Development and Bioavailability Assessment of an Estriol-Containing Vaginal Hydrogel
Abstract
1. Introduction
2. Results and Discussion
2.1. Results
2.1.1. In Vitro Release and Membrane Permeation of E3
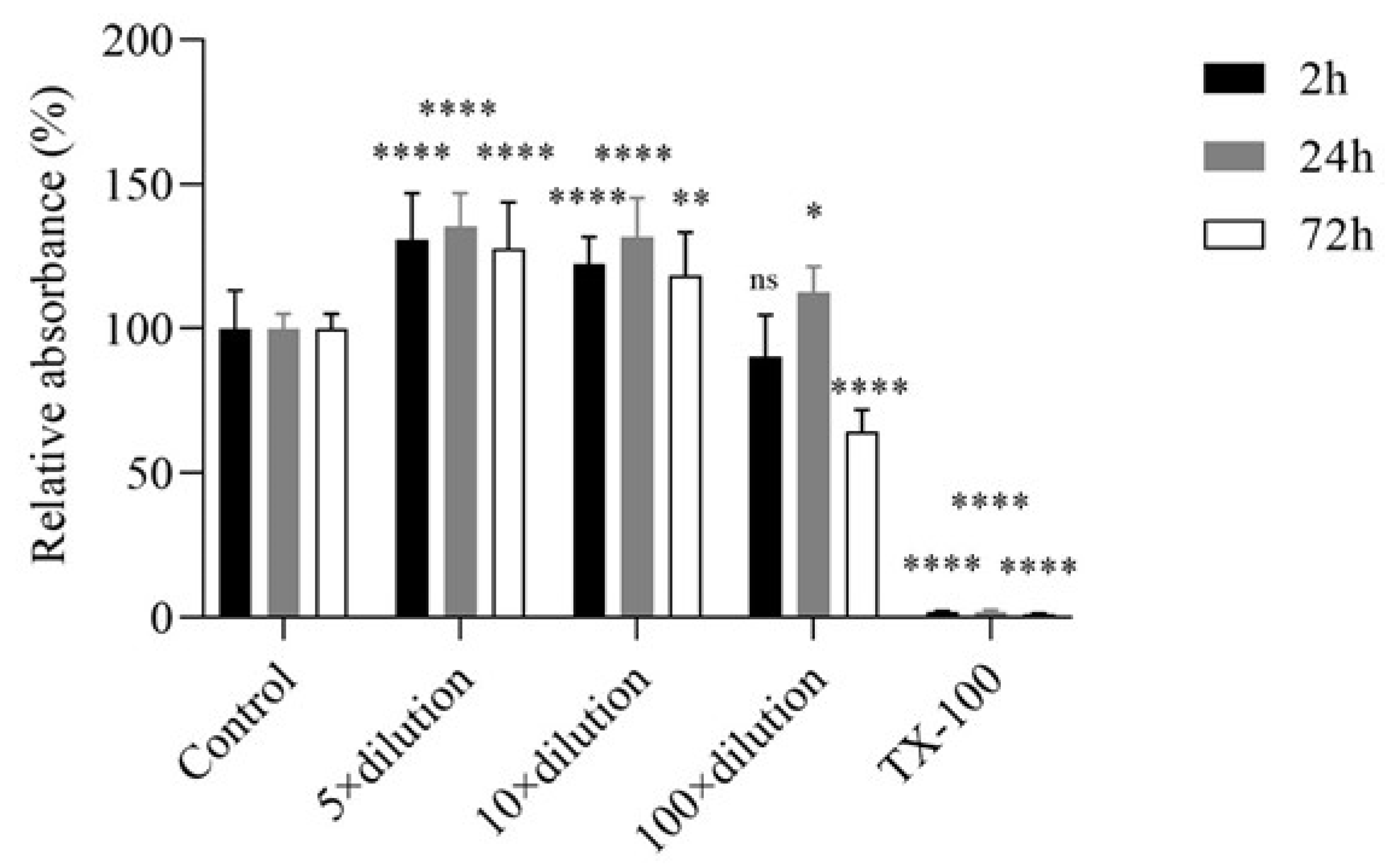
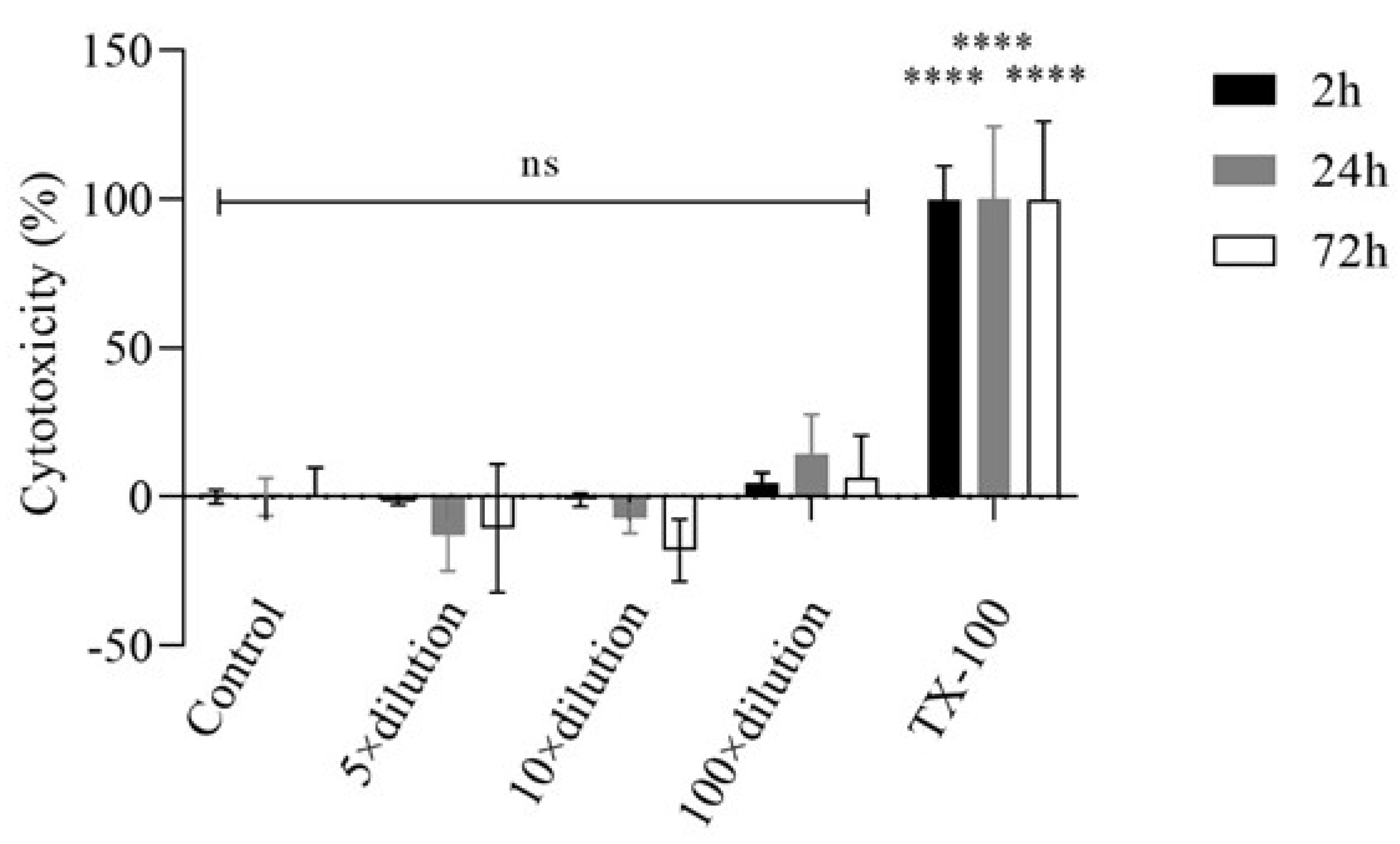
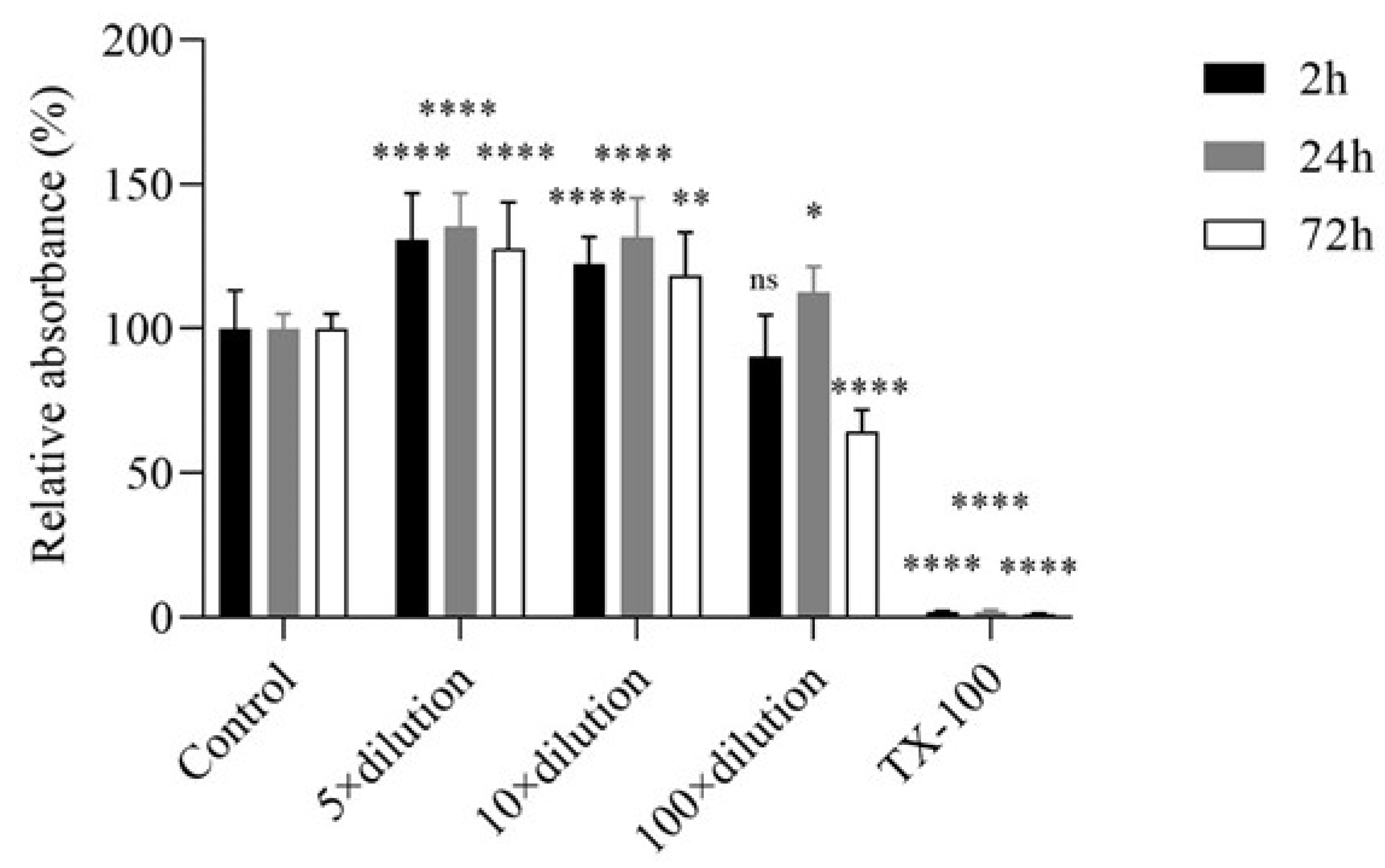
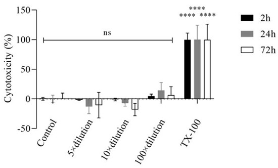
2.1.2. Biocompatibility Tests on HaCaT Cells
2.1.3. Real-Time Cell Analysis (RTCA)
2.1.4. Biocompatibility Tests on Reconstructed Human Vaginal Epithelium
2.1.5. Permeability of E3 Through the Reconstructed Human Vaginal Epithelium
2.2. Discussion
3. Conclusions
4. Materials and Methods
4.1. Materials
4.2. Methods
4.2.1. The Methods of In Vitro Release and Membrane Permeation of E3
4.2.2. Cell Culture
4.2.3. The Methods of Biocompatibility Tests on HaCaT Cells
MTT Assay
Lactate Dehydrogenase (LDH) Assay
Real-Time Cell Analysis (RTCA)
Biocompatibility Tests on Reconstructed Human Vaginal Epithelium
4.2.4. Permeability Test of E3 Through the Reconstructed Human Vaginal Epithelium
4.2.5. LC-MS Method
Sample Preparation
4.2.6. Statistical Analysis
Supplementary Materials
Author Contributions
Funding
Institutional Review Board Statement
Informed Consent Statement
Data Availability Statement
Conflicts of Interest
References
- The NAMS 2020 GSM Position Statement Editorial Panel. The 2020 genitourinary syndrome of menopause position statement of The North American Menopause Society. Menopause 2020, 27, 976–992. [Google Scholar] [CrossRef]
- Bachmann, G.A.; Nevadunsky, N.S. Diagnosis and Treatment of Atrophic Vaginitis. Am. Fam. Physician 2000, 61, 3090–3096. [Google Scholar]
