Characterization of Alternaria and Colletotrichum Species Associated with Pomegranate (Punica granatum L.) in Maharashtra State of India
Abstract
1. Introduction
2. Materials and Methods
2.1. Sample Collection and Fungus Isolation
2.2. Morphological Characterization
2.3. Molecular Characterization
2.4. Phylogenetic Analysis
2.5. Pathogenicity tests
3. Results and Discussion
3.1. Symptoms and Disease Incidence
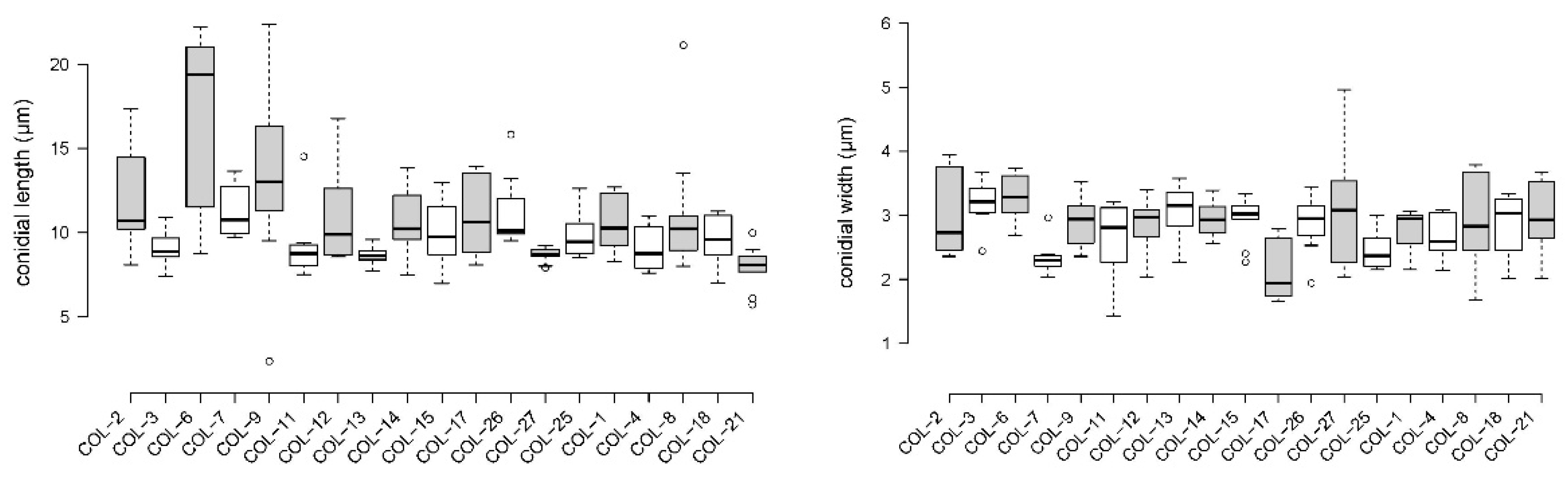
3.2. Morphological Characterization of Isolates
3.3. Molecular Characterization
3.4. Phylogenetic Analyses
3.5. Pathogenicity Tests
4. Conclusions
Supplementary Materials
Author Contributions
Funding
Informed Consent Statement
Data Availability Statement
Acknowledgments
Conflicts of Interest
References
- Pangallo, S.; Li Destri Nicosia, M.G.; Agosteo, G.E.; Abdelfattah, A.; Romeo, F.V.; Cacciola, S.O.; Rapisarda, P.; Schena, L. Evaluation of a pomegranate peel extract as an alternative means to control olive anthracnose. Phytopathology 2017, 107, 1462–1467. [Google Scholar] [CrossRef] [PubMed]
- Belgacem, I.; Pangallo, S.; Abdelfattah, A.; Romeo, F.V.; Cacciola, S.O.; Li Destri Nicosia, M.G.; Ballistreri, G.; Schena, L. Transcriptomic analysis of orange fruit treated with pomegranate peel extract (PGE). Plants 2019, 8, 101. [Google Scholar] [CrossRef] [PubMed]
- Lacivita, V.; Incoronato, A.L.; Conte, A.; Del Nobile, M.A. Pomegranate Peel Powder as a Food Preservative in Fruit Salad: A Sustainable Approach. Foods 2021, 10, 1359. [Google Scholar] [CrossRef] [PubMed]
- Press Information Bureau, Government of India, Ministry of Agriculture & Farmers Welfare. Area Production 2020–2021. Available online: https://static.pib.gov.in/WriteReadData/specificdocs/documents/2021/oct/doc2021102951.pdf (accessed on 13 June 2022).
