Effects of Drying Treatments on the Physicochemical Characteristics and Antioxidant Properties of the Edible Wild Mushroom Cyttaria espinosae Lloyd (Digüeñe Mushroom)
Abstract
1. Introduction
2. Materials and Methods
2.1. Samples of the Edible Wild Mushroom C. espinosae
2.2. Drying Processes
2.2.1. Freeze-Drying
2.2.2. Hot-Air Drying
2.2.3. Microwave–Vacuum Drying
2.3. Color Measurement
2.4. Rehydration Rate of Dried C. espinosae
2.5. Microstructure of Dried C. espinosae
2.6. Ultrasound-Assisted Water Bath Extraction of C. espinosae
2.7. Optimization of the Extraction Procedure Using Response Surface Methodology for Fresh C. espinosae Extracts
2.8. Determination of Total Soluble Phenolic Content in Fresh and Dried Edible Wild Mushroom Extracts
2.9. Determination of Antioxidant Activity of Fresh and Dried Edible Wild Mushroom Extracts
2.9.1. DPPH Radical Scavenging Activity
2.9.2. Oxygen Radical Absorption Capacity (ORAC) Assay
2.10. Ergothioneine Content of Fresh and Dried Edible Wild Mushroom Extracts
2.11. Statistical Analysis
3. Results and Discussion
3.1. C. espinosae Mushoom Drying Processes
3.2. Color Measurement of Fresh and Dried Edible Wild Mushrooms
3.3. Microstructure of Fresh and Dried Edible Wild Mushrooms
3.4. Rehydration Rate
3.5. Effect of Different Extraction Factors in Ultrasonic-Assisted Water Bath on the Total Soluble Phenolic Content of C. espinosae Extracts
3.6. Response Surface Methodology
3.7. Determination of Total Soluble Phenolic Content in Aqueous Extracts of Fresh and Dried C. espinosae Mushrooms
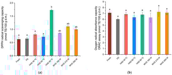
3.8. Antioxidant Activity and Ergothioneine of Aqueous Extracts from Fresh and Dried C. espinosae Mushrooms
4. Conclusions
Author Contributions
Funding
Institutional Review Board Statement
Informed Consent Statement
Data Availability Statement
Acknowledgments
Conflicts of Interest
References
- Valenzuela, E. Hongos Comestibles Silvestres Colectados en la X Region de Chile (Wild Eatable Mushrooms Collected in the X Region of Chile). Boletín Micológico 2003, 18, 1–14. [Google Scholar] [CrossRef]
- Molares, S.; Toledo, C.V.; Stecher, G.; Barroetaveña, C. Traditional Mycological Knowledge and Processes of Change in Mapuche Communities from Patagonia, Argentina: A Study on Wild Edible Fungi in Nothofagaceae Forests. Mycologia 2020, 112, 9–23. [Google Scholar] [CrossRef]
- Espinosa, M. Los hongos del género Cyttaria (Mushroom of the genus Cyttaria). Rev. Chil. Hist. Nat. 1926, 30, 206–256. [Google Scholar]
- Toledo, C.V.; Barroetaveña, C.; Fernandes, Â.; Barros, L.; Ferreira, I.C.F.R. Chemical and Antioxidant Properties of Wild Edible Mushrooms from Native Nothofagus spp. Forest, Argentina. Molecules 2016, 21, 1201. [Google Scholar] [CrossRef] [PubMed]
- Rugolo, M.; Spréa, R.M.; Dias, M.I.; Pires, T.C.S.P.; Añibarro-Ortega, M.; Barroetaveña, C.; Caleja, C.; Barros, L. Nutritional Composition and Bioactive Properties of Wild Edible Mushrooms from Native Nothofagus Patagonian Forests. Foods 2022, 11, 3516. [Google Scholar] [CrossRef]
- Schön, M.E.; Zuern, S.; Vera, M.; Garnica, S. High Diversity of Fungal Ecological Groups in Andean-Patagonian Nothofagus Forests. PLoS ONE 2023, 18, e0290398. [Google Scholar] [CrossRef] [PubMed]
