Chemical and Physical Architecture of Macromolecular Gels for Fracturing Fluid Applications in the Oil and Gas Industry; Current Status, Challenges, and Prospects
Abstract
1. Introduction
2. Macromolecular Chemistry in Fracturing Fluids
2.1. Natural Polymers
2.1.1. Guar Gum (GG)
Physical, Chemical, and Biological Properties of Guar Gum
Polymers Obtained from Guar Gum
Employment of Guar Gum and Its Derivatives in the Oil and Gas Industry
2.1.2. Cellulose and Cellulose Derivatives
Derivatives of Cellulose Utilized in Drilling
Use of CMC in Drilling
Use of PAC in Drilling
Use of HEC in Drilling
Derivatives of Cellulose Used in Fracturing Acidification
2.1.3. Starch
2.2. Synthetic Polymers/Man-Made Polymers
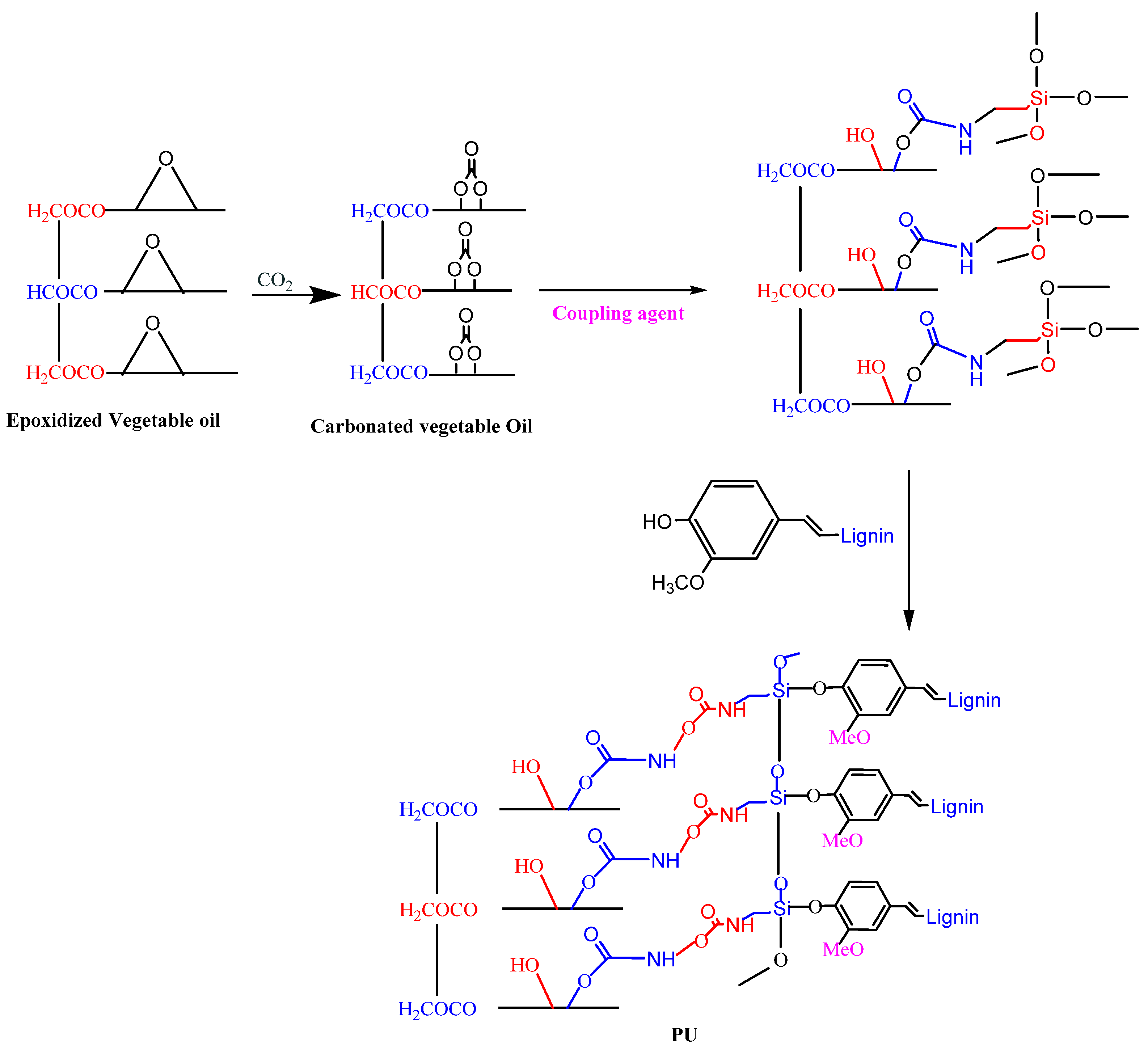
2.2.1. Polyurethanes (PUs)
2.2.2. Polyamides
2.3. Hyperbranched Macromolecules
2.3.1. Synthesis of Hyperbranched Macromolecules
Condensation Polymerization
Ring-Opening Polymerization
Free Radical Polymerization
2.3.2. Use of Hyperbranched Polymers in the Oil and Gas Industry
3. Chemical Structure and Properties of Linear Polymers Used in the Oil and Gas Industry
3.1. Physiochemical Properties
3.2. Macromolecules Impact on Physical Properties
3.2.1. Viscosity
3.2.2. Shear-Thinning Behavior
4. Crosslinking Mechanisms
4.1. Chemical Crosslinking
4.2. Physical Crosslinking
5. Effects of Polymer Interaction with Reservoir Conditions
5.1. Temperature Sensitivity
5.2. Salinity
5.3. Effect of High Pressure
6. Macromolecular-Based Fracturing Fluids—The Challenges
6.1. Environmental Concern
6.2. Degradation
6.3. Challenging Reservoir Conditions
7. Prospects and Innovations
7.1. Polymers That Respond to Stimuli: An Emerging Field
7.2. Hybrid Materials: Moving beyond Polymers Alone
7.3. Sustainable Polymer Production: A Greener Future
8. Conclusions
Funding
Acknowledgments
Conflicts of Interest
References
- Al-Muntasheri, G.A. A Critical Review of Hydraulic-Fracturing Fluids for Moderate-to Ultralow-Permeability Formations over the Last Decade. SPE Prod. Oper. 2014, 29, 243–260. [Google Scholar] [CrossRef]
- Liang, F.; Sayed, M.; Al-Muntasheri, G.A.; Chang, F.F.; Li, L. A Comprehensive Review on Proppant Technologies. Petroleum 2016, 2, 26–39. [Google Scholar] [CrossRef]
- Barati, R.; Liang, J. A Review of Fracturing Fluid Systems Used for Hydraulic Fracturing of Oil and Gas Wells. J. Appl. Polym. Sci. 2014, 131, 40735. [Google Scholar] [CrossRef]
- Chen, B.; Barboza, B.R.; Sun, Y.; Bai, J.; Thomas, H.R.; Dutko, M.; Cottrell, M.; Li, C. A Review of Hydraulic Fracturing Simulation. Arch. Comput. Methods Eng. 2021, 29, 1–58. [Google Scholar] [CrossRef]
- Chen, T.; Gao, J.; Zhao, Y.; Liang, T.; Hu, G.; Han, X. Progress of Polymer Application in Coated Proppant and Ultra-Low Density Proppant. Polymers 2022, 14, 5534. [Google Scholar] [CrossRef] [PubMed]
- Musa, T.A.; Ibrahim, A.F.; Nasr-El-Din, H.A.; Hassan, A.M. New Insights into Guar Gum as Environmentally Friendly Polymer for Enhanced Oil Recovery in High-Salinity and High-Temperature Sandstone Reservoirs. J. Pet. Explor. Prod. 2021, 11, 1905–1913. [Google Scholar] [CrossRef]
- Agi, A.; Junin, R.; Gbonhinbor, J.; Onyekonwu, M. Natural Polymer Flow Behaviour in Porous Media for Enhanced Oil Recovery Applications: A Review. J. Pet. Explor. Prod. Technol. 2018, 8, 1349–1362. [Google Scholar] [CrossRef]
- Xia, S.; Zhang, L.; Davletshin, A.; Li, Z.; You, J.; Tan, S. Application of Polysaccharide Biopolymer in Petroleum Recovery. Polymers 2020, 12, 1860. [Google Scholar] [CrossRef] [PubMed]
- Pu, W.; Shen, C.; Wei, B.; Yang, Y.; Li, Y. A Comprehensive Review of Polysaccharide Biopolymers for Enhanced Oil Recovery (EOR) from Flask to Field. J. Ind. Eng. Chem. 2018, 61, 1–11. [Google Scholar] [CrossRef]
- Zhao, J.; Wu, T.; Pu, W.; Daijun, D.; Chen, Q.; Chen, B.; Li, J.; Huang, Y. Application Status and Research Progress of CO2 Fracturing Fluid in Petroleum Engineering and Its Enlightenment to China: A Mini-Review. Petroleum 2024, 10, 1–10. [Google Scholar] [CrossRef]
- Douloudi, M.; Nikoli, E.; Katsika, T.; Arkas, M. Dendritic Polymers for Water Resources Remediation. In Novel Materials for Environmental Remediation Applications; Elsevier: Amsterdam, The Netherlands, 2023; pp. 435–490. [Google Scholar]
- Miao, G.; Zhang, H.; Yang, Y.; Qu, J.; Ma, X.; Zheng, J.; Liu, X. Synthesis and Performance Evaluation of Crosslinker for Seawater-based Fracturing Fluid. J. Appl. Polym. Sci. 2023, 140, e53372. [Google Scholar] [CrossRef]
- Frechet, J.M.J. Functional Polymers and Dendrimers: Reactivity, Molecular Architecture, and Interfacial Energy. Science 1994, 263, 1710–1715. [Google Scholar] [CrossRef] [PubMed]
- Johnson, L.K.; Killian, C.M.; Brookhart, M. New Pd (II)-and Ni (II)-Based Catalysts for Polymerization of Ethylene and. Alpha.-Olefins. J. Am. Chem. Soc. 1995, 117, 6414–6415. [Google Scholar] [CrossRef]
- Tomalia, D.A.; Baker, H.; Dewald, J.; Hall, M.; Kallos, G.; Martin, S.; Roeck, J.; Ryder, J.; Smith, P. A New Class of Polymers: Starburst-Dendritic Macromolecules. Polym. J. 1985, 17, 117–132. [Google Scholar] [CrossRef]
- Su, X.; Feng, Y. Thermoviscosifying Smart Polymers for Oil and Gas Production: State of the Art. ChemPhysChem 2018, 19, 1941–1955. [Google Scholar] [CrossRef] [PubMed]
- Ijaola, A.O.; Farayibi, P.K.; Asmatulu, E. Superhydrophobic Coatings for Steel Pipeline Protection in Oil and Gas Industries: A Comprehensive Review. J. Nat. Gas Sci. Eng. 2020, 83, 103544. [Google Scholar] [CrossRef]
- Yang, D.; Yang, B.; Ren, M.; Liu, Y.; Cao, H.; Jiang, Z.; Zhang, H. Construction of Fracturing Fluid with Excellent Proppant Transport Capacity Using Low Molecular Weight Hydrophobic Association Polymer and Surfactant. J. Mol. Liq. 2023, 377, 121546. [Google Scholar] [CrossRef]
- Chowdhury, S.; Rakesh, M.; Sangwai, J.S. Interactions of Fluids during Hydraulic and Acid Fracturing Operations. In Developments in Petroleum Science; Elsevier: Amsterdam, The Netherlands, 2023; Volume 78, pp. 111–134. ISBN 03767361. [Google Scholar]
- Shang, Y.; Li, Z.; Zhu, Q.; Guo, W.; Liu, Z.; Zheng, Z.; Feng, Y.; Yin, H. A Salt-Induced Smart and Tough Clean Hydrofracturing Fluid with Superior High-Temperature and High-Salinity Resistance. Energy 2024, 286, 129685. [Google Scholar] [CrossRef]
- Zhou, C.; Sun, Y.; Zhou, M.; Chen, W.; Zeng, L.; Li, Y.; Li, B.; Fan, Y.; Bao, D. Research on the Viscosity-increasing Mechanism and Performance Analysis of Modified Polysaccharide Natural Polymer Fracturing Fluid Gel. Can. J. Chem. Eng. 2023, 101, 4244–4254. [Google Scholar] [CrossRef]
- Davoodi, S.; Al-Shargabi, M.; Wood, D.A.; Rukavishnikov, V.S.; Minaev, K.M. Synthetic Polymers: A Review of Applications in Drilling Fluids. Pet. Sci. 2024, 21, 475–518. [Google Scholar] [CrossRef]
- Berdugo-Clavijo, C.; Scheffer, G.; Sen, A.; Gieg, L.M. Biodegradation of Polymers Used in Oil and Gas Operations: Towards Enzyme Biotechnology Development and Field Application. Polymers 2022, 14, 1871. [Google Scholar] [CrossRef] [PubMed]
- Fink, J. Hydraulic Fracturing Chemicals and Fluids Technology; Gulf Professional Publishing: Oxford, UK, 2013; ISBN 0124115217. [Google Scholar]
- Montgomery, C. Fracturing Fluids. In Proceedings of the ISRM International Conference for Effective and Sustainable Hydraulic Fracturing, Brisbane, Australia, 20–22 May 2013; p. ISRM-ICHF-2013-034. [Google Scholar]