- APEDA. Available online: https://agricoop.nic.in/sites/default/files/202122%20%28First%20Advance%20Estimates%29%20%281%29_0.pdf (accessed on 13 June 2022).
- Munhuweyi, K.; Lennox, C.L.; Meitz-Hopkins, J.C.; Caleb, O.J.; Opara, U.L. Major diseases of pomegranate (Punica granatum L.), their causes and management—A review. Sci. Hortic. 2016, 211, 126–139. [Google Scholar] [CrossRef]
- Sharma, J.; Manjunath, G.; Xavier, K.V.; Vallad, G.E. Diseases and Management. In the Pomegranate: Botany, Production and Uses; Sarkhosh, A., Yavari, A., Zamani, Z., Eds.; CABI Publishing: Wallingford, UK, 2021; pp. 357–359. [Google Scholar]
- Jayalakshmi, K.; Nargund, V.B.; Raju, J.; Benagi, V.I.; Raghu, S.; Giri, M.S.; Basamma, R.B.; Priti, S.; Rajput, R.B. Pomegranate anthracnose caused by Colletotrichum gloeosporioides: A menace in quality fruit production. J. Pure Appl. Microbiol. 2015, 9, 3093–3097. [Google Scholar]
- Sharma, J.; Sharma, K.K.; Jadhav, V.T. Diseases of Pomegranate. In Diseases of Fruit Crops; Misra, A.K., Chowdappa, P., Sharma, P., Khetrapal, R.K., Eds.; Indian Phytopathological Society: New Delhi, India, 2012; Volume 343, pp. 181–224, ISBN1:81-7019-474-1; ISBN2:1-55528-331-4. [Google Scholar]
- Iacomi-Vasilescu, B.; Avenot, H.; Bataille-Simoneau, N.; Laurent, E.; Guénard, M.; Simoneau, P. In vitro fungicide sensitivity of Alternaria species pathogenic to crucifers and identification of Alternaria brassicicola field isolates highly resistant to both dicarboximides and phenylpyrroles. Crop Prot. 2004, 23, 481–488. [Google Scholar] [CrossRef]
- Budde-Rodriguez, S.; Pasche, J.S.; Mallik, I.; Gudmestad, N.C. Sensitivity of Alternaria spp. from potato to pyrimethanil, cyprodinil, and fludioxonil. Crop Prot. 2022, 152, 105855. [Google Scholar] [CrossRef]
- Peres, N.A.R.; Souza, N.L.; Peever, T.L.; Timmer, L.W. Benomyl sensitivity of isolates of Colletotrichum acutatum and C. gloeosporioides from citrus. Plant Dis. 2004, 88, 125–130. [Google Scholar] [CrossRef]
- Freeman, S.; Katan, T.; Shabi, E. Characterization of Colletotrichum species responsible for anthracnose diseases of various fruits. Plant Dis. 1998, 82, 596–605. [Google Scholar] [CrossRef]
- Cacciola, S.O.; Gilardi, G.; Faedda, R.; Schena, L.; Pane, A.; Garibaldi, A.; Gullino, M.L. Characterization of Colletotrichum ocimi population associated with black spot of sweet basil (Ocimum basilicum) in Northern Italy. Plants 2020, 9, 654. [Google Scholar] [CrossRef]
- Moral, J.; Agustí-Brisach, C.; Raya, M.C.; Jurado-Bello, J.; López-Moral, A.; Roca, L.F.; Chattaoui, M.; Rhouma, A.; Nigro, F.; Sergeeva, V.; et al. Diversity of Colletotrichum species associated with olive anthracnose worldwide. J. Fungi 2021, 7, 741. [Google Scholar] [CrossRef] [PubMed]
- Cai, L.; Hyde, K.D.; Taylor, P.W.J.; Weir, B.; Waller, J.; Abang, M.M.; Zhang, J.Z.; Yang, Y.L.; Phoulivong, S.; Liu, Z.Y.; et al. A polyphasic approach for studying Colletotrichum. Fungal Divers. 2009, 39, 183–204. [Google Scholar]
- Peres, N.A.R.; Souza, N.L.; Zitko, S.E.; Timmer, L.W. Activity of benomyl for control of postbloom fruit drop of citrus caused by Colletotrichum acutatum. Plant Dis. 2002, 86, 620–624. [Google Scholar] [CrossRef] [PubMed]
