Tailoring Hydrogel Structures: Investigating the Effects of Multistep Cellulose Defibrillation on Polyvinyl Alcohol Composites
Abstract
1. Introduction
2. Results and Discussion
2.1. Nanosuspension Characteristics after Defibrillated at Multiple Steps
2.2. Morphology
2.3. Microstructure
2.4. Mechanical Characterization
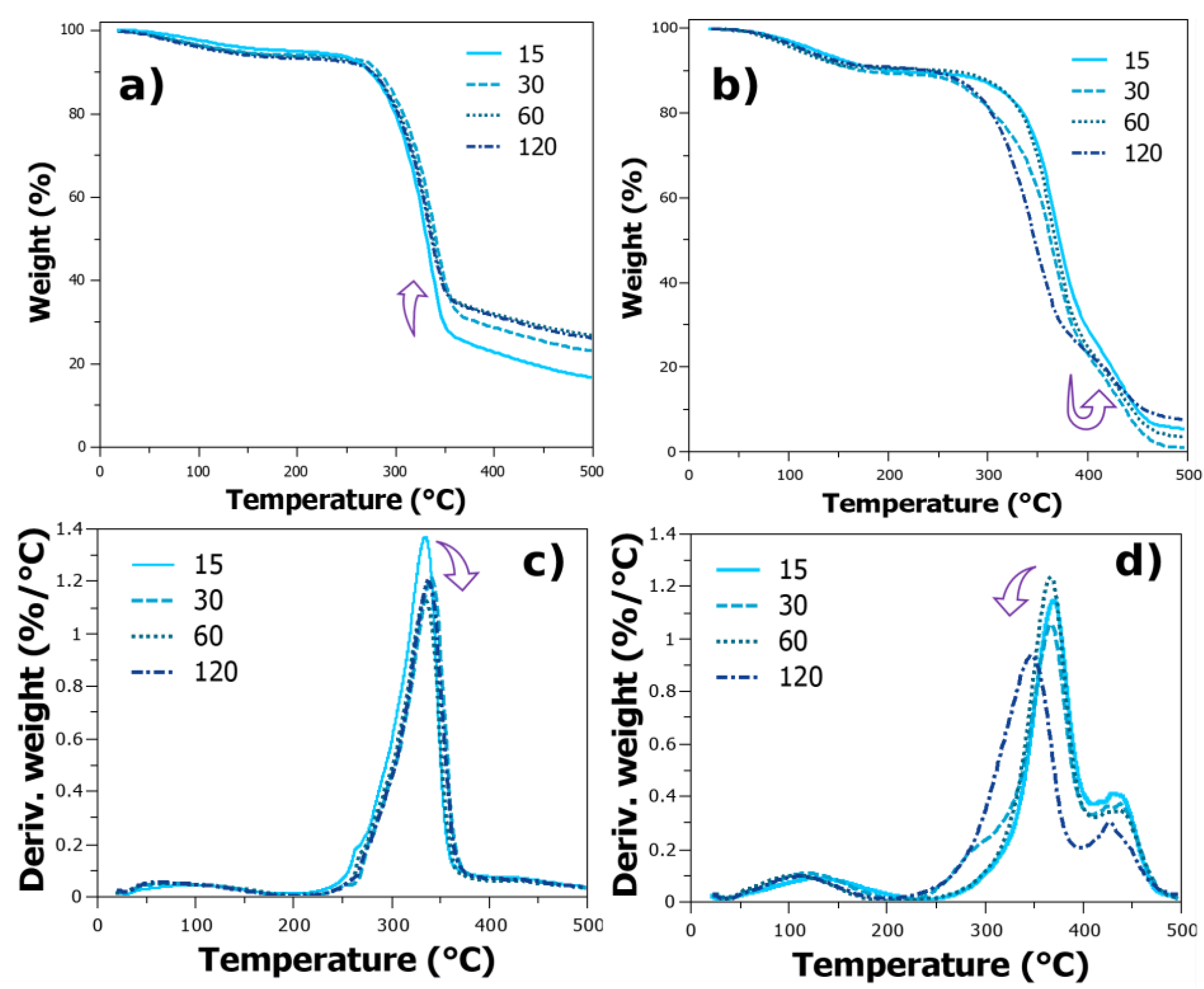
2.5. Thermal Characterization
2.6. Swelling Kinetics
3. Conclusions
4. Materials and Methods
4.1. Materials
4.2. Preprocess of Cellulose Suspension
4.3. NFC Cellulose Suspension
4.4. Hydrogel Synthesis of NFC Cellulose with Polyvinyl Alcohol
4.5. Attenuated Total Reflectance-Fourier Transform Infrared Spectroscopy (ATR-FTIR)
4.6. Polarization Modulation Infrared Reflection Absorption Spectroscopy (PM-IRRAS)
4.7. Scanning Electron Microscopy
4.8. Thermodynamic Analysis
4.9. Kinetics of Swelling of Hydrogels
4.10. Statistical Analysis
Supplementary Materials
Author Contributions
Funding
Institutional Review Board Statement
Informed Consent Statement
Data Availability Statement
Acknowledgments
Conflicts of Interest
References
- Abitbol, T.; Rivkin, A.; Cao, Y.; Nevo, Y.; Abraham, E.; Ben-Shalom, T.; Lapidot, S.; Shoseyov, O. Nanocellulose, a tiny fiber with huge applications. Curr. Opin. Biotechnol. 2016, 39, 76–88. [Google Scholar] [CrossRef]
- Mattos, B.D.; Tardy, B.L.; Rojas, O.J. Accounting for Substrate Interactions in the Measurement of the Dimensions of Cellulose Nanofibrils. Biomacromolecules 2019, 20, 2657–2665. [Google Scholar] [CrossRef]
- Zhang, K.; Su, Y.; Xiao, H. Preparation and characterization of nanofibrillated cellulose from waste sugarcane bagasse by mechanical force. BioResources 2020, 15, 6636–6647. [Google Scholar] [CrossRef]
- Felgueiras, H.P.; Teixeira, M.A.; Tavares, T.D.; Homem, N.C.; Zille, A.; Amorim, M.T.P. Antimicrobial action and clotting time of thin, hydrated poly(vinyl alcohol)/cellulose acetate films functionalized with LL37 for prospective wound-healing applications. J. Appl. Polym. Sci. 2020, 137, 48626. [Google Scholar] [CrossRef]
- Du, H.; Liu, W.; Zhang, M.; Si, C.; Zhang, X.; Li, B. Cellulose nanocrystals and cellulose nanofibrils based hydrogels for biomedical applications. Carbohydr. Polym. 2019, 209, 130–144. [Google Scholar] [CrossRef] [PubMed]