- Vidal, V.S. Actualización Del Conocimiento Del Género Cyttaria Berk. (Cyttariales, Ascomycota) En Chile. Boletín Micológico 2020, 35, 4–16. [Google Scholar] [CrossRef]
- Kalač, P. A Review of Chemical Composition and Nutritional Value of Wild-Growing and Cultivated Mushrooms. J. Sci. Food Agric. 2013, 93, 209–218. [Google Scholar] [CrossRef] [PubMed]
- Kalač, P. Chemical Composition and Nutritional Value of European Species of Wild Growing Mushrooms: A Review. Food Chem. 2009, 113, 9–16. [Google Scholar] [CrossRef]
- Zhang, Z.; Lv, G.; Pan, H.; Fan, L. Optimisation of the Microwave-Assisted Extraction Process for Six Phenolic Compounds in Agaricus blazei murrill. Int. J. Food Sci. Technol. 2012, 47, 24–31. [Google Scholar] [CrossRef]
- Rodríguez, R.; Lombraña, J.I.; Kamel, M.; de Elvira, C. Kinetic and Quality Study of Mushroom Drying under Microwave and Vacuum. Dry. Technol. 2005, 23, 2197–2213. [Google Scholar] [CrossRef]
- Shams, R.; Singh, J.; Dash, K.K.; Dar, A.H. Comparative Study of Freeze Drying and Cabinet Drying of Button Mushroom. Appl. Food Res. 2022, 2, 100084. [Google Scholar] [CrossRef]
- Giri, S.; Prasad, S. Drying Kinetics and Rehydration Characteristics of Microwave-Vacuum and Convective Hot-Air Dried Mushrooms. J. Food Eng. 2007, 78, 512–521. [Google Scholar] [CrossRef]
- Hirun, S.; Utama-ang, N.; Roach, P.D. Turmeric (Curcuma longa L.) Drying: An Optimization Approach Using Microwave-Vacuum Drying. J. Food Sci. Technol. 2014, 51, 2127–2133. [Google Scholar] [CrossRef] [PubMed]
- Corrêa, R.C.G.; Brugnari, T.; Bracht, A.; Peralta, R.M.; Ferreira, I.C. Biotechnological, Nutritional and Therapeutic Uses of Pleurotus spp. (Oyster Mushroom) Related with Its Chemical Composition: A Review on the Past Decade Findings. Trends Food Sci. Technol. 2016, 50, 103–117. [Google Scholar] [CrossRef]
- Amirullah, N.A.; Abdullah, E.; Abidin, N.Z.; Abdullah, N.; Manickam, S. Influence of Extraction Technologies on the Therapeutic Properties of Pleurotus spp. (Oyster Mushrooms)—A Critical Review. Food Biosci. 2023, 56, 103352. [Google Scholar] [CrossRef]
- Jemain, S.F.P.; Jamal, P.; Raus, A.R.; Amid, A.; Jaswir, I. Effects of Process Conditions on the Ultrasonic Extraction of Phenolics Scavenger from Curcuma Caesia Rhizome. Int. Food Res. J. 2017, 24, 422–427. [Google Scholar]
- Machado-Carvalho, L.; Martins, T.; Aires, A.; Marques, G. Optimization of Phenolic Compounds Extraction and Antioxidant Activity from Inonotus hispidus Using Ultrasound-Assisted Extraction Technology. Metabolites 2023, 13, 524. [Google Scholar] [CrossRef] [PubMed]
- Zhao, Q.; Liu, X.; Cui, L.; Ma, C. Extraction and Bioactivities of the Chemical Composition from Pleurotus Ostreatus: A Review. J. Future Foods 2024, 4, 111–118. [Google Scholar] [CrossRef]
- Valu, M.-V.; Soare, L.C.; Sutan, N.A.; Ducu, C.; Moga, S.; Hritcu, L.; Boiangiu, R.S.; Carradori, S. Optimization of Ultrasonic Extraction to Obtain Erinacine a and Polyphenols with Antioxidant Activity from the Fungal Biomass of Hericium erinaceus. Foods 2020, 9, 1889. [Google Scholar] [CrossRef] [PubMed]
- Barros, L.; Dueñas, M.; Ferreira, I.C.F.R.; Baptista, P.; Santos-Buelga, C. Phenolic Acids Determination by HPLC-DAD-ESI/MS in Sixteen Different Portuguese Wild Mushrooms Species. Food Chem. Toxicol. 2009, 47, 1076–1079. [Google Scholar] [CrossRef] [PubMed]