- Chethana, K.W.; Manawasinghe, I.S.; Hurdeal, V.G.; Bhunjun, C.S.; Appadoo, M.A.; Gentekaki, E.; Raspé, O.; Promputtha, I.; Hyde, K.D. What are fungal species and how to delineate them? Fungal Divers. 2021, 109, 1–25. [Google Scholar] [CrossRef]
- Schoch, C.L.; Seifert, K.A.; Huhndorf, S.; Robert, V.; Spouge, J.L.; Levesque, C.A.; Chen, W. Fungal Barcoding Consortium, Fungal Barcoding Consortium Author List, Bolchacova, E. and Voigt, K.,. Nuclear ribosomal internal transcribed spacer (ITS) region as a universal DNA barcode marker for Fungi. Proc. Natl. Acad. Sci. USA 2012, 109, 6241–6246. [Google Scholar] [CrossRef]
- Lücking, R.; Aime, M.C.; Robbertse, B. Unambiguous identification of fungi: Where do we stand and how accurate and precise is fungal DNA barcoding? IMA Fungus 2020, 11, 14. [Google Scholar] [CrossRef]
- Khodadadi, F.; González, J.B.; Martin, P.L.; Giroux, E.; Bilodeau, G.J.; Peter, K.A.; Doyle, V.P.; Aćimović, S.G. Identification and characterization of Colletotrichum species causing apple bitter rot in New York and description of C. noveboracense sp. nov. Sci. Rep. 2020, 10, 11043. [Google Scholar] [CrossRef]
- Aloi, F.; Riolo, M.; Sanzani, S.M.; Mincuzzi, A.; Ippolito, A.; Siciliano, I.; Pane, A.; Gullino, M.L.; Cacciola, S.O. Characterization of Alternaria species associated with heart rot of pomegranate fruit. J. Fungi 2021, 7, 172. [Google Scholar] [CrossRef]
- Saleem, A.; El-Shahir, A.A. Morphological and molecular characterization of some Alternaria species isolated from tomato fruits concerning mycotoxin production and polyketide synthase genes. Plants 2022, 11, 1168. [Google Scholar] [CrossRef]
- Michailides, T.; Morgan, D.; Quist, M.; Reyes, H. Infection of pomegranate by Alternaria spp. causing black heart. Phytopathology 2008, 98, S105. [Google Scholar]
- Ezra, D.; Kirshner, B.; Hershcovich, M.; Shtienberg, D.; Kosto, I. Heart rot of pomegranate: Disease etiology and the events leading to development of symptoms. Plant Dis. 2015, 99, 496–501. [Google Scholar] [CrossRef] [PubMed]
- Luo, Y.; Hou, L.; Förster, H.; Pryor, B.; Adaskaveg, J.E. Identification of Alternaria species causing heart rot of pomegranates in California. Plant Dis. 2017, 101, 421–427. [Google Scholar] [CrossRef] [PubMed]
- Xavier, K.V.; Kc, A.N.; Peres, N.A.; Deng, Z.; Castle, W.; Lovett, W.; Vallad, G.E. Characterization of Colletotrichum species causing anthracnose of pomegranate in the Southeastern United States. Plant Dis. 2019, 103, 2771–2780. [Google Scholar] [CrossRef] [PubMed]
- Cara, M.; Toska, M.; Frasheri, D.; Baroncelli, R.; Sanzani, S.M. Alternaria species causing pomegranate and citrus fruit rots in Albania. J. Plant Dis. Prot. 2022, 129, 1095–1104. [Google Scholar] [CrossRef]
- Singh, V. Alternaria diseases of vegetable crops and its management control to reduce the low production. Int. J. Agric. Sci. 2015, 7, 834–840. [Google Scholar]
- Maheshwari, S.K.; Haldhar, S.M. Disease Management in Arid Horticultural Crops; CIAH/Tech./Pub. No. 68; ICAR-Central Institute for Arid Horticulture: Bikaner, India, 2018; Volume 42. [Google Scholar]
