Novel Buccal Xanthan Gum–Hyaluronic Acid Eutectogels with Dual Anti-Inflammatory and Antimicrobial Properties
Abstract
1. Introduction
2. Results and Discussion
2.1. Overview of Response Variables and Model Fitting
2.2. Rheological Characterization
2.2.1. Viscosity and Flow Properties
2.2.2. Thixotropy Evaluation
2.3. Texture Analysis
2.3.1. Hardness (Y5)
2.3.2. Adhesiveness (Y6)
2.3.3. Cohesiveness (Y7)
2.3.4. Resilience (Y8)
2.3.5. Springiness (Y9)
2.3.6. Stringiness (Y10)
2.4. In Vitro Release Kinetics Analysis
- Zero-order model: characterizes a constant drug release over time, independent of concentration, typically associated with systems designed for prolonged and uniform drug delivery [117].
- First-order model: assumes a concentration-dependent release, where the rate decreases as the drug is depleted from the formulation, often observed in matrix-based or dissolution-controlled systems [118].
- Higuchi model: describes drug release governed by Fickian diffusion from a homogeneous matrix, applicable to systems where the release is driven by a concentration gradient within the polymer network [119].
- Korsmeyer–Peppas model: a semi-empirical equation that provides insights into the release mechanism by incorporating both diffusion and polymer relaxation effects. The release exponent (n) derived from this model helps determine whether the release follows Fickian diffusion, anomalous transport, or erosion-based mechanisms [116].
- Weibull model: a flexible empirical equation that can describe a wide range of release profiles, allowing for differentiation between purely diffusive transport, anomalous release behaviors, and erosion-controlled kinetics [120].
2.5. Correlation Analysis of Rheological, Textural, and Kinetic Properties of the Experimental Eutectogel Formulations
2.5.1. Rheological Properties (Y1 − Y4)
2.5.2. Textural Properties (Y5 − Y10)
2.5.3. Kinetic Properties (Y11 − Y12)
2.5.4. Inter-Group Correlations
2.6. Optimization of XTG-HA-NADES Eutectogels
2.7. Impact of the NADES Presence on the Rheological, Textural, and Microstructural Properties of the Optimized Eutectogel Formulation
2.8. DSC Measurements
2.9. Swelling Behavior
2.10. Mucosal Ex Vivo Residence Time
2.11. Antimicrobial Activity
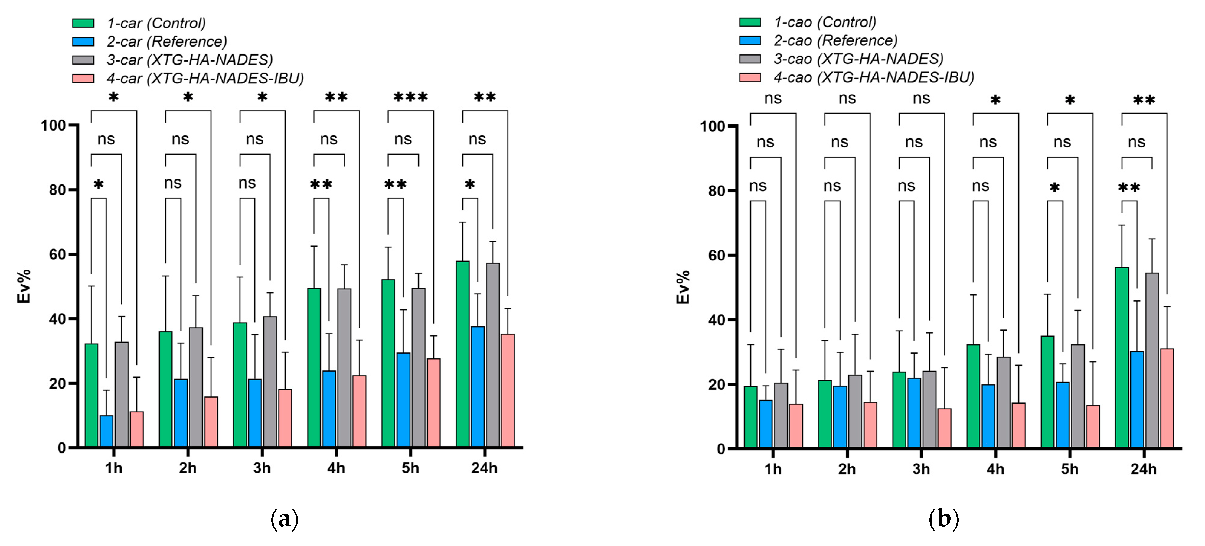
2.12. In Vivo Evaluation of Anti-Inflammatory Activity
3. Conclusions
4. Materials and Methods
4.1. Materials
4.2. Preparation of NADES-Based Hybrid XTG-HA Eutectogels
4.2.1. Selection of the NADES System
4.2.2. Preparation of NADES
4.2.3. Preparation of Eutectogels
4.3. Determination of IBU Concentration
4.4. Rheological Characterization
4.4.1. Flow Behavior Analysis
4.4.2. Thixotropy Evaluation
4.5. Texture Analysis
4.6. In Vitro Release Experiments
4.7. Experimental Design
4.8. SEM Analysis
4.9. DSC Measurements
4.10. Swelling Behavior
4.11. Mucosal Ex Vivo Residence Time
4.12. Antimicrobial Activity
4.12.1. Microbial Strains
4.12.2. Quantitative Antimicrobial Activity
4.12.3. Evaluation of the Gels’ Antimicrobial Properties
4.13. In Vivo Evaluation of Anti-Inflammatory Activity
4.13.1. Animals and Housing
4.13.2. Ethics
4.13.3. Treatment Groups
4.13.4. Anesthesia and Inflammation Induction
4.13.5. Plethysmometric Measurement of Edema
4.14. Statistical Analysis
Supplementary Materials
Author Contributions
Funding
Institutional Review Board Statement
Informed Consent Statement
Data Availability Statement
Acknowledgments
Conflicts of Interest
References
- Jawadi, Z.; Yang, C.; Haidar, Z.S.; Santa Maria, P.L.; Massa, S. Bio-Inspired Muco-Adhesive Polymers for Drug Delivery Applications. Polymers 2022, 14, 5459. [Google Scholar] [CrossRef] [PubMed]
- Dubashynskaya, N.V.; Petrova, V.A.; Skorik, Y.A. Biopolymer Drug Delivery Systems for Oromucosal Application: Recent Trends in Pharmaceutical R&D. Int. J. Mol. Sci. 2024, 25, 5359. [Google Scholar] [CrossRef] [PubMed]
- Pagano, C.; Giovagnoli, S.; Perioli, L.; Tiralti, M.C.; Ricci, M. Development and characterization of mucoadhesive-thermoresponsive gels for the treatment of oral mucosa diseases. Eur. J. Pharm. Sci. 2020, 142, 105125. [Google Scholar] [CrossRef]
- Raeisi, A.; Farjadian, F. Commercial hydrogel product for drug delivery based on route of administration. Front. Chem. 2024, 12, 1336717. [Google Scholar] [CrossRef]
- Desai, D.D.; Manikkath, J.; Lad, H.; Kulkarni, M.; Manikkath, A.; Radhakrishnan, R. Nanotechnology-based mucoadhesive and mucus-penetrating drug-delivery systems for transbuccal drug delivery. Nanomedicine 2023, 18, 1495–1514. [Google Scholar] [CrossRef]
- Sharma, R.; Kumar, S.; Malviya, R.; Prajapati, B.G.; Puri, D.; Limmatvapirat, S.; Sriamornsak, P. Recent advances in biopolymer-based mucoadhesive drug delivery systems for oral application. J. Drug Deliv. Sci. Technol. 2024, 91, 105227. [Google Scholar] [CrossRef]
- Nica, M.-A.; Anuța, V.; Nicolae, C.A.; Popa, L.; Ghica, M.V.; Cocoș, F.I.; Dinu-Pîrvu, C.E. Exploring Deep Eutectic Solvents as Pharmaceutical Excipients: Enhancing the Solubility of Ibuprofen and Mefenamic Acid. Pharmaceuticals 2024, 17, 1316. [Google Scholar] [CrossRef] [PubMed]
- Usmani, Z.; Sharma, M.; Tripathi, M.; Lukk, T.; Karpichev, Y.; Gathergood, N.; Singh, B.N.; Thakur, V.K.; Tabatabaei, M.; Gupta, V.K. Biobased natural deep eutectic system as versatile solvents: Structure, interaction and advanced applications. Sci. Total Environ. 2023, 881, 163002. [Google Scholar] [CrossRef]
- Satija, P.; Chambyal, A.; Singh, G.; Singh, G.; Devi, S.; Singh, J. Natural Deep Eutectic Solvents (NADES): Manufacture, Characteristics, and Their Significance as Designer Solvents. Chemistryselect 2024, 9, e202401212. [Google Scholar] [CrossRef]
- Hikmawanti, N.P.E.; Ramadon, D.; Jantan, I.; Mun’im, A. Natural Deep Eutectic Solvents (NADES): Phytochemical Extraction Performance Enhancer for Pharmaceutical and Nutraceutical Product Development. Plants 2021, 10, 2091. [Google Scholar] [CrossRef]
- Villa, C.; Caviglia, D.; della Cuna, F.S.R.; Zuccari, G.; Russo, E. NaDES Application in Cosmetic and Pharmaceutical Fields: An Overview. Gels 2024, 10, 107. [Google Scholar] [CrossRef]
- Choi, Y.H.; Verpoorte, R. Green solvents for the extraction of bioactive compounds from natural products using ionic liquids and deep eutectic solvents. Curr. Opin. Food Sci. 2019, 26, 87–93. [Google Scholar] [CrossRef]
- Paiva, A.; Craveiro, R.; Aroso, I.; Martins, M.; Reis, R.L.; Duarte, A.R.C. Natural Deep Eutectic Solvents—Solvents for the 21st Century. ACS Sustain. Chem. Eng. 2014, 2, 1063–1071. [Google Scholar] [CrossRef]
- Ruiz-Olles, J.; Slavik, P.; Whitelaw, N.K.; Smith, D.K. Self-Assembled Gels Formed in Deep Eutectic Solvents: Supramolecular Eutectogels with High Ionic Conductivity. Angew. Chem. Int. Ed. 2019, 58, 4173–4178. [Google Scholar] [CrossRef]
- Marullo, S.; Meli, A.; Giannici, F.; D’Anna, F. Supramolecular Eutecto Gels: Fully Natural Soft Materials. ACS Sustain. Chem. Eng. 2018, 6, 12598–12602. [Google Scholar] [CrossRef]
- Wang, J.K.; Zhang, S.Z.; Ma, Z.Z.; Yan, L.F. Deep eutectic solvents eutectogels: Progress and challenges. Green Chem. Eng. 2021, 2, 359–367. [Google Scholar] [CrossRef]
- Nicolau, A.; Mutch, A.L.; Thickett, S.C. Applications of Functional Polymeric Eutectogels. Macromol. Rapid Commun. 2024, 45, 2400405. [Google Scholar] [CrossRef] [PubMed]
- Li, Y.; Hu, K.; Huang, C.; Hu, Y.; Ji, H.; Liu, S.; Gao, J. Improvement of solubility, stability and antioxidant activity of carotenoids using deep eutectic solvent-based microemulsions. Colloids Surf. B Biointerfaces 2022, 217, 112591. [Google Scholar] [CrossRef]