- Yang, W.; Xu, F.; Ma, X.; Guo, J.; Li, C.; Shen, S.; Puglia, D.; Chen, J.; Xu, P.; Kenny, J.; et al. Highly-toughened PVA/nanocellulose hydrogels with anti-oxidative and antibacterial properties triggered by lignin-Ag nanoparticles. Mater. Sci. Eng. C 2021, 129, 112385. [Google Scholar] [CrossRef] [PubMed]
- Desmaisons, J.; Boutonnet, E.; Rueff, M.; Dufresne, A.; Bras, J. A new quality index for benchmarking of different cellulose nanofibrils. Carbohydr. Polym. 2017, 174, 318–329. [Google Scholar] [CrossRef] [PubMed]
- de Lima, G.G.; Ferreira, B.D.; Matos, M.; Pereira, B.L.; Nugent, M.J.D.; Hansel, F.A.; Magalhães, W.L.E. Effect of cellulose size-concentration on the structure of polyvinyl alcohol hydrogels. Carbohydr. Polym. 2020, 245, 116612. [Google Scholar] [CrossRef] [PubMed]
- Zhang, C.; Wu, M.; Yang, S.; Song, X.; Xu, Y. Combined mechanical grinding and enzyme post-treatment leading to increased yield and size uniformity of cellulose nanofibrils. Cellulose 2020, 27, 7447–7461. [Google Scholar] [CrossRef]
- Berto, G.L.; Mattos, B.D.; Rojas, O.J.; Arantes, V. Single-Step Fiber Pretreatment with Monocomponent Endoglucanase: Defibrillation Energy and Cellulose Nanofibril Quality. ACS Sustain. Chem. Eng. 2021, 9, 2260–2270. [Google Scholar] [CrossRef]
- Wang, X.; Zeng, J.; Zhu, J.Y. Morphological and rheological properties of cellulose nanofibrils prepared by post-fibrillation endoglucanase treatment. Carbohydr. Polym. 2022, 295, 119885. [Google Scholar] [CrossRef]
- Kontturi, K.S.; Lee, K.-Y.; Jones, M.P.; Sampson, W.W.; Bismarck, A.; Kontturi, E. Influence of biological origin on the tensile properties of cellulose nanopapers. Cellulose 2021, 28, 6619–6628. [Google Scholar] [CrossRef]
- de Lima, G.G.; Campos, L.; Junqueira, A.; Devine, D.M.; Nugent, M.J.D. A novel pH-sensitive ceramic-hydrogel for biomedical applications. Polym. Adv. Technol. 2015, 26, 1439–1446. [Google Scholar] [CrossRef]
- Xu, Y.; Yang, S.; Zhao, P.; Wu, M.; Song, X.; Ragauskas, A.J. Effect of endoglucanase and high-pressure homogenization post-treatments on mechanically grinded cellulose nanofibrils and their film performance. Carbohydr. Polym. 2021, 253, 117253. [Google Scholar] [CrossRef]
