L.; Begley, T. Analysis of Per- and Poly-Fluoroalkyl Substances (PFAS) in Processed Foods from FDA’s Total Diet Study. Anal. Bioanal. Chem. 2022, 414, 1189–1199. [Google Scholar] [CrossRef] [PubMed]
- Zhou, J.; Li, S.; Liang, X.; Feng, X.; Wang, T.; Li, Z.; Zhu, L. First Report on the Sources, Vertical Distribution and Human Health Risks of Legacy and Novel per- and Polyfluoroalkyl Substances in Groundwater from the Loess Plateau, China. J. Hazard. Mater. 2021, 404, 124134. [Google Scholar] [CrossRef] [PubMed]
- Kashani, M.B.; Rahimi, B.; Morose, G.; Salierno, G.; Kumar, J.; Nagarajan, R. A Comparative Study of Alkyl Chain Silanes and Poly Dimethyl Siloxane Liquid-like Brushes as PFAS-Free Liquid-Repellent Fabric Coatings. Prog. Org. Coat. 2024, 195, 108670. [Google Scholar] [CrossRef]
- Sharma, R.; Shelke, S.; Bagheri Kashani, M.; Morose, G.; Christuk, C.; Nagarajan, R. Safer and Effective Alternatives to Perfluoroalkyl-Based Surfactants in Etching Solutions for the Semiconductor Industry. J. Clean. Prod. 2023, 415, 137879. [Google Scholar] [CrossRef]
- Cheng, Y.; Wang, S.; Xu, Z.; Jiang, L.; Zhao, Y. Non-Fluorine Oil Repellency: To What Extent Can It Substitute Perfluoroalkyl Substances? Prog. Org. Coat. 2023, 183, 107726. [Google Scholar] [CrossRef]
- Quiñones, O.; Snyder, S.A. Occurrence of Perfluoroalkyl Carboxylates and Sulfonates in Drinking Water Utilities and Related Waters from the United States. Environ. Sci. Technol. 2009, 43, 9089–9095. [Google Scholar] [CrossRef]
- Daly, E.R.; Chan, B.P.; Talbot, E.A.; Nassif, J.; Bean, C.; Cavallo, S.J.; Metcalf, E.; Simone, K.; Woolf, A.D. Per- and Polyfluoroalkyl Substance (PFAS) Exposure Assessment in a Community Exposed to Contaminated Drinking Water, New Hampshire, 2015. Int. J. Hyg. Environ. Health 2018, 221, 569–577. [Google Scholar] [CrossRef]
- Tansel, B. PFAS Use in Electronic Products and Exposure Risks during Handling and Processing of E-Waste: A Review. J. Environ. Manage. 2022, 316, 115291. [Google Scholar] [CrossRef] [PubMed]
- Guardian, M.G.E.; Boongaling, E.G.; Bernardo-Boongaling, V.R.R.; Gamonchuang, J.; Boontongto, T.; Burakham, R.; Arnnok, P.; Aga, D.S. Prevalence of Per- and Polyfluoroalkyl Substances (PFASs) in Drinking and Source Water from Two Asian Countries. Chemosphere 2020, 256, 127115. [Google Scholar] [CrossRef]
- Adewuyi, A.; Li, Q. Per- and Polyfluoroalkyl Substances Contamination of Drinking Water Sources in Africa: Pollution Sources and Possible Treatment Methods. Chemosphere 2024, 365, 143368. [Google Scholar] [CrossRef]
- Shahrokhinia, A.; Tafazoli, S.; Rijal, S.; Shuster, D.B.; Scanga, R.A.; Morefield, D.J.; Garay, J.; Rocheleau, R.A.; Bagheri Kashani, M.; Nagarajan, R.; et al. Dynamic Worm-Gel Materials as Tunable, Regenerable Adsorbents for Water Treatment. Macromolecules 2024, 57, 628–639. [Google Scholar] [CrossRef]
