A Gellan Gum, Polyethylene Glycol, Hydroxyapatite Composite Scaffold with the Addition of Ginseng Derived Compound K with Possible Applications in Bone Regeneration
Abstract
1. Introduction
2. Results and Discussion
2.1. Morphological Analysis
2.2. Mechanical Properties
2.3. Chemical Analysis
2.4. Thermal Analysis
2.5. Swelling and Weight Loss
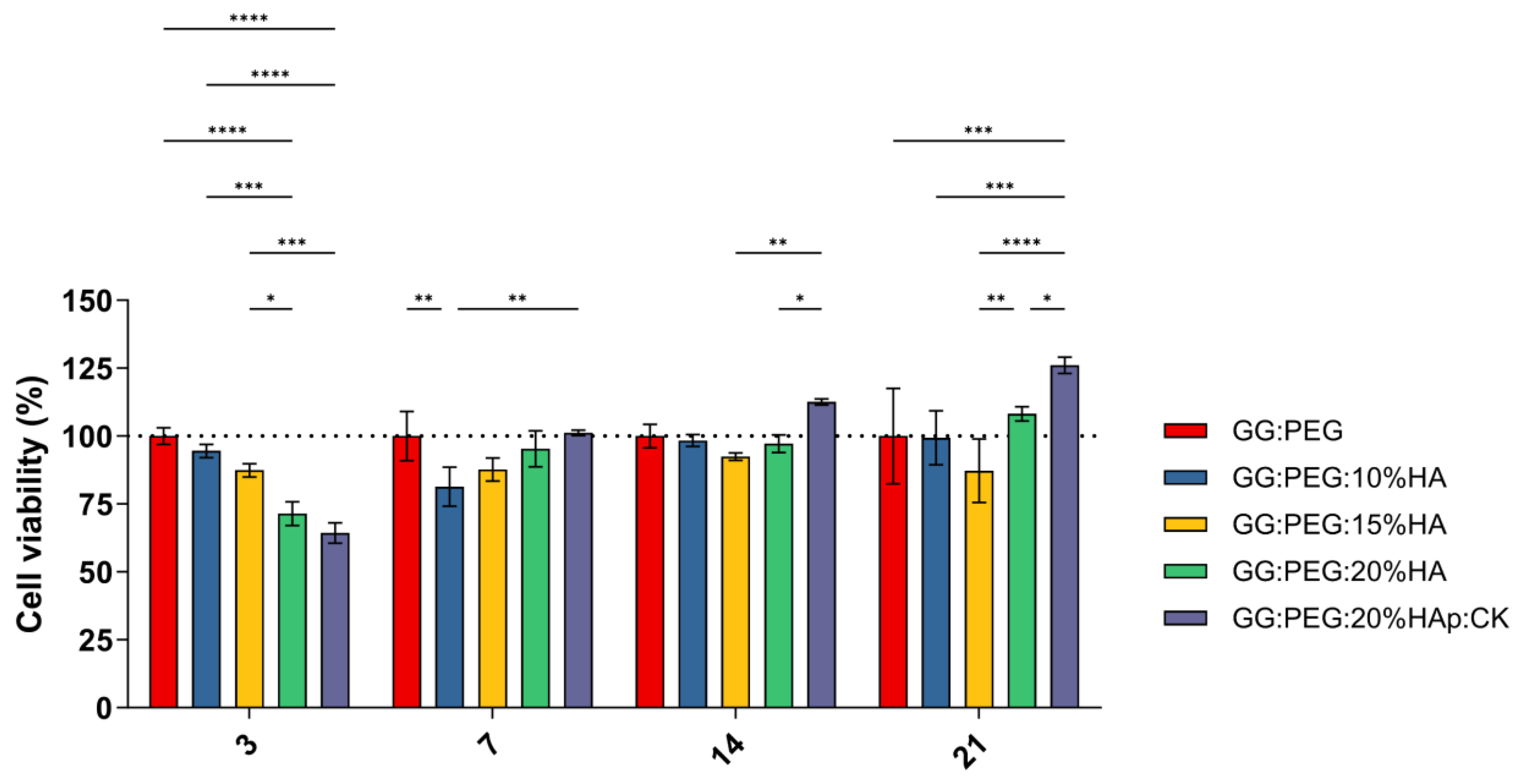
2.6. Preliminary in Vitro Test: MTT Assay
2.7. Mineralization
3. Conclusions
4. Materials and Methods
4.1. Materials
4.2. Scaffolds Preparation
4.3. Morphological Analysis
4.4. Mechanical Test
4.5. Chemical Analysis
4.6. Thermal Analysis
4.7. Swelling and Degradation
4.8. Preliminary In Vitro Test: MTT Assay and SEM Imaging
4.9. Mineralization
Supplementary Materials
Author Contributions
Funding
Data Availability Statement
Acknowledgments
Conflicts of Interest
References
- Xue, N.; Ding, X.; Huang, R.; Jiang, R.; Huang, H.; Pan, X.; Min, W.; Chen, J.; Duan, J.-A.; Liu, P.; et al. Bone Tissue Engineering in the Treatment of Bone Defects. Pharmaceuticals 2022, 15, 879. [Google Scholar] [CrossRef] [PubMed]
- Feng, X. Chemical and Biochemical Basis of Cell-Bone Matrix Interaction in Health and Disease. Curr. Chem. Biol. 2009, 3, 189–196. [Google Scholar] [CrossRef] [PubMed]
- Bucciarelli, A.; Motta, A. Use of Bombyx Mori Silk Fibroin in Tissue Engineering: From Cocoons to Medical Devices, Challenges, and Future Perspectives. Biomater. Adv. 2022, 139, 212982. [Google Scholar] [CrossRef]
- Wang, P.; Wang, X. Mimicking the Native Bone Regenerative Microenvironment for in Situ Repair of Large Physiological and Pathological Bone Defects. Eng. Regen. 2022, 3, 440–452. [Google Scholar] [CrossRef]
- Baker, C.E.; Moore-Lotridge, S.N.; Hysong, A.A.; Posey, S.L.; Robinette, J.P.; Blum, D.M.; Benvenuti, M.A.; Cole, H.A.; Egawa, S.; Okawa, A.; et al. Bone Fracture Acute Phase Response—A Unifying Theory of Fracture Repair: Clinical and Scientific Implications. Clin. Rev. Bone Miner. Metab. 2018, 16, 142–158. [Google Scholar] [CrossRef] [PubMed]
- Majidinia, M.; Sadeghpour, A.; Yousefi, B. The Roles of Signaling Pathways in Bone Repair and Regeneration. J. Cell. Physiol. 2018, 233, 2937–2948. [Google Scholar] [CrossRef] [PubMed]
- Leong, P.L.; Morgan, E.F. Measurement of Fracture Callus Material Properties via Nanoindentation. Acta Biomater. 2008, 4, 1569–1575. [Google Scholar] [CrossRef] [PubMed]
- Inglis, B.; Schwarzenberg, P.; Klein, K.; von Rechenberg, B.; Darwiche, S.; Dailey, H.L. Biomechanical Duality of Fracture Healing Captured Using Virtual Mechanical Testing and Validated in Ovine Bones. Sci. Rep. 2022, 12, 2492. [Google Scholar] [CrossRef] [PubMed]
- Zhu, G.; Zhang, T.; Chen, M.; Yao, K.; Huang, X.; Zhang, B.; Li, Y.; Liu, J.; Wang, Y.; Zhao, Z. Bone Physiological Microenvironment and Healing Mechanism: Basis for Future Bone-Tissue Engineering Scaffolds. Bioact. Mater. 2021, 6, 4110–4140. [Google Scholar] [CrossRef]