- Johannes, F. Water-Based Chemicals and Technology for Drilling, Completion, and Workover Fluids; Elsevier: Imprints, Gulf Professional Publishing: Oxford, UK, 2015. [Google Scholar]
- Gupta, A.P.; Verma, D.K. Synthesis and Characterization of Carboxymethyl Guar Gum Nanoparticles Stabilized Polyaniline/Carboxymethyl Guar Gum Nanocomposites. J. Nanostruct. Chem. 2015, 5, 405–412. [Google Scholar] [CrossRef]
- Dodi, G.; Hritcu, D.; Popa, M.I. Carboxymethylation of Guar Gum: Synthesis and Characterization. Cellul. Chem. Technol. 2011, 45, 171. [Google Scholar]
- Iqbal, D.N.; Hussain, E.A. Green Biopolymer Guar Gum and Its Derivatives. Int. J. Pharm. Bio Sci. 2013, 4, 423–435. [Google Scholar]
- Hasan, A.M.A.; Abdel-Raouf, M.E. Applications of Guar Gum and Its Derivatives in Petroleum Industry: A Review. Egypt. J. Pet. 2018, 27, 1043–1050. [Google Scholar] [CrossRef]
- Zhang, L.; Zhou, J.; Hui, P.S. A Comparative Study on Viscosity Behavior of Water-Soluble Chemically Modified Guar Gum Derivatives with Different Functional Lateral Groups. J. Sci. Food Agric. 2005, 85, 2638–2644. [Google Scholar] [CrossRef]
- Adhikary, P.; Krishnamoorthi, S.; Singh, R.P. Synthesis and Characterization of Grafted Carboxymethyl Guar Gum. J. Appl. Polym. Sci. 2011, 120, 2621–2626. [Google Scholar] [CrossRef]
- Pal, S.; Ghorai, S.; Dash, M.K.; Ghosh, S.; Udayabhanu, G. Flocculation Properties of Polyacrylamide Grafted Carboxymethyl Guar Gum (CMG-g-PAM) Synthesised by Conventional and Microwave Assisted Method. J. Hazard. Mater. 2011, 192, 1580–1588. [Google Scholar] [CrossRef]
- Wilson, A. A Comparison Between Seawater-Based and Freshwater-Based Fracturing Fluids. J. Pet. Technol. 2017, 69, 46–47. [Google Scholar] [CrossRef]
- Othman, A.; Aljawad, M.S.; Kamal, M.S.; Mahmoud, M.; Patil, S.; Alkhowaildi, M. Rheological Study of Seawater-Based Fracturing Fluid Containing Polymer, Crosslinker, and Chelating Agent. ACS Omega 2022, 7, 31318–31326. [Google Scholar] [CrossRef]
- Budiman, O.; Alajmei, S. Seawater-Based Fracturing Fluid: A Review. ACS Omega 2023, 8, 41022–41038. [Google Scholar] [CrossRef]
- Bahamdan, A.; Daly, W.H. Poly (Oxyalkylene) Grafts to Guar Gum with Applications in Hydraulic Fracturing Fluids. Polym. Adv. Technol. 2006, 17, 679–681. [Google Scholar] [CrossRef]
- Alquraishi, A.A.; Alsewailem, F.D. Xanthan and Guar Polymer Solutions for Water Shut off in High Salinity Reservoirs. Carbohydr. Polym. 2012, 88, 859–863. [Google Scholar] [CrossRef]
- Torres, L.; Moctezuma, A.; Avendaño, J.R.; Muñoz, A.; Gracida, J. Comparison of Bio-and Synthetic Surfactants for EOR. J. Pet. Sci. Eng. 2011, 76, 6–11. [Google Scholar] [CrossRef]
- Othman, A.; Aljawad, M.S.; Kamal, M.S.; Mahmoud, M.; Patil, S.; Kalgaonkar, R. Individual Seawater Ions’ Impact on the Rheology of Crosslinked Polymers in the Presence of a Chelating Agent. Energy Fuels 2023, 37, 7328–7338. [Google Scholar] [CrossRef]
- Xiong, J.; Zhao, Z.; Sun, W.; Liu, W. Foam Stabilization Mechanism of a Novel Non-Cross-Linked Foam Fracturing Fluid. ACS Omega 2021, 6, 32863–32868. [Google Scholar] [CrossRef]
- Weaver, J.; Schmelzl, E.; Jamieson, M.; Schiffner, G. New Fluid Technology Allows Fracturing without Internal Breakers. In Proceedings of the SPE Gas Technology Symposium, Calgary, AB, Canada, 30 April–2 May 2002. [Google Scholar]
- Samanta, A.; Ojha, K.; Mandal, A. The Characterization of Natural Surfactant and Polymer and Their Use in Enhanced Recovery of Oil. Pet. Sci. Technol. 2011, 29, 765–777. [Google Scholar] [CrossRef]
- Bahamdan, A. Hydrophobic Guar Gum Derivatives Prepared by Controlled Grafting Processes for Hydraulic Fracturing Applications; Louisiana State University and Agricultural & Mechanical College: Baton Rouge, LA, USA, 2005; ISBN 9798802755297. [Google Scholar]
- Olatunde, A.O.; Usman, M.A.; Olafadehan, O.A.; Adeosun, T.A.; Ufot, O.E. Improvement of Rheological Properties of Drilling Fluid Using Locally Based Materials. Pet. Coal 2012, 54, 65–75. [Google Scholar]
- McNamara, J.T.; Morgan, J.L.W.; Zimmer, J. A Molecular Description of Cellulose Biosynthesis. Annu. Rev. Biochem. 2015, 84, 895–921. [Google Scholar] [CrossRef]
- Etale, A.; Onyianta, A.J.; Turner, S.R.; Eichhorn, S.J. Cellulose: A Review of Water Interactions, Applications in Composites, and Water Treatment. Chem. Rev. 2023, 123, 2016–2048. [Google Scholar] [CrossRef]
- Rasheed, H.A.; Adeleke, A.; Nzerem, P.; Ajayi, O.; Ikubanni, P.; Yahya, A.M. A Review on the Use of Carboxymethyl Cellulose in Oil and Gas Field Operations. Cellulose 2023, 30, 9899–9924. [Google Scholar] [CrossRef]
- Xu, Y.; Li, L.; Zheng, P.; Lam, Y.C.; Hu, X. Controllable Gelation of Methylcellulose by a Salt Mixture. Langmuir 2004, 20, 6134–6138. [Google Scholar] [CrossRef]
- Wang, Q.; Li, L. Effects of Molecular Weight on Thermoreversible Gelation and Gel Elasticity of Methylcellulose in Aqueous Solution. Carbohydr. Polym. 2005, 62, 232–238. [Google Scholar] [CrossRef]
- Azizov, E.; Quintero, H.J.; Saxton, K.; Sessarego, S. Carboxymethylcellulose a Cost Effective Alternative to Guar, CMHPG and Surfactant-Based Fluid Systems. In Proceedings of the SPE/CSUR Unconventional Resources Conference, Calgary, AB, Canada, 20–22 October 2015. [Google Scholar]
- Khater, M.R.; Uddin, S.; Al-Rubaiyea, J.A.; Rai, A.R.; Gazi, N. Isolation of a Horizontal Hole Section in an Openhole Well Using a Nondamaging Temporary Gel Plug to Facilitate Hydrocarbon Production from the Remaining Lateral Section-a Case History from Kuwait. In Proceedings of the SPE/IADC Middle East Drilling Technology Conference and Exhibition, Manama, Bahrain, 22–24 October 2001; p. SPE-72291. [Google Scholar]
- Meng, X.; Zhang, Y.; Zhou, F.; Chu, P.K. Effects of Carbon Ash on Rheological Properties of Water-Based Drilling Fluids. J. Pet. Sci. Eng. 2012, 100, 1–8. [Google Scholar] [CrossRef]
- Mao, H.; Qiu, Z.; Shen, Z.; Huang, W. Hydrophobic Associated Polymer Based Silica Nanoparticles Composite with Core–Shell Structure as a Filtrate Reducer for Drilling Fluid at Utra-High Temperature. J. Pet. Sci. Eng. 2015, 129, 1–14. [Google Scholar] [CrossRef]
- Aftab, A.; Ismail, A.R.; Ibupoto, Z.H.; Akeiber, H.; Malghani, M.G.K. Nanoparticles Based Drilling Muds a Solution to Drill Elevated Temperature Wells: A Review. Renew. Sustain. Energy Rev. 2017, 76, 1301–1313. [Google Scholar] [CrossRef]
- Jain, R.; Mahto, V. Formulation of a Water Based Drilling Fluid System with Synthesized Graft Copolymer for Troublesome Shale Formations. J. Nat. Gas Sci. Eng. 2017, 38, 171–181. [Google Scholar] [CrossRef]
- Khodja, M.; Khodja-Saber, M.; Canselier, J.P.; Cohaut, N.; Bergaya, F. Drilling Fluid Technology: Performances and Environmental Considerations. In Products and Services; from R&D to Final Solutions; IntechOpen: London, UK, 2010; pp. 227–256. [Google Scholar]
- Iscan, A.G.; Kok, M.V. Effects of Polymers and CMC Concentration on Rheological and Fluid Loss Parameters of Water-Based Drilling Fluids. Energy Sources Part A 2007, 29, 939–949. [Google Scholar] [CrossRef]
- Jha, P.K.; Mahto, V.; Saxena, V.K. Effects of Carboxymethyl Cellulose and Tragacanth Gum on the Properties of Emulsion-Based Drilling Fluids. Can. J. Chem. Eng. 2015, 93, 1577–1587. [Google Scholar] [CrossRef]
- Yang, H.; Zhou, B.; Zhu, T.; Wang, P.; Zhang, X.; Wang, T.; Wu, F.; Zhang, L.; Kang, W.; Ketova, Y.A. Conformance Control Mechanism of Low Elastic Polymer Microspheres in Porous Medium. J. Pet. Sci. Eng. 2021, 196, 107708. [Google Scholar] [CrossRef]