- Dixit, F.; Dutta, R.; Barbeau, B.; Bérubé, P.; Mohseni, M. PFAS Removal by Ion Exchange Resins: A Review. Chemosphere 2021, 272, 129777. [Google Scholar] [CrossRef]
- Lu, J.; Lu, H.; Liang, D.; Feng, S.; Li, Y.; Li, J. A Review of the Occurrence, Monitoring, and Removal Technologies for the Remediation of per- and Polyfluoroalkyl Substances (PFAS) from Landfill Leachate. Chemosphere 2023, 332, 138824. [Google Scholar] [CrossRef]
- Shahrokhi, R.; Park, J. Enhanced Removal of Short- and Long-Chain per- and Poly-Fluoroalkyl Substances from Aqueous Phase Using Crushed Grafted Chitosan Beads: Performance and Mechanisms. Environ. Pollut. 2024, 340, 122836. [Google Scholar] [CrossRef]
- Smaili, H.; Ng, C.A. Adsorption as a Remediation Technology for Short-Chain per- and Polyfluoroalkyl Substances (PFAS) from Water—A Critical Review. Environ. Sci. Water Res. Technol. 2023, 9, 344–362. [Google Scholar] [CrossRef]
- Rahman, M.F.; Peldszus, S.; Anderson, W.B. Behaviour and Fate of Perfluoroalkyl and Polyfluoroalkyl Substances (PFASs) in Drinking Water Treatment: A Review. Water Res. 2014, 50, 318–340. [Google Scholar] [CrossRef] [PubMed]
- Ilango, A.K.; Mekkat, R.; Jeyalakshmi, V.; Pervez, M.N.; Jiang, T.; Chand, P.; Kumaran, Y.; Efstathiadis, H.; Sukalingum, D.; Soos, M.; et al. Enhanced Removal of PFAS in Water Using Activated ZIF-8 Carbons: High Adsorption Efficiency, Repeatable Regenerability and Reusability. Chem. Eng. J. 2025, 507, 160192. [Google Scholar] [CrossRef]
- Bhatnagar, A.; Sillanpää, M. Applications of Chitin- and Chitosan-Derivatives for the Detoxification of Water and Wastewater—A Short Review. Adv. Colloid Interface Sci. 2009, 152, 26–38. [Google Scholar] [CrossRef]
- Jeon, C.; Höll, W.H. Chemical Modification of Chitosan and Equilibrium Study for Mercury Ion Removal. Water Res. 2003, 37, 4770–4780. [Google Scholar] [CrossRef] [PubMed]
- Andreica, B.-I.; Cheng, X.; Marin, L. Quaternary Ammonium Salts of Chitosan. A Critical Overview on the Synthesis and Properties Generated by Quaternization. Eur. Polym. J. 2020, 139, 110016. [Google Scholar] [CrossRef]
- Gamage, A.; Shahidi, F. Use of Chitosan for the Removal of Metal Ion Contaminants and Proteins from Water. Food Chem. 2007, 104, 989–996. [Google Scholar] [CrossRef]
- Patel, P.K.; Uppaluri, R.V.S. Adsorption of Emerging Pollutants Utilizing Chitosan Derivatives: Recent Advances and Future Perspective. Int. J. Biol. Macromol. 2025, 299, 140203. [Google Scholar] [CrossRef]
- He, C.; Yang, Y.; Hou, Y.-J.; Luan, T.; Deng, J. Chitosan-Coated Fluoro-Functionalized Covalent Organic Framework as Adsorbent for Efficient Removal of per- and Polyfluoroalkyl Substances from Water. Sep. Purif. Technol. 2022, 294, 121195. [Google Scholar] [CrossRef]
- Wu, Z.; Zhang, P.; Zhang, H.; Li, X.; He, Y.; Qin, P.; Yang, C. Tough Porous Nanocomposite Hydrogel for Water Treatment. J. Hazard. Mater. 2022, 421, 126754. [Google Scholar] [CrossRef]