- Mustafa, N.R.; Spelbos, V.S.; Witkamp, G.J.; Verpoorte, R.; Choi, Y.H. Solubility and Stability of Some Pharmaceuticals in Natural Deep Eutectic Solvents-Based Formulations. Molecules 2021, 26, 2645. [Google Scholar] [CrossRef]
- Shumilin, I.; Tanbuz, A.; Harries, D. Deep Eutectic Solvents for Efficient Drug Solvation: Optimizing Composition and Ratio for Solubility of beta-Cyclodextrin. Pharmaceutics 2023, 15, 1462. [Google Scholar] [CrossRef]
- Shah, P.A.; Chavda, V.; Hirpara, D.; Sharma, V.S.; Shrivastav, P.S.; Kumar, S. Exploring the potential of deep eutectic solvents in pharmaceuticals: Challenges and opportunities. J. Mol. Liq. 2023, 390, 123171. [Google Scholar] [CrossRef]
- Bianchi, M.B.; Zhang, C.; Catlin, E.; Sandri, G.; Calderon, M.; Larrañeta, E.; Donnelly, R.; Picchio, M.; Paredes, A. Bioadhesive eutectogels supporting drug nanocrystals for long-acting delivery to mucosal tissues. Mater. Today Bio 2022, 17, 100471. [Google Scholar] [CrossRef]
- Zeng, C.; Zhao, H.; Wan, Z.; Xiao, Q.; Xia, H.; Guo, S. Highly biodegradable, thermostable eutectogels prepared by gelation of natural deep eutectic solvents using xanthan gum: Preparation and characterization. RSC Adv. 2020, 10, 28376–28382. [Google Scholar] [CrossRef] [PubMed]
- Pedro, S.N.; Mendes, M.S.M.; Neves, B.M.; Almeida, I.F.; Costa, P.; Correia-Sá, I.; Vilela, C.; Freire, M.G.; Silvestre, A.J.D.; Freire, C.S.R. Deep Eutectic Solvent Formulations and Alginate-Based Hydrogels as a New Partnership for the Transdermal Administration of Anti-Inflammatory Drugs. Pharmaceutics 2022, 14, 827. [Google Scholar] [CrossRef]
- Zhang, L.; Dong, Z.; Liu, W.; Wu, X.; He, H.; Lu, Y.; Wu, W.; Qi, J. Novel Pharmaceutical Strategies for Enhancing Skin Penetration of Biomacromolecules. Pharmaceuticals 2022, 15, 877. [Google Scholar] [CrossRef] [PubMed]
- Wang, J.; Li, M.; Duan, L.; Lin, Y.; Cui, X.; Yang, Y.; Wang, C. Deep Eutectic Systems as Novel Vehicles for Assisting Drug Transdermal Delivery. Pharmaceuticals 2022, 14, 2265. [Google Scholar] [CrossRef]
- Khamoushian, S.; Madrakian, T.; Afkhami, A.; Ghoorchian, A.; Ghavami, S.; Tari, K.; Samarghandi, M.R. Transdermal Delivery of Insulin Using Combination of Iontophoresis and Deep Eutectic Solvents as Chemical Penetration Enhancers: In Vitro and in Vivo Evaluations. J. Pharm. Sci. 2023, 112, 2249–2259. [Google Scholar] [CrossRef]
- Li, Y.; Wu, X.; Zhu, Q.; Chen, Z.; Lu, Y.; Qi, J.; Wu, W. Improving the hypoglycemic effect of insulin via the nasal administration of deep eutectic solvents. Int. J. Pharm. 2019, 569, 118584. [Google Scholar] [CrossRef]
- Sarmento, C.; Monteiro, H.; Paiva, A.; Duarte, A.R.C.; Jesus, A.R. Using Natural Deep Eutectic Systems as Alternative Media for Ocular Applications. Pharmaceuticals 2023, 15, 1553. [Google Scholar] [CrossRef]
- Parsana, N.; Ukani, H.; El Seoud, O.A.; Al-Ghamdi, A.; Malek, N. Deep eutectic solvent based self-healable, stretchable and injectable eutectogels: A versatile platform for breast cancer treatment. Chem. Eng. J. 2024, 488, 150703. [Google Scholar] [CrossRef]
- Oyen, M.L.J.I.M.R. Mechanical characterisation of hydrogel materials. Int. Mater. Rev. 2014, 59, 44–59. [Google Scholar] [CrossRef]
- Wan, Y.; Huang, S.; Sun, Y.; Zhu, H.; Zheng, Q.; Zhang, Q.; Zhu, S. Superstrong yet water-detachable eutectogel adhesives. Chem. Eng. J. 2022, 442, 136289. [Google Scholar] [CrossRef]
- Mota-Morales, J.D.; Morales-Narváez, E. Transforming nature into the next generation of bio-based flexible devices: New avenues using deep eutectic systems. Matter 2021, 4, 2141–2162. [Google Scholar] [CrossRef]
- Fan, K.; Wang, L.; Wei, W.; Wen, F.; Xu, Y.; Zhang, X.; Guan, X. Multifunctional self-healing eutectogels induced by supramolecular assembly for smart conductive materials, interface lubrication and dye adsorption. Chem. Eng. J. 2022, 441, 136026. [Google Scholar] [CrossRef]
- Yin, T.; Wu, J.; Yuan, J.; Wang, X. Therapeutic deep eutectic solvent based on osthole and paeonol: Preparation, characterization, and permeation behavior. J. Mol. Liq. 2022, 346, 117133. [Google Scholar] [CrossRef]
- Xia, H.; Ren, M.; Zou, Y.; Qin, S.; Zeng, C. Novel Biocompatible Polysaccharide-Based Eutectogels with Tunable Rheological, Thermal, and Mechanical Properties: The Role of Water. Molecules 2020, 25, 3314. [Google Scholar] [CrossRef] [PubMed]
- Florindo, C.; Lima, F.; Ribeiro, B.D.; Marrucho, I.M. Deep eutectic solvents: Overcoming 21st century challenges. Curr. Opin. Green Sustain. Chem. 2019, 18, 31–36. [Google Scholar] [CrossRef]
- Messa, F.; Dilauro, G.; Paparella, A.N.; Silvestri, L.; Furlotti, G.; Iacoangeli, T.; Perrone, S.; Salomone, A. Deep eutectic solvents meet safe, scalable and sustainable hydrogenations enabled by aluminum powder and Pd/C. Green Chem. 2022, 24, 4388–4394. [Google Scholar] [CrossRef]
- Gholamali, I.; Vu, T.T.; Jo, S.H.; Park, S.H.; Lim, K.T. Exploring the Progress of Hyaluronic Acid Hydrogels: Synthesis, Characteristics, and Wide-Ranging Applications. Materials 2024, 17, 2439. [Google Scholar] [CrossRef]
- Jadav, M.; Pooja, D.; Adams, D.J.; Kulhari, H. Advances in Xanthan Gum-Based Systems for the Delivery of Therapeutic Agents. Pharmaceutics 2023, 15, 402. [Google Scholar] [CrossRef]
- Kumar, P.; Kumar, B.; Gihar, S.; Kumar, D. Review on emerging trends and challenges in the modification of xanthan gum for various applications. Carbohydr. Res. 2024, 538, 109070. [Google Scholar] [CrossRef]
- Salih, A.R.C.; Farooqi, H.M.U.; Amin, H.; Karn, P.R.; Meghani, N.; Nagendran, S. Hyaluronic acid: Comprehensive review of a multifunctional biopolymer. Future J. Pharm. Sci. 2024, 10, 63. [Google Scholar] [CrossRef]
- Falusi, F.; Berkó, S.; Kovács, A.; Budai-Szűcs, M. Application of Xanthan Gum and Hyaluronic Acid as Dermal Foam Stabilizers. Gels 2022, 8, 413. [Google Scholar] [CrossRef] [PubMed]
- Deo, P.N.; Deshmukh, R. Oral microbiome: Unveiling the fundamentals. J. Oral Maxillofac. Pathol. JOMFP 2019, 23, 122–128. [Google Scholar] [CrossRef] [PubMed]
- Kawayanagi, T.; Kawada-Matsuo, M.; Takeshita, T.; Nguyen-Tra Le, M.; Asakawa, M.; Sugawara, Y.; Arai, C.; Ouhara, K.; Nishi, H.; Mizuno, N.; et al. The oral cavity is a potential reservoir of gram-negative antimicrobial-resistant bacteria, which are correlated with ageing and the number of teeth. Heliyon 2024, 10, e39827. [Google Scholar] [CrossRef]
- Shukla, R.; Tiwari, G.; Tiwari, R.; Kumar, A. Formulation and Evaluation of the Topical Ethosomal Gel of Melatonin to Prevent UV Radiation. J. Cosmet. Dermatol. 2019, 19, 2093–2104. [Google Scholar] [CrossRef]
- Toderescu, C.D.; Dinu-Pîrvu, C.; Ghica, M.V.; Anuta, V.; Popa, D.E.; Vlaia, L.; Lupuliasa, D. Influence of formulation variables on ketoprofen diffusion profiles from hydroalcoholic gels. Farmacia 2016, 64, 728–735. [Google Scholar]
- Takeda, K.; Miyazaki, S.; Okamoto, T.; Imanaka, H.; Ishida, N.; Imamura, K. Water sorption and glass-to-rubber transition of amorphous sugar matrices, vacuum foam- and spray-dried from alcohols. J. Food Eng. 2023, 349, 111483. [Google Scholar] [CrossRef]
- Snetkov, P.; Zakharova, K.; Mopoзкинa, C.H.; Olekhnovich, R.; Uspenskaya, M.V. Hyaluronic Acid: The Influence of Molecular Weight on Structural, Physical, Physico-Chemical, and Degradable Properties of Biopolymer. Polymers 2020, 12, 1800. [Google Scholar] [CrossRef]