- Ouaer, H.; Gareche, M. The Rheological Behaviour of a Water-Soluble Polymer (HEC) Used in Drilling Fluids. J. Braz. Soc. Mech. Sci. Eng. 2018, 40, 380. [Google Scholar] [CrossRef]
- Ouaer, H.; Gareche, M. Hydroxyethyl Cellulose as a Rheology Modifier for Water-Based Drilling Fluids Formulated with Algerian Bentonite. J. Braz. Soc. Mech. Sci. Eng. 2019, 41, 123. [Google Scholar]
- Sun, R.; Fang, B.; Lu, Y.; Qiu, X.; Du, W.; Han, X.; Zhou, Q.; Qiu, Y. Rheological Properties of Hexadecyl Dimethyl Amine Modified Carboxymethyl Hydroxyethyl Cellulose Solutions and Its Gelling Process. J. Dispers. Sci. Technol. 2018, 39, 138–142. [Google Scholar] [CrossRef]
- Liu, K.; Du, H.; Zheng, T.; Liu, H.; Zhang, M.; Zhang, R.; Li, H.; Xie, H.; Zhang, X.; Ma, M. Recent Advances in Cellulose and Its Derivatives for Oilfield Applications. Carbohydr. Polym. 2021, 259, 117740. [Google Scholar] [CrossRef]
- Santana Fagundes, K.R.; Fagundes, F.P.; de Carvalho, L.G.G.; Amorim, L.V.; Balaban, R.C. Influence of CMC Molecular Weight and Degree of Substitution on Clay Swelling Inhibition in Water-Based Drilling Fluids. In Proceedings of the Macromolecular Symposia; Wiley Online Library: Hoboken, NJ, USA, 2016; Volume 367, pp. 151–162. [Google Scholar]
- Zhang, L.; Sun, H.; Han, B.; Peng, L.; Ning, F.; Jiang, G.; Chehotkin, V.F. Effect of Shearing Actions on the Rheological Properties and Mesostructures of CMC, PVP and CMC+ PVP Aqueous Solutions as Simple Water-Based Drilling Fluids for Gas Hydrate Drilling. J. Unconv. Oil Gas Resour. 2016, 14, 86–98. [Google Scholar] [CrossRef]
- Yang, P.; Li, T.-B.; Wu, M.-H.; Zhu, X.-W.; Sun, X.-Q. Analysis of the Effect of Polyanionic Cellulose on Viscosity and Filtrate Volume in Drilling Fluid. Mater. Res. Innov. 2015, 19, S5–S12. [Google Scholar] [CrossRef]
- Busch, A.; Myrseth, V.; Khatibi, M.; Skjetne, P.; Hovda, S.; Johansen, S.T. Rheological Characterization of Polyanionic Cellulose Solutions with Application to Drilling Fluids and Cuttings Transport Modeling. Appl. Rheol. 2018, 28, 201825154. [Google Scholar]
- Karmakar, R.; Ban, D.K.; Ghosh, U. Comparative Study of Native and Modified Starches Isolated from Conventional and Nonconventional Sources. Int. Food Res. J. 2014, 21, 597. [Google Scholar]
- Fan, Y.; Picchioni, F. Modification of Starch: A Review on the Application of “Green” Solvents and Controlled Functionalization. Carbohydr. Polym. 2020, 241, 116350. [Google Scholar] [CrossRef]
- El-Hoshoudy, A.N. Synthesis of Acryloylated Starch-g-Poly Acrylates Crosslinked Polymer Functionalized by Emulsified Vinyltrimethylsilane Derivative as a Novel EOR Agent for Severe Polymer Flooding Strategy. Int. J. Biol. Macromol. 2019, 123, 124–132. [Google Scholar]
- El-Hoshoudy, A.N.; Desouky, S.M.; Attia, A.M. Synthesis of Starch Functionalized Sulfonic Acid Co-Imidazolium/Silica Composite for Improving Oil Recovery through Chemical Flooding Technologies. Int. J. Biol. Macromol. 2018, 118, 1614–1626. [Google Scholar] [CrossRef] [PubMed]
- El-Hoshoudy, A.N.; Desouky, S.M. Synthesis and Evaluation of Acryloylated Starch-g-Poly (Acrylamide/Vinylmethacrylate/1-Vinyl-2-Pyrrolidone) Crosslinked Terpolymer Functionalized by Dimethylphenylvinylsilane Derivative as a Novel Polymer-Flooding Agent. Int. J. Biol. Macromol. 2018, 116, 434–442. [Google Scholar] [CrossRef] [PubMed]
- John, J. Biochemical and Biotechnological Aspects of Microbial Amylases. In Polysaccharide Degrading Biocatalysts; Elsevier: Amsterdam, The Netherlands, 2023; pp. 191–204. [Google Scholar]
- Hernandez-Carmona, F.; Morales-Matos, Y.; Lambis-Miranda, H.; Pasqualino, J. Starch Extraction Potential from Plantain Peel Wastes. J. Environ. Chem. Eng. 2017, 5, 4980–4985. [Google Scholar] [CrossRef]
- Jiang, T.; Duan, Q.; Zhu, J.; Liu, H.; Yu, L. Starch-Based Biodegradable Materials: Challenges and Opportunities. Adv. Ind. Eng. Polym. Res. 2020, 3, 8–18. [Google Scholar] [CrossRef]
- Abou-alfitooh, S.A.M.; El-hoshoudy, A.N. Eco-Friendly Modified Biopolymers for Enhancing Oil Production: A Review. J. Polym. Environ. 2023, 1–27. [Google Scholar] [CrossRef]
- Leslie, T.; Xiao, H.; Dong, M. Tailor-Modified Starch/Cyclodextrin-Based Polymers for Use in Tertiary Oil Recovery. J. Pet. Sci. Eng. 2005, 46, 225–232. [Google Scholar] [CrossRef]
- Agi, A.; Junin, R.; Abbas, A.; Gbadamosi, A.; Azli, N.B. Effect of Dynamic Spreading and the Disperse Phase of Crystalline Starch Nanoparticles in Enhancing Oil Recovery at Reservoir Condition of a Typical Sarawak Oil Field. Appl. Nanosci. 2020, 10, 263–279. [Google Scholar] [CrossRef]
- Fu, J.; Qiao, R.; Zhu, L.; Zhu, W.; Hao, S. Application of a Novel Cationic Starch in Enhanced Oil Recovery and Its Adsorption Properties. Korean J. Chem. Eng. 2013, 30, 82–86. [Google Scholar] [CrossRef]
- Fang, J.M.; Fowler, P.A.; Hill, C.A.S. Studies on the Grafting of Acryloylated Potato Starch with Styrene. J. Appl. Polym. Sci. 2005, 96, 452–459. [Google Scholar] [CrossRef]
- Xu, T.T. Commercial Materials and Additives for Drilling Fluids: A Comprehensive Comparatives List. Oilf. Chem. 1995, 12, 171–180. [Google Scholar]
- Xu, T.T.; Wang, K.C.; Men, L.K. Developments and Trends in Additives for Petroleum Production. Oilf. Chem. 1995, 12, 74–83. [Google Scholar]
- Zhang, L.M. A Review of Starches and Their Derivatives for Oilfield Applications in China. Starch 1997, 53, 401–407. [Google Scholar] [CrossRef]
- Zhang, C.G. Preparation of Pregelatinized Starch for Oilfield Drilling. Pet. Drill. Tech. 1986, 14, 25–29. [Google Scholar]
- Williamson, C.D.; Allenson, S.J. A New Nondamaging Particulate Fluid-Loss Additive. In Proceedings of the SPE International Conference on Oilfield Chemistry, Houston, TX, USA, 8–10 February 1989; p. SPE-18474. [Google Scholar]
- Krushnakumar, J.; Gandhi, S.; Deshmane, V.; Kailash, R.B. Polymers in Pharmaceutical Drug Delivery System. IJPSR 2012, 14, 57–66. [Google Scholar]
- Gopi, S.; Amalraj, A.; Thomas, S. Effective Drug Delivery System of Biopolymers Based on Nanomaterials and Hydrogels-a Review. Drug Des. 2016, 5, 138–2169. [Google Scholar] [CrossRef]
- Akindoyo, J.O.; Beg, M.; Ghazali, S.; Islam, M.R.; Jeyaratnam, N.; Yuvaraj, A.R. Polyurethane Types, Synthesis and Applications—A Review. RSC Adv. 2016, 6, 114453–114482. [Google Scholar] [CrossRef]
- Wang, C.; Huang, J.; Qi, H.; Cao, L.; Xu, Z.; Cheng, Y.; Zhao, X.; Li, J. Controlling Pseudographtic Domain Dimension of Dandelion Derived Biomass Carbon for Excellent Sodium-Ion Storage. J. Power Sources 2017, 358, 85–92. [Google Scholar] [CrossRef]
- Chattopadhyay, D.K.; Raju, K. Structural Engineering of Polyurethane Coatings for High Performance Applications. Prog. Polym. Sci. 2007, 32, 352–418. [Google Scholar] [CrossRef]
- Liu, W.; Fang, C.; Wang, S.; Huang, J.; Qiu, X. High-Performance Lignin-Containing Polyurethane Elastomers with Dynamic Covalent Polymer Networks. Macromolecules 2019, 52, 6474–6484. [Google Scholar] [CrossRef]
- Zhang, Y.; Zhang, Y.; Liu, Y.; Wang, X.; Yang, B. A Novel Surface Modification of Carbon Fiber for High-Performance Thermoplastic Polyurethane Composites. Appl. Surf. Sci. 2016, 382, 144–154. [Google Scholar] [CrossRef]
- Hergenrother, P.M. The Use, Design, Synthesis, and Properties of High Performance/High Temperature Polymers: An Overview. High Perform. Polym. 2003, 15, 3–45. [Google Scholar] [CrossRef]