- Sowmya, A.; Meenakshi, S. An Efficient and Regenerable Quaternary Amine Modified Chitosan Beads for the Removal of Nitrate and Phosphate Anions. J. Environ. Chem. Eng. 2013, 1, 906–915. [Google Scholar] [CrossRef]
- Ilango, A.K.; Liang, Y. Surface Modifications of Biopolymers for Removal of Per- and Polyfluoroalkyl Substances from Water: Current Research and Perspectives. Water Res. 2024, 249, 120927. [Google Scholar] [CrossRef]
- Zhang, X.; Wang, S.; Zhu, X.; Zhu, D.; Wang, W.; Wang, B.; Deng, S.; Yu, G. Efficient Removal of per/Polyfluoroalkyl Substances from Water Using Recyclable Chitosan-Coated Covalent Organic Frameworks: Experimental and Theoretical Methods. Chemosphere 2024, 356, 141942. [Google Scholar] [CrossRef]
- Ding, M.; Jiang, H.-L. Improving Water Stability of Metal–Organic Frameworks by a General Surface Hydrophobic Polymerization. CCS Chem. 2021, 3, 2740–2748. [Google Scholar] [CrossRef]
- Zhang, Q.; Deng, S.; Yu, G.; Huang, J. Removal of Perfluorooctane Sulfonate from Aqueous Solution by Crosslinked Chitosan Beads: Sorption Kinetics and Uptake Mechanism. Bioresour. Technol. 2011, 102, 2265–2271. [Google Scholar] [CrossRef]
- Klein, M.P.; Hackenhaar, C.R.; Lorenzoni, A.S.G.; Rodrigues, R.C.; Costa, T.M.H.; Ninow, J.L.; Hertz, P.F. Chitosan Crosslinked with Genipin as Support Matrix for Application in Food Process: Support Characterization and β-d-Galactosidase Immobilization. Carbohydr. Polym. 2016, 137, 184–190. [Google Scholar] [CrossRef]
- Ricard, T.C.; Schutt, T.C.; Bresnahan, C.G.; Shukla, M.K. Pore Size Effects upon Adsorption of PFAS in Covalent Organic Frameworks: Molecular Dynamics Study. Environ. Sci. Adv. 2025, 4, 1633–1649. [Google Scholar] [CrossRef]
- Sajjan, A.M.; Premakshi, H.G.; Kariduraganavar, M.Y. Synthesis and Characterization of GTMAC Grafted Chitosan Membranes for the Dehydration of Low Water Content Isopropanol by Pervaporation. J. Ind. Eng. Chem. 2015, 25, 151–161. [Google Scholar] [CrossRef]
- Rwei, S.-P.; Chen, Y.-M.; Lin, W.-Y.; Chiang, W.-Y. Synthesis and Rheological Characterization of Water-Soluble Glycidyltrimethylammonium-Chitosan. Mar. Drugs 2014, 12, 5547–5562. [Google Scholar] [CrossRef] [PubMed]
- Upadhyay, A.; Alimohammadi, F.; Tehrani, R. Engineering Porosity-Tuned Chitosan Beads: Balancing Porosity, Kinetics, and Mechanical Integrity. ACS Omega 2024, 9, 33857–33867. [Google Scholar] [CrossRef]
- Luo, W.; Bai, Z.; Zhu, Y. Fast Removal of Co(ii) from Aqueous Solution Using Porous Carboxymethyl Chitosan Beads and Its Adsorption Mechanism. RSC Adv. 2018, 8, 13370–13387. [Google Scholar] [CrossRef] [PubMed]
- Borandeh, S.; Laurén, I.; Teotia, A.; Niskanen, J.; Seppälä, J. Dual Functional Quaternary Chitosans with Thermoresponsive Behavior: Structure–Activity Relationships in Antibacterial Activity and Biocompatibility. J. Mater. Chem. B 2023, 11, 11300–11309. [Google Scholar] [CrossRef]