- Parsana, N.; Kumar, S.; Aswal, V.K.; Seoud, O.A.E.; Malek, N.I. Self-Healable, Injectable, and Conductive Supramolecular Eutectogel for the Encapsulation and Sustained Release of the Anticancer Drug Curcumin. ACS Appl. Eng. Mater. 2022, 1, 380–393. [Google Scholar] [CrossRef]
- Liu, J.; Lu, D.; Chen, B. Tuning mechanical behaviors of highly entangled hydrogels with the random distribution of mobile entanglements. Appl. Math. Mech. 2024, 45, 277–294. [Google Scholar] [CrossRef]
- Mikušová, V.; Ferková, J.; Dominika, Ž.; Krchňák, D.; Mikuš, P. Comparative Study of Polysaccharide-Based Hydrogels: Rheological and Texture Properties and Ibuprofen Release. Gels 2022, 8, 168. [Google Scholar] [CrossRef] [PubMed]
- Feng, Y.; Wang, S.; Li, Y.; Ma, W.; Zhang, G.; Yang, M.; Li, H.; Yang, Y.; Long, Y. Entanglement in Smart Hydrogels: Fast Response Time, Anti-Freezing and Anti-Drying. Adv. Funct. Mater. 2023, 33, 2211027. [Google Scholar] [CrossRef]
- Yahoum, M.M.; Toumi, S.; Hentabli, S.; Tahraoui, H.; Lefnaoui, S.; Hadjsadok, A.; Amrane, A.; Kebir, M.; Moula, N.; Assadi, A.A.; et al. Experimental Analysis and Neural Network Modeling of the Rheological Behavior of Xanthan Gum and Its Derivatives. Materials 2023, 16, 2565. [Google Scholar] [CrossRef] [PubMed]
- Nordin, N.Z.; Rashidi, A.R.; Dailin, D.J.; Abd Malek, R.; Azelee, N.I.W.; Abd Manas, N.H.; Selvamanil, S.; Zaidel, D.N.A.; Abd Alsaheb, R.A.; Sukmawati, D.; et al. Xanthan Biopolymer in Pharmaceutical and Cosmeceutical Applications: Critical Review. Biosci. Res. 2020, 17, 205–220. [Google Scholar]
- Ebata, R.; Fujita, Y.; Nakamura, A.; Harada, T. Effect of Film Coating on Xanthan Gum Solution-Induced Delays in the Disintegration and Dissolution of Tablets. Iryo Yakugaku (Jpn. J. Pharm. Health Care Sci.) 2019, 45, 182–194. [Google Scholar] [CrossRef]
- Zhang, H.; Fang, B.; Lu, Y.; Qiu, X.; Jin, H.; Liu, Y.; Wang, L.; Tian, M.; Li, K. Rheological properties of water-soluble cross-linked xanthan gum. J. Dispers. Sci. Technol. 2017, 38, 361–366. [Google Scholar] [CrossRef]
- Shawan, M.M.A.K.; Islam, N.; Aziz, S.; Khatun, N.; Sarker, S.R.; Hossain, M.K.; Hossan, T.; Morshed, M.; Sarkar, M.; Shakil, S.; et al. Fabrication of Xanthan Gum: Gelatin (Xnt:Gel) Hybrid Composite Hydrogels for Evaluating Skin Wound Healing Efficacy. Mod. Appl. Sci. 2019, 13, 101. [Google Scholar] [CrossRef]
- Wang, C.; Virgilio, N.; Carreau, P.J.; Heuzey, M.C. Understanding the Effect of Conformational Rigidity on Rheological Behavior and Formation of Polysaccharide-Based Hybrid Hydrogels. Biomacromolecules 2021, 22, 4016–4026. [Google Scholar] [CrossRef]
- Zheng, Y.; Sun, W.; Yang, W.; Chen, S.; Liu, D.; Tian, J.; Ye, X. The Influence of Xanthan Gum on Rheological Properties and in Vitro Digestibility of Kudzu (Pueraria lobata) Starch. Starch-Stärke 2020, 72, 1900139. [Google Scholar] [CrossRef]
- Anicescu, M.C.; Dinu-Pirvu, C.E.; Talianu, M.T.; Ghica, M.V.; Anuta, V.; Prisada, R.M.; Nicoara, A.C.; Popa, L. Insights from a Box-Behnken Optimization Study of Microemulsions with Salicylic Acid for Acne Therapy. Pharmaceutics 2022, 14, 174. [Google Scholar] [CrossRef] [PubMed]
- Maphalla, T.G.; Emmambux, M.N. Functionality of Maize, Wheat, Teff and Cassava Starches with Stearic Acid and Xanthan Gum. Carbohydr. Polym. 2016, 136, 970–978. [Google Scholar] [CrossRef]
- Chen, W.; Biehl, P.; Huang, C.; Zhang, K. Viscoelastic Response in Hydrous Polymers: The Role of Hydrogen Bonds and Microstructure. Nano Lett. 2024, 24, 3811–3818. [Google Scholar] [CrossRef] [PubMed]
- Han, Z.T.; Long, W.M.; Zhang, T.H.; Dong, Z.Y.; Yan, J.X. Application of xanthan gum and konjac gum to improve the texture, rheological properties and microstructure of Oviductus Ranae gel. J. Biol. Macromol. 2022, 222, 2709–2718. [Google Scholar] [CrossRef]
- Kummar, S.; Dull, N.R.; Helsper, S.; Liberatore, M.W. Effect of shear rate, temperature, and salts on the viscosity and viscoelasticity of semi-dilute and entangled xanthan gum. J. Appl. Polym. Sci. 2025, 142, e56372. [Google Scholar] [CrossRef]
- Li, H.; Wang, Y.; Zhang, W.; Ma, R.; Zhao, X.; Liu, X.; Zhang, L.; Gao, Y. Structure, Dynamics, and Rheological Behavior of Associative Polymers Formed by Hydrogen Bonds. Macromolecules 2024, 57, 1106–1117. [Google Scholar] [CrossRef]
- Gharaie, S.S.; Dabiri, S.; Akbari, M. Smart Shear-Thinning Hydrogels as Injectable Drug Delivery Systems. Polymers 2018, 10, 1317. [Google Scholar] [CrossRef] [PubMed]
- Xing, S.; Zhang, G.; Zhang, A.; Chang, Z.; Guo, Z.; Dong, A.; Zhang, J. Poly(N-acryloyl Glycinamide) Eutectogels. J. Polym. Sci. 2023, 62, 925–936. [Google Scholar] [CrossRef]
- Ghica, M.V.; Hîrjău, M.; Lupuleasa, D.; Dinu-Pîrvu, C.-E. Flow and Thixotropic Parameters for Rheological Characterization of Hydrogels. Molecules 2016, 21, 786. [Google Scholar] [CrossRef]
- Chiarentin, L.; Cardoso, C.; Miranda, M.; Vitorino, C. Rheology of Complex Topical Formulations: An Analytical Quality by Design Approach to Method Optimization and Validation. Pharmaceutics 2023, 15, 1810. [Google Scholar] [CrossRef]
- Zhang, P.; Wang, S.; He, L. Modeling and Simulation of the Hysteretic Behavior of Concrete under Cyclic Tension–Compression Using the Smeared Crack Approach. Materials 2023, 16, 4442. [Google Scholar] [CrossRef]
- Lee, C.H.; Moturi, V.; Lee, Y. Thixotropic property in pharmaceutical formulations. J. Control. Release 2009, 136, 88–98. [Google Scholar] [CrossRef] [PubMed]
- Jamali, S.; McKinley, G.H.; Armstrong, R.C. Microstructural Rearrangements and their Rheological Implications in a Model Thixotropic Elastoviscoplastic Fluid. Phys. Rev. Lett. 2017, 118, 048003. [Google Scholar] [CrossRef] [PubMed]
- Arab, K.; Ghanbarzadeh, B.; Karimi, S.; Ebrahimi, B.; Hosseini, M. Gelling and rheological properties of a polysaccharide extracted from Ocimum album L. seed. Int. J. Biol. Macromol. 2023, 246, 125603. [Google Scholar] [CrossRef] [PubMed]
- Finke, B.; Sangrós Giménez, C.; Kwade, A.; Schilde, C. Viscosity Model for Nanoparticulate Suspensions Based on Surface Interactions. Materials 2021, 14, 2752. [Google Scholar] [CrossRef]
- Li, Z.; Li, D.; Chen, Y.; Cui, H. Study of the thixotropic behaviors of ferrofluids. Soft Matter 2018, 14, 3858–3869. [Google Scholar] [CrossRef]
- Sorze, A.; Valentini, F.; Dorigato, A.; Pegoretti, A. Development of a Xanthan Gum Based Superabsorbent and Water Retaining Composites for Agricultural and Forestry Applications. Molecules 2023, 28, 1952. [Google Scholar] [CrossRef]
- Buoso, S.; Belletti, G.; Ragno, D.; Castelvetro, V.; Bertoldo, M. Rheological Response of Polylactic Acid Dispersions in Water with Xanthan Gum. ACS Omega 2022, 7, 12536–12548. [Google Scholar] [CrossRef]
- Nsengiyumva, E.M.; Heitz, M.P.; Alexandridis, P. Salt and Temperature Effects on Xanthan Gum Polysaccharide in Aqueous Solutions. Int. J. Mol. Sci. 2024, 25, 490. [Google Scholar] [CrossRef]
- Hu, S.; Cui, M.; Li, X.; Xu, X. Steady and transient rheological properties of four polysaccharides with different chain conformations. J. Polym. Sci. 2024, 62, 364–374. [Google Scholar] [CrossRef]
- Tu, M.Q.; Davydovich, O.; Mei, B.; Singh, P.K.; Grest, G.S.; Schweizer, K.S.; O’Connor, T.C.; Schroeder, C.M. Unexpected Slow Relaxation Dynamics in Pure Ring Polymers Arise from Intermolecular Interactions. ACS Polym. Au 2023, 3, 307–317. [Google Scholar] [CrossRef] [PubMed]
- Yang, X.; Dargaville, B.L.; Hutmacher, D.W. Elucidating the Molecular Mechanisms for the Interaction of Water with Polyethylene Glycol-Based Hydrogels: Influence of Ionic Strength and Gel Network Structure. Polymers 2021, 13, 845. [Google Scholar] [CrossRef]