- Xiang, C.; Cox, P.J.; Kukovecz, A.; Genorio, B.; Hashim, D.P.; Yan, Z.; Peng, Z.; Hwang, C.-C.; Ruan, G.; Samuel, E.L.G. Functionalized Low Defect Graphene Nanoribbons and Polyurethane Composite Film for Improved Gas Barrier and Mechanical Performances. ACS Nano 2013, 7, 10380–10386. [Google Scholar] [CrossRef]
- Yao, H.; Ge, J.; Wang, C.; Wang, X.; Hu, W.; Zheng, Z.; Ni, Y.; Yu, S. A Flexible and Highly Pressure-sensitive Graphene–Polyurethane Sponge Based on Fractured Microstructure Design. Adv. Mater. 2013, 25, 6692–6698. [Google Scholar] [CrossRef]
- Soto, M.; Sebastián, R.M.; Marquet, J. Photochemical Activation of Extremely Weak Nucleophiles: Highly Fluorinated Urethanes and Polyurethanes from Polyfluoro Alcohols. J. Org. Chem. 2014, 79, 5019–5027. [Google Scholar] [CrossRef]
- Ionescu, M. Chemistry and Technology of Polyols for Polyurethanes; iSmithers Rapra Publishing: Shrewsbury, UK, 2005; ISBN 1859575013. [Google Scholar]
- Pauzi, N.N.P.N.; Majid, R.A.; Dzulkifli, M.H.; Yahya, M.Y. Development of Rigid Bio-Based Polyurethane Foam Reinforced with Nanoclay. Compos. Part B Eng. 2014, 67, 521–526. [Google Scholar] [CrossRef]
- Fox, R.B.; Edmund, B. Mechanically Frothed Gel Elastomers and Methods of Making and Using Them. U.S. Patent US20160017084A1, 21 January 2016. [Google Scholar]
- Petrović, Z.S. Polyurethanes from Vegetable Oils. Polym. Rev. 2008, 48, 109–155. [Google Scholar] [CrossRef]
- Rajendran, G.P.; Mahadevan, V.; Srinivasan, M. Synthesis of Some Low Glass Transition Temperature Polytetrahydrofuran Polymers. Eur. Polym. J. 1989, 25, 461–463. [Google Scholar] [CrossRef]
- Sonnenschein, M.F. Polyurethanes: Science, Technology, Markets, and Trends; John Wiley & Sons: Hoboken, NJ, USA, 2021; ISBN 1119669413. [Google Scholar]
- Lee, A.; Deng, Y. Green Polyurethane from Lignin and Soybean Oil through Non-Isocyanate Reactions. Eur. Polym. J. 2015, 63, 67–73. [Google Scholar] [CrossRef]
- Cateto, C.A.; Barreiro, M.F.; Rodrigues, A.E.; Belgacem, M.N. Optimization Study of Lignin Oxypropylation in View of the Preparation of Polyurethane Rigid Foams. Ind. Eng. Chem. Res. 2009, 48, 2583–2589. [Google Scholar] [CrossRef]
- Rokicki, G.; Piotrowska, A. A New Route to Polyurethanes from Ethylene Carbonate, Diamines and Diols. Polymer 2002, 43, 2927–2935. [Google Scholar] [CrossRef]
- Shi, Y.; Yu, B.; Zhou, K.; Yuen, R.K.K.; Gui, Z.; Hu, Y.; Jiang, S. Novel CuCo2O4/Graphitic Carbon Nitride Nanohybrids: Highly Effective Catalysts for Reducing CO Generation and Fire Hazards of Thermoplastic Polyurethane Nanocomposites. J. Hazard. Mater. 2015, 293, 87–96. [Google Scholar] [CrossRef] [PubMed]
- Sivakumar, A.; Santhanam, M. Mechanical Properties of High Strength Concrete Reinforced with Metallic and Non-Metallic Fibres. Cem. Concr. Compos. 2007, 29, 603–608. [Google Scholar] [CrossRef]
- Kim, Y.H.; Webster, O.W. Water Soluble Hyperbranched Polyphenylene: A Unimolecular Micelle? J. Am. Chem. Soc. 1990, 112, 4592–4593. [Google Scholar] [CrossRef]
- Shen, S.; Shi, J.; Guo, P.; Guo, L. Visible-Light-Driven Photocatalytic Water Splitting on Nanostructured Semiconducting Materials. Int. J. Nanotechnol. 2011, 8, 523–591. [Google Scholar] [CrossRef]
- Shimizu, K.; Métivier, R.; Kobatake, S. Synthesis and Fluorescence on/off Switching of Hyperbranched Polymers Having Diarylethene at the Branching Point. J. Photochem. Photobiol. A Chem. 2020, 390, 112341. [Google Scholar] [CrossRef]
- Wang, G.; Wen, S.; Qian, S.; Wang, J.; Wang, C.; Chen, Y. Synthesis of Novel Nano Hyperbranched Polymer Resin and Its Corrosion Resistance in Coatings. Prog. Org. Coat. 2020, 140, 105496. [Google Scholar] [CrossRef]
- Zhang, S.; Ding, F.; Li, Z.; Ren, X.; Huang, T.-S. Antibacterial PET Fabrics Modified with Quaternary Ammonium Functionalized Hyperbranched Polymers via Electron Beam Radiation. Fibers Polym. 2020, 21, 2285–2291. [Google Scholar] [CrossRef]
- Zhang, Y.; Li, X.; Zhu, Q.; Wei, W.; Liu, X. Photocurable Hyperbranched Polymer Medical Glue for Water-Resistant Bonding. Biomacromolecules 2020, 21, 5222–5232. [Google Scholar] [PubMed]
- Mansha, M.; Kumar, A.M.; Adesina, A.Y.; Obot, I.B.; Khan, M. A Novel Trans-Esterified Water Soluble Hyperbranched Polymer for Surface Protection of X60 Steel: Experimental and Theoretical Approach. J. Mol. Liq. 2022, 349, 118091. [Google Scholar] [CrossRef]
- Liu, J.; Li, X. Recent Advances in Application and Progress of Advanced Materials as Adsorbents in Sample Preparation for Plant Growth Regulators. J. Sep. Sci. 2023, 46, e2300066. [Google Scholar] [CrossRef]
- Rousseau, G.; Fensterbank, H.; Baczko, K.; Cano, M.; Stenger, I.; Larpent, C.; Allard, E. Synthesis of Clickable Water-Soluble Poly (Amidoamine) Fullerodendrimers and Their Use for Surface Functionalization of Azido-Coated Polymer Nanoparticles. Chempluschem 2013, 78, 352–363. [Google Scholar] [CrossRef]
- Xing, A.; Sun, Q.; Meng, Y.; Zhang, Y.; Li, X.; Han, B. A Hydroxyl-Containing Hyperbranched Polymer as a Multi-Purpose Modifier for a Dental Epoxy. React. Funct. Polym. 2020, 149, 104505. [Google Scholar] [CrossRef]
- Marasini, N.; Fu, C.; Fletcher, N.L.; Subasic, C.; Er, G.; Mardon, K.; Thurecht, K.J.; Whittaker, A.K.; Kaminskas, L.M. The Impact of Polymer Size and Cleavability on the Intravenous Pharmacokinetics of PEG-Based Hyperbranched Polymers in Rats. Nanomaterials 2020, 10, 2452. [Google Scholar] [CrossRef] [PubMed]
- Zhang, Y.; Yu, W. Synthesis of Hyperbranched Polymers and Prospects for Application in Oilfield Chemistry. Front. Energy Res. 2022, 10, 894096. [Google Scholar] [CrossRef]
- Pan, Y.; Bai, J.; Yang, G.; Li, Z. Progress in the Research on Branched Polymers with Emphasis on the Chinese Petrochemical Industry. Molecules 2023, 28, 7934. [Google Scholar] [CrossRef]
- Lai, N.; Qin, X.; Ye, Z.; Peng, Q.; Zhang, Y.; Ming, Z. Synthesis and Evaluation of a Water-Soluble Hyperbranched Polymer as Enhanced Oil Recovery Chemical. J. Chem. 2013, 2013, 824785. [Google Scholar] [CrossRef]
- Chen, Y.; Wang, N.; Tong, G.; Wu, D.; Jin, X.; Zhu, X. Synthesis of Multiarm Star Polymer Based on Hyperbranched Polyester Core and Poly (ε-Caprolactone) Arms and Its Application in UV-Curable Coating. ACS Omega 2018, 3, 13928–13934. [Google Scholar] [CrossRef] [PubMed]
- Zhang, L.; Ying, H.; Yan, S.; Zhan, N.; Guo, Y.; Fang, W. Hyperbranched Poly (Amido Amine) Demulsifiers with Ethylenediamine/1, 3-Propanediamine as an Initiator for Oil-in-Water Emulsions with Microdroplets. Fuel 2018, 226, 381–388. [Google Scholar] [CrossRef]
- Zhang, Q.; Hoogenboom, R. Polymers with Upper Critical Solution Temperature Behavior in Alcohol/Water Solvent Mixtures. Prog. Polym. Sci. 2015, 48, 122–142. [Google Scholar] [CrossRef]
- Wang, D.; Jin, Y.; Zhu, X.; Yan, D. Synthesis and Applications of Stimuli-Responsive Hyperbranched Polymers. Prog. Polym. Sci. 2017, 64, 114–153. [Google Scholar] [CrossRef]
- Garcıa-Ochoa, F.; Santos, V.E.; Casas, J.A.; Gómez, E. Xanthan Gum: Production, Recovery, and Properties. Biotechnol. Adv. 2000, 18, 549–579. [Google Scholar] [CrossRef]
- Olajire, A.A. Review of ASP EOR (Alkaline Surfactant Polymer Enhanced Oil Recovery) Technology in the Petroleum Industry: Prospects and Challenges. Energy 2014, 77, 963–982. [Google Scholar] [CrossRef]
- Zhao, G.; Dai, C.; Chen, A.; Yan, Z.; Zhao, M. Experimental Study and Application of Gels Formed by Nonionic Polyacrylamide and Phenolic Resin for In-Depth Profile Control. J. Pet. Sci. Eng. 2015, 135, 552–560. [Google Scholar] [CrossRef]