- Ren, L.; Xu, J.; Zhang, Y.; Zhou, J.; Chen, D.; Chang, Z. Preparation and Characterization of Porous Chitosan Microspheres and Adsorption Performance for Hexavalent Chromium. Int. J. Biol. Macromol. 2019, 135, 898–906. [Google Scholar] [CrossRef]
- Kaya, M.; Cakmak, Y.S.; Baran, T.; Asan-Ozusaglam, M.; Mentes, A.; Tozak, K.O. New Chitin, Chitosan, and O-Carboxymethyl Chitosan Sources from Resting Eggs of Daphnia Longispina (Crustacea); with Physicochemical Characterization, and Antimicrobial and Antioxidant Activities. Biotechnol. Bioprocess Eng. 2014, 19, 58–69. [Google Scholar] [CrossRef]
- Kaya, M.; Baran, T.; Asan-Ozusaglam, M.; Cakmak, Y.S.; Tozak, K.O.; Mol, A.; Mentes, A.; Sezen, G. Extraction and Characterization of Chitin and Chitosan with Antimicrobial and Antioxidant Activities from Cosmopolitan Orthoptera Species (Insecta). Biotechnol. Bioprocess Eng. 2015, 20, 168–179. [Google Scholar] [CrossRef]
- Luan, F.; Wei, L.; Zhang, J.; Tan, W.; Chen, Y.; Dong, F.; Li, Q.; Guo, Z. Preparation and Characterization of Quaternized Chitosan Derivatives and Assessment of Their Antioxidant Activity. Molecules 2018, 23, 516. [Google Scholar] [CrossRef]
- Bigogno, R.G.; Rodríguez, R.J.S.; Abreu, M.D.F. Quaternized Chitosan for Ecological Treatment of Bauxite Mining Effluents. J. Polym. Environ. 2018, 26, 4169–4175. [Google Scholar] [CrossRef]
- Chirachanchai, S. Carbaryl Insecticide Conjugation onto Chitosan via Iodochitosan and Chitosan Carbonyl Imidazolide Precursors. Carbohydr. Polym. 2001, 46, 19–27. [Google Scholar] [CrossRef]
- Georgieva, V.; Zvezdova, D.; Vlaev, L. Non-Isothermal Kinetics of Thermal Degradation of Chitosan. Chem. Cent. J. 2012, 6, 81. [Google Scholar] [CrossRef] [PubMed]
- Biernat, M.; Woźniak, A.; Chraniuk, M.; Panasiuk, M.; Tymowicz-Grzyb, P.; Pagacz, J.; Antosik, A.; Ciołek, L.; Gromadzka, B.; Jaegermann, Z. Effect of Selected Crosslinking and Stabilization Methods on the Properties of Porous Chitosan Composites Dedicated for Medical Applications. Polymers 2023, 15, 2507. [Google Scholar] [CrossRef] [PubMed]
- Scherdel, C.; Reichenauer, G.; Wiener, M. Relationship between Pore Volumes and Surface Areas Derived from the Evaluation of N2-Sorption Data by DR-, BET- and t-Plot. Microporous Mesoporous Mater. 2010, 132, 572–575. [Google Scholar] [CrossRef]
- Chen, Y.; Huang, L.; Dai, X.; Tian, Q.; Yu, M.; Agheb, M.; Chan, H.N.; Poon, E.; Guo, Z.; Boheler, K.R.; et al. Facile Formation of a Microporous Chitosan Hydrogel Based on Self-Crosslinking. J. Mater. Chem. B 2017, 5, 9291–9299. [Google Scholar] [CrossRef]
- Udoetok, I.A.; Mohamed, M.H.; Wilson, L.D. Hybrid Chitosan Biosorbents: Tunable Adsorption at Surface and Micropore Domains. Biomimetics 2024, 9, 725. [Google Scholar] [CrossRef]