- Manzini, B.M.; Machado, L.M.R.; Noritomi, P.Y.; da Silva, J.V.L. Advances in Bone Tissue Engineering: A Fundamental Review. J. Biosci. 2021, 46, 17. [Google Scholar] [CrossRef]
- Bucciarelli, A.; Pedranz, A.; Gambari, L.; Petretta, M.; Vivarelli, L.; Dallari, D.; Grigolo, B.; Maniglio, D.; Grassi, F. Modeling the Osteogenic Potential of Decellularized Human Bone Particles by Tuning Their Size Distribution through a Sonic Microfragmentation Approach. Adv. Mater. Technol. 2023, 8, 2300635. [Google Scholar] [CrossRef]
- Wubneh, A.; Tsekoura, E.K.; Ayranci, C.; Uludağ, H. Current State of Fabrication Technologies and Materials for Bone Tissue Engineering. Acta Biomater. 2018, 80, 1–30. [Google Scholar] [CrossRef] [PubMed]
- Boyce, T.; Edwards, J.; Scarborough, N. Allograft Bone. Orthop. Clin. N. Am. 1999, 30, 571–581. [Google Scholar] [CrossRef] [PubMed]
- Schaaf, H.; Lendeckel, S.; Howaldt, H.-P.; Streckbein, P. Donor Site Morbidity after Bone Harvesting from the Anterior Iliac Crest. Oral Surg. Oral Med. Oral Pathol. Oral Radiol. Endodontol. 2010, 109, 52–58. [Google Scholar] [CrossRef] [PubMed]
- Pollock, R.; Alcelik, I.; Bhatia, C.; Chuter, G.; Lingutla, K.; Budithi, C.; Krishna, M. Donor Site Morbidity Following Iliac Crest Bone Harvesting for Cervical Fusion: A Comparison between Minimally Invasive and Open Techniques. Eur. Spine J. 2008, 17, 845–852. [Google Scholar] [CrossRef] [PubMed]
- Lomas, R.; Chandrasekar, A.; Board, T.N. Bone Allograft in the UK: Perceptions and Realities. HIP Int. 2013, 23, 427–433. [Google Scholar] [CrossRef] [PubMed]
- Grover, V.; Malhotra, R.; Kapoor, A.; Sachdeva, S. Bone Allografts: A Review of Safety and Efficacy. Indian J. Dent. Res. 2011, 22, 496. [Google Scholar] [CrossRef] [PubMed]
- Bucciarelli, A.; Muthukumar, T.; Kim, J.S.; Kim, W.K.; Quaranta, A.; Maniglio, D.; Khang, G.; Motta, A. Preparation and Statistical Characterization of Tunable Porous Sponge Scaffolds Using UV Cross-Linking of Methacrylate-Modified Silk Fibroin. ACS Biomater. Sci. Eng. 2019, 5, 6374–6388. [Google Scholar] [CrossRef] [PubMed]
- Bucciarelli, A.; Chiera, S.; Quaranta, A.; Yadavalli, V.K.; Motta, A.; Maniglio, D. A Thermal-Reflow-Based Low-Temperature, High-Pressure Sintering of Lyophilized Silk Fibroin for the Fast Fabrication of Biosubstrates. Adv. Funct. Mater. 2019, 29, 1901134. [Google Scholar] [CrossRef]
- Cho, H.; Bucciarelli, A.; Kim, W.; Jeong, Y.; Kim, N.; Jung, J.; Yoon, S.; Khang, G. Natural Sources and Applications of Demineralized Bone Matrix in the Field of Bone and Cartilage Tissue Engineering. In Bioinspired Biomaterials. Advances in Experimental Medicine and Biology; Chun, H.J., Reis, R.L., Motta, A., Khang, G., Eds.; Springer: Singapore, 2020; pp. 3–14. [Google Scholar]
- Rao, K.M.; Kumar, A.; Han, S.S. Polysaccharide-Based Magnetically Responsive Polyelectrolyte Hydrogels for Tissue Engineering Applications. J. Mater. Sci. Technol. 2018, 34, 1371–1377. [Google Scholar] [CrossRef]