- Shibayama, M.; Yamamoto, T.; Xiao, C.-F.; Sakurai, S.; Hayami, A.; Nomura, S. Bulk and surface characterization of cellulose/poly(vinyl alcohol) blends by Fourier-transform infra-red spectroscopy. Polymer 1991, 32, 1010–1016. [Google Scholar] [CrossRef]
- Aguayo, M.; Fernández Pérez, A.; Reyes, G.; Oviedo, C.; Gacitúa, W.; Gonzalez, R.; Uyarte, O. Isolation and Characterization of Cellulose Nanocrystals from Rejected Fibers Originated in the Kraft Pulping Process. Polymers 2018, 10, 1145. [Google Scholar] [CrossRef]
- Gentile, G.; Cocca, M.; Avolio, R.; Errico, M.; Avella, M. Effect of Microfibrillated Cellulose on Microstructure and Properties of Poly(vinyl alcohol) Foams. Polymers 2018, 10, 813. [Google Scholar] [CrossRef] [PubMed]
- Guan, Y.; Bian, J.; Peng, F.; Zhang, X.-M.; Sun, R.-C. High strength of hemicelluloses based hydrogels by freeze/thaw technique. Carbohydr. Polym. 2014, 101, 272–280. [Google Scholar] [CrossRef] [PubMed]
- Siddaiah, T.; Ojha, P.; Kumar, N.O.G.V.R.; Ramu, C. Structural, Optical and Thermal Characterizations of PVA/MAA:EA Polyblend Films. Mater. Res. 2018, 21, e20170987. [Google Scholar] [CrossRef]
- Ojala, J.; Visanko, M.; Laitinen, O.; Österberg, M.; Sirviö, J.; Liimatainen, H. Emulsion Stabilization with Functionalized Cellulose Nanoparticles Fabricated Using Deep Eutectic Solvents. Molecules 2018, 23, 2765. [Google Scholar] [CrossRef]
- Huang, P.; Zhao, Y.; Kuga, S.; Wu, M.; Huang, Y. A versatile method for producing functionalized cellulose nanofibers and their application. Nanoscale 2016, 8, 3753–3759. [Google Scholar] [CrossRef]
- do Nascimento, D.M.; Almeida, J.S.; Vale, M.d.S.; Leitão, R.C.; Muniz, C.R.; de Figueirêdo, M.C.B.; Morais, J.P.S.; Rosa, M.d.F. A comprehensive approach for obtaining cellulose nanocrystal from coconut fiber. Part I: Proposition of technological pathways. Ind. Crops Prod. 2016, 93, 66–75. [Google Scholar] [CrossRef]
- Duchemin, B.; Le Corre, D.; Leray, N.; Dufresne, A.; Staiger, M.P. All-cellulose composites based on microfibrillated cellulose and filter paper via a NaOH-urea solvent system. Cellulose 2016, 23, 593–609. [Google Scholar] [CrossRef]
- Alemdar, A.; Sain, M. Isolation and characterization of nanofibers from agricultural residues—Wheat straw and soy hulls. Bioresour. Technol. 2008, 99, 1664–1671. [Google Scholar] [CrossRef] [PubMed]