- Kingsberg, S.A.; Krychman, M.; Graham, S.; Bernick, B.; Mirkin, S. The Women’s EMPOWER Survey: Identifying Women’s Perceptions on Vulvar and Vaginal Atrophy and Its Treatment. J. Sex. Med. 2017, 14, 413–424. [Google Scholar] [CrossRef]
- Kingsberg, S.A.; Wysocki, S.; Magnus, L.; Krychman, M.L. Vulvar and vaginal atrophy in postmenopausal women: Findings from the REVIVE (REal Women’s VIews of Treatment Options for Menopausal Vaginal ChangEs) survey. J. Sex. Med. 2013, 10, 1790–1799. [Google Scholar] [CrossRef]
- Nappi, R.E.; Palacios, S.; Bruyniks, N.; Particco, M.; Panay, N. The burden of vulvovaginal atrophy on women’s daily living: Implications on quality of life from a face-to-face real-life survey. Menopause 2019, 26, 485–491. [Google Scholar] [CrossRef] [PubMed]
- ACOG Practice Bulletin No. 141: Management of menopausal symptoms. Obstet. Gynecol. 2014, 123, 202–216. [CrossRef] [PubMed]
- Faubion, S.S.; Crandall, C.J.; Davis, L.; El Khoudary, S.R.; Hodis, H.N.; Lobo, R.A.; Maki, P.M.; Manson, J.E.; Pinkerton, J.V.; Santoro, N.F.; et al. The 2022 hormone therapy position statement of The North American Menopause Society. Menopause 2022, 29, 767–794. [Google Scholar]
- Donders, G.; Neven, P.; Moegele, M.; Lintermans, A.; Bellen, G.; Prasauskas, V.; Grob, P.; Ortmann, O.; Buchholz, S. Ultra-low-dose estriol and Lactobacillus acidophilus vaginal tablets (Gynoflor(®)) for vaginal atrophy in postmenopausal breast cancer patients on aromatase inhibitors: Pharmacokinetic, safety, and efficacy phase I clinical study. Breast Cancer Res. Treat. 2014, 145, 371–379. [Google Scholar] [CrossRef]