- Pinto, M.L.; Pires, J.; Carvalho, A.P.; De Carvalho, M.B.; Bordado, J.C. Synthesis and Regeneration of Polyurethane/Adsorbent Composites and Their Characterization by Adsorption Methods. Microporous Mesoporous Mater. 2006, 89, 260–269. [Google Scholar] [CrossRef]
- Wan Ngah, W.S.; Teong, L.C.; Hanafiah, M.A.K.M. Adsorption of Dyes and Heavy Metal Ions by Chitosan Composites: A Review. Carbohydr. Polym. 2011, 83, 1446–1456. [Google Scholar] [CrossRef]
- Navarro, D.A.; Kabiri, S.; Ho, J.; Bowles, K.C.; Davis, G.; McLaughlin, M.J.; Kookana, R.S. Stabilisation of PFAS in Soils: Long-Term Effectiveness of Carbon-Based Soil Amendments. Environ. Pollut. 2023, 323, 121249. [Google Scholar] [CrossRef] [PubMed]
- Beyioku, O.E.; Gilboa, A.; Ronen, A. PFAS Adsorption and Desorption on Functionalized Surfaces: A QCM and Kinetic Modeling Approach. Sep. Purif. Technol. 2025, 372, 133457. [Google Scholar] [CrossRef]
- Foo, K.Y.; Hameed, B.H. Insights into the Modeling of Adsorption Isotherm Systems. Chem. Eng. J. 2010, 156, 2–10. [Google Scholar] [CrossRef]
- Zhou, D.; Brusseau, M.L.; Zhang, Y.; Li, S.; Wei, W.; Sun, H.; Zheng, C. Simulating PFAS Adsorption Kinetics, Adsorption Isotherms, and Nonideal Transport in Saturated Soil with Tempered One-Sided Stable Density (TOSD) Based Models. J. Hazard. Mater. 2021, 411, 125169. [Google Scholar] [CrossRef]
- Dada, A.O. Langmuir, Freundlich, Temkin and Dubinin–Radushkevich Isotherms Studies of Equilibrium Sorption of Zn 2+ Unto Phosphoric Acid Modified Rice Husk. IOSR J. Appl. Chem. 2012, 3, 38–45. [Google Scholar] [CrossRef]
- Chatterjee, S.; Woo, S.H. The Removal of Nitrate from Aqueous Solutions by Chitosan Hydrogel Beads. J. Hazard. Mater. 2009, 164, 1012–1018. [Google Scholar] [CrossRef]
- Zhang, Z.; Sarkar, D.; Datta, R.; Deng, Y. Adsorption of Perfluorooctanoic Acid (PFOA) and Perfluorooctanesulfonic Acid (PFOS) by Aluminum-Based Drinking Water Treatment Residuals. J. Hazard. Mater. Lett. 2021, 2, 100034. [Google Scholar] [CrossRef]
- Li, D.; Londhe, K.; Chi, K.; Lee, C.; Venkatesan, A.K.; Hsiao, B.S. Functionalized Bio-adsorbents for Removal of Perfluoroalkyl Substances: A Perspective. AWWA Water Sci. 2021, 3, e1258. [Google Scholar] [CrossRef]
- Meegoda, J.N.; Bezerra De Souza, B.; Casarini, M.M.; Kewalramani, J.A. A Review of PFAS Destruction Technologies. Int. J. Environ. Res. Public. Health 2022, 19, 16397. [Google Scholar] [CrossRef] [PubMed]
- Saawarn, B.; Mahanty, B.; Hait, S. Adsorption of Perfluorooctanoic Acid from Aqueous Matrices onto Chitosan-Modified Magnetic Biochar: Response Surface Methodology-Based Modeling, Performance, and Mechanism. Environ. Pollut. 2025, 368, 125734. [Google Scholar] [CrossRef]
- Elanchezhiyan, S.S.; Preethi, J.; Rathinam, K.; Njaramba, L.K.; Park, C.M. Synthesis of Magnetic Chitosan Biopolymeric Spheres and Their Adsorption Performances for PFOA and PFOS from Aqueous Environment. Carbohydr. Polym. 2021, 267, 118165. [Google Scholar] [CrossRef] [PubMed]