- Dang, J.M.; Leong, K.W. Natural Polymers for Gene Delivery and Tissue Engineering. Adv. Drug Deliv. Rev. 2006, 58, 487–499. [Google Scholar] [CrossRef] [PubMed]
- Liu, M.; Zeng, X.; Ma, C.; Yi, H.; Ali, Z.; Mou, X.; Li, S.; Deng, Y.; He, N. Injectable Hydrogels for Cartilage and Bone Tissue Engineering. Bone Res. 2017, 5, 17014. [Google Scholar] [CrossRef] [PubMed]
- Scalera, F.; Pereira, S.I.A.; Bucciarelli, A.; Tobaldi, D.M.; Quarta, A.; Gervaso, F.; Castro, P.M.L.; Polini, A.; Piccirillo, C. Chitosan-Hydroxyapatite Composites Made from Sustainable Sources: A Morphology and Antibacterial Study. Mater. Today Sustain. 2023, 21, 100334. [Google Scholar] [CrossRef]
- Bucciarelli, A.; Pal, R.K.; Maniglio, D.; Quaranta, A.; Mulloni, V.; Motta, A.; Yadavalli, V.K. Fabrication of Nanoscale Patternable Films of Silk Fibroin Using Benign Solvents. Macromol. Mater. Eng. 2017, 302, 1700110. [Google Scholar] [CrossRef]
- Yang, Y.J.; Ganbat, D.; Aramwit, P.; Bucciarelli, A.; Chen, J.; Migliaresi, C.; Motta, A. Processing Keratin from Camel Hair and Cashmere with Ionic Liquids. Express Polym. Lett. 2019, 13, 97–108. [Google Scholar] [CrossRef]
- Bucciarelli, A.; Mulloni, V.; Maniglio, D.; Pal, R.K.; Yadavalli, V.K.; Motta, A.; Quaranta, A. A Comparative Study of the Refractive Index of Silk Protein Thin Films towards Biomaterial Based Optical Devices. Opt. Mater. 2018, 78, 407–414. [Google Scholar] [CrossRef]
- Radhakrishnan, A.; Jose, G.M.; Kurup, M. PEG-Penetrated Chitosan–Alginate Co-Polysaccharide-Based Partially and Fully Cross-Linked Hydrogels as ECM Mimic for Tissue Engineering Applications. Prog. Biomater. 2015, 4, 101–112. [Google Scholar] [CrossRef] [PubMed]
- Kashirina, A.; Yao, Y.; Liu, Y.; Leng, J. Biopolymers as Bone Substitutes: A Review. Biomater. Sci. 2019, 7, 3961–3983. [Google Scholar] [CrossRef] [PubMed]
- Mariani, E.; Lisignoli, G.; Borzì, R.M.; Pulsatelli, L. Biomaterials: Foreign Bodies or Tuners for the Immune Response? Int. J. Mol. Sci. 2019, 20, 636. [Google Scholar] [CrossRef] [PubMed]
- Simionescu, B.C.; Ivanov, D. Natural and Synthetic Polymers for Designing Composite Materials. In Handbook of Bioceramics and Biocomposites; Springer International Publishing: Cham, Switzerland, 2015; pp. 1–54. [Google Scholar]
- Li, Z.; Li, S.; Yang, J.; Ha, Y.; Zhang, Q.; Zhou, X.; He, C. 3D Bioprinted Gelatin/Gellan Gum-Based Scaffold with Double-Crosslinking Network for Vascularized Bone Regeneration. Carbohydr. Polym. 2022, 290, 119469. [Google Scholar] [CrossRef] [PubMed]
- Costa, L.; Silva-Correia, J.; Oliveira, J.M.; Reis, R.L. Gellan Gum-Based Hydrogels for Osteochondral Repair. In Osteochondral Tissue Engineering; Springer: Cham, Switzerland, 2018; pp. 281–304. [Google Scholar]
- Liu, H.; Li, K.; Guo, B.; Yuan, Y.; Ruan, Z.; Long, H.; Zhu, J.; Zhu, Y.; Chen, C. Engineering an Injectable Gellan Gum-Based Hydrogel with Osteogenesis and Angiogenesis for Bone Regeneration. Tissue Cell 2024, 86, 102279. [Google Scholar] [CrossRef] [PubMed]