- El Sayed, M.M. Production of Polymer Hydrogel Composites and Their Applications. J. Polym. Environ. 2023, 31, 2855–2879. [Google Scholar] [CrossRef]
- Hurler, J.; Engesland, A.; Poorahmary Kermany, B.; Škalko-Basnet, N. Improved texture analysis for hydrogel characterization: Gel cohesiveness, adhesiveness, and hardness. J. Appl. Polym. Sci. 2012, 125, 180–188. [Google Scholar] [CrossRef]
- Zhang, C.; Li, X.; Wu, X.; Yan, M.; Lian, H. Polymerizable deep eutectic solvent-gels synthesized in situ under molecular engineering control exhibit excellent adhesion, freeze resistance, as well as stretching and humidity sensing capabilities. J. Colloid Interface Sci. 2025, 679, 245–253. [Google Scholar] [CrossRef] [PubMed]
- Li, Z.; Ge, Z.; Chen, Q.; He, Y.; Wu, J.; Xie, Z. Gummy-inspired natural eutectogels with high adhesiveness, toughness and humidity response. J. Polym. Sci. 2024, 62, 4928–4936. [Google Scholar] [CrossRef]
- Finke, A.; Bétemps, J.B.; Molliard, S.G. In vitro study of the gel cohesivity and persistence to hyaluronidase degradation of a novel stabilized composition of 26 mg/mL of high molecular weight HA. Plast. Aesthetic Res. 2024, 11, 51. [Google Scholar] [CrossRef]
- Xu, X.; Jha, A.K.; Harrington, D.A.; Farach-Carson, M.C.; Jia, X. Hyaluronic Acid-Based Hydrogels: From a Natural Polysaccharide to Complex Networks. Soft Matter. 2012, 8, 3280–3294. [Google Scholar] [CrossRef]
- Dănilă, E.; Kaya, D.A.; Anuța, V.; Popa, L.; Coman, A.E.; Chelaru, C.; Constantinescu, R.R.; Dinu-Pîrvu, C.; Albu Kaya, M.G.; Ghica, M.V. Formulation and Characterization of Niacinamide and Collagen Emulsion and Its Investigation as a Potential Cosmeceutical Product. Cosmetics 2024, 11, 40. [Google Scholar] [CrossRef]
- Irimia, T.; Musat, G.C.; Prisada, R.M.; Ghica, M.V.; Dinu-Pîrvu, C.E.; Anuta, V.; Velescu, B.S.; Popa, L. Contributions on formulation and preliminary evaluation of ocular colloidal systems of chitosan and poloxamer 407 with bupivacaine hydrochloride. Farmacia 2019, 67, 702–708. [Google Scholar] [CrossRef]
- Foegeding, E.A. Rheology and sensory texture of biopolymer gels. Curr. Opin. Colloid Interface Sci. 2007, 12, 242–250. [Google Scholar] [CrossRef]
- Micheels, P.; Sarazin, D.; Tran, C.; Salomon, D. Effect of Different Crosslinking Technologies on Hyaluronic Acid Behavior: A Visual and Microscopic Study of Seven Hyaluronic Acid Gels. J. Drugs Dermatol. JDD 2016, 15, 600–606. [Google Scholar] [PubMed]
- Enright, K.; Weiner, S.; Durairaj, K.; Gilardino, M.; Nikolis, A. Evaluation of the Hydrophilic, Cohesive, and Physical Properties of Eight Hyaluronic Acid Fillers: Clinical Implications of Gel Differentiation. Clin. Cosmet. Investig. Dermatol. 2024, 17, 89–101. [Google Scholar] [CrossRef]
- Kim, K.T.; Lee, W.; Yang, E.-J. “Cohesiveness of Hyaluronic Acid Fillers”: Evaluation Using Multiple Cohesion Tests. Arch. Plast. Surg. 2023, 51, 14–19. [Google Scholar] [CrossRef]
- Falcone, S.; Palmeri, D.; Berg, R. Rheological and cohesive properties of hyaluronic acid. J. Biomed. Mater. Res. Part A 2006, 76, 721–728. [Google Scholar] [CrossRef]
- Dong, Q.; Guo, X.; Li, L.; Yu, C.; Nie, L.; Tian, W.; Zhang, H.; Huang, S.; Zang, H. Understanding hyaluronic acid induced variation of water structure by near-infrared spectroscopy. Sci. Rep. 2020, 10, 1387. [Google Scholar] [CrossRef]
- Tian, W.; Dong, Q.; Lin, B.-Y.; Yang, X.; Zhang, H.; Lian, L.; Nie, L.; Guo, X.; Huang, S.; Zang, H. Reveal the Relationship Between Hyaluronic Acid and Water Using Aquaphotomics. Asian J. Complement. Altern. Med. 2021, 9, 28–31. [Google Scholar] [CrossRef]
- Dedic, J.; Okur, H.; Roke, S. Hyaluronan orders water molecules in its nanoscale extended hydration shells. Sci. Adv. 2021, 7, eabf2558. [Google Scholar] [CrossRef] [PubMed]
- Kaufmann, J.; Möhle, K.; Hofmann, H.; Arnold, K. Molecular dynamics study of hyaluronic acid in water. J. Mol. Struct. Theochem 1998, 422, 109–121. [Google Scholar] [CrossRef]
- Yu, M.; Guo, X.; Zhang, K.; Kang, X.; Zhang, S.; Qian, L. Hyaluronic Acid Unveiled: Exploring the Nanomechanics and Water Retention Properties at the Single-Molecule Level. Langmuir ACS J. Surf. Colloids 2024, 40, 2616–2623. [Google Scholar] [CrossRef]
- Smith, P.; Ziolek, R.; Gazzarrini, E.; Owen, D.; Lorenz, C. On the interaction of hyaluronic acid with synovial fluid lipid membranes. Phys. Chem. Chem. Phys. PCCP 2019, 21, 9845–9857. [Google Scholar] [CrossRef] [PubMed]
- Zhuang, Z.; Wu, L.; Ma, X.; Diao, W.; Fang, Y. High-strength, tough, rapidly self-recoverable, and fatigue-resistant hydrogels based on multi-network and multi-bond toughening mechanism. J. Appl. Polym. Sci. 2018, 135, 46847. [Google Scholar] [CrossRef]
- Panteli, P.A.; Patrickios, C.S. Complex Hydrogels Based on Multiply Interpenetrated Polymer Networks: Enhancement of Mechanical Properties via Network Multiplicity and Monomer Concentration. Macromolecules 2018, 51, 7533–7545. [Google Scholar] [CrossRef]
- Li, L.; Zhao, B.; Feng, Z.; Wang, D.; Yuan, T.; Song, G.; Kim, S.-A.; Gong, J. Role and influence mechanism of different concentration of hyaluronic acid on physicochemical and organoleptic properties of yogurt. J. Dairy Sci. 2024, 108, 218–228. [Google Scholar] [CrossRef]
- Venezia, V.; Avallone, P.R.; Vitiello, G.; Silvestri, B.; Grizzuti, N.; Pasquino, R.; Luciani, G. Adding Humic Acids to Gelatin Hydrogels: A Way to Tune Gelation. Biomacromolecules 2021, 23, 443–453. [Google Scholar] [CrossRef] [PubMed]
- Matteini, P.; Dei, L.; Carretti, E.; Volpi, N.; Goti, A.; Pini, R. Structural behavior of highly concentrated hyaluronan. Biomacromolecules 2009, 10, 1516–1522. [Google Scholar] [CrossRef]
- Brito-Oliveira, T.; Moraes, I.; Pinho, S.; Campanella, O. Modeling creep/recovery behavior of cold-set gels using different approaches. Food Hydrocoll. 2022, 123, 107183. [Google Scholar] [CrossRef]
- Pourjavadi, A.; Tavakolizadeh, M.; Hosseini, S.H.; Rabiee, N.; Bagherzadeh, M. Highly stretchable, self-adhesive, and self-healable double network hydrogel based on alginate/polyacrylamide with tunable mechanical properties. J. Polym. Sci. 2020, 58, 2062–2073. [Google Scholar] [CrossRef]
- Puza, F.; Zheng, Y.; Han, L.; Xue, L.; Cui, J. Physical entanglement hydrogels: Ultrahigh water content but good toughness and stretchability. Polym. Chem. 2020, 11, 2339–2345. [Google Scholar] [CrossRef]
- Norioka, C.; Inamoto, Y.; Hajime, C.; Kawamura, A.; Miyata, T. A universal method to easily design tough and stretchable hydrogels. NPG Asia Mater. 2021, 13, 34. [Google Scholar] [CrossRef]
- Kibbelaar, H.; Deblais, A.; Velikov, K.; Bonn, D.; Shahidzadeh, N. Stringiness of hyaluronic acid emulsions. Int. J. Cosmet. Sci. 2021, 43, 458–465. [Google Scholar] [CrossRef]
- Trombino, S.; Servidio, C.; Curcio, F.; Cassano, R. Strategies for Hyaluronic Acid-Based Hydrogel Design in Drug Delivery. Pharmaceutics 2019, 11, 407. [Google Scholar] [CrossRef] [PubMed]
- Poveda-Reyes, S.; Moulisová, V.; Sanmartín-Masiá, E.; Quintanilla-Sierra, L.; Salmerón-Sánchez, M.; Ferrer, G. Gelatin-Hyaluronic Acid Hydrogels with Tuned Stiffness to Counterbalance Cellular Forces and Promote Cell Differentiation. Macromol. Biosci. 2016, 16, 1311–1324. [Google Scholar] [CrossRef]
- SUPAC-SS; Department of Health and Human Services; Food and Drug Administration; Center for Drug Evaluation and Research (CDER). Guidance for Industry. Nonsterile Semisolid Dosage Forms, Scale-Up and Post Approval Changes: Chemistry, Manufacturing, and Controls; In Vitro Release Testing and In Vivo Bioequivalence; Center for Drug Evaluation and Research: Beltsville, MD, USA, 1997. [Google Scholar]