- Troncoso-Rojas, R.; Tiznado-Hernández, M.E. Alternaria alternata (black rot, black spot). In Postharvest Decay; Academic Press: Cambridge, MA, USA, 2014; pp. 147–187. [Google Scholar]
- Lakshmi, B.K.M.; Reddy, P.N.; Prasad, R.D. Cross-infection potential of Colletotrichum gloeosporioides Penz. isolates causing anthracnose in subtropical fruit crops. Trop. Agric. Res. 2011, 22, 183–193. [Google Scholar] [CrossRef]
- Eaton, M.J.; Edwards, S.; Inocencio, H.A.; Machado, F.J.; Nuckles, E.M.; Farman, M.; Gauthier, N.A.; Vaillancourt, L.J. Diversity and cross-infection potential of Colletotrichum causing fruit rots in mixed-fruit orchards in Kentucky. Plant Dis. 2021, 105, 1115–1128. [Google Scholar] [CrossRef]
- Madhukar, J.; Reddy, S.M. Some new leaf spot diseases of pomegranate. Indian J. Mycol. Plant Pathol. 1988, 18, 171–172. [Google Scholar]
- Singh, R.S.; Chohan, J.S. A new fruit-rot disease of pomegranate. Curr. Sci. 1972, 41, 651. [Google Scholar]
- Sataraddi, A.R.; Prashanth, A.; Virupaksha Prabhu, H.; Jamadar, M.M.; Aski, S. Role of bio-agents and botanicals in the management of anthracnose of pomegranate. Acta Hortic. 2011, 890, 539–544. [Google Scholar] [CrossRef]
- Pryor, B.M.; Michailides, T.J. Morphological, pathogenic, and molecular characterization of Alternaria isolates associated with Alternaria late blight of pistachio. Phytopathology 2002, 92, 406–416. [Google Scholar] [CrossRef] [PubMed]
- Doyle, J.J.; Doyle, J.L. A rapid DNA isolation procedure for small quantities of fresh leaf tissue. Phytochem. Bull. 1987, 19, 11–15. [Google Scholar]
- White, T.J.; Bruns, T.D.; Lee, S.; Taylor, J. Amplification and direct sequencing of fungal ribosomal RNA genes for phylogenetics. In PCR Protocols, a Guide to Methods and Applications; Innis, M.A., Gelfand, D.H., Sninsky, J.J., White, T.J., Eds.; Academic Press: San Diego, CA, USA, 1990; pp. 315–322. [Google Scholar] [CrossRef]
- Vilgalys, R.; Hester, M. Rapid genetic identification and mapping of enzymatically amplified ribosomal DNA from several Cryptococcus species. J. Bacteriol. 1990, 172, 4238–4246. [Google Scholar] [CrossRef] [PubMed]
- Rehner, S.A.; Buckley, E. Cryptic diversification in Beauveria bassiana inferred from nuclear its and ef1-alpha phylogenies. Mycologia 2005, 97, 84–98. [Google Scholar] [CrossRef] [PubMed]
- Johnston, P.R.; Jones, D. Relationships among Colletotrichum isolates from fruit-rots assessed using rDNA sequences. Mycologia 1997, 89, 420–430. [Google Scholar] [CrossRef]
- Peres, N.A.; MacKenzie, S.J.; Peever, T.L.; Timmer, L.W. Postbloom fruit drop of citrus and key lime anthracnose are caused by distinct phylogenetic lineages of Colletotrichum acutatum. Phytopathology 2008, 98, 345–352. [Google Scholar] [CrossRef]
- Tamura, K.; Stecher, G.; Kumar, S. MEGA11: Molecular evolutionary genetics analysis version 11. Mol. Biol. Evol. 2021, 38, 3022–3027. [Google Scholar] [CrossRef]