- Kolokythas, A.; Betschart, C.; Wunder, D.; Janka, H.; Stute, P. Impact of vaginal estriol on serum hormone levels: A systematic review. Climacteric 2024, 27, 137–153. [Google Scholar] [CrossRef]
- Comini, A.C.M.; Carvalho, B.M.; Moreira, M.J.B.; Reis, P.C.A.; Colapietro, L.; Northern, J.; Batalini, F. Safety and Serum Estradiol Levels in Hormonal Treatments for Vulvovaginal Atrophy in Breast Cancer Survivors: A Systematic Review and Meta-Analysis. Clin. Breast Cancer 2023, 23, 835–846. [Google Scholar] [CrossRef]
- Donders, G.G.G.; Ruban, K.; Bellen, G.; Grinceviciene, S. Pharmacotherapy for the treatment of vaginal atrophy. Expert Opin. Pharmacother. 2019, 20, 821–835. [Google Scholar] [CrossRef] [PubMed]
- Rueda, C.; Osorio, A.M.; Avellaneda, A.C.; Pinzón, C.E.; Restrepo, O.I. The efficacy and safety of estriol to treat vulvovaginal atrophy in postmenopausal women: A systematic literature review. Climacteric 2017, 20, 321–330. [Google Scholar] [CrossRef]
- Rüther, L.; Voss, W. Hydrogel or ointment? Comparison of five different galenics regarding tissue breathability and transepidermal water loss. Heliyon 2021, 7, e06071. [Google Scholar] [CrossRef]
- Takacs, P.; Kozma, B.; Erdodi, B.; Jakab, A.; Larson, K.; Poka, R. Zinc-containing Vaginal Moisturizer Gel Improves Postmenopausal Vulvovaginal Symptoms: A Pilot Study. J. Menopausal Med. 2019, 25, 63–68. [Google Scholar] [CrossRef] [PubMed]
- Jabbari, E. Hydrogels for Cell Delivery. Gels 2018, 4, 58. [Google Scholar] [CrossRef]