- Talianu, M.-T.; Dinu-Pîrvu, C.-E.; Ghica, M.V.; Anuţa, V.; Prisada, R.M.; Popa, L. Development and Characterization of New Miconazole-Based Microemulsions for Buccal Delivery by Implementing a Full Factorial Design Modeling. Pharmaceutics 2024, 16, 271. [Google Scholar] [CrossRef] [PubMed]
- Mircioiu, C.; Voicu, V.; Anuta, V.; Tudose, A.; Celia, C.; Paolino, D.; Fresta, M.; Sandulovici, R.; Mircioiu, I. Mathematical Modeling of Release Kinetics from Supramolecular Drug Delivery Systems. Pharmaceutics 2019, 11, 140. [Google Scholar] [CrossRef]
- Laracuente, M.-L.; Yu, M.; McHugh, K. Zero-order drug delivery: State of the art and future prospects. J. Control. Release 2020, 327, 834–856. [Google Scholar] [CrossRef] [PubMed]
- Askarizadeh, M.; Esfandiari, N.; Honarvar, B.; Sajadian, S.; Azdarpour, A. Kinetic Modeling to Explain the Release of Medicine from Drug Delivery Systems. ChemBioEng Rev. 2023, 10, 1006–1049. [Google Scholar] [CrossRef]
- Petropoulos, J.; Papadokostaki, K.; Sanopoulou, M. Higuchi’s equation and beyond: Overview of the formulation and application of a generalized model of drug release from polymeric matrices. Int. J. Pharm. 2012, 437, 178–191. [Google Scholar] [CrossRef]
- Gomes-Filho, M.; Oliveira, F.; Barbosa, M. Modeling the diffusion-erosion crossover dynamics in drug release. Phys. Rev. E 2021, 105, 44110. [Google Scholar] [CrossRef]
- Portet, S. A primer on model selection using the Akaike Information Criterion. Infect. Dis. Model. 2020, 5, 111–128. [Google Scholar] [CrossRef]
- Barmpalexis, P.; Kachrimanis, K.; Malamataris, S. Statistical moments in modelling of swelling, erosion and drug release of hydrophilic matrix-tablets. Int. J. Pharm. 2018, 540, 1–10. [Google Scholar] [CrossRef]
- Guvendiren, M.; Lu, H.D.; Burdick, J.A. Shear-thinning hydrogels for biomedical applications. Soft Matter 2012, 8, 260–272. [Google Scholar] [CrossRef]
- Li, X.; Sun, Q.; Li, Q.; Kawazoe, N.; Chen, G. Functional Hydrogels with Tunable Structures and Properties for Tissue Engineering Applications. Front. Chem. 2018, 6, 499. [Google Scholar] [CrossRef] [PubMed]
- Takahashi, M.; Hatakeyama, T.; Hatakeyama, H. Phenomenological theory describing the behaviour of non-freezing water in structure formation process of polysaccharide aqueous solutions. Carbohydr. Polym. 2000, 41, 91–95. [Google Scholar] [CrossRef]
- Yoshida, H.; Hatakeyama, T.; Hatakeyama, H. Characterization of water in polysaccharide hydrogels by DSC. J. Therm. Anal. Calorim. 1993, 40, 483–489. [Google Scholar] [CrossRef]
- Ma, C.Y.; Laaksonen, A.; Liu, C.; Lu, X.H.; Ji, X.Y. The peculiar effect of water on ionic liquids and deep eutectic solvents. Chem. Soc. Rev. 2018, 47, 8685–8720. [Google Scholar] [CrossRef]
- Vilková, M.; Plotka-Wasylka, J.; Andruch, V. The role of water in deep eutectic solvent-base extraction. J. Mol. Liq. 2020, 304, 112747. [Google Scholar] [CrossRef]
- Gun’ko, V.; Savina, I.; Mikhalovsky, S. Properties of Water Bound in Hydrogels. Gels 2017, 3, 37. [Google Scholar] [CrossRef]
- Ilomuanya, M.; Seriki, Z.; Ubani-Ukoma, U.; Oseni, B.; Silva, B. Silver Sulphadiazine- xanthan gum- hyaluronic Acid Composite Hydrogel for Wound Healing: Formulation Development and in vivo Evaluation. Niger. J. Pharm. Res. 2020, 16, 21–29. [Google Scholar] [CrossRef]
- Bueno, V.; Bentini, R.; Catalani, L.; Petri, D. Synthesis and swelling behavior of xanthan-based hydrogels. Carbohydr. Polym. 2013, 92, 1091–1099. [Google Scholar] [CrossRef]
- Sethi, S.; Saruchi Kaith, B.S.; Kaur, M.; Sharma, N.; Kumar, V. Cross-linked xanthan gum–starch hydrogels as promising materials for controlled drug delivery. Cellulose 2020, 27, 4565–4589. [Google Scholar] [CrossRef]
- Flynn, J.; Durack, E.; Collins, M.; Hudson, S. Tuning the strength and swelling of an injectable polysaccharide hydrogel and the subsequent release of a broad spectrum bacteriocin, nisin A. J. Mater. Chem. B 2020, 18, 4029–4038. [Google Scholar] [CrossRef] [PubMed]
- Kuang, J.; Yuk, K.Y.; Huh, K. Polysaccharide-based superporous hydrogels with fast swelling and superabsorbent properties. Carbohydr. Polym. 2011, 83, 284–290. [Google Scholar] [CrossRef]
- Gabriele, F.; Chiarini, M.; Germani, R.; Tiecco, M.; Spreti, N. Effect of water addition on choline chloride/glycol deep eutectic solvents: Characterization of their structural and physicochemical properties. J. Mol. Liq. 2019, 291, 111301. [Google Scholar] [CrossRef]
- Ferreira, A.; Craveiro, R.; Duarte, A.; Barreiros, S.; Cabrita, E.; Paiva, A. Effect of water on the structure and dynamics of choline chloride/glycerol eutectic systems. J. Mol. Liq. 2021, 342, 117463. [Google Scholar] [CrossRef]
- Sapir, L.; Harries, D. Restructuring a Deep Eutectic Solvent by Water: The Nanostructure of Hydrated Choline Chloride/Urea. J. Chem. Theory Comput. 2020, 5, 3335–3342. [Google Scholar] [CrossRef]
- Picchio, M.; Minudri, D.; Mantione, D.; Criado-Gonzalez, M.; Guzmán-González, G.; Schmarsow, R.; Müller, A.; Tomé, L.; Minari, R.; Mecerreyes, D. Natural Deep Eutectic Solvents Based on Choline Chloride and Phenolic Compounds as Efficient Bioadhesives and Corrosion Protectors. ACS Sustain. Chem. Eng. 2022, 10, 8135–8142. [Google Scholar] [CrossRef]
- Jurić, T.; Uka, D.; Holló, B.; Jović, B.; Kordić, B.; Popović, B. Comprehensive physicochemical evaluation of choline chloride-based natural deep eutectic solvents. J. Mol. Liq. 2021, 343, 116968. [Google Scholar] [CrossRef]
- Triolo, A.; Celso, F.; Brehm, M.; Di Lisio, V.; Russina, O. Liquid structure of a choline chloride-water natural deep eutectic solvent: A molecular dynamics characterization. J. Mol. Liq. 2021, 331, 115750. [Google Scholar] [CrossRef]
- Filip, D.; Macocinschi, D.; Bălan-Porcărașu, M.; Varganici, C.; Dumitriu, R.; Peptanariu, D.; Tuchiluş, C.; Zaltariov, M. Biocompatible Self-Assembled Hydrogen-Bonded Gels Based on Natural Deep Eutectic Solvents and Hydroxypropyl Cellulose with Strong Antimicrobial Activity. Gels 2022, 8, 666. [Google Scholar] [CrossRef]
- Baus, R.A.; Zahir-Jouzdani, F.; Dünnhaupt, S.; Atyabi, F.; Bernkop-Schnürch, A. Mucoadhesive hydrogels for buccal drug delivery: In vitro-in vivo correlation study. Eur. J. Pharm. Biopharm. 2019, 142, 498–505. [Google Scholar] [CrossRef]
- Abioye, A.; Issah, S.; Kola-Mustapha, A. Ex vivo skin permeation and retention studies on chitosan-ibuprofen-gellan ternary nanogel prepared by in situ ionic gelation technique—A tool for controlled transdermal delivery of ibuprofen. Int. J. Pharm. 2015, 490, 112–130. [Google Scholar] [CrossRef]
- Sogias, I.; Williams, A.; Khutoryanskiy, V. Chitosan-based mucoadhesive tablets for oral delivery of ibuprofen. Int. J. Pharm. 2012, 436, 602–610. [Google Scholar] [CrossRef] [PubMed]
- Al-Akayleh, F.; Khalid, R.M.; Hawash, D.; Al-Kaissi, E.; Al-Adham, I.S.I.; Al-Muhtaseb, N.; Jaber, N.; Al-Remawi, M.; Collier, P.J. Antimicrobial potential of natural deep eutectic solvents. Lett. Appl. Microbiol. 2022, 75, 607–615. [Google Scholar] [CrossRef] [PubMed]
- Bedair, H.M.; Samir, T.M.; Mansour, F.R. Antibacterial and antifungal activities of natural deep eutectic solvents. Appl. Microbiol. Biotechnol. 2024, 108, 198. [Google Scholar] [CrossRef]
- Jenny, J.C.; Kuś, P.M.; Szweda, P. Investigation of antifungal and antibacterial potential of green extracts of propolis. Sci. Rep. 2024, 14, 13613. [Google Scholar] [CrossRef] [PubMed]