- Tamarit-Pino, Y.; Batías-Montes, J.M.; Segura-Ponce, L.A.; Díaz-Álvarez, R.E.; Guzmán-Meza, M.F.; Quevedo-León, R.A. Effect of Electrohydrodynamic Pretreatment on Drying Rate and Rehydration Properties of Chilean Sea Cucumber (Athyonidium chilensis). Food Bioprod. Process. 2020, 123, 284–295. [Google Scholar] [CrossRef]
- Kantrong, H.; Tansakul, A.; Mittal, G.S. Drying Characteristics and Quality of Shiitake Mushroom Undergoing Microwave-Vacuum Drying and Microwave-Vacuum Combined with Infrared Drying. J. Food Sci. Technol. 2014, 51, 3594–3608. [Google Scholar] [CrossRef]
- Hou, H.; Lu, X.; Du, H.; Chen, X.; Fang, D.; Fan, X.; Hu, Q.; Zhao, L. Effects of Pre-Cutting Treatments and Combination Drying with Different Orders on Drying Characteristics and Physicochemical Properties of Lentinula Edodes. J. Sci. Food Agric. 2021, 101, 2063–2071. [Google Scholar] [CrossRef]
- Liang, Z.; Sang, M.; Fan, P.; Wu, B.; Wang, L.; Yang, S.; Li, S. CIELAB Coordinates in Response to Berry Skin Anthocyanins and Their Composition in Vitis. J. Food Sci. 2011, 76, C490–C497. [Google Scholar] [CrossRef] [PubMed]
- Ah-Hen, K.S.; Mathias-Rettig, K.; Gómez-Pérez, L.S.; Riquelme-Asenjo, G.; Lemus-Mondaca, R.; Muñoz-Fariña, O. Bioaccessibility of Bioactive Compounds and Antioxidant Activity in Murta (Ugni molinae T.) Berries Juices. J. Food Meas. Charact. 2018, 12, 602–615. [Google Scholar] [CrossRef]
- Qiu, Y.; Bi, J.; Jin, X.; Wu, X.; Hu, L.; Chen, L. Investigation on the Rehydration Mechanism of Freeze-Dried and Hot-Air Dried Shiitake Mushrooms from Pores and Cell Wall Fibrous Material. Food Chem. 2022, 383, 132360. [Google Scholar] [CrossRef]
- Singh, T.; Singhal, R. Poly (Acrylic Acid/Acrylamide/Sodium Humate) Superabsorbent Hydrogels for Metal Ion/Dye Adsorption: Effect of Sodium Humate Concentration. J. Appl. Polym. Sci. 2012, 125, 1267–1283. [Google Scholar] [CrossRef]
- Yavari, N.; Azizian, S. Mixed Diffusion and Relaxation Kinetics Model for Hydrogels Swelling. J. Mol. Liq. 2022, 363, 119861. [Google Scholar] [CrossRef]
- Kostić, A.; Adnadjević, B.; Popović, A.; Jovanović, J. Comparison of the Swelling Kinetics of a Partially Neutralized Poly(Acrylic Acid) Hydrogel in Distilled Water and Physiological Solution. J. Serbian Chem. Soc. 2007, 72, 1139–1153. [Google Scholar] [CrossRef]
- Leiva-Portilla, D.J.; Rodríguez-Núñez, K.E.; Rodríguez-Ramos, F.J.; Delgadillo Acevedo, Á.; Uribe, E. Impact on Physicochemical Composition and Antioxidant Activity of the Wild Edible Mushroom Cyttaria espinosae Subjected to Drying. Chem. Biodivers. 2020, 17, e2000642. [Google Scholar] [CrossRef]
- Singleton, V.L.; Rossi, J.A. Colorimetry of Total Phenolics with Phosphomolybdic-Phosphotungstic Acid Reagents. Am. J. Enol. Vitic. 1965, 16, 144–158. [Google Scholar] [CrossRef]
- Brand-Williams, W.; Cuvelier, M.E.; Berset, C. Use of a Free Radical Method to Evaluate Antioxidant Activity. LWT—Food Sci. Technol. 1995, 28, 25–30. [Google Scholar] [CrossRef]
- Ou, B.; Hampsch-Woodill, M.; Prior, R.L. Development and Validation of an Improved Oxygen Radical Absorbance Capacity Assay Using Fluorescein as the Fluorescent Probe. J. Agric. Food Chem. 2001, 49, 4619–4626. [Google Scholar] [CrossRef]