- Hamidi, M.; Azadi, A.; Rafiei, P. Hydrogel nanoparticles in drug delivery. Adv. Drug Deliv. Rev. 2008, 60, 1638–1649. [Google Scholar] [CrossRef] [PubMed]
- Afloarea, O.; Cheaburu Yilmaz, C.N.; Verestiuc, L.; Bibire, N. Development of Vaginal Carriers Based on Chitosan-Grafted-PNIPAAm for Progesterone Administration. Gels 2022, 8, 596. [Google Scholar] [CrossRef]
- Surowiecka, A.; Strużyna, J.; Winiarska, A.; Korzeniowski, T. Hydrogels in Burn Wound Management—A Review. Gels 2022, 8, 122. [Google Scholar] [CrossRef] [PubMed]
- Radeva, L.; Yordanov, Y.; Spassova, I.; Kovacheva, D.; Tibi, I.P.; Zaharieva, M.M.; Kaleva, M.; Najdenski, H.; Petrov., P.D.; Tzankova, V.; et al. Incorporation of Resveratrol-Hydroxypropyl-β-Cyclodextrin Complexes into Hydrogel Formulation for Wound Treatment. Gels 2024, 10, 346. [Google Scholar] [CrossRef]
- Dezzutti, C.S.; Brown, E.R.; Moncla, B.; Russo, J.; Cost, M.; Wang, L.; Uranker, K.; Na Ayudhya, R.P.K.; Pryke, K.; Pickett, J.; et al. Is Wetter Better? An Evaluation of Over-the-Counter Personal Lubricants for Safety and Anti-HIV-1 Activity. PLoS ONE 2012, 7, e48328. [Google Scholar] [CrossRef]
- Gould, S.; Scott, R.C. 2-Hydroxypropyl-β-cyclodextrin (HP-β-CD): A toxicology review. Food Chem. Toxicol. 2005, 43, 1451–1459. [Google Scholar] [CrossRef]
- Davis, M.E.; Brewster, M.E. Cyclodextrin-based pharmaceutics: Past, present and future. Nat. Rev. Drug Discov. 2004, 3, 1023–1035. [Google Scholar] [CrossRef] [PubMed]
- Kali, G.; Haddadzadegan, S.; Bernkop-Schnürch, A. Cyclodextrins and derivatives in drug delivery: New developments, relevant clinical trials, and advanced products. Carbohydr. Polym. 2024, 324, 121500. [Google Scholar] [CrossRef] [PubMed]