- Oliveira, F.; Silva, E.; Matias, A.; Silva, J.M.; Reis, R.L.; Duarte, A.R.C. Menthol-based deep eutectic systems as antimicrobial and anti-inflammatory agents for wound healing. Eur. J. Pharm. Sci. 2023, 182, 106368. [Google Scholar] [CrossRef]
- Senpuku, H.; Sogame, A.; Inoshita, E.; Tsuha, Y.; Miyazaki, H.; Hanada, N.J.G. Systemic diseases in association with microbial species in oral biofilm from elderly requiring care. Gerontology 2003, 49, 301–309. [Google Scholar] [CrossRef]
- Bottone, E.J. Bacillus cereus, a volatile human pathogen. Clin. Microbiol. Rev. 2010, 23, 382–398. [Google Scholar] [CrossRef]
- Komiyama, E.Y.; Lepesqueur, L.S.S.; Yassuda, C.G.; Samaranayake, L.P.; Parahitiyawa, N.B.; Balducci, I.; Koga-Ito, C.Y. Enterococcus Species in the Oral Cavity: Prevalence, Virulence Factors and Antimicrobial Susceptibility. PLoS ONE 2016, 11, e0163001. [Google Scholar] [CrossRef]
- Franzetti, L.; Pompei, M.; Scarpellini, M.; Galli, A. Phenotypic and genotypic characterization of Enterococcus spp. of different origins. Curr. Microbiol. 2004, 49, 255–260. [Google Scholar] [CrossRef] [PubMed]
- Alghamdi, S. Isolation and identification of the oral bacteria and their characterization for bacteriocin production in the oral cavity. Saudi J. Biol. Sci. 2022, 29, 318–323. [Google Scholar] [CrossRef]
- Chan, E.W.L.; Yee, Z.Y.; Raja, I.; Yap, J.K.Y. Synergistic effect of non-steroidal anti-inflammatory drugs (NSAIDs) on antibacterial activity of cefuroxime and chloramphenicol against methicillin-resistant Staphylococcus aureus. J. Glob. Antimicrob. Resist. 2017, 10, 70–74. [Google Scholar] [CrossRef] [PubMed]
- Romaniuk, J.A.; Cegelski, L. Bacterial cell wall composition and the influence of antibiotics by cell-wall and whole-cell NMR. Philos. Trans. R. Soc. B Biol. Sci. 2015, 370, 20150024. [Google Scholar] [CrossRef]
- Maher, C.; Hassan, K.A. The Gram-negative permeability barrier: Tipping the balance of the in and the out. MBio 2023, 14, e01205–e01223. [Google Scholar] [CrossRef] [PubMed]
- Choi, U.; Lee, C.-R. Distinct Roles of Outer Membrane Porins in Antibiotic Resistance and Membrane Integrity in Escherichia coli. Front. Microbiol. 2019, 10, 953. [Google Scholar] [CrossRef]
- Alsop, R.J.; Armstrong, C.L.; Maqbool, A.; Toppozini, L.; Dies, H.; Rheinstädter, M.C. Cholesterol expels ibuprofen from the hydrophobic membrane core and stabilizes lamellar phases in lipid membranes containing ibuprofen. Soft Matter 2015, 11, 4756–4767. [Google Scholar] [CrossRef]
- Gaurav, A.; Bakht, P.; Saini, M.; Pandey, S.; Pathania, R. Role of bacterial efflux pumps in antibiotic resistance, virulence, and strategies to discover novel efflux pump inhibitors. Microbiology 2023, 169, 001333. [Google Scholar] [CrossRef]
- Koh, Q.Q.; Kua, Y.L.; Gan, S.; Tan, K.W.; Lee, T.Z.E.; Cheng, W.K.; Lau, H.L.N. Sugar-based natural deep eutectic solvent (NADES): Physicochemical properties, antimicrobial activity, toxicity, biodegradability and potential use as green extraction media for phytonutrients. Sustain. Chem. Pharm. 2023, 35, 101218. [Google Scholar] [CrossRef]
- Jurić, T.; Mićić, N.; Potkonjak, A.; Milanov, D.; Dodić, J.; Trivunović, Z.; Popović, B.M. The evaluation of phenolic content, in vitro antioxidant and antibacterial activity of Mentha piperita extracts obtained by natural deep eutectic solvents. Food Chem. 2021, 362, 130226. [Google Scholar] [CrossRef]
- Hachity-Ortega, J.A.; Jerezano-Domínguez, A.V.; Pazos-Rojas, L.A.; Flores-Ledesma, A.; Pazos-Guarneros, D.d.C.; Parra-Solar, K.A.; Reyes-Cervantes, E.; Juárez-Díaz, I.; Medina, M.E.; González-Martínez, M.; et al. Effect of glycerol on properties of chitosan/chlorhexidine membranes and antibacterial activity against Streptococcus mutans. Front. Microbiol. 2024, 15, 1430954. [Google Scholar] [CrossRef] [PubMed]
- Rachmaniah, O.; Gama, G.R.F.; Pratama, Z.A.; Rachimoellah, M.J. Antimicrobial effect of dissolved curcuminoid in natural deep eutectic solvents (NADES) to Escherichia coli and Staphylococcus aureus: A promising candidate for antimicrobial photodynamic therapy (aPDT). Malays. J. Fundam. Appl. Sci. 2020, 16, 514–518. [Google Scholar]
- Grozdanova, T.; Trusheva, B.; Alipieva, K.; Popova, M.; Dimitrova, L.; Najdenski, H.; Zaharieva, M.M.; Ilieva, Y.; Vasileva, B.; Miloshev, G.; et al. Extracts of medicinal plants with natural deep eutectic solvents: Enhanced antimicrobial activity and low genotoxicity. BMC Chem. 2020, 14, 73. [Google Scholar] [CrossRef] [PubMed]
- Ivanović, M.; Grujić, D.; Cerar, J.; Islamčević Razboršek, M.; Topalić-Trivunović, L.; Savić, A.; Kočar, D.; Kolar, M. Extraction of Bioactive Metabolites from Achillea millefolium L. with Choline Chloride Based Natural Deep Eutectic Solvents: A Study of the Antioxidant and Antimicrobial Activity. Antioxidants 2022, 11, 724. [Google Scholar] [CrossRef]
- Kolarević, L.; Horozić, E.; Ademović, Z.; Kundalić, B.Š.; Husejnagić, D. Influence of Deep Eutectic Solvents (DESs) on Antioxidant and Antimicrobial Activity of Seed Extracts of Selected Citrus Species. Int. Res. J. Pure Appl. Chem. 2020, 21, 120–128. [Google Scholar] [CrossRef]
- Obad, J.; Šušković, J.; Kos, B. Antimicrobial activity of ibuprofen: New perspectives on an “Old” non-antibiotic drug. Eur. J. Pharm. Sci. 2015, 71, 93–98. [Google Scholar] [CrossRef]
- Vijayashree Priyadharsini, J. In silico validation of the non-antibiotic drugs acetaminophen and ibuprofen as antibacterial agents against red complex pathogens. J. Periodontol. 2019, 90, 1441–1448. [Google Scholar] [CrossRef]
- Al-Janabi, A.A. In vitro antibacterial activity of Ibuprofen and acetaminophen. J. Glob. Infect. Dis. 2010, 2, 105–108. [Google Scholar] [CrossRef]
- Lopes, A.H.; Silva, R.L.; Fonseca, M.D.; Gomes, F.I.; Maganin, A.G.; Ribeiro, L.S.; Marques, L.M.M.; Cunha, F.Q.; Alves-Filho, J.C.; Zamboni, D.S.; et al. Molecular basis of carrageenan-induced cytokines production in macrophages. Cell Commun. Signal. CCS 2020, 18, 141. [Google Scholar] [CrossRef]
- Morris, C.J. Carrageenan-Induced Paw Edema in the Rat and Mouse. In Inflammation Protocols; Winyard, P.G., Willoughby, D.A., Eds.; Humana Press: Totowa, NJ, USA, 2003; pp. 115–121. [Google Scholar]
- Sur, B.; Kang, S.; Kim, M.; Oh, S. Inhibition of Carrageenan/Kaolin-Induced Arthritis in Rats and of Inflammatory Cytokine Expressions in Human IL-1β-Stimulated Fibroblast-like Synoviocytes by a Benzylideneacetophenone Derivative. Inflammation 2019, 42, 928–936. [Google Scholar] [CrossRef]
- Cong, H.H.; Khaziakhmetova, V.N.; Zigashina, L.E. Rat paw oedema modeling and NSAIDs: Timing of effects. Int. J. Risk Saf. Med. 2015, 27 (Suppl. 1), S76–S77. [Google Scholar] [CrossRef] [PubMed]
- ICH. International Conference on Harmonisation of Technical Requirements for Registration of Pharmaceuticals for Human Use. ICH Harmonised Tripartite Guideline: Validation of Analytical Procedures: Text and Methodology Q2(R2) Step 5 Version 1. 2024. Available online: https://www.ema.europa.eu/en/documents/scientific-guideline/ich-q2r2-guideline-validation-analytical-procedures-step-5-revision-1_en.pdf (accessed on 12 June 2024).
- Tudoroiu, E.-E.; Albu Kaya, M.G.; Titorencu, I.; Dinu-Pîrvu, C.E.; Marin, M.M.; Roșca, A.-M.; Popa, L.; Anuța, V.; Antoniac, A.; Chelaru, C.; et al. Design and evaluation of new wound dressings based on collagen-cellulose derivatives. Mater. Des. 2023, 236, 112469. [Google Scholar] [CrossRef]