- Sandoval-Contreras, T.; Betancourt-Rodríguez, J.; Garrido-Sánchez, L.; Ragazzo-Sánchez, J.A.; Iñiguez-Moreno, M.; Calderón-Santoyo, M. Effect of temperature on mycelial growth of Alternaria alternata and Colletotrichum gloeosporioides isolated from papaya fruit. Arch. Phytopathol. Plant Prot. 2021, 54, 1970–1988. [Google Scholar] [CrossRef]
- Timmer, L.W.; Peever, T.L.; Solel, Z.; Akimitsu, K. Alternaria diseases of citrus-novel pathosystems. Phytopathol. Mediterr. 2003, 42, 99–112. [Google Scholar]
- Riolo, M.; Aloi, F.; Pane, A.; Cara, M.; Cacciola, S.O. Twig and shoot dieback of citrus, a new disease caused by Colletotrichum species. Cells 2021, 10, 449. [Google Scholar] [CrossRef]
- Wang, F.; Yang, S.; Wang, Y.; Zhang, B.; Zhang, F.; Xue, H.; Jiang, Q.; Ma, Y. Overexpression of Chitinase gene enhances resistance to Colletotrichum gloeosporioides and Alternaria alternata in apple (Malus× domestica). Sci. Hortic. 2021, 277, 109779. [Google Scholar] [CrossRef]
- Thomidis, T. Fruit rots of pomegranate (cv. Wonderful) in Greece. Australas. Plant Pathol. 2014, 43, 583–588. [Google Scholar] [CrossRef]
- Uysal, A.; Kurt, Ş. Colletotrichum gloeosporiodes causing anthracnose on pomegranate in Turkey. Australas. Plant Dis. Notes 2018, 13, 19. [Google Scholar] [CrossRef]
- Gautam, A.K. Colletotrichum gloeosporioides: Biology, pathogenicity and management in India. J. Plant Physiol. Pathol. 2014, 2, 2–11. [Google Scholar] [CrossRef]
- Abkhoo, J.; Sabbagh, S.K. Evidence of Alternaria alternata causing leaf spot of Aloe vera in Iran. J. Phytopathol. 2014, 162, 516–518. [Google Scholar] [CrossRef]
- Chen, Y.J.; Meng, Q.; Zeng, L.; Tong, H.R. Phylogenetic and morphological characteristics of Alternaria alternata causing leaf spot disease on Camellia sinensis in China. Australas. Plant Pathol. 2018, 47, 335–342. [Google Scholar] [CrossRef]
- Simmons, E.G. Alternaria themes and variations (226-235): Classification of citrus pathogens. Mycotaxon 1999, 70, 263–323. [Google Scholar]
- Raja, H.A.; Miller, A.N.; Pearce, C.J.; Oberlies, N.H. Fungal identification using molecular tools: A primer for the natural products research community. J. Nat. Prod. 2017, 80, 756–770. [Google Scholar] [CrossRef]
- Woudenberg, J.H.C.; Seidl, M.F.J.; Groenewald, Z.; De Vries, M.; Stielow, J.B.; Thomma, B.P.H.J.; Crous, P.W. Alternaria section Alternaria: Species, formae speciales or pathotypes? Stud. Mycol. 2015, 82, 1–21. [Google Scholar]
- Ozkilinc, H.; Sevinc, U. Molecular phylogenetic species in Alternaria pathogens infecting pistachio and wild relatives. 3 Biotech 2018, 8, 1–7. [Google Scholar] [CrossRef]
- Andrew, M.; Peever, T.L.; Pryor, B.M. An expanded multilocus phylogeny does not resolve morphological species within the small-spored Alternaria species complex. Mycologia 2009, 101, 95–109. [Google Scholar] [CrossRef] [PubMed]
- Armitage, A.D.; Barbara, D.J.; Harrison, R.J.; Lane, C.R.; Sreenivasaprasad, S.; Woodhall, J.W.; Clarkson, J.P. Discrete lineages within Alternaria alternata species group: Identification using new highly variable loci and support from morphological characters. Fungal Biol. 2015, 119, 994–1006. [Google Scholar] [CrossRef] [PubMed]