- Malanga, M.; Szemán, J.; Fenyvesi, É.; Puskás, I.; Csabai, K.; Gyémánt, G.; Fenyvesi, F.; Szente, L. “Back to the Future”: A New Look at Hydroxypropyl Beta-Cyclodextrins. J. Pharm. Sci. 2016, 105, 2921–2931. [Google Scholar] [CrossRef]
- Puskás, I.; Szente, L.; Szőcs, L.; Fenyvesi, É. Recent List of Cyclodextrin-Containing Drug Products. Period. Polytech. Chem. Eng. 2023, 67, 11–17. [Google Scholar] [CrossRef]
- Fenyvesi, F.; Váradi, J.; Fehér, P.; Bácskay, I.; Vecsernyés, M.; Sipos, A.; Takacs, P. Biocompatibility and zinc release testing of a zinc-containing vaginal gel. Menopause 2020, 27, 143. [Google Scholar] [CrossRef]
- Araj, S.K.; Szeleszczuk, Ł. A Review on Cyclodextrins/Estrogens Inclusion Complexes. Int. J. Mol. Sci. 2023, 24, 8780. [Google Scholar] [CrossRef] [PubMed]
- Cox, S.; Nasseri, R.; Rubin, R.S.; Santiago-Lastra, Y. Genitourinary Syndrome of Menopause. Med. Clin. N. Am. 2023, 107, 357–369. [Google Scholar] [CrossRef] [PubMed]
- Nappi, R.E.; Tiranini, L.; Martini, E.; Bosoni, D.; Cassani, C.; Cucinella, L. Different local estrogen therapies for a tailored approach to GSM. Climacteric 2023, 26, 361–366. [Google Scholar] [CrossRef] [PubMed]
- dos Santos, A.M.; Carvalho, S.G.; Araujo, V.H.S.; Carvalho, G.C.; Gremião, M.P.D.; Chorilli, M. Recent advances in hydrogels as strategy for drug delivery intended to vaginal infections. Int. J. Pharm. 2020, 590, 119867. [Google Scholar] [CrossRef] [PubMed]