- Cocoș, F.-I.; Anuța, V.; Popa, L.; Ghica, M.V.; Nica, M.-A.; Mihăilă, M.; Fierăscu, R.C.; Trică, B.; Nicolae, C.A.; Dinu-Pîrvu, C.-E. Development and Evaluation of Docetaxel-Loaded Nanostructured Lipid Carriers for Skin Cancer Therapy. Pharmaceutics 2024, 16, 960. [Google Scholar] [CrossRef]
- Chandra, M.V.; Shamasundar, B.A. Texture Profile Analysis and Functional Properties of Gelatin from the Skin of Three Species of Fresh Water Fish. Int. J. Food Prop. 2015, 18, 572–584. [Google Scholar] [CrossRef]
- Mircioiu, I.; Anuta, V.; Ibrahim, N.; Mircioiu, C. Dissolution of tamoxifen in biorelevant media. A two phase release model. Farmacia 2012, 60, 315–324. [Google Scholar]
- Musuc, A.M.; Anuta, V.; Atkinson, I.; Sarbu, I.; Popa, V.T.; Munteanu, C.; Mircioiu, C.; Ozon, E.A.; Nitulescu, G.M.; Mitu, M.A. Formulation of Chewable Tablets Containing Carbamazepine-β-cyclodextrin Inclusion Complex and F-Melt Disintegration Excipient. The Mathematical Modeling of the Release Kinetics of Carbamazepine. Pharmaceutics 2021, 13, 915. [Google Scholar] [CrossRef] [PubMed]
- Ali, J.; Bong Lee, J.; Gittings, S.; Iachelini, A.; Bennett, J.; Cram, A.; Garnett, M.; Roberts, C.J.; Gershkovich, P. Development and optimisation of simulated salivary fluid for biorelevant oral cavity dissolution. Eur. J. Pharm. Biopharm. 2021, 160, 125–133. [Google Scholar] [CrossRef]
- Dinte, E.; Muntean, D.M.; Andrei, V.; Boșca, B.A.; Dudescu, C.M.; Barbu-Tudoran, L.; Borodi, G.; Andrei, S.; Gal, A.F.; Rus, V.; et al. In Vitro and In Vivo Characterisation of a Mucoadhesive Buccal Film Loaded with Doxycycline Hyclate for Topical Application in Periodontitis. Pharmaceutics 2023, 15, 580. [Google Scholar] [CrossRef]
- Fierascu, I.; Ungureanu, C.; Avramescu, S.M.; Cimpeanu, C.; Georgescu, M.I.; Fierascu, R.C.; Ortan, A.; Sutan, A.N.; Anuta, V.; Zanfirescu, A.; et al. Genoprotective, antioxidant, antifungal and anti-inflammatory evaluation of hydroalcoholic extract of wild-growing Juniperus communis L. (Cupressaceae) native to Romanian southern sub-Carpathian hills. BMC Complement. Altern. Med. 2018, 18, 3. [Google Scholar] [CrossRef]


















| Code | Y1 (Pa·sn) | Y2 | Y3 (Pa·s−1) | Y4 (%) | Y5 (N) | Y6 (N·s) | Y7 | Y8 | Y9 | Y10 (mm) | Y11 (μg/cm2/min1/2) | Y12 (μg/cm2) |
|---|---|---|---|---|---|---|---|---|---|---|---|---|
| G1 | 84.6 ± 1.5 | 0.219 ± 0.014 | 1835 ± 51 | 10.73 ± 0.40 | 0.991 ± 0.021 | 2.36 ± 0.04 | 0.957 ± 0.026 | 0.173 ± 0.005 | 0.973 ± 0.036 | 20.79 ± 1.15 | 207.1 ± 3.8 | 1302 ± 48 |
| G2 | 104.4 ± 4.8 | 0.203 ± 0.007 | 2408 ± 200 | 10.62 ± 0.69 | 1.213 ± 0.083 | 2.67 ± 0.20 | 0.921 ± 0.076 | 0.233 ± 0.022 | 0.978 ± 0.045 | 22.60 ± 1.04 | 149.1 ± 13.8 | 1157 ± 43 |
| G3 | 25.8 ± 2.4 | 0.265 ± 0.015 | 687 ± 51 | 9.07 ± 0.67 | 0.417 ± 0.011 | 0.89 ± 0.07 | 1.007 ± 0.102 | 0.189 ± 0.009 | 0.969 ± 0.081 | 17.17 ± 0.95 | 244.2 ± 22.5 | 1403 ± 52 |
| G4 | 108.3 ± 10 | 0.218 ± 0.010 | 2770 ± 153 | 11.28 ± 0.31 | 1.107 ± 0.089 | 2.98 ± 0.14 | 0.995 ± 0.055 | 0.181 ± 0.017 | 0.955 ± 0.044 | 22.60 ± 1.67 | 121.8 ± 2.2 | 1116 ± 103 |
| G5 | 61.1 ± 5.1 | 0.231 ± 0.015 | 1351 ± 50 | 8.87 ± 0.57 | 0.752 ± 0.036 | 1.90 ± 0.04 | 0.971 ± 0.081 | 0.161 ± 0.012 | 0.954 ± 0.062 | 18.67 ± 0.52 | 196.3 ± 5.4 | 1379 ± 64 |
| G6 | 131.8 ± 6.1 | 0.189 ± 0.017 | 1441 ± 53 | 5.76 ± 0.37 | 1.144 ± 0.142 | 2.96 ± 0.19 | 0.974 ± 0.036 | 0.209 ± 0.004 | 0.974 ± 0.081 | 18.53 ± 1.54 | 128.5 ± 11.9 | 1126 ± 104 |
| G7 | 85.2 ± 3.1 | 0.259 ± 0.012 | 3230 ± 209 | 13.20 ± 0.85 | 1.174 ± 0.042 | 3.13 ± 0.09 | 0.867 ± 0.080 | 0.153 ± 0.007 | 0.986 ± 0.073 | 24.41 ± 0.68 | 197.3 ± 5.5 | 1232 ± 57 |
| G8 | 37.2 ± 1.0 | 0.317 ± 0.026 | 1810 ± 167 | 13.27 ± 1.22 | 0.689 ± 0.044 | 1.70 ± 0.05 | 0.957 ± 0.071 | 0.112 ± 0.007 | 0.973 ± 0.045 | 21.70 ± 1.20 | 256.6 ± 23.7 | 1541 ± 100 |
| G9 | 73.7 ± 6.1 | 0.212 ± 0.010 | 1024 ± 76 | 6.26 ± 0.17 | 0.772 ± 0.020 | 2.01 ± 0.07 | 0.957 ± 0.062 | 0.191 ± 0.005 | 0.974 ± 0.072 | 19.43 ± 1.26 | 184.8 ± 11.9 | 1197 ± 33 |
| G10 | 116.9 ± 8.6 | 0.219 ± 0.014 | 1865 ± 34 | 8.46 ± 0.70 | 1.232 ± 0.060 | 2.92 ± 0.13 | 0.875 ± 0.032 | 0.185 ± 0.003 | 0.993 ± 0.055 | 23.05 ± 1.91 | 197.7 ± 18.2 | 1327 ± 98 |
| G11 | 81.5 ± 6 | 0.223 ± 0.014 | 2080 ± 38 | 11.60 ± 0.21 | 0.983 ± 0.083 | 2.62 ± 0.15 | 0.940 ± 0.069 | 0.167 ± 0.017 | 0.977 ± 0.036 | 20.51 ± 1.70 | 207.1 ± 3.8 | 1351 ± 62 |
| G12 | 94.1 ± 3.5 | 0.319 ± 0.018 | 3782 ± 105 | 13.50 ± 0.5 | 1.173 ± 0.059 | 3.49 ± 0.26 | 0.781 ± 0.050 | 0.184 ± 0.014 | 1.003 ± 0.037 | 26.21 ± 2.42 | 224.3 ± 18.6 | 1382 ± 77 |
| G13 | 86.8 ± 7.2 | 0.186 ± 0.005 | 736 ± 48 | 4.38 ± 0.08 | 0.908 ± 0.090 | 2.06 ± 0.04 | 1.002 ± 0.037 | 0.244 ± 0.025 | 0.951 ± 0.053 | 16.72 ± 0.93 | 109.4 ± 6.1 | 984 ± 18 |
| G14 | 150.4 ± 4.2 | 0.193 ± 0.005 | 5682 ± 105 | 15.85 ± 1.02 | 1.569 ± 0.084 | 3.77 ± 0.35 | 0.790 ± 0.015 | 0.248 ± 0.018 | 0.996 ± 0.092 | 24.86 ± 0.92 | 161.9 ± 3.0 | 1094 ± 101 |
| G15 | 67.6 ± 1.9 | 0.249 ± 0.023 | 1076 ± 99 | 6.29 ± 0.41 | 0.783 ± 0.017 | 2.18 ± 0.14 | 0.957 ± 0.062 | 0.154 ± 0.013 | 0.985 ± 0.045 | 18.98 ± 0.53 | 230.0 ± 8.5 | 1394 ± 64 |
| G16 | 89.9 ± 5.8 | 0.219 ± 0.004 | 1638 ± 45 | 9.80 ± 0.27 | 1.001 ± 0.085 | 2.62 ± 0.17 | 0.953 ± 0.044 | 0.166 ± 0.012 | 0.970 ± 0.090 | 19.89 ± 0.55 | 194.0 ± 16.1 | 1326 ± 24 |
| G17 | 51.0 ± 4.2 | 0.260 ± 0.024 | 1849 ± 171 | 12.13 ± 0.56 | 0.724 ± 0.019 | 2.00 ± 0.15 | 0.926 ± 0.034 | 0.139 ± 0.003 | 0.986 ± 0.055 | 20.79 ± 1.73 | 239.2 ± 13.2 | 1490 ± 96 |
| Variable | Intercept | X1 | X2 | X3 | X1X2 | X1X3 | X2X3 | Model | Lack of Fit | Adjusted R2 | |||
|---|---|---|---|---|---|---|---|---|---|---|---|---|---|
| Y1 | 81.48 | −8.95 | 24.17 | 30.58 | - | - | - | - | 6.53 | - | - | - | 0.9761 |
| p-values | - | <0.0001 | <0.0001 | <0.0001 | - | - | - | - | 0.020 | - | <0.0001 | 0.480 | - |
| Y2 | 0.225 | −0.020 | - | −0.042 | - | 0.011 | - | 0.016 | - | - | - | - | 0.9337 |
| p-values | - | <0.0001 | - | <0.0001 | - | 0.013 | - | 0.008 | - | - | <0.0001 | 0.091 | - |
| Y3 | 1860.43 | −1231.00 | 649.20 | 383.30 | −473.75 | −305.75 | 363.67 | - | - | 0.9303 | |||
| p-values | - | <0.0001 | <0.0001 | 0.004 | 0.002 | 0.026 | - | - | - | 0.049 | <0.0001 | 0.314 | - |
| Y4 | 10.29 | −3.53 | 0.30 | −0.64 | −0.78 | −0.70 | 1.06 | - | −1.55 | 1.17 | 0.9562 | ||
| p-values | - | <0.0001 | 0.190 | 0.016 | 0.010 | 0.017 | 0.002 | - | 0.004 | 0.015 | <0.0001 | 0.848 | - |
| Y5 | 0.978 | −0.169 | 0.203 | 0.216 | −0.043 | - | - | - | 0.9841 | ||||
| p-values | - | <0.0001 | <0.0001 | <0.0001 | 0.004 | - | - | - | - | - | <0.0001 | 0.153 | - |
| Y6 | 2.48 | −0.50 | 0.58 | 0.42 | - | - | −0.17 | - | - | - | - | - | 0.9589 |
| p-values | - | <0.0001 | <0.0001 | <0.0001 | - | - | 0.005 | - | - | - | <0.0001 | 0.646 | - |
| Y7 | 0.931 | 0.051 | −0.055 | - | 0.038 | - | - | - | - | - | - | - | 0.9417 |
| p-values | - | <0.0001 | <0.0001 | - | <0.0001 | - | - | <0.0001 | 0.228 | - | |||
| Y8 | 0.170 | 0.011 | 0.009 | 0.034 | −0.026 | - | - | - | - | 0.018 | - | - | 0.9447 |
| p-values | - | 0.002 | 0.005 | <0.0001 | <0.0001 | - | - | - | - | 0.001 | <0.0001 | 0.169 | - |
| Y9 | 0.976 | −0.006 | 0.015 | −0.006 | −0.004 | - | - | - | - | - | - | - | 0.915 |
| p-values | - | 0.002 | <0.0001 | 0.002 | 0.042 | - | - | - | - | - | <0.0001 | 0.343 | - |
| Y10 | 20.99 | −2.89 | 1.48 | - | - | - | - | - | - | - | - | - | 0.9096 |
| p-values | - | <0.0001 | <0.0001 | - | - | - | - | - | - | - | <0.0001 | 0.220 | - |
| Y11 | 198.64 | −6.50 | 1.41 | −52.36 | - | - | 13.21 | −12.76 | - | - | - | - | 0.9623 |
| p-values | - | 0.034 | 0.610 | <0.0001 | - | - | 0.001 | 0.011 | - | - | <0.0001 | 0.503 | - |