- Xiong, B.; Loss, R.D.; Shields, D.; Pawlik, T.; Hochreiter, R.; Zydney, A.L.; Kumar, M. Polyacrylamide Degradation and Its Implications in Environmental Systems. NPJ Clean Water 2018, 1, 17. [Google Scholar] [CrossRef]
- Caulfield, M.J.; Qiao, G.G.; Solomon, D.H. Some Aspects of the Properties and Degradation of Polyacrylamides. Chem. Rev. 2002, 102, 3067–3084. [Google Scholar] [CrossRef]
- Zhao, L.; Song, T.; Han, D.; Bao, M.; Lu, J. Hydrolyzed Polyacrylamide Biotransformation in an Up-Flow Anaerobic Sludge Blanket Reactor System: Key Enzymes, Functional Microorganisms, and Biodegradation Mechanisms. Bioprocess Biosyst. Eng. 2019, 42, 941–951. [Google Scholar] [CrossRef] [PubMed]
- Haveroen, M.E.; MacKinnon, M.D.; Fedorak, P.M. Polyacrylamide Added as a Nitrogen Source Stimulates Methanogenesis in Consortia from Various Wastewaters. Water Res. 2005, 39, 3333–3341. [Google Scholar] [CrossRef] [PubMed]
- Liu, L.; Wang, Z.; Lin, K.; Cai, W. Microbial Degradation of Polyacrylamide by Aerobic Granules. Environ. Technol. 2012, 33, 1049–1054. [Google Scholar] [CrossRef] [PubMed]
- Hu, H.; Liu, J.-F.; Li, C.-Y.; Yang, S.-Z.; Gu, J.-D.; Mu, B.-Z. Anaerobic Biodegradation of Partially Hydrolyzed Polyacrylamide in Long-Term Methanogenic Enrichment Cultures from Production Water of Oil Reservoirs. Biodegradation 2018, 29, 233–243. [Google Scholar] [CrossRef]
- Yu, F.; Fu, R.; Xie, Y.; Chen, W. Isolation and Characterization of Polyacrylamide-Degrading Bacteria from Dewatered Sludge. Int. J. Environ. Res. Public Health 2015, 12, 4214–4230. [Google Scholar] [CrossRef]
- Nakamiya, K.; Kinoshita, S. Isolation of Polyacrylamide-Degrading Bacteria. J. Ferment. Bioeng. 1995, 80, 418–420. [Google Scholar] [CrossRef]
- Wen, Q.; Chen, Z.; Zhao, Y.; Zhang, H.; Feng, Y. Biodegradation of Polyacrylamide by Bacteria Isolated from Activated Sludge and Oil-Contaminated Soil. J. Hazard. Mater. 2010, 175, 955–959. [Google Scholar] [CrossRef] [PubMed]
- Bao, M.; Chen, Q.; Li, Y.; Jiang, G. Biodegradation of Partially Hydrolyzed Polyacrylamide by Bacteria Isolated from Production Water after Polymer Flooding in an Oil Field. J. Hazard. Mater. 2010, 184, 105–110. [Google Scholar] [CrossRef] [PubMed]
- Smith, B.C. Fundamentals of Fourier Transform Infrared Spectroscopy; CRC Press: Boca Raton, FL, USA, 2011; ISBN 1420069306. [Google Scholar]
- Sang, G.; Pi, Y.; Bao, M.; Li, Y.; Lu, J. Biodegradation for Hydrolyzed Polyacrylamide in the Anaerobic Baffled Reactor Combined Aeration Tank. Ecol. Eng. 2015, 84, 121–127. [Google Scholar] [CrossRef]
- Berdugo-Clavijo, C.; Sen, A.; Seyyedi, M.; Quintero, H.; O’Neil, B.; Gieg, L.M. High Temperature Utilization of PAM and HPAM by Microbial Communities Enriched from Oilfield Produced Water and Activated Sludge. Amb Express 2019, 9, 46. [Google Scholar] [CrossRef] [PubMed]
- Gupta, D.V.S. Method of Using Asparaginase as a Polyacrylamide Enzyme Breaker. WO2012158320A1, 28 July 2015. [Google Scholar]
- Ramsden, D.K.; Fielding, S.; Atkinson, N.; Boota, M. The Degradation of Polyacrylamide in Aqueous Solution Induced by Chemically Generated Hydroxyl Radicals—Part III: Xanthine/Xanthine Oxidase. Polym. Degrad. Stab. 1987, 17, 49–55. [Google Scholar] [CrossRef]
- Nakamiya, K.; Ooi, T.; Kinoshita, S. Degradation of Synthetic Water-Soluble Polymers by Hydroquinone Peroxidase. J. Ferment. Bioeng. 1997, 84, 213–218. [Google Scholar] [CrossRef]
- Gilbert, W.J.R.; Johnson, S.J.; Tsau, J.; Liang, J.; Scurto, A.M. Enzymatic Degradation of Polyacrylamide in Aqueous Solution with Peroxidase and H2O2. J. Appl. Polym. Sci. 2017, 134. [Google Scholar] [CrossRef]
- Khan, S.Y.; Yusuf, M.; Sardar, N. Studies on Rheological Behavior of Xanthan Gum Solutions in Presence of Additives. Pet. Petrochem. Eng. J. 2018, 2, 165. [Google Scholar]
- Mansha, M.; Salhi, B.; Ali, S.; Khan, S.A.; Baig, N. Novel Procaine-Based Gemini Zwitterion Incorporated PVDF Membranes for Efficient Treatment of Oily Wastewater. J. Environ. Chem. Eng. 2022, 10, 107935. [Google Scholar] [CrossRef]
- Zhong, C.; Luo, P.; Ye, Z.; Chen, H. Characterization and Solution Properties of a Novel Water-Soluble Terpolymer for Enhanced Oil Recovery. Polym. Bull. 2009, 62, 79–89. [Google Scholar] [CrossRef]
- Mansha, M.; Ullah, N.; Kalgaonkar, R.A.; Baqader, N. Synthesis, Characterization, and Viscosification of Amidosulfobutaine and Zwitterionic Gemini Surfactants. J. Surfactants Deterg. 2021, 24, 697–706. [Google Scholar] [CrossRef]
- Maia, A.M.S.; Borsali, R.; Balaban, R.C. Comparison between a Polyacrylamide and a Hydrophobically Modified Polyacrylamide Flood in a Sandstone Core. Mater. Sci. Eng. C 2009, 29, 505–509. [Google Scholar] [CrossRef]
- Li, X.; Shu, Z.; Luo, P.; Ye, Z. Associating Polymer Networks Based on Cyclodextrin Inclusion Compounds for Heavy Oil Recovery. J. Chem. 2018, 2018, 7218901. [Google Scholar] [CrossRef]
- Xie, K.; Cao, B.; Lu, X.; Jiang, W.; Zhang, Y.; Li, Q.; Song, K.; Liu, J.; Wang, W.; Lv, J. Matching between the Diameter of the Aggregates of Hydrophobically Associating Polymers and Reservoir Pore-Throat Size during Polymer Flooding in an Offshore Oilfield. J. Pet. Sci. Eng. 2019, 177, 558–569. [Google Scholar] [CrossRef]
- Zhong, L.; Oostrom, M.; Truex, M.J.; Vermeul, V.R.; Szecsody, J.E. Rheological Behavior of Xanthan Gum Solution Related to Shear Thinning Fluid Delivery for Subsurface Remediation. J. Hazard. Mater. 2013, 244, 160–170. [Google Scholar] [CrossRef] [PubMed]
- Xu, L.; Dong, M.; Gong, H.; Sun, M.; Li, Y. Effects of Inorganic Cations on the Rheology of Aqueous Welan, Xanthan, Gellan Solutions and Their Mixtures. Carbohydr. Polym. 2015, 121, 147–154. [Google Scholar] [CrossRef] [PubMed]
- Adimule, V.; Kerur, S.S.; Chinnam, S.; Yallur, B.C.; Nandi, S.S. RETRACTED ARTICLE: Guar Gum and Its Nanocomposites as Prospective Materials for Miscellaneous Applications: A Short Review. Top. Catal. 2022, 1. [Google Scholar] [CrossRef]
- Lewandowska, K. Comparative Studies of Rheological Properties of Polyacrylamide and Partially Hydrolyzed Polyacrylamide Solutions. J. Appl. Polym. Sci. 2007, 103, 2235–2241. [Google Scholar] [CrossRef]
- Maitra, J.; Shukla, V.K. Cross-Linking in Hydrogels—A Review. Am. J. Polym. Sci. 2014, 4, 25–31. [Google Scholar]
- Palisch, T.T.T.; Vincent, M.C.C.; Handren, P.J.J. Slickwater Fracturing: Food for Thought. SPE Prod. Oper. 2010, 25, 327–344. [Google Scholar] [CrossRef]
- Al-Hajri, S.; Mahmood, S.M.; Akbari, S.; Abdulelah, H. Gelation Behavior as a Function of Concentration of Sodium Thiosulfate for PAM Gels Cross-Linked with Chromium. J. Pet. Explor. Prod. Technol. 2019, 9, 1539–1546. [Google Scholar] [CrossRef]
- Edgar, K.J.; Marks, J.A. Green Hydrogels Based on Starch: Preparation Methods for Biomedical Applications. In Sustainability & Green Polymer Chemistry Volume 1: Green Products and Processes; ACS Publications: Washington, DC, USA, 2020; pp. 173–196. ISBN 1947-5918. [Google Scholar]
- Chen, Z.; Xia, Y.; Liao, S.; Huang, Y.; Li, Y.; He, Y.; Tong, Z.; Li, B. Thermal Degradation Kinetics Study of Curcumin with Nonlinear Methods. Food Chem. 2014, 155, 81–86. [Google Scholar] [CrossRef] [PubMed]
- Qiao, D.; Yu, L.; Bao, X.; Zhang, B.; Jiang, F. Understanding the Microstructure and Absorption Rate of Starch-Based Superabsorbent Polymers Prepared under High Starch Concentration. Carbohydr. Polym. 2017, 175, 141–148. [Google Scholar] [CrossRef]