- Manda, M.G.; da Silva, L.P.; Cerqueira, M.T.; Pereira, D.R.; Oliveira, M.B.; Mano, J.F.; Marques, A.P.; Oliveira, J.M.; Correlo, V.M.; Reis, R.L. Gellan Gum-hydroxyapatite Composite Spongy-like Hydrogels for Bone Tissue Engineering. J. Biomed. Mater. Res. A 2018, 106, 479–490. [Google Scholar] [CrossRef] [PubMed]
- Douglas, T.E.L.; Piwowarczyk, W.; Pamula, E.; Liskova, J.; Schaubroeck, D.; Leeuwenburgh, S.C.G.; Brackman, G.; Balcaen, L.; Detsch, R.; Declercq, H.; et al. Injectable Self-Gelling Composites for Bone Tissue Engineering Based on Gellan Gum Hydrogel Enriched with Different Bioglasses. Biomed. Mater. 2014, 9, 045014. [Google Scholar] [CrossRef] [PubMed]
- Cho, H.H.; Been, S.Y.; Kim, W.Y.; Choi, J.M.J.H.; Choi, J.M.J.H.; Song, C.U.; Song, J.E.; Bucciarelli, A.; Khang, G. Comparative Study on the Effect of the Different Harvesting Sources of Demineralized Bone Particles on the Bone Regeneration of a Composite Gellan Gum Scaffold for Bone Tissue Engineering Applications. ACS Appl. Bio Mater. 2021, 4, 1900–1911. [Google Scholar] [CrossRef]
- Lee, H.; Jang, T.S.; Song, J.; Kim, H.E.; Jung, H. Do The Production of Porous Hydroxyapatite Scaffolds with Graded Porosity by Sequential Freeze-Casting. Materials 2017, 10, 367. [Google Scholar] [CrossRef] [PubMed]
- Khajuria, D.K.; Kumar, V.B.; Gigi, D.; Gedanken, A.; Karasik, D. Accelerated Bone Regeneration by Nitrogen-Doped Carbon Dots Functionalized with Hydroxyapatite Nanoparticles. ACS Appl. Mater. Interfaces 2018, 10, 19373–19385. [Google Scholar] [CrossRef] [PubMed]
- Lin, C.C.; Anseth, K.S. PEG Hydrogels for the Controlled Release of Biomolecules in Regenerative Medicine. Pharm. Res. 2009, 26, 631–643. [Google Scholar] [CrossRef] [PubMed]
- Bryant, S.J.; Bender, R.J.; Durand, K.L.; Anseth, K.S. Encapsulating Chondrocytes in Degrading PEG Hydrogels with High Modulus: Engineering Gel Structural Changes to Facilitate Cartilaginous Tissue Production. Biotechnol. Bioeng. 2004, 86, 747–755. [Google Scholar] [CrossRef] [PubMed]
- Yun, T.-K. Panax Ginseng—A Non-Organ-Specific Cancer Preventive? Lancet Oncol. 2001, 2, 49–55. [Google Scholar] [CrossRef] [PubMed]
- Yang, X.-D.; Yang, Y.-Y.; Ouyang, D.-S.; Yang, G.-P. A Review of Biotransformation and Pharmacology of Ginsenoside Compound K. Fitoterapia 2015, 100, 208–220. [Google Scholar] [CrossRef] [PubMed]
- Zhou, W.; Li, J.; Li, X.; Yan, Q.; Zhou, P. Development and Validation of a Reversed-phase HPLC Method for Quantitative Determination of Ginsenosides Rb1, Rd, F2, and Compound K during the Process of Biotransformation of Ginsenoside Rb1. J. Sep. Sci. 2008, 31, 921–925. [Google Scholar] [CrossRef]
- Zhou, W.; Huang, H.; Zhu, H.; Zhou, P.; Shi, X. New Metabolites from the Biotransformation of Ginsenoside Rb1 by Paecilomyces Bainier Sp.229 and Activities in Inducing Osteogenic Differentiation by Wnt/β-Catenin Signaling Activation. J. Ginseng Res. 2018, 42, 199–207. [Google Scholar] [CrossRef] [PubMed]