- Wang, C.; Zhou, Y. Sacrificial Biomaterials in 3D Fabrication of Scaffolds for Tissue Engineering Applications. J. Biomed. Mater. Res. B Appl. Biomater. 2024, 112, e35312. [Google Scholar] [CrossRef]
- Xi, F.; Wu, J. Macroporous Chitosan Layer Coated on Non-Porous Silica Gel as a Support for Metal Chelate Affinity Chromatographic Adsorbent. J. Chromatogr. A 2004, 1057, 41–47. [Google Scholar] [CrossRef]
- Mahpishanian, S.; Zhou, M.; Foudazi, R. Magnetic Amino-Functionalized Graphene Oxide Nanocomposite for PFAS Removal from Water. Environ. Sci. Adv. 2024, 3, 1698–1713. [Google Scholar] [CrossRef]
- Weng, R.; Huang, X.; Liao, D.; Xu, S.; Peng, L.; Liu, X. A Novel Cellulose/Chitosan Composite Nanofiltration Membrane Prepared with Piperazine and Trimesoyl Chloride by Interfacial Polymerization. RSC Adv. 2020, 10, 1309–1318. [Google Scholar] [CrossRef]
- Aigoin, J.; Payré, B.; Minvielle Moncla, J.; Escudero, M.; Goudouneche, D.; Ferri-Angulo, D.; Calmon, P.-F.; Vaysse, L.; Kemoun, P.; Malaquin, L.; et al. Comparative Analysis of Electron Microscopy Techniques for Hydrogel Microarchitecture Characterization: SEM, Cryo-SEM, ESEM, and TEM. ACS Omega 2025, 10, 14687–14698. [Google Scholar] [CrossRef]
- Heimbuck, A.M.; Priddy-Arrington, T.R.; Sawyer, B.J.; Caldorera-Moore, M.E. Effects of Post-Processing Methods on Chitosan-Genipin Hydrogel Properties. Mater. Sci. Eng. C 2019, 98, 612–618. [Google Scholar] [CrossRef]
- Pranić, M.; Carlucci, L.; Van Der Wal, A.; Dykstra, J.E. Kinetic and Isotherm Study for the Adsorption of Per- and Polyfluoroalkyl Substances (PFAS) on Activated Carbon in the Low Ng/L Range. Chemosphere 2025, 370, 143889. [Google Scholar] [CrossRef] [PubMed]














| PFAS | Removal Efficiency (%) | Adsorption Capacity qe (mg g−1) | ||||
|---|---|---|---|---|---|---|
| CG | QCG | MQCG | CG | QCG | MQCG | |
| PFOS | 98.12 ± 0.51 | 99.84 ± 0.03 | 100 ± <0.01 | 1.962 ± 0.031 | 1.997 ± 0.010 | ≥2.000 ± <0.001 * |
| PFOA | 92.18 ± 1.20 | 99.48 ± 0.11 | 100 ± <0.01 | 1.840 ± 0.090 | 1.980 ± 0.011 | ≥2.000 ± <0.001 * |
| PFBS | 64.43 ± 2.11 | 98.70 ± 0.40 | 99.98 ± 0.01 | 1.291 ± 0.120 | 1.974 ± 0.020 | ≥1.999 ± <0.001 * |
| PFHxA | 34.32 ± 3.04 | 94.30 ± 0.53 | 99.96 ± 0.03 | 0.691 ± 0.100 | 1.884 ± 0.041 | ≥1.998 ± 0.001 * |
| Freundlich Isotherm Parameters * | Pseudo-Second-Order Kinetics Parameters * | |||||
|---|---|---|---|---|---|---|
| Hydrogel | R2 | Freundlich Capacity Constant, KF (mg/g) | Adsorption Intensity, n | R2 | Equilibrium Adsorption Capacity, 500 ppb PFOS, qe (mg/g) | Adsorption Rate Constant, K2 (mg·g−1·min−1) |
| CG | 0.981 | 51.91 ± 1.49 | 1.14 ± 0.02 | 0.996 | 1.980 ± 0.003 | 0.117 ± 0.001 |
| QCG | 0.910 | 89.13 ± 1.89 | 1.37 ± 0.01 | 0.997 | 1.990 ± 0.002 | 0.217 ± 0.002 |