- Fekete, T.; Borsa, J.; Takács, E.; Wojnárovits, L. Synthesis of Carboxymethylcellulose/Starch Superabsorbent Hydrogels by Gamma-Irradiation. Chem. Cent. J. 2017, 11, 46. [Google Scholar] [CrossRef] [PubMed]
- El-Mohdy, H.L.A.; Hegazy, E.A.; Abd El-Rehim, H.A. Characterization of Starch/Acrylic Acid Super-absorbent Hydrogels Prepared by Ionizing Radiation. J. Macromol. Sci. Part A 2006, 43, 1051–1063. [Google Scholar] [CrossRef]
- El-Salmawi, K.M.; El-Naggar, A.A.; Ibrahim, S.M. Gamma Irradiation Synthesis of Carboxymethyl Cellulose/Acrylic Acid/Clay Superabsorbent Hydrogel. Adv. Polym. Technol. 2018, 37, 515–521. [Google Scholar] [CrossRef]
- Tong, Z.; Peng, W.; Zhiqian, Z.; Baoxiu, Z. Microwave Irradiation Copolymerization of Superabsorbents from Cornstarch and Sodium Acrylate. J. Appl. Polym. Sci. 2005, 95, 264–269. [Google Scholar] [CrossRef]
- Zhang, S.; Wang, W.; Wang, H.; Qi, W.; Yue, L.; Ye, Q. Synthesis and Characterisation of Starch Grafted Superabsorbent via 10 MeV Electron-Beam Irradiation. Carbohydr. Polym. 2014, 101, 798–803. [Google Scholar] [CrossRef] [PubMed]
- Anastasiades, A.; Thanou, S.; Loulis, D.; Stapatoris, A.; Karapantsios, T.D. Rheological and Physical Characterization of Pregelatinized Maize Starches. J. Food Eng. 2002, 52, 57–66. [Google Scholar] [CrossRef]
- Lefnaoui, S.; Moulai-Mostefa, N. Synthesis and Evaluation of the Structural and Physicochemical Properties of Carboxymethyl Pregelatinized Starch as a Pharmaceutical Excipient. Saudi Pharm. J. 2015, 23, 698–711. [Google Scholar] [CrossRef] [PubMed]
- Slaughter, B.V.; Khurshid, S.S.; Fisher, O.Z.; Khademhosseini, A.; Peppas, N.A. Hydrogels in Regenerative Medicine. Adv. Mater. 2009, 21, 3307–3329. [Google Scholar] [CrossRef] [PubMed]
- Ji, N.; Qin, Y.; Li, M.; Xiong, L.; Qiu, L.; Bian, X.; Sun, Q. Fabrication and Characterization of Starch Nanohydrogels via Reverse Emulsification and Internal Gelation. J. Agric. Food Chem. 2018, 66, 9326–9334. [Google Scholar] [CrossRef] [PubMed]
- Supare, K.; Mahanwar, P.A. Starch-Derived Superabsorbent Polymers in Agriculture Applications: An Overview. Polym. Bull. 2022, 79, 5795–5824. [Google Scholar] [CrossRef]
- Xiao, X.; Yu, L.; Xie, F.; Bao, X.; Liu, H.; Ji, Z.; Chen, L. One-Step Method to Prepare Starch-Based Superabsorbent Polymer for Slow Release of Fertilizer. Chem. Eng. J. 2017, 309, 607–616. [Google Scholar] [CrossRef]
- Lü, S.; Gao, C.; Wang, X.; Xu, X.; Bai, X.; Gao, N.; Feng, C.; Wei, Y.; Wu, L.; Liu, M. Synthesis of a Starch Derivative and Its Application in Fertilizer for Slow Nutrient Release and Water-Holding. RSC Adv. 2014, 4, 51208–51214. [Google Scholar] [CrossRef]
- Singh, B.; Sharma, D.K.; Kumar, R.; Gupta, A. Controlled Release of the Fungicide Thiram from Starch–Alginate–Clay Based Formulation. Appl. Clay Sci. 2009, 45, 76–82. [Google Scholar] [CrossRef]
- Al-Sabagh, A.M.; Kandile, N.G.; El-Ghazawy, R.A.; El-Din, M.R.N.; El-Sharaky, E.A. Solution Properties of Hydrophobically Modified Polyacrylamides and Their Potential Use for Polymer Flooding Application. Egypt. J. Pet. 2016, 25, 433–444. [Google Scholar] [CrossRef]
- Bai, Y.; Shang, X.; Wang, Z.; Zhao, X. Experimental Study on Hydrophobically Associating Hydroxyethyl Cellulose Flooding System for Enhanced Oil Recovery. Energy Fuels 2018, 32, 6713–6725. [Google Scholar] [CrossRef]
- Dai, C.; Xu, Z.; Wu, Y.; Zou, C.; Wu, X.; Wang, T.; Guo, X.; Zhao, M. Design and Study of a Novel Thermal-Resistant and Shear-Stable Amphoteric Polyacrylamide in High-Salinity Solution. Polymers 2017, 9, 296. [Google Scholar] [CrossRef]
- Yang, X.; Liu, J.; Li, P.; Liu, C. Self-Assembly Properties of Hydrophobically Associating Perfluorinated Polyacrylamide in Dilute and Semi-Dilute Solutions. J. Polym. Res. 2015, 22, 103. [Google Scholar] [CrossRef]
- El-Hoshoudy, A.N.; Desouky, S.E.M.; Al-Sabagh, A.M.; Betiha, M.A.; MY, E.; Mahmoud, S. Evaluation of Solution and Rheological Properties for Hydrophobically Associated Polyacrylamide Copolymer as a Promised Enhanced Oil Recovery Candidate. Egypt. J. Pet. 2017, 26, 779–785. [Google Scholar] [CrossRef]
- Lai, N.; Dong, W.; Ye, Z.; Dong, J.; Qin, X.; Chen, W.; Chen, K. A Water-soluble Acrylamide Hydrophobically Associating Polymer: Synthesis, Characterization, and Properties as EOR Chemical. J. Appl. Polym. Sci. 2013, 129, 1888–1896. [Google Scholar] [CrossRef]
- Zou, C.; Zhao, P.; Hu, X.; Yan, X.; Zhang, Y.; Wang, X.; Song, R.; Luo, P. β-Cyclodextrin-Functionalized Hydrophobically Associating Acrylamide Copolymer for Enhanced Oil Recovery. Energy Fuels 2013, 27, 2827–2834. [Google Scholar] [CrossRef]
- Afolabi, R.O.; Oluyemi, G.F.; Officer, S.; Ugwu, J.O. Hydrophobically Associating Polymers for Enhanced Oil Recovery–Part A: A Review on the Effects of Some Key Reservoir Conditions. J. Pet. Sci. Eng. 2019, 180, 681–698. [Google Scholar] [CrossRef]
- Zhong, C.; Zhang, H.; Feng, L. Solution Behavior and Associating Structures of a Salt-Tolerant Tetra-Polymer Containing an Allyl-Capped Macromonomer. J. Polym. Res. 2014, 21, 604. [Google Scholar] [CrossRef]
- Gou, S.; Luo, S.; Liu, T.; Zhao, P.; He, Y.; Pan, Q.; Guo, Q. A Novel Water-Soluble Hydrophobically Associating Polyacrylamide Based on Oleic Imidazoline and Sulfonate for Enhanced Oil Recovery. New J. Chem. 2015, 39, 7805–7814. [Google Scholar] [CrossRef]
- Sun, J.-S.; Du, W.-C.; Pu, X.-L.; Zou, Z.-Z.; Zhu, B.-B. Synthesis and Evaluation of a Novel Hydrophobically Associating Polymer Based on Acrylamide for Enhanced Oil Recovery. Chem. Pap. 2015, 69, 1598–1607. [Google Scholar] [CrossRef]
- Quan, H.; Li, Z.; Huang, Z. Self-Assembly Properties of a Temperature-and Salt-Tolerant Amphoteric Hydrophobically Associating Polyacrylamide. RSC Adv. 2016, 6, 49281–49288. [Google Scholar] [CrossRef]
- Badi, N. Non-Linear PEG-Based Thermoresponsive Polymer Systems. Prog. Polym. Sci. 2017, 66, 54–79. [Google Scholar] [CrossRef]
- De Santis, S.; La Mesa, C.; Masci, G. On the Upper Critical Solution Temperature of PNIPAAM in an Ionic Liquid: Effect of Molecular Weight, Tacticity and Water. Polymer 2017, 120, 52–58. [Google Scholar] [CrossRef]
- Oh, S.Y.; Kim, H.J.; Bae, Y.C. Molecular Thermodynamic Analysis for Phase Transitions of Linear and Cross-Linked Poly (N-Isopropylacrylamide) in Water/2-Propanol Mixtures. Polymer 2013, 54, 6776–6784. [Google Scholar] [CrossRef]
- Mehrabianfar, P.; Malmir, P.; Soulgani, B.S.; Hashemi, A. Study on the Optimization of the Performance of Preformed Particle Gel (PPG) on the Isolation of High Permeable Zone. J. Pet. Sci. Eng. 2020, 195, 107530. [Google Scholar] [CrossRef]
- Sun, Y.; Fang, Y.; Chen, A.; You, Q.; Dai, C.; Cheng, R.; Liu, Y. Gelation Behavior Study of a Resorcinol–Hexamethyleneteramine Crosslinked Polymer Gel for Water Shut-off Treatment in Low Temperature and High Salinity Reservoirs. Energies 2017, 10, 913. [Google Scholar] [CrossRef]
- Dai, C.; Chen, W.; You, Q.; Wang, H.; Yang, Z.; He, L.; Jiao, B.; Wu, Y. A Novel Strengthened Dispersed Particle Gel for Enhanced Oil Recovery Application. J. Ind. Eng. Chem. 2016, 41, 175–182. [Google Scholar] [CrossRef]
- Yu, Z.; Wu, P. Underwater Communication and Optical Camouflage Ionogels. Adv. Mater. 2021, 33, 2008479. [Google Scholar] [CrossRef] [PubMed]
- Maia, A.M.S.; Costa, M.; Borsali, R.; Garcia, R.B. Rheological Behavior and Scattering Studies of Acrylamide-Based Copolymer Solutions. In Proceedings of the Macromolecular Symposia; Wiley Online Library: Hoboken, NJ, USA, 2005; Volume 229, pp. 217–227. [Google Scholar]