- Shen, G.; Ren, H.; Shang, Q.; Zhao, W.; Zhang, Z.; Yu, X.; Tang, K.; Tang, J.; Yang, Z.; Liang, D.; et al. Foxf1 Knockdown Promotes BMSC Osteogenesis in Part by Activating the Wnt/β-Catenin Signalling Pathway and Prevents Ovariectomy-Induced Bone Loss. EBioMedicine 2020, 52, 102626. [Google Scholar] [CrossRef]
- Ding, L.; Gu, S.; Zhou, B.; Wang, M.; Zhang, Y.; Wu, S.; Zou, H.; Zhao, G.; Gao, Z.; Xu, L. Ginsenoside Compound K Enhances Fracture Healing via Promoting Osteogenesis and Angiogenesis. Front. Pharmacol. 2022, 13, 855393. [Google Scholar] [CrossRef] [PubMed]
- Ding, L.; Gao, Z.; Wu, S.; Chen, C.; Liu, Y.; Wang, M.; Zhang, Y.; Li, L.; Zou, H.; Zhao, G.; et al. Ginsenoside Compound-K Attenuates OVX-Induced Osteoporosis via the Suppression of RANKL-Induced Osteoclastogenesis and Oxidative Stress. Nat. Prod. Bioprospect. 2023, 13, 49. [Google Scholar] [CrossRef] [PubMed]
- Wu, S.; Xiao, R.; Wu, Y.; Xu, L. Advances in Tissue Engineering of Gellan Gum-Based Hydrogels. Carbohydr. Polym. 2024, 324, 121484. [Google Scholar] [CrossRef] [PubMed]
- Wang, Z.; Cui, H.; Liu, M.; Grage, S.L.; Hoffmann, M.; Sedghamiz, E.; Wenzel, W.; Levkin, P.A. Tough, Transparent, 3D-Printable, and Self-Healing Poly(Ethylene Glycol)-Gel (PEGgel). Adv. Mater. 2022, 34, 2107791. [Google Scholar] [CrossRef] [PubMed]
- Loh, Q.L.; Choong, C. Three-Dimensional Scaffolds for Tissue Engineering Applications: Role of Porosity and Pore Size. Tissue Eng. Part B Rev. 2013, 19, 485–502. [Google Scholar] [CrossRef]
- Jahir-Hussain, M.J.; Maaruf, N.A.; Esa, N.E.F.; Jusoh, N. The Effect of Pore Geometry on the Mechanical Properties of 3D-Printed Bone Scaffold Due to Compressive Loading. IOP Conf. Ser. Mater. Sci. Eng. 2021, 1051, 012016. [Google Scholar] [CrossRef]
- Porter, M.M.; Imperio, R.; Wen, M.; Meyers, M.A.; McKittrick, J. Bioinspired Scaffolds with Varying Pore Architectures and Mechanical Properties. Adv. Funct. Mater. 2014, 24, 1978–1987. [Google Scholar] [CrossRef]
- Velasco, M.A.; Lancheros, Y.; Garzón-Alvarado, D.A. Geometric and Mechanical Properties Evaluation of Scaffolds for Bone Tissue Applications Designing by a Reaction-Diffusion Models and Manufactured with a Material Jetting System. J. Comput. Des. Eng. 2016, 3, 385–397. [Google Scholar] [CrossRef]
- Hernandez, C.J.; Beaupré, G.S.; Keller, T.S.; Carter, D.R. The Influence of Bone Volume Fraction and Ash Fraction on Bone Strength and Modulus. Bone 2001, 29, 74–78. [Google Scholar] [CrossRef] [PubMed]
- Morgan, E.F.; Unnikrisnan, G.U.; Hussein, A.I. Bone Mechanical Properties in Healthy and Diseased States. Annu. Rev. Biomed. Eng. 2018, 20, 119–143. [Google Scholar] [CrossRef] [PubMed]
- Keaveny, T.M.; Morgan, E.F.; Niebur, G.L.; Yeh, O.C. Biomechanics of Trabecular Bone. Annu. Rev. Biomed. Eng. 2001, 3, 307–333. [Google Scholar] [CrossRef] [PubMed]