- Dubost, N.J.; Ou, B.; Beelman, R.B. Quantification of Polyphenols and Ergothioneine in Cultivated Mushrooms and Correlation to Total Antioxidant Capacity. Food Chem. 2007, 105, 727–735. [Google Scholar] [CrossRef]
- Jaworska, G.; Pogoń, K.; Bernaś, E.; Skrzypczak, A. Effect of Different Drying Methods and 24-Month Storage on Water Activity, Rehydration Capacity, and Antioxidants in Boletus edulis Mushrooms. Dry. Technol. 2014, 32, 291–300. [Google Scholar] [CrossRef]
- González-Cavieres, L.; Pérez-Won, M.; Tabilo-Munizaga, G.; Jara-Quijada, E.; Díaz-Álvarez, R.; Lemus-Mondaca, R. Advances in Vacuum Microwave Drying (VMD) Systems for Food Products. Trends Food Sci Technol. 2021, 116, 626–638. [Google Scholar] [CrossRef]
- Tian, Y.; Zhao, Y.; Huang, J.; Zeng, H.; Zheng, B. Effects of Different Drying Methods on the Product Quality and Volatile Compounds of Whole Shiitake Mushrooms. Food Chem. 2016, 197, 714–722. [Google Scholar] [CrossRef]
- Nazmi, I.; Esref, I. Effect of Different Drying Methods on Drying Characteristics, Colour and Microstructure Properties of Mushroom. J. Food Nutr. Res. 2014, 53, 105–116. [Google Scholar]
- Zeng, Z.; Wang, J.; Wen, X.; Wang, Y.; Li, X.; Liu, D.; Geng, F. Metabolomic Analysis Provides Insights into the Mechanism of Color and Taste Changes in Dictyophora Indusiata Fruiting Bodies under Different Drying Processes. Food Res. Int. 2022, 162, 112090. [Google Scholar] [CrossRef] [PubMed]
- Guo, L.; Lan, N.; Li, H.; Xiang, P.; Kan, H. Effect of Hot Air Drying Temperature on the Quality and Antioxidant Activity of Boletus edulis Bull.: Fr. J. Food Process. Preserv. 2021, 45, e15540. [Google Scholar] [CrossRef]
- Sławińska, A.; Sołowiej, B.G.; Radzki, W.; Fornal, E. Wheat Bread Supplemented with Agaricus Bisporus Powder: Effect on Bioactive Substances Content and Technological Quality. Foods 2022, 11, 3786. [Google Scholar] [CrossRef]
- Apati, G.P.; Furlan, S.A.; Laurindo, J.B. Drying and Rehydration of Oyster Mushroom. Braz. Arch. Biol. Technol. 2010, 53, 945–952. [Google Scholar] [CrossRef]
- Piskov, S.; Timchenko, L.; Grimm, W.D.; Rzhepakovsky, I.; Avanesyan, S.; Sizonenko, M.; Kurchenko, V. Effects of Various Drying Methods on Some Physico-Chemical Properties and the Antioxidant Profile and ACE Inhibition Activity of Oyster Mushrooms (Pleurotus ostreatus). Foods 2020, 9, 160. [Google Scholar] [CrossRef]
- Lei, Y.; Wang, W.; Zhang, C.; Wang, D.; Zhuang, W.; Zheng, B.; Lo, Y.M.; Tian, Y. Evaluation of the Chemical Qualities and Microstructural Changes of Lentinula edodes Caused by Airborne Ultrasonic Treatment Combined with Microwave Vacuum Drying. J. Food Sci. 2021, 86, 667–676. [Google Scholar] [CrossRef]
- Gallo, M.; Ferrara, L.; Naviglio, D. Application of Ultrasound in Food Science and Technology: A Perspective. Foods 2018, 7, 164. [Google Scholar] [CrossRef]
- Kalyoncu, F.; Oskay, M.; Kayalar, H. Antioxidant Activity of the Mycelium of 21 Wild Mushroom Species. Mycology 2010, 1, 195–199. [Google Scholar] [CrossRef]
- Luo, L.; Zhang, S.; Wu, J.; Sun, X.; Ma, A. Heat Stress in Macrofungi: Effects and Response Mechanisms. Appl. Microbiol. Biotechnol. 2021, 105, 7567–7576. [Google Scholar] [CrossRef]