- Wever, D.A.Z.; Picchioni, F.; Broekhuis, A.A. Polymers for Enhanced Oil Recovery: A Paradigm for Structure–Property Relationship in Aqueous Solution. Prog. Polym. Sci. 2011, 36, 1558–1628. [Google Scholar] [CrossRef]
- Mansha, M.; Kalgaonkar, R.A.; Baqader, N.; Ullah, N. Synthesis and Properties of Exceptionally Thermo-Switchable Viscoelastic Responsive Zwitterionic Gemini Surfactants in Highly Saline Water. ACS Omega 2022, 7, 39822–39829. [Google Scholar] [CrossRef] [PubMed]
- Ali, M.; Yekeen, N.; Pal, N.; Keshavarz, A.; Iglauer, S.; Hoteit, H. Influence of Organic Molecules on Wetting Characteristics of Mica/H2/Brine Systems: Implications for Hydrogen Structural Trapping Capacities. J. Colloid Interface Sci. 2022, 608, 1739–1749. [Google Scholar] [CrossRef]
- Gautam, S.; Guria, C. Optimal Synthesis, Characterization, and Performance Evaluation of High-Pressure High-Temperature Polymer-Based Drilling Fluid: The Effect of Viscoelasticity on Cutting Transport, Filtration Loss, and Lubricity. SPE J. 2020, 25, 1333–1350. [Google Scholar] [CrossRef]
- Dai, C.; Zhao, G.; You, Q.; Zhao, M. A Study on Environment-friendly Polymer Gel for Water Shut-off Treatments in Low-temperature Reservoirs. J. Appl. Polym. Sci. 2014, 131. [Google Scholar] [CrossRef]
- Brannon, H.D.; Tjon-Joe-Pin, R.M.; Carman, P.S.; Wood, W.D. Enzyme Breaker Technologies: A Decade of Improved Well Stimulation. In Proceedings of the SPE Annual Technical Conference and Exhibition, Denver, CO, USA, 5–8 October 2003. [Google Scholar]
- Cobianco, S.; Albonico, P.; Battistel, E.; Bianchi, D.; Fornaroli, M. Thermophilic Enzymes for Filtercake Removal at High Temperature. In Proceedings of the SPE European Formation Damage Conference and Exhibition, Scheveningen, The Netherlands, 30 May–1 June 2007; p. SPE-107756. [Google Scholar]
- Chopade, P.; Fontenelle, L.; Reddy, B.R.; Coria, B. Novel Stabilized Enzyme Breaker for Fracturing Applications. In Proceedings of the SPE Production and Operations Symposium, Oklahoma City, OK, USA, 1–5 March 2015. [Google Scholar]
- Barati, R.; Johnson, S.J.; McCool, S.; Green, D.W.; Willhite, G.P.; Liang, J. Fracturing Fluid Cleanup by Controlled Release of Enzymes from Polyelectrolyte Complex Nanoparticles. J. Appl. Polym. Sci. 2011, 121, 1292–1298. [Google Scholar] [CrossRef]
- Zaitoun, A.; Makakou, P.; Blin, N.; Al-Maamari, R.S.S.; Al-Hashmi, A.R.R.; Abdel-Goad, M.; Al-Sharji, H.H.H. Shear Stability of EOR Polymers. SPE J. 2012, 17, 335–339. [Google Scholar] [CrossRef]
- Skauge, T.; Skauge, A.; Salmo, I.C.; Ormehaug, P.A.; Al-Azri, N.; Wassing, L.M.; Glasbergen, G.; Van Wunnik, J.N.; Masalmeh, S.K. Radial and Linear Polymer Flow-Influence on Injectivity. In Proceedings of the SPE Improved Oil Recovery Conference, Tulsa, OK, USA, 11–13 April 2016. [Google Scholar]
- Soares, E.J.; Sandoval, G.A.B.; Silveira, L.; Pereira, A.S.; Trevelin, R.; Thomaz, F. Loss of Efficiency of Polymeric Drag Reducers Induced by High Reynolds Number Flows in Tubes with Imposed Pressure. Phys. Fluids 2015, 27, 125105. [Google Scholar] [CrossRef]
- Habibpour, M.; Clark, P.E. Drag Reduction Behavior of Hydrolyzed Polyacrylamide/Xanthan Gum Mixed Polymer Solutions. Pet. Sci. 2017, 14, 412–423. [Google Scholar] [CrossRef]
- Król-Morkisz, K.; Pielichowska, K. Thermal Decomposition of Polymer Nanocomposites with Functionalized Nanoparticles. In Polymer Composites with Functionalized Nanoparticles; Elsevier: Amsterdam, The Netherlands, 2019; pp. 405–435. [Google Scholar]
- Bai, Y.; Zhang, Q.; Sun, J.; Lv, K.; Shang, X.; Liu, C.; Cheng, R.; Wang, F. Self-Healing Hydrogels and Their Action Mechanism in Oil–Gas Drilling and Development Engineering: A Systematic Review and Prospect. J. Nat. Gas Sci. Eng. 2021, 96, 104250. [Google Scholar] [CrossRef]
- Bai, Y.; Liu, Y.; Yang, K.; Lang, Y. Application and Research Prospect of Functional Polymer Gels in Oil and Gas Drilling and Development Engineering. Gels 2023, 9, 413. [Google Scholar] [CrossRef] [PubMed]
- Li, J.; Liu, X.; Feng, Y.; Yin, J. Recent Progress in Polymer/Two-Dimensional Nanosheets Composites with Novel Performances. Prog. Polym. Sci. 2022, 126, 101505. [Google Scholar] [CrossRef]
- Rahman, F.U.; Khan, S.; Rahman, M.U.; Zaib, R.; Rahman, M.U.; Ullah, R.; Zahoor, M.; Kamran, A.W. Effect of Ionic Strength on DNA–Dye Interactions of Victoria Blue B and Methylene Green Using UV–Visible Spectroscopy. Z. Für Phys. Chem. 2024, 238, 173–186. [Google Scholar] [CrossRef]
- Khan, S.; Iqbal, A. Organic Polymers Revolution: Applications and Formation Strategies, and Future Perspectives. J. Polym. Sci. Eng. 2023, 6, 3125. [Google Scholar] [CrossRef]






























| Types of Polymers | Gelling Agent | Use | Ref |
|---|---|---|---|
| Guar-based | Guar gum Hydro propyl guar Carboxymethyl guar Carboxymethylhydropropyl guar | Proppant delivery agent Fluid loss additive Gravel packing Thickener | [24] |
| Cellulose-based | Hydroxyethyl cellulose Hydroxypropyl cellulose Carboxymethyl cellulose Carboxymethylhydroxyethyl cellulose Methyl cellulose | Proppant delivery agent Fluid loss additive Gravel packing Thickener | [24] |
| Acrylamide and acrylic acid-based | Polyacrylamide Polyacrylate Methyl acrylamide Acrylic acid Methyl acrylic acid Copolymers from acrylamide and acrylic acid | Friction reducer Proppant delivery agent Fluid loss additive Gravel packing Thickener | [24,25] |
| Starch-based | Xanthan gum Starch and its derivatives Polyurethanes, Polyesters | Proppant delivery agent Foaming agent Gravel packing Drilling muds Thickener Fluid-loss additive | [24,26] |
| Derivative | Structure of Substituent | Ionic Charge |
|---|---|---|
| Hydroxy Propyl Guar (HPG) | CH2-CH(OH)CH3 | Nonionic |
| Carboxy Methyl Guar (CMG) | CH2-COO-Na+ | Anionic |
| Carboxy Methyl Hydroxy Propyl Guar (CMHPG) | CH2-COO-Na+ CH2-CH(OH)CH3 | Anionic |
| Name of Polymer |
Concentrations Applied/Used
(wt%/mol/mmol) | Efficiency of Corrosion Inhibition (%) | EOR (%) |
Viscosity
(cPs) | Modifier/Activator | Ref. |
|---|---|---|---|---|---|---|
| Guar Gum (GG) | 0.1–0.5 wt% | 85% | 60% | 500–1000 | Borax | [30] |
| Hydroxypropyl Guar (HPG) | 0.2–0.8 wt% | 90% | 65% | 600–1200 | Calcium chloride | [35] |
| Carboxymethyl Guar (CMG) | 0.1–0.6 wt% | 80% | 55% | 400–900 | Sodium hydroxide | [30] |
| Carboxymethyl Hydroxypropyl Guar (CMHPG) | 0.3–1.0 wt% | 95% | 70% | 700–1500 | Zinc chloride | [35] |
| Material Used | Property of Material Studied | Major Findings | Ref |
|---|---|---|---|
| CMC | Clay has hydration-inhibiting characteristics. | During 180 min, the clay swelling degree was marginally lower in the low molecular weight CMC than in the high molecular weight CNC. | [65] |
| CMS | Properties of Rheology | The combined action of CMC and PVP enhanced the apparent viscosity and the shear stress, the tackifying effect of CMC was greater than that of PVP. | [66] |
| CMC | Rheological properties, filtration, and interfacial properties | The combined action of CMC and PVP enhanced the apparent viscosity and the shear stress; the tackifying effect of CMC was greater than that of PVP. | [59] |
| PAC | Volume of filtrate and viscosity | Drilling fluid’s viscosity can be efficiently increased, and its filtrate volume decreased, with PAC. | [67] |
| PAC | Rheological properties | It would appear appropriate to treat PAC solutions as merely viscous, shear-thinning for cuttings transport simulation. | [68] |