- Osterhoff, G.; Morgan, E.F.; Shefelbine, S.J.; Karim, L.; McNamara, L.M.; Augat, P. Bone Mechanical Properties and Changes with Osteoporosis. Injury 2016, 47, S11–S20. [Google Scholar] [CrossRef] [PubMed]
- Alves, R.; Fidalgo-Marijuan, A.; Campos-Arias, L.; Gonçalves, R.; Silva, M.M.; del Campo, F.J.; Costa, C.M.; Lanceros-Mendez, S. Solid Polymer Electrolytes Based on Gellan Gum and Ionic Liquid for Sustainable Electrochromic Devices. ACS Appl. Mater. Interfaces 2022, 14, 15494–15503. [Google Scholar] [CrossRef] [PubMed]
- Massoumi, B.; Ramezani, M.; Jaymand, M.; Ahmadinejad, M. Multi-Walled Carbon Nanotubes-g-[Poly(Ethylene Glycol)-b-Poly(ε-Caprolactone)]: Synthesis, Characterization, and Properties. J. Polym. Res. 2015, 22, 214. [Google Scholar] [CrossRef]
- Mudgil, D.; Barak, S.; Khatkar, B.S. X-Ray Diffraction, IR Spectroscopy and Thermal Characterization of Partially Hydrolyzed Guar Gum. Int. J. Biol. Macromol. 2012, 50, 1035–1039. [Google Scholar] [CrossRef]
- Halim, N.F.A.; Majid, S.R.; Arof, A.K.; Kajzar, F.; Pawlicka, A. Gellan Gum-LiI Gel Polymer Electrolytes. Mol. Cryst. Liq. Cryst. 2012, 554, 232–238. [Google Scholar] [CrossRef]
- Kanesaka, S.; Watanabe, T.; Matsukawa, S. Binding Effect of Cu2+ as a Trigger on the Sol-to-Gel and the Coil-to-Helix Transition Processes of Polysaccharide, Gellan Gum. Biomacromolecules 2004, 5, 863–868. [Google Scholar] [CrossRef]
- Jaafar, A.M.; Thatchinamoorthi, V. Preparation and Characterisation of Gellan Gum Hydrogel Containing Curcumin and Limonene. IOP Conf. Ser. Mater. Sci. Eng. 2018, 440, 012023. [Google Scholar] [CrossRef]
- Ren, B.; Chen, X.; Du, S.; Ma, Y.; Chen, H.; Yuan, G.; Li, J.; Xiong, D.; Tan, H.; Ling, Z.; et al. Injectable Polysaccharide Hydrogel Embedded with Hydroxyapatite and Calcium Carbonate for Drug Delivery and Bone Tissue Engineering. Int. J. Biol. Macromol. 2018, 118, 1257–1266. [Google Scholar] [CrossRef] [PubMed]
- Ghorbani, F.; Nojehdehian, H.; Zamanian, A. Physicochemical and Mechanical Properties of Freeze Cast Hydroxyapatite-Gelatin Scaffolds with Dexamethasone Loaded PLGA Microspheres for Hard Tissue Engineering Applications. Mater. Sci. Eng. C 2016, 69, 208–220. [Google Scholar] [CrossRef]
- Li, H.; Zhou, C.-R.; Zhu, M.-Y.; Tian, J.-H.; Rong, J.-H. Preparation and Characterization of Homogeneous Hydroxyapatite/Chitosan Composite Scaffolds via In-Situ Hydration. J. Biomater. Nanobiotechnol. 2010, 1, 42–49. [Google Scholar] [CrossRef]
- Thangavelu, M.; Adithan, A.; John Peter, J.S.; Hossain, M.A.; Kim, N.S.; Hwang, K.-C.; Khang, G.; Kim, J.-H. Ginseng Compound K Incorporated Porous Chitosan/Biphasic Calcium Phosphate Composite Microsphere for Bone Regeneration. Int. J. Biol. Macromol. 2020, 146, 1024–1029. [Google Scholar] [CrossRef]
- Muthukumar, T.; Aravinthan, A.; Sharmila, J.; Kim, N.S.; Kim, J.-H. Collagen/Chitosan Porous Bone Tissue Engineering Composite Scaffold Incorporated with Ginseng Compound K. Carbohydr. Polym. 2016, 152, 566–574. [Google Scholar] [CrossRef] [PubMed]