| Y12 | 1323.29 | −25.95 | −9.97 | −173.35 | 39.28 | - | 35.92 | -104.10 | 34.50 | - | - | - | 0.9886 |
| p-values | 0.001 | 0.083 | <0.0001 | <0.0001 | - | 0.000 | <0.0001 | 0.005 | - | <0.0001 | 0.916 | - |
| Sample | Zero Order | First Order | Higuchi | Korsmeyer–Peppas | Weibull | |||||||
|---|---|---|---|---|---|---|---|---|---|---|---|---|
| R2 | k0 | R2 | k1 | R2 | kKP | n | R2 | kH | R2 | α | β | |
| G1 | 0.9265 | 0.067 | 0.9916 | 0.002 | 0.9932 | 2.44 | 0.585 | 0.9987 | 1.381 | 0.9906 | 674.3 | 1.007 |
| G2 | 0.9224 | 0.049 | 0.9840 | 0.001 | 0.9949 | 1.83 | 0.559 | 0.9993 | 1.227 | 0.9962 | 235.7 | 0.774 |
| G3 | 0.9310 | 0.070 | 0.9869 | 0.002 | 0.9898 | 2.56 | 0.603 | 0.9973 | 1.268 | 0.9862 | 1016.6 | 1.080 |
| G4 | 0.8951 | 0.038 | 0.9503 | 0.001 | 0.9964 | 1.47 | 0.507 | 0.9961 | 1.410 | 0.9935 | 123.7 | 0.631 |
| G5 | 0.9313 | 0.061 | 0.9904 | 0.001 | 0.9931 | 2.25 | 0.577 | 0.9993 | 1.339 | 0.9903 | 455.5 | 0.924 |
| G6 | 0.9099 | 0.039 | 0.9635 | 0.001 | 0.9967 | 1.49 | 0.532 | 0.9984 | 1.205 | 0.9961 | 160.7 | 0.673 |
| G7 | 0.9199 | 0.066 | 0.9927 | 0.002 | 0.9933 | 2.42 | 0.582 | 0.9972 | 1.393 | 0.9921 | 519.9 | 0.967 |
| G8 | 0.9305 | 0.074 | 0.9949 | 0.002 | 0.9910 | 2.70 | 0.599 | 0.9978 | 1.369 | 0.9809 | 1189.5 | 1.119 |
| G9 | 0.9275 | 0.056 | 0.9897 | 0.001 | 0.9937 | 2.06 | 0.579 | 0.9986 | 1.208 | 0.9934 | 334.0 | 0.854 |
| G10 | 0.9263 | 0.059 | 0.9919 | 0.001 | 0.9934 | 2.19 | 0.578 | 0.9984 | 1.292 | 0.9931 | 394.3 | 0.896 |
| G11 | 0.9072 | 0.064 | 0.9900 | 0.002 | 0.9964 | 2.42 | 0.551 | 0.9965 | 1.708 | 0.9910 | 329.7 | 0.895 |
| G12 | 0.9251 | 0.066 | 0.9918 | 0.002 | 0.9907 | 2.47 | 0.584 | 0.9976 | 1.385 | 0.9909 | 640.8 | 1.000 |
| G13 | 0.9172 | 0.032 | 0.9595 | 0.000 | 0.9979 | 1.24 | 0.536 | 0.9998 | 0.980 | 0.9986 | 180.5 | 0.654 |
| G14 | 0.9206 | 0.048 | 0.9844 | 0.001 | 0.9904 | 1.81 | 0.577 | 0.9972 | 1.058 | 0.9970 | 260.4 | 0.783 |
| G15 | 0.9508 | 0.068 | 0.9838 | 0.001 | 0.9845 | 2.43 | 0.638 | 0.9984 | 0.955 | 0.9843 | 1904.4 | 1.155 |
| G16 | 0.9393 | 0.057 | 0.9934 | 0.001 | 0.9871 | 2.08 | 0.608 | 0.9979 | 1.005 | 0.9937 | 533.6 | 0.927 |
| G17 | 0.9300 | 0.069 | 0.9943 | 0.002 | 0.9893 | 2.53 | 0.597 | 0.9955 | 1.283 | 0.9951 | 1223.2 | 1.100 |
| Predicted Value | Experimental Value (n = 6) | Bias (%) | |
|---|---|---|---|
| Y1—Consistency index (Pa·sn) | 66.89 | 67.50 ± 3.86 | +0.91 |
| Y2—Flow behavior index | 0.2753 | 0.2607 ± 0.0106 | −5.30 |
| Y3—Hysteresis loop area (Pa·s−1) | 2450.3 | 2198.2 ± 167.6 | −10.29 |
| Y4—Thixotropy index (%) | 12.10 | 13.23 ± 0.72 | +9.33 |
| Y5—Hardness (N) | 0.9111 | 0.9779 ± 0.0823 | +7.33 |
| Y6—Adhesiveness (N·s) | 2.5663 | 2.2966 ± 0.1421 | −10.51 |
| Y7—Cohesiveness | 0.8864 | 0.8861 ± 0.0721 | −0.03 |
| Y8—Resilience | 0.1606 | 0.1742 ± 0.0117 | +8.46 |
| Y9—Springiness | 0.9919 | 0.9866 ± 0.0722 | −0.53 |
| Y10—Stringiness (mm) | 22.44 | 21.24 ± 1.51 | −5.35 |
| Y11—Release rate (μg/cm2/min1/2) | 245.89 | 237.34 ± 13.61 | −3.48 |
| Y12—Cumulative release 2 h (μg/cm2) | 1477.63 | 1608.81 ± 48.20 | +8.88 |
| Sample | K (Pa·sn) | n | R2 |
|---|---|---|---|
| XTG-HA-NADES-IBU | 67.50 | 0.2607 | 0.9989 |
| XTG-HA-NADES | 65.69 | 0.2407 | 0.9982 |
| XTG-HA | 11.82 | 0.3604 | 0.9948 |
| NADES | 0.95 | 0.9734 | 0.9959 |
| Sample | B. cereus | E. faecium | K. pneumoniae | |||
|---|---|---|---|---|---|---|
| MIC (mg/mL) | MBC (mg/mL) | MIC (mg/mL) | MBC (mg/mL) | MIC (mg/mL) | MBC (mg/mL) | |
| XTG-HA | >50 | >50 | 50 | >50 | >50 | >50 |
| NADES | >50 | >50 | 50 | >50 | >50 | >50 |
| XTG-HA-NADES | >50 | >50 | 50 | >50 | >50 | >50 |
| XTG-HA-NADES-IBU | 25 | >50 | 25 | >50 | >50 | >50 |
| Variable | Code | Level | ||
|---|---|---|---|---|
| Low (−1) | Medium (0) | High (+1) | ||
| Water (%) | X1 | 20 | 30 | 40 |
| HA (%) | X2 | 0.25 | 0.5 | 0.75 |
| XTG (%) | X3 | 1 | 1.5 | 2 |
| Response | Code | Measuring unit | ||
| Consistency index (K) | Y1 | Pa·sn | ||
| Flow behavior index (n) | Y2 | - | ||
| Hysteresis loop area (Sthix) | Y3 | Pa·s−1 | ||
| Thixotropy index (TI) | Y4 | % | ||
| Hardness | Y5 | N | ||
| Adhesiveness | Y6 | N·s | ||
| Cohesiveness | Y7 | - | ||
| Resilience | Y8 | - | ||
| Springiness | Y9 | - | ||
| Stringiness | Y10 | mm | ||
| Release rate | Y11 | μg/cm2/min1/2 | ||
| Cumulative release at 2 h | Y12 | μg/cm2 | ||
| Formulation Code | X1 Water (%) | X2 HA (%) | X3 XTG (%) |
|---|---|---|---|
| G1 | 30 | 0.50 | 1.5 |
| G2 | 30 | 0.50 | 2.0 |
| G3 | 40 | 0.25 | 1.0 |
| G4 | 20 | 0.25 | 2.0 |
| G5 | 30 | 0.25 | 1.5 |
| G6 | 40 | 0.75 | 2.0 |
| G7 | 20 | 0.50 | 1.5 |
| G8 | 20 | 0.25 | 1.0 |
| G9 | 40 | 0.50 | 1.5 |
| G10 | 30 | 0.75 | 1.5 |
| G11 | 30 | 0.50 | 1.5 |
| G12 | 20 | 0.75 | 1.0 |
| G13 | 40 | 0.25 | 2.0 |
| G14 | 20 | 0.75 | 2.0 |
| G15 | 40 | 0.75 | 1.0 |
| G16 | 30 | 0.50 | 1.5 |
| G17 | 30 | 0.50 | 1.0 |
| Model | Group | Treatment | Administration |
|---|---|---|---|
| Carrageenan (car) | 1-car | Water (1 mL/100 g body weight) | Oral |
| 2-car | Commercial 5% IBU gel (Larofen®) | 0.5 mL, topical (right hind paw) | |
| 3-car | XTG-HA-NADES gel | 0.5 mL, topical (right hind paw) | |
| 4-car | XTG-HA-NADES-IBU gel (2.5% IBU) | 0.5 mL, topical (right hind paw) | |
| Kaolin (cao) | 1-cao | Water (1 mL/100 g body weight) | Oral |
| 2-cao | Commercial 5% IBU gel (Larofen®) | 0.5 mL, topical (right hind paw) | |
| 3-cao | XTG-HA-NADES gel | 0.5 mL, topical (right hind paw) | |
| 4-cao | XTG-HA-NADES-IBU gel (2.5% IBU) | 0.5 mL, topical (right hind paw) |
Disclaimer/Publisher’s Note: The statements, opinions and data contained in all publications are solely those of the individual author(s) and contributor(s) and not of MDPI and/or the editor(s). MDPI and/or the editor(s) disclaim responsibility for any injury to people or property resulting from any ideas, methods, instructions or products referred to in the content. |
© 2025 by the authors. Licensee MDPI, Basel, Switzerland. This article is an open access article distributed under the terms and conditions of the Creative Commons Attribution (CC BY) license (https://creativecommons.org/licenses/by/4.0/).
Share and Cite
Anuța, V.; Nica, M.-A.; Prisada, R.-M.; Popa, L.; Velescu, B.Ș.; Marinas, I.C.; Gaboreanu, D.-M.; Ghica, M.V.; Cocoș, F.I.; Nicolae, C.A.; et al. Novel Buccal Xanthan Gum–Hyaluronic Acid Eutectogels with Dual Anti-Inflammatory and Antimicrobial Properties. Gels 2025, 11, 208. https://doi.org/10.3390/gels11030208
Anuța V, Nica M-A, Prisada R-M, Popa L, Velescu BȘ, Marinas IC, Gaboreanu D-M, Ghica MV, Cocoș FI, Nicolae CA, et al. Novel Buccal Xanthan Gum–Hyaluronic Acid Eutectogels with Dual Anti-Inflammatory and Antimicrobial Properties. Gels. 2025; 11(3):208. https://doi.org/10.3390/gels11030208
Chicago/Turabian StyleAnuța, Valentina, Mihaela-Alexandra Nica, Răzvan-Mihai Prisada, Lăcrămioara Popa, Bruno Ștefan Velescu, Ioana Cristina Marinas, Diana-Madalina Gaboreanu, Mihaela Violeta Ghica, Florentina Iuliana Cocoș, Cristian Andi Nicolae, and et al. 2025. "Novel Buccal Xanthan Gum–Hyaluronic Acid Eutectogels with Dual Anti-Inflammatory and Antimicrobial Properties" Gels 11, no. 3: 208. https://doi.org/10.3390/gels11030208
APA StyleAnuța, V., Nica, M.-A., Prisada, R.-M., Popa, L., Velescu, B. Ș., Marinas, I. C., Gaboreanu, D.-M., Ghica, M. V., Cocoș, F. I., Nicolae, C. A., & Dinu-Pîrvu, C.-E. (2025). Novel Buccal Xanthan Gum–Hyaluronic Acid Eutectogels with Dual Anti-Inflammatory and Antimicrobial Properties. Gels, 11(3), 208. https://doi.org/10.3390/gels11030208