- Crean-Tate, K.K.; Faubion, S.S.; Pederson, H.J.; Vencill, J.A.; Batur, P. Management of genitourinary syndrome of menopause in female cancer patients: A focus on vaginal hormonal therapy. Am. J. Obstet. Gynecol. 2020, 222, 103–113. [Google Scholar] [CrossRef] [PubMed]
- Park, J.; Kim, S.; Kim, T. Polyethylenimine-Conjugated Hydroxyethyl Cellulose for Doxorubicin/Bcl-2 siRNA Co-Delivery Systems. Pharmaceutics 2023, 15, 708. [Google Scholar] [CrossRef] [PubMed]
- Summary of Product Characteristics [Internet]; 2022 [Updated August]. Available online: https://www.hpra.ie/img/uploaded/swedocuments/Licence_PA2102-001-001_09082022145537.pdf (accessed on 17 September 2024).
- Hoeppner, C.G.; Cigna, S.T.; Perkins, J.; Gaba, N.D. Sexual Health. Clin. Geriatr. Med. 2021, 37, 553–577. [Google Scholar] [CrossRef] [PubMed]
- Jedinger, N.; Khinast, J.; Roblegg, E. The design of controlled-release formulations resistant to alcohol-induced dose dumping—A review. Eur. J. Pharm. Biopharm. 2014, 87, 217–226. [Google Scholar] [CrossRef]
- Livne, S.; Simantov, S.; Rahmanov, A.; Jeffet, U.; Sterer, N. Hydroxyethyl Cellulose Promotes the Mucin Retention of Herbal Extracts Active against Streptococcus mutans. Materials 2022, 15, 4652. [Google Scholar] [CrossRef] [PubMed]
- Cothrell, A.; Cao, K.; Bonasera, R.; Tenorio, A.; Orugunty, R.; Smith, L. Intravaginal Gel for Sustained Delivery of Occidiofungin and Long-Lasting Antifungal Effects. Gels 2023, 9, 787. [Google Scholar] [CrossRef] [PubMed]
- ISO 10993-5:2009; Biological Evaluation of Medical Devices-Part 5: Tests for In Vitro Cytotoxicity. International Organization for Standardization: Geneva, Switzerland, 2009.