- Jin, P.; Liu, L.; Cheng, L.; Chen, X.; Xi, S.; Jiang, T. Calcium-to-Phosphorus Releasing Ratio Affects Osteoinductivity and Osteoconductivity of Calcium Phosphate Bioceramics in Bone Tissue Engineering. Biomed. Eng. Online 2023, 22, 12. [Google Scholar] [CrossRef] [PubMed]
- Park, J.; Kim, J.; Ko, E.-S.; Jeong, J.H.; Park, C.-O.; Seo, J.H.; Jang, Y.-S. Enzymatic Bioconversion of Ginseng Powder Increases the Content of Minor Ginsenosides and Potentiates Immunostimulatory Activity. J. Ginseng Res. 2022, 46, 304–314. [Google Scholar] [CrossRef] [PubMed]
- Degirmenbasi, N.; Kalyon, D.M.; Birinci, E. Biocomposites of Nanohydroxyapatite with Collagen and Poly(Vinyl Alcohol). Colloids Surf. B Biointerfaces 2006, 48, 42–49. [Google Scholar] [CrossRef] [PubMed]
- Yan, X.; Fan, Y.; Wei, W.; Wang, P.; Liu, Q.; Wei, Y.; Zhang, L.; Zhao, G.; Yue, J.; Zhou, Z. Production of Bioactive Ginsenoside Compound K in Metabolically Engineered Yeast. Cell Res. 2014, 24, 770–773. [Google Scholar] [CrossRef] [PubMed]
- Schneider, C.A.; Rasband, W.S.; Eliceri, K.W.; Eliceiri, K.W. NIH Image to ImageJ: 25 Years of Image Analysis. Nat. Methods 2012, 9, 671–675. [Google Scholar] [CrossRef] [PubMed]









| Composition | Mean µm | St. Dev. µm | Skew | Kurt | Min µm | Q1 µm | Median µm | Q3 µm | Max µm |
|---|---|---|---|---|---|---|---|---|---|
| GG:PEG | 197.2 | 102.1 | 0.79 | 0.73 | 25.7 | 118.7 | 188.3 | 260.0 | 557.7 |
| GG:PEG:HA10% | 180.4 | 88.4 | 0.47 | −0.69 | 46.2 | 106.7 | 169.9 | 254.9 | 410.5 |
| GG:PEG:HA15% | 196.2 | 90.2 | 0.61 | 0.23 | 49.6 | 133.4 | 190.5 | 238.4 | 463.2 |
| GG:PEG:HA20% | 152.3 | 71.4 | 1.16 | 1.52 | 32.9 | 102.6 | 137.3 | 176.7 | 399.1 |
| GG:PEG:HA20%:CK | 144.8 | 116.4 | 2.63 | 9.70 | 23.0 | 68.9 | 112.1 | 182.6 | 728.5 |
| GG | GG:PEG | GG:PEG:HA10% | GG:PEG:HA15% | GG:PEG:HA20% | GG:PEG:HA20%:CK | |
|---|---|---|---|---|---|---|
| EDry (kPa) | 408 ± 16 | 959 ± 34 | 1078 ± 46 | 1084 ± 20 | 1494 ± 73 | 1591 ± 33 |
| EWet (KPa) | 86 ± 3 | 438 ± 27 | 872 ± 18 | 1018 ± 45 | 1152 ± 54 | 860 ± 36 |
| Loss (%) | 78 | 54 | 19 | 6 | 23 | 46 |
| Scaffold | Temperature Range (°C) | Weight Loss (%) | Assignment |
|---|---|---|---|
| GG:PEG | 25–125 | 6.3 | Water Loss |
| 125–175 | 0.36 | - | |
| 175–283 | 31.1 | Deg. GG | |
| 283–345 | 8.1 | Deg. PEG | |
| 345–700 | 9.04 (Residue 45.1) | Deg. GG:PEG | |
| GG:PEG:HA10% | 25–125 | 6.6 | Water Loss |
| 125–200 | 0.33 | - | |
| 200–287 | 31.1 | Deg. GG | |
| 287–700 | 11.62 (Residue 50.3) | Deg. GG:PEG | |
| GG:PEG:HA15% | 25–130 | 10.62 | Water Loss |
| 130–200 | 0.36 | - | |
| 200–292 | 27.74 | Deg. GG | |
| 292–700 | 10.1 (Residue 51.3) | Deg. GG:PEG | |
| GG:PEG:HA20% | 24–140 | 10.13 | Water Loss |
| 140–208 | 0.45 | - | |
| 208–303 | 27.88 | Deg. GG | |
| 303–700 | 9.18 (Residue 52.36) | Deg. GG:PEG | |
| GG:PEG:HA20%:CK | 25–110 | 6.41 | Water Loss |
| 110–150 | 0.57 | - | |
| 150–284 | 24.95 | Deg. GG | |
| 284–385 | 8.66 | Deg. PEG | |