- Gat, T.; Liarzi, O.; Skovorodnikova, Y.; Ezra, D. Characterization of Alternaria alternata causing black spot disease of pomegranate in Israel using a molecular marker. Plant Dis. 2012, 96, 1513–1518. [Google Scholar] [CrossRef] [PubMed]
- Mincuzzi, A.; Sanzani, S.M.; Palou, L.; Ragni, M.; Ippolito, A. Postharvest rot of pomegranate fruit in southern Italy: Characterization of the main pathogens. J. Fungi 2022, 8, 475. [Google Scholar] [CrossRef] [PubMed]
- Jayawardena, R.S.; Hyde, K.D.; Chen, Y.J.; Papp, V.; Palla, B.; Papp, D.; Bhunjun, C.S.; Hurdeal, V.G.; Senwanna, C.; Manawasinghe, I.S.; et al. One stop shop IV: Taxonomic update with molecular phylogeny for important phytopathogenic genera: 76–100 (2020). Fungal Divers. 2020, 103, 87–218. [Google Scholar] [CrossRef]
- Cannon, P.F.; Damm, U.; Johnston, P.R.; Weir, B.S. Colletotrichum–current status and future directions. Stud. Mycol. 2007, 59, 129–145. [Google Scholar] [CrossRef]
- Weir, B.S.; Johnston, P.R.; Damm, U. The Colletotrichum gloeosporioides species complex. Stud. Mycol. 2012, 73, 115–180. [Google Scholar] [CrossRef]
- Marin-Felix, Y.; Groenewald, J.Z.; Cai, L.; Chen, Q.; Marincowitz, S.; Barnes, I.; Bensch, K.; Braun, U.; Camporesi, E.; Damm, U.; et al. Genera of phytopathogenic fungi: GOPHY 1. Stud. Mycol. 2017, 86, 99–216. [Google Scholar] [CrossRef]
- Damm, U.; Sato, T.; Alizadeh, A.; Groenewald, J.Z.; Crous, P.W. The Colletotrichum dracaenophilum, C. magnum and C. orchidearum species complexes. Stud. Mycol. 2019, 92, 1–46. [Google Scholar] [CrossRef]
- de Silva, D.D.; Groenewald, J.Z.; Crous, P.W.; Ades, P.K.; Nasruddin, A.; Mongkolporn, O.; Taylor, P.W. Identification, prevalence and pathogenicity of Colletotrichum species causing anthracnose of Capsicum annuum in Asia. IMA Fungus 2019, 10, 1–32. [Google Scholar] [CrossRef]
- Zakaria, L. Diversity of Colletotrichum species associated with anthracnose disease in tropical fruit crops—A review. Agriculture 2021, 11, 297. [Google Scholar] [CrossRef]
- Talhinhas, P.; Sreenivasaprasad, S.; Neves-Martins, J.; Oliveira, H. Molecular and phenotypic analyses reveal association of diverse Colletotrichum acutatum groups and a low level of C. gloeosporioides with olive anthracnose. Appl. Environ. Microb. 2005, 71, 2987–2998. [Google Scholar] [CrossRef] [PubMed]
- Huang, F.; Chen, G.Q.; Hou, X.; Fu, Y.S.; Cai, L.; Hyde, K.D.; Li, H.Y. Colletotrichum species associated with cultivated citrus in China. Fungal Divers. 2013, 61, 61–74. [Google Scholar] [CrossRef]
- Wang, W.; de Silva, D.D.; Moslemi, A.; Edwards, J.; Ades, P.K.; Crous, P.W.; Taylor, P.W.J. Colletotrichum species causing anthracnose of citrus in Australia. J. Fungi 2021, 7, 47. [Google Scholar] [CrossRef]
- Matić, S.; Gilardi, G.; Varveri, M.; Garibaldi, A.; Gullino, M.L. Molecular diversity of Alternaria spp. from leafy vegetable crops, and their sensitivity to azoxystrobin and boscalid. Phytopathol. Mediterr. 2019, 58, 519–533. [Google Scholar] [CrossRef]
- Martin, P.L.; Krawczyk, T.; Pierce, K.; Thomas, C.; Khodadadi, F.; Aćimović, S.G.; Peter, K.A. Fungicide sensitivity of Colletotrichum species causing bitter rot of apple in the mid-Atlantic U.S.A. Plant Dis. 2022, 106, 549–563. [Google Scholar] [CrossRef]