- Stirone, C.; Duckles, S.P.; Krause, D.N.; Procaccio, V. Estrogen increases mitochondrial efficiency and reduces oxidative stress in cerebral blood vessels. Mol. Pharmacol. 2005, 68, 959–965. [Google Scholar] [CrossRef] [PubMed]
- Velarde, M.C. Pleiotropic actions of estrogen: A mitochondrial matter. Physiol Genom. 2013, 45, 106–109. [Google Scholar] [CrossRef]
- Tenenbaum, M.; Azab, A.N.; Kaplanski, J. Effects of estrogen against LPS-induced inflammation and toxicity in primary rat glial and neuronal cultures. J. Endotoxin Res. 2007, 13, 158–166. [Google Scholar] [CrossRef]
- Takehisa, T. Lactate dehydrogenase in human cervical mucus: Correlation with ovulation, influence of ovarian steroid hormones, and isozyme pattern. Fertil. Steril. 1980, 33, 135–140. [Google Scholar] [CrossRef]
- Mirebeau-Prunier, D.; Le Pennec, S.; Jacques, C.; Fontaine, J.-F.; Gueguen, N.; Boutet-Bouzamondo, N.; Donnart, A.; Malthièry, Y.; Savagner, F. Estrogen-related receptor alpha modulates lactate dehydrogenase activity in thyroid tumors. PLoS ONE 2013, 8, e58683. [Google Scholar] [CrossRef] [PubMed]
- Dócs, K.; Mészár, Z.; Gonda, S.; Kiss-Szikszai, A.; Holló, K.; Antal, M.; Hegyi, Z. The Ratio of 2-AG to Its Isomer 1-AG as an Intrinsic Fine Tuning Mechanism of CB1 Receptor Activation. Front. Cell Neurosci. 2017, 11, 39. [Google Scholar] [CrossRef] [PubMed]






| TEER Value (Ωcm2) | |
|---|---|
| E3-HPBCD solution (n = 3) | 46.5 ± 3.46 |
| TX-100 (n = 3) | 32.5 ± 1 |
| Control (n = 3) | 44.33 ± 4.01 |
Disclaimer/Publisher’s Note: The statements, opinions and data contained in all publications are solely those of the individual author(s) and contributor(s) and not of MDPI and/or the editor(s). MDPI and/or the editor(s) disclaim responsibility for any injury to people or property resulting from any ideas, methods, instructions or products referred to in the content. |
© 2024 by the authors. Licensee MDPI, Basel, Switzerland. This article is an open access article distributed under the terms and conditions of the Creative Commons Attribution (CC BY) license (https://creativecommons.org/licenses/by/4.0/).
Share and Cite
Takacs, P.; Kozma, B.; Rátonyi, D.; Kozma, B.; Attila, K.-S.; Fenyvesi, F.; Sipos, A.G. Development and Bioavailability Assessment of an Estriol-Containing Vaginal Hydrogel. Gels 2024, 10, 823. https://doi.org/10.3390/gels10120823
Takacs P, Kozma B, Rátonyi D, Kozma B, Attila K-S, Fenyvesi F, Sipos AG. Development and Bioavailability Assessment of an Estriol-Containing Vaginal Hydrogel. Gels. 2024; 10(12):823. https://doi.org/10.3390/gels10120823
Chicago/Turabian StyleTakacs, Peter, Barbara Kozma, Dávid Rátonyi, Bence Kozma, Kiss-Szikszai Attila, Ferenc Fenyvesi, and Attila G. Sipos. 2024. "Development and Bioavailability Assessment of an Estriol-Containing Vaginal Hydrogel" Gels 10, no. 12: 823. https://doi.org/10.3390/gels10120823
APA StyleTakacs, P., Kozma, B., Rátonyi, D., Kozma, B., Attila, K.-S., Fenyvesi, F., & Sipos, A. G. (2024). Development and Bioavailability Assessment of an Estriol-Containing Vaginal Hydrogel. Gels, 10(12), 823. https://doi.org/10.3390/gels10120823