| MQCG | 0.960 | 156.23 ± 1.71 | 1.39 ± 0.01 | 0.999 | 2.020 ± <0.001 | 0.545 ± 0.001 |
| Adsorbent Material | PFAS Type | Time to Remove > 98% PFAS | pH & Test Condition | Synthesis Procedure | Ref. |
|---|---|---|---|---|---|
| Surface-Modified Quaternized Chitosan Hydrogels (MQCG) | PFOS, PFOA PFBS, PFHxA | 30 min (short- and long-chain PFAS mixture) | pH 3–12, Simulated tap water with co-ion contaminants | Facile synthesis, no toxic chlorinated crosslinkers, facile regeneration, maintained performance in the presence of co-ions | This study |
| PEI-grafted Chitosan Beads (GCBs) | PFOS, PFOA, PFBS, PFBA | 5 min (long-chain), 3 h (short chain) | Optimal at pH 6; performance drops at pH > 11 | Complex synthesis using epichlorohydrin (carcinogenic), reduced performance in real water, slow short-chain PFAS adsorption | [28] |
| Glutaraldehyde-Chitosan-Polyethyleneimine Aerogel | Mixture of 12 PFAS | 24 h | pH 2–10 | Uses glutaraldehyde (toxic crosslinker); very slow kinetics limit practical flow-through applications | [40] |
| Chitosan-coated F-COF | PFOS, PFOA, GenX | 4 h | Neutral pH | Using o-dichlorobenzene (toxic solvent); difficult to regenerate, slow kinetics | [37] |
| Magnetic Chitosan Spheres (Fe3O4) | PFOS, PFOA | 60 min | pH 4–10 | Uses glutaraldehyde (toxic crosslinker); only tested for long-chain PFAS removal, slow kinetics | [74] |
Disclaimer/Publisher’s Note: The statements, opinions and data contained in all publications are solely those of the individual author(s) and contributor(s) and not of MDPI and/or the editor(s). MDPI and/or the editor(s) disclaim responsibility for any injury to people or property resulting from any ideas, methods, instructions or products referred to in the content. |
© 2025 by the authors. Licensee MDPI, Basel, Switzerland. This article is an open access article distributed under the terms and conditions of the Creative Commons Attribution (CC BY) license.
Share and Cite
Bagheri Kashani, M.; Fan, L.; Yan, W.; Budhlall, B.M. Highly Efficient Removal of PFAS from Water Using Surface-Modified Regenerable Quaternized Chitosan Hydrogels. Gels 2026, 12, 14. https://doi.org/10.3390/gels12010014
Bagheri Kashani M, Fan L, Yan W, Budhlall BM. Highly Efficient Removal of PFAS from Water Using Surface-Modified Regenerable Quaternized Chitosan Hydrogels. Gels. 2026; 12(1):14. https://doi.org/10.3390/gels12010014
Chicago/Turabian StyleBagheri Kashani, Mohammad, Lingfei Fan, Weile Yan, and Bridgette M. Budhlall. 2026. "Highly Efficient Removal of PFAS from Water Using Surface-Modified Regenerable Quaternized Chitosan Hydrogels" Gels 12, no. 1: 14. https://doi.org/10.3390/gels12010014
APA StyleBagheri Kashani, M., Fan, L., Yan, W., & Budhlall, B. M. (2026). Highly Efficient Removal of PFAS from Water Using Surface-Modified Regenerable Quaternized Chitosan Hydrogels. Gels, 12(1), 14. https://doi.org/10.3390/gels12010014