| 385–529 | 6.46 | Deg. GG:PEG:CK | |
| 529–700 | 2.13 (Residue 50.82) | Deg. GG:PEG:CK |
| Sample | 5 Days | 10 Days | 15 Days | 20 Days | 25 Days | 30 Days |
|---|---|---|---|---|---|---|
| Swelling (%) | ||||||
| GG:PEG | 865 ± 118 | 2124 ± 553 | 2259 ± 769 | 2584 ± 537 | 2123 ± 378 | 1792 ± 563 |
| GG:PEG:HA10% | 164 ± 39 | 619 ± 34 | 516 ± 66 | 620 ± 58 | 595 ± 68 | 572 ± 109 |
| GG:PEG:HA15% | 157 ± 47 | 439 ± 79 | 399 ± 184 | 456 ± 96 | 470 ± 73 | 435 ± 36 |
| GG:PEG:HA20% | 87 ± 4 | 323 ± 49 | 364 ± 29 | 356 ± 40 | 356 ± 43 | 338 ± 46 |
| GG:PEG:HA20%:CK | 131 ± 44 | 299 ± 107 | 324 ± 97 | 249 ± 70 | 312 ± 70 | 333 ± 56 |
| Degradation (%) | ||||||
| GG:PEG | 14 ± 1 | 27 ± 4 | 22 ± 2 | 32 ± 6 | 33 ± 11 | 37 ± 10 |
| GG:PEG:HA10% | 10 ± 1 | 16 ± 4 | 14 ± 2 | 14 ± 1 | 13 ± 1 | 17 ± 3 |
| GG:PEG:HA15% | 12 ± 1 | 11 ± 4 | 10 ± 1 | 12 ± 2 | 15 ± 1 | 15 ± 7 |
| GG:PEG:HA20% | 5 ± 2 | 4 ± 1 | 6 ± 1 | 6 ± 2 | 5 ± 1 | 7 ± 1 |
| GG:PEG:HA20%:CK | 4 ± 4 | 3 ± 3 | 3 ± 1 | 5 ± 1 | 5 ± 2 | 7 ± 1 |
Disclaimer/Publisher’s Note: The statements, opinions and data contained in all publications are solely those of the individual author(s) and contributor(s) and not of MDPI and/or the editor(s). MDPI and/or the editor(s) disclaim responsibility for any injury to people or property resulting from any ideas, methods, instructions or products referred to in the content. |
© 2024 by the authors. Licensee MDPI, Basel, Switzerland. This article is an open access article distributed under the terms and conditions of the Creative Commons Attribution (CC BY) license (https://creativecommons.org/licenses/by/4.0/).
Share and Cite
Thangavelu, M.; Kim, P.-Y.; Cho, H.; Song, J.-E.; Park, S.; Bucciarelli, A.; Khang, G. A Gellan Gum, Polyethylene Glycol, Hydroxyapatite Composite Scaffold with the Addition of Ginseng Derived Compound K with Possible Applications in Bone Regeneration. Gels 2024, 10, 257. https://doi.org/10.3390/gels10040257
Thangavelu M, Kim P-Y, Cho H, Song J-E, Park S, Bucciarelli A, Khang G. A Gellan Gum, Polyethylene Glycol, Hydroxyapatite Composite Scaffold with the Addition of Ginseng Derived Compound K with Possible Applications in Bone Regeneration. Gels. 2024; 10(4):257. https://doi.org/10.3390/gels10040257
Chicago/Turabian StyleThangavelu, Muthukumar, Pil-Yun Kim, Hunhwi Cho, Jeong-Eun Song, Sunjae Park, Alessio Bucciarelli, and Gilson Khang. 2024. "A Gellan Gum, Polyethylene Glycol, Hydroxyapatite Composite Scaffold with the Addition of Ginseng Derived Compound K with Possible Applications in Bone Regeneration" Gels 10, no. 4: 257. https://doi.org/10.3390/gels10040257
APA StyleThangavelu, M., Kim, P.-Y., Cho, H., Song, J.-E., Park, S., Bucciarelli, A., & Khang, G. (2024). A Gellan Gum, Polyethylene Glycol, Hydroxyapatite Composite Scaffold with the Addition of Ginseng Derived Compound K with Possible Applications in Bone Regeneration. Gels, 10(4), 257. https://doi.org/10.3390/gels10040257