| Region Amplified # | Primer Sequences (5′-3′) | Amplicon Size (bp) | Reference |
|---|---|---|---|
| ITSa, c | ITS 1: TCTGTAGGTGAACCTGCGGG ITS-4: TCCTCCGCTTA TTGATATGC | 615 | [39] |
| LSUa | LROR: ACCCGCTGAACTTAAGC LR5: TCCTGAGGGAAACTTCG | 986 | [40] |
| NSa | NS1: GTAGTCATATGCTTGTCT NS4: CTTCCGTCAATTCCCTTTAAG | 1043 | [39] |
| TEF-αa | EF-F: GCYCCYGGHCAYCGTGAYTTYAT EF-R: ACHGTRCCRATACCACCRATCTTT | 650 | [41] |
| ACTc | ACT512F: ATGTGCAAGGCCGGTTTCGC ACT783R: TACGAGTCCTTCTGGCCCAT | 230 | [42] |
| GAPDHc | GDF1: GCCGTCAACGACCCCTTCATTGA GDR1: GGGTGGAGTCGTACTTGAGCATGT | 250 | [43] |
| Isolate Code | Geographical Location | Accession Numbers of Gene Sequences | |||
|---|---|---|---|---|---|
| ITS | LSU | NS | TEF-α | ||
| Alt-5 | Kanpur, UP | OL662873 | OM073988 | OM108305 | ON971380 |
| Alt-1 | Solapur, MH | OL662874 | OM073989 | - | ON993381 |
| Alt-6 | Aurangabad, MH | OL662875 | OM073990 | OM108306 | ON993382 |
| Alt-7 | Solapur, MH | OL662876 | OM073991 | OM108307 | ON993383 |
| Alt-12 | Nanded, MH | OL662877 | OM073992 | OM108308 | ON993384 |
| Alt-13 | Solapur, MH | OL662878 | OM073993 | OM108309 | ON993385 |
| Alt-JD | Solapur, MH | OL662879 | OM073994 | OM108310 | ON993386 |
| Alt-N | Beed, MH | OL662880 | OM073995 | OM108311 | ON993387 |
| Alt-2 | Solapur, MH | OL662881 | OM073996 | OM108312 | ON993388 |
| Alt-3 | Parbhani, MH | OL662882 | OM073997 | OM108313 | ON993389 |
| Alt-8 | Chhindwara, MP | OL662883 | OM073998 | OM108314 | ON993390 |
| Alt-MP6 | Solapur, MH | OL662884 | OM073999 | OM108315 | ON993391 |
| Isolate Code | Geographical Location | Accession Numbers of Gene Sequences | ||
|---|---|---|---|---|
| ITS | ACT | GAPDH | ||
| Col-1 | Chitradurga, KA | OM638721 | ON971379 | ON971360 |
| Col-2 | Solapur, MH | OM638722 | ON993365 | ON971361 |
| Col-3 | Jalna, MH | OM638723 | ON993366 | ON971374 |
| Col-4 | Jalna, MH | OM638724 | ON993367 | ON971362 |
| Col-6 | Solapur, MH | OM638725 | ON993368 | ON971363 |
| Col-7 | Beed, MH | OM638726 | ON993369 | ON971364 |
| Col-8 | Satara, MH | OM638727 | ON993370 | ON971375 |
| Col-9 | Nandurbar, MH | OM638728 | ON993371 | ON971365 |
| Col-11 | Selam, TN | OM638729 | ON993372 | ON971366 |
| Col-12 | Solapur, MH | OM638730 | ON993373 | ON971376 |
| Col-13 | Jalna, MH | OM638731 | ON993374 | ON971367 |
| Col-14 | Solapur, MH | OM638732 | ON993375 | ON971368 |
| Col-15 | Solapur, MH | OM638733 | ON993376 | ON971377 |
| Col-17 | Solapur, MH | OM638734 | ON993377 | ON971369 |
| Col-18 | Solapur, MH | OM638735 | ON993378 | ON971370 |
| Col-21 | Bagalkot, KA | ON908458 | ON993379 | ON971378 |
| Col-25 | Solapur, MH | ON908459 | - | ON971371 |
| Col-26 | Solapur, MH | OM638736 | - | ON971372 |
| Col-27 | Solapur, MH | ON908460 | ON993380 | ON971373 |
| Isolate Name | Species | Growth Rate (mm/day) a | Isolate Name | Species | Growth Rate (mm/day) a |
|---|---|---|---|---|---|
| Alternaria Isolates | Colletotrichum Isolates | ||||
| Alt-1 | A. alternata | 6.64 ± 0.5 | Col-1 | C. viniferum | 10.86 ± 0.14 |