- Peresin, M.S.; Habibi, Y.; Zoppe, J.O.; Pawlak, J.J.; Rojas, O.J. Nanofiber Composites of Polyvinyl Alcohol and Cellulose Nanocrystals: Manufacture and Characterization. Biomacromolecules 2010, 11, 674–681. [Google Scholar] [CrossRef] [PubMed]
- Bourque, H.; Laurin, I.; Pézolet, M.; Klass, J.M.; Lennox, R.B.; Brown, G.R. Investigation of the Poly L-lactide)/Poly(D-lactide) Stereocomplex at the Air−Water Interface by Polarization Modulation Infrared Reflection Absorption Spectroscopy. Langmuir 2001, 17, 5842–5849. [Google Scholar] [CrossRef]
- Claro, F.C.; Matos, M.; Jordão, C.; Avelino, F.; Lomonaco, D.; Magalhães, W.L.E. Enhanced microfibrillated cellulose-based film by controlling the hemicellulose content and MFC rheology. Carbohydr. Polym. 2019, 218, 307–314. [Google Scholar] [CrossRef] [PubMed]
- Ye, D.; Yang, P.; Lei, X.; Zhang, D.; Li, L.; Chang, C.; Sun, P.; Zhang, L. Robust Anisotropic Cellulose Hydrogels Fabricated via Strong Self-aggregation Forces for Cardiomyocytes Unidirectional Growth. Chem. Mater. 2018, 30, 5175–5183. [Google Scholar] [CrossRef]
- Guo, Y.; He, M.; Peng, Y.; Zhang, Q.; Yan, L.; Zan, X. κ-Carrageenan/poly(N-acryloyl glycinamide) double-network hydrogels with high strength, good self-recovery, and low cytotoxicity. J. Mater. Sci. 2020, 55, 9109–9118. [Google Scholar] [CrossRef]
- Molnár, G.; Rodney, D.; Martoïa, F.; Dumont, P.J.J.; Nishiyama, Y.; Mazeau, K.; Orgéas, L. Cellulose crystals plastify by localized shear. Proc. Natl. Acad. Sci. USA 2018, 115, 7260–7265. [Google Scholar] [CrossRef]
- El Achaby, M.; El Miri, N.; Aboulkas, A.; Zahouily, M.; Bilal, E.; Barakat, A.; Solhy, A. Processing and properties of eco-friendly bio-nanocomposite films filled with cellulose nanocrystals from sugarcane bagasse. Int. J. Biol. Macromol. 2017, 96, 340–352. [Google Scholar] [CrossRef] [PubMed]
- Monyoncho, E.A.; Zamlynny, V.; Woo, T.K.; Baranova, E.A. The utility of polarization modulation infrared reflection absorption spectroscopy (PM-IRRAS) in surface and in situ studies: New data processing and presentation approach. Analyst 2018, 143, 2563–2573. [Google Scholar] [CrossRef] [PubMed]
- David, T.; Sébastien, F. G’MIC—GREYC’s Magic for Image Computing: A Full-Featured Open-Source Framework for Image Processing. Available online: https://gmic.eu/ (accessed on 14 March 2021).