| HEC | Properties of Rheology | Drilling fluid with optimal rheological characteristics can be guaranteed by incorporating HEC at the optimal concentration into bentonite suspension. | [62] |
| Modification | Improvement | Oil Recovery Factor | Reservoir Type |
Reservoir Conditions
(T, Salinity, Porosity and Permeability) | Ref |
|---|---|---|---|---|---|
| Acryloylated starch-gpoly (AM-AA)/TMVS | Expand the water absorption capability of polymers and enhance their salt tolerance. | 46% of Sor | Sandstone | 70 °C, 80,000 ppm, 21.9% and 45.39 mD | [71] |
| Acryloylated starch-gpoly (AM-VMA-NVP)/ DMPVS | Enhance thermal stability and salt tolerance (severe reservoir conditions). | 49% of Sor | Sandstone | 80 °C, 80,000 ppm, 21.9% and 45 mD | [73] |
| Sulfonic starch-g- MBAM&TEVS | Boost wettability to promote hydrophilic characteristics. | 39% of Sor | Sandstone | 50 °C, 100,000 ppm, 22% and 45.4 mD | [72] |
| Crystalline starch nanoparticles (CSNP) | Reduce interfacial tension (IFT) and enhance the wettability of the rocks to promote hydrophilic properties. | 23% of OOIP | Sandstone | 120 °C, 22,000 ppm, 15.3% and 167.43 mD | [79] |
| Quaternary ammonium cationic starch | Enhance wettability to raise hydrophilicity and increase salt tolerance. | 18% of OOIP | Sandstone | 70 °C, 5727 ppm, 25% and 1.46 μm2 | [80] |
| Aspect | Natural Polymers | Synthetic Polymers | Ref |
|---|---|---|---|
| Biodegradability, Biocompatibility, Non-toxicity | Naturally occurring polymers are biodegradable, biocompatible, and non-toxic. Plant-derived materials are composed of complex carbohydrates, rendering them safer than synthetic counterparts synthesized from potentially harmful chemicals. | Synthetic polymers are often derived from chemical synthesis, which may introduce toxins and pollutants. Depending on their chemical composition, they can have varying levels of biodegradability and biocompatibility. | [87] |
| Economic Viability | Natural polymers typically have lower production costs compared to synthetic polymers. They are sourced from readily available plant and animal materials, leading to cost-effectiveness. | Synthetic polymers may involve complex manufacturing processes and the use of petrochemicals, which can contribute to higher production costs. However, economies of scale and technological advancements may offset some of these costs. | [88] |
| Safety and Side Effects | Naturally occurring polymers are generally considered safe and devoid of side effects. They do not pose risks of chemical toxicity, making them suitable for various applications. | Synthetic polymers synthesized from chemicals may carry risks of toxicity and side effects, especially if they contain harmful additives or by-products. Proper regulation and testing are essential to ensure safety. | [86] |
| Availability | Natural polymers are widely available globally in animals, plants, fruits, and seeds. They are also used as food sources, contributing to their abundant supply. Industrial production ensures consistent availability. | Synthetic polymers may face supply constraints due to dependency on petrochemical feedstocks and manufacturing processes. Market dynamics and geopolitical factors can influence availability. | [88] |
| Polyol Type | Advantages | Disadvantages |
|---|---|---|
| Polyether polyols are synthesized using propylene oxide and ethylene oxide | Hydrolytic resistance, economic viability, rheological properties, and flexibility. | Oxidative resistance, modulus/tensile strength, thermal stability, and flammability characteristics. |
| Aliphatic polyester polyol Aromatic polyester polyol | Oxidative resistance, modulus/tensile strength Flame retardancy, and modulus/stiffness. | Viscosity, hydrolytic resistance, Viscosity, and reduced flexibility. |
| Type of Polymer |
Concentrations Applied/Used
(wt%/mol/mmol) | Efficiency of Corrosion Inhibition (%) | EOR (%) |
Viscosity
(cPs) | Modifier/Activator | Ref. |
|---|---|---|---|---|---|---|
| Polyurethane | 0.5–2.0 (wt% mol/mmol) | 90% | 60% | 500–1500 | Boron compounds | [22] |
| Polyamide | 0.3–1.5 (wt%/mol/mmol) | 85% | 55% | 400–1200 | Phosphorus compounds | [22] |
| Synthetic Method | Advantages | Disadvantages |
|---|---|---|
| Condensation Polymerization | High reaction efficiency and a wide range of monomer sources. | Synthetic polymers are easily hydrolyzed and multiple reaction steps. |
| Ring-opening Polymerization | Easy modification of polymer terminal groups and few reaction steps. | Limited sources of monomers. |
| Free radical Polymerization | A varied range of monomer sources, mild reaction conditions, and few reactions. | A wide distribution of molecular weights for synthetic polymers. |
| Name of Polymer | Synthesis Method |
Concentrations Applied/Used
(wt%/mol/mmol) | Efficiency of Corrosion Inhibition (%) | EOR (%) |
Viscosity
(cPs) | Modifier/Activator | Ref. |
|---|---|---|---|---|---|---|---|
| Polymer A | Condensation | 1–5 wt% | 85% | 60 | 1000 | Sodium dodecyl sulfate | [125] |
| Polymer B | Radical | 2–10 mol% | 90 | 70 | 2000 | Phosphonic acid | [126] |
| Polymer C | Ring-Opening | 0.5–2 mmol/mmol | 75 | 50 | 1500 | Ammonium chloride | [125] |
| Type of Polymer | Concentration or Amount Needed | Viscosity | Shear Rate | Adsorption Capacity | Ref |
|---|---|---|---|---|---|
| XG | 0.10 wt%, 0.25 wt%, 0.50 wt% | 13–35 | (0–1000 s−1) | 435 mg/g (1.35 mmol/g) | [147] |
| HPAM (1.5) HPAM (20) HPAM (80) | 0.5 wt% 1.5 wt% 2 wt% | 20.2 12.4 9.0 | 500 380 700 | 1.17–1.62 μg/cm2 | [157] |
| PAM | 1 wt% | 11.8 | 800 | 75 mg/g | [157] |
| Polymer | Maximum Temperature | CAC (g/L) | Concentration Regime | Ref |
|---|---|---|---|---|
| AM-AA-NIMA a | 42 | 0.80 | Semi-dilute | [186] |
| AM-AMC12S-DPP b | 35 | 0.20 | Semi-dilute | [187] |
| AM-DOAC-SSS c | 80 | 1.65 | Semi-dilute (0.3 wt%) | [188] |
Disclaimer/Publisher’s Note: The statements, opinions and data contained in all publications are solely those of the individual author(s) and contributor(s) and not of MDPI and/or the editor(s). MDPI and/or the editor(s) disclaim responsibility for any injury to people or property resulting from any ideas, methods, instructions or products referred to in the content. |
© 2024 by the author. Licensee MDPI, Basel, Switzerland. This article is an open access article distributed under the terms and conditions of the Creative Commons Attribution (CC BY) license (https://creativecommons.org/licenses/by/4.0/).
Share and Cite
Khan, M. Chemical and Physical Architecture of Macromolecular Gels for Fracturing Fluid Applications in the Oil and Gas Industry; Current Status, Challenges, and Prospects. Gels 2024, 10, 338. https://doi.org/10.3390/gels10050338
Khan M. Chemical and Physical Architecture of Macromolecular Gels for Fracturing Fluid Applications in the Oil and Gas Industry; Current Status, Challenges, and Prospects. Gels. 2024; 10(5):338. https://doi.org/10.3390/gels10050338
Chicago/Turabian StyleKhan, Majad. 2024. "Chemical and Physical Architecture of Macromolecular Gels for Fracturing Fluid Applications in the Oil and Gas Industry; Current Status, Challenges, and Prospects" Gels 10, no. 5: 338. https://doi.org/10.3390/gels10050338
APA StyleKhan, M. (2024). Chemical and Physical Architecture of Macromolecular Gels for Fracturing Fluid Applications in the Oil and Gas Industry; Current Status, Challenges, and Prospects. Gels, 10(5), 338. https://doi.org/10.3390/gels10050338