| Alt-2 | A. burnsii | 6.79 ± 0.07 | Col-2 | C. gloeosporioides | 10.71 ± 0.29 |
| Alt-3 | A. alternata | 5.64 ± 0.07 | Col-3 | C. gloeosporioides | 5.57 ± 0.14 |
| Alt-5 | A. alternata | 5.96 ± 0.39 | Col-4 | C. viniferum | 5.86 ± 0.0 |
| Alt-6 | A. alternata | 6.93 ± 0.5 | Col-6 | C. gloeosporioides | 5.86 ± 0.0 |
| Alt-7 | A. burnsii | 6.71 ± 1.14 | Col-7 | C. gloeosporioides | 10.57 ± 0.0 |
| Alt-8 | A. alternata | 7.07 ± 0.07 | Col-8 | C. tainanense | 11.14 ± 0.0 |
| Alt-12 | A. burnsii | 6.11 ± 0.68 | Col-9 | C. gloeosporioides | 5.29 ± 0.0 |
| Alt-13 | A. burnsii | 4.50 ± 0.5 | Col-11 | C. gloeosporioides | 3.86 ± 0.0 |
| Alt-JD | A. alternata | 4.86 ± 0.86 | Col-12 | C. gloeosporioides | 10.00 ± 0.0 |
| Alt-MP6 | A. burnsii | 5.64 ± 0.21 | Col-13 | C. gloeosporioides | 10.57 ± 0.0 |
| Alt-N | A. alternata | 6 ± 1.43 | Col-14 | C. gloeosporioides | 9.57 ± 0.43 |
| Col-15 | C. gloeosporioides | 9.14 ± 0.0 | |||
| Col-17 | C. gloeosporioides | 3.29 ± 0.0 | |||
| Col-18 | C. tainanense | 5.29 ± 0.14 | |||
| Col-21 | C. hederiicola | 5.43 ± 0.0 | |||
| Col-25 | C. gloeosporioides | 3.29 ± 0.0 | |||
| Col-26 | C. gloeosporioides | 5.14 ± 0.0 | |||
| Col-27 | C. gloeosporioides | 9.86 ± 0.14 | |||
Publisher’s Note: MDPI stays neutral with regard to jurisdictional claims in published maps and institutional affiliations. |
© 2022 by the authors. Licensee MDPI, Basel, Switzerland. This article is an open access article distributed under the terms and conditions of the Creative Commons Attribution (CC BY) license (https://creativecommons.org/licenses/by/4.0/).
Share and Cite
Manjunatha, N.; Sharma, J.; Pokhare, S.S.; Agarrwal, R.; Patil, P.G.; Sirsat, J.D.; Chakranarayan, M.G.; Bicchal, A.; Ukale, A.S.; Marathe, R.A. Characterization of Alternaria and Colletotrichum Species Associated with Pomegranate (Punica granatum L.) in Maharashtra State of India. J. Fungi 2022, 8, 1040. https://doi.org/10.3390/jof8101040
Manjunatha N, Sharma J, Pokhare SS, Agarrwal R, Patil PG, Sirsat JD, Chakranarayan MG, Bicchal A, Ukale AS, Marathe RA. Characterization of Alternaria and Colletotrichum Species Associated with Pomegranate (Punica granatum L.) in Maharashtra State of India. Journal of Fungi. 2022; 8(10):1040. https://doi.org/10.3390/jof8101040
Chicago/Turabian StyleManjunatha, Nanjundappa, Jyotsana Sharma, Somnath S. Pokhare, Ruchi Agarrwal, Prakash G. Patil, Jaydip D. Sirsat, Mansi G. Chakranarayan, Aarti Bicchal, Anmol S. Ukale, and Rajiv A. Marathe. 2022. "Characterization of Alternaria and Colletotrichum Species Associated with Pomegranate (Punica granatum L.) in Maharashtra State of India" Journal of Fungi 8, no. 10: 1040. https://doi.org/10.3390/jof8101040
APA StyleManjunatha, N., Sharma, J., Pokhare, S. S., Agarrwal, R., Patil, P. G., Sirsat, J. D., Chakranarayan, M. G., Bicchal, A., Ukale, A. S., & Marathe, R. A. (2022). Characterization of Alternaria and Colletotrichum Species Associated with Pomegranate (Punica granatum L.) in Maharashtra State of India. Journal of Fungi, 8(10), 1040. https://doi.org/10.3390/jof8101040