- Schott, H. Swelling kinetics of polymers. J. Macromol. Sci. Part B 1992, 31, 1–9. [Google Scholar] [CrossRef]
- Chami Khazraji, A.; Robert, S. Interaction Effects between Cellulose and Water in Nanocrystalline and Amorphous Regions: A Novel Approach Using Molecular Modeling. J. Nanomater. 2013, 2013, 409676. [Google Scholar] [CrossRef]
- Chami Khazraji, A.; Robert, S. Self-Assembly and Intermolecular Forces When Cellulose and Water Interact Using Molecular Modeling. J. Nanomater. 2013, 2013, 745979. [Google Scholar] [CrossRef]








| Samples | TGA | DSC—PVA | Schott Equation Model | ||||||
|---|---|---|---|---|---|---|---|---|---|
| Tmax (°C) | T10 (°C) | Tm (°C) | ΔHf (J/g) | R2 | Ks | W∞ Calc | W∞ Obs | ||
| 1st Stage | 2nd Stage | ||||||||
| PVA | 365 ± 3 | 427 ± 4 | 268 ± 3 | 226 ± 2 | 73 ± 6 | 0.9999 | 0.014 | 3.48 | 3.46 |
| 15 | 369 ± 5 | 435 ± 3 | 204 ± 2 | 223 ± 2 | 24 ± 3 | 0.9999 | 0.077 | 3.04 | 3.03 |
| 30 | 367 ± 5 | 436 ± 4 | 173 ± 2 | 222 ± 2 | 26 ± 2 | 0.9998 | 0.038 | 2.13 | 2.12 |
| 60 | 366 ± 4 | 440 ± 5 | 256 ± 3 | 223 ± 2 | 27 ± 3 | 0.9988 | 0.019 | 2.03 | 2.00 |
| 120 | 347 ± 4 | 426 ± 4 | 238 ± 1 | 223 ± 2 | 22 ± 3 | 0.9998 | 0.031 | 2.05 | 2.03 |
Disclaimer/Publisher’s Note: The statements, opinions and data contained in all publications are solely those of the individual author(s) and contributor(s) and not of MDPI and/or the editor(s). MDPI and/or the editor(s) disclaim responsibility for any injury to people or property resulting from any ideas, methods, instructions or products referred to in the content. |
© 2024 by the authors. Licensee MDPI, Basel, Switzerland. This article is an open access article distributed under the terms and conditions of the Creative Commons Attribution (CC BY) license (https://creativecommons.org/licenses/by/4.0/).
Share and Cite
de Lima, G.G.; Aggio, B.B.; Pedro, A.C.; de Lima, T.A.d.M.; Magalhães, W.L.E. Tailoring Hydrogel Structures: Investigating the Effects of Multistep Cellulose Defibrillation on Polyvinyl Alcohol Composites. Gels 2024, 10, 212. https://doi.org/10.3390/gels10030212
de Lima GG, Aggio BB, Pedro AC, de Lima TAdM, Magalhães WLE. Tailoring Hydrogel Structures: Investigating the Effects of Multistep Cellulose Defibrillation on Polyvinyl Alcohol Composites. Gels. 2024; 10(3):212. https://doi.org/10.3390/gels10030212
Chicago/Turabian Stylede Lima, Gabriel Goetten, Bruno Bernardi Aggio, Alessandra Cristina Pedro, Tielidy A. de M. de Lima, and Washington Luiz Esteves Magalhães. 2024. "Tailoring Hydrogel Structures: Investigating the Effects of Multistep Cellulose Defibrillation on Polyvinyl Alcohol Composites" Gels 10, no. 3: 212. https://doi.org/10.3390/gels10030212
APA Stylede Lima, G. G., Aggio, B. B., Pedro, A. C., de Lima, T. A. d. M., & Magalhães, W. L. E. (2024). Tailoring Hydrogel Structures: Investigating the Effects of Multistep Cellulose Defibrillation on Polyvinyl Alcohol Composites. Gels, 10(3), 212. https://doi.org/10.3390/gels10030212