- Sadiq, N.-B.; Ryu, D.-H.; Cho, J.-Y.; Lee, A.-H.; Song, D.-G.; Dorjsembe, B.; Kim, J.-C.; Jung, J.-H.; Nho, C.-W.; Hamayun, M.; et al. Postharvest Drying Techniques Regulate Secondary Metabolites and Anti-Neuroinflammatory Activities of Ganoderma lucidum. Molecules 2021, 26, 4484. [Google Scholar] [CrossRef]
- Witkowska, A.M.; Zujko, M.E.; Mirończuk-Chodakowska, I. Comparative Study of Wild Edible Mushrooms as Sources of Antioxidants. Int. J. Med. Mushrooms 2011, 13, 335–341. [Google Scholar] [CrossRef]
- Fogarasi, M.; Socaciu, M.-I.; Sălăgean, C.-D.; Ranga, F.; Fărcaș, A.C.; Socaci, S.A.; Socaciu, C.; Țibulcă, D.; Fogarasi, S.; Semeniuc, C.A. Comparison of Different Extraction Solvents for Characterization of Antioxidant Potential and Polyphenolic Composition in Boletus edulis and Cantharellus cibarius Mushrooms from Romania. Molecules 2021, 26, 7508. [Google Scholar] [CrossRef]
- Eim, V.S.; Urrea, D.; Rosselló, C.; García-Pérez, J.V.; Femenia, A.; Simal, S. Optimization of the Drying Process of Carrot (Daucus carota v. Nantes) on the Basis of Quality Criteria. Dry. Technol. 2013, 31, 951–962. [Google Scholar] [CrossRef]
- Wang, X.M.; Zhang, J.; Wu, L.H.; Zhao, Y.L.; Li, T.; Li, J.Q.; Wang, Y.Z.; Liu, H.G. A Mini-Review of Chemical Composition and Nutritional Value of Edible Wild-Grown Mushroom from China. Food Chem. 2014, 151, 279–285. [Google Scholar] [CrossRef]
- Sapozhnikova, Y.; Byrdwell, W.C.; Lobato, A.; Romig, B. Effects of UV-B Radiation Levels on Concentrations of Phytosterols, Ergothioneine, and Polyphenolic Compounds in Mushroom Powders Used as Dietary Supplements. J. Agric. Food Chem. 2014, 62, 3034–3042. [Google Scholar] [CrossRef]
- Ito, T.; Kato, M.; Tsuchida, H.; Harada, E.; Niwa, T.; Osawa, T. Ergothioneine as an Anti-Oxidative/Anti-Inflammatory Component in Several Edible Mushrooms. Food Sci. Technol. Res. 2011, 17, 103–110. [Google Scholar] [CrossRef]










| Kinetics Model | Equation | Reference |
|---|---|---|
| Peppas | [28,29] | |
| One-dimensional diffusion | [28,29,30] | |
| Two-dimensional diffusion | [28,29,30] | |
| Three-dimensional diffusion | [28,29,30] |
| Conservation Status | L* | a* | b* | ΔE |
|---|---|---|---|---|
| Fresh | 22.50 ± 0.86 d | 6.01 ± 0.03 bc | 15.58 ± 0.39 d | 28.02 ± 0.94 e |
| FD | 24.81 ± 0.38 e | 1.48 ± 0.06 a | 7.03 ± 0.21 a | 25.83 ± 0.32 d |
| HAD 40 °C | 11.47 ± 0.93 b | 5.35 ± 0.06 b | 10.20 ± 0.39 b | 16.26 ± 0.92 b |
| HAD 60 °C | 10.33 ± 0.31 b | 6.50 ± 0.17 c | 11.07 ± 0.43 b | 16.48 ± 0.55 b |
| HAD 80 °C | 8.81 ± 0.08 a | 5.21 ± 0.64 b | 8.16 ± 0.74 a | 13.09 ± 0.76 a |
| MVD 160 W | 17.90 ± 0.27 c | 6.33 ± 0.44 c | 13.35 ± 0.38 c | 23.22 ± 0.19 c |
| MVD 210 W | 17.73 ± 0.54 c | 5.96 ± 0.16 bc | 15.77 ± 0.51 d | 24.46 ± 0.72 cd |
| MVD 260 W | 18.09 ± 0.21 c | 6.82 ± 0.51 c | 14.17 ± 0.41 c | 23.97 ± 0.52 c |
| Drying Processes | Peppas | One-Dimensional Diffusion | Two-Dimensional Diffusion | Three-dimensional Diffusion (Jander Equation) | |||||
|---|---|---|---|---|---|---|---|---|---|
| k | n | R2 | k | R2 | k | R2 | k | R2 | |
| FD | 0.6256 | 0.14 | 99.77 | 0.1081 | 99.65 | 0.0827 | 99.79 | 0.0293 | 99.91 |
| HAD 40 °C | 0.0720 | 0.42 | 99.57 | 0.0028 | 99.95 | 0.0018 | 99.66 | 0.0005 | 98.77 |
| HAD 60 °C | 0.1358 | 0.36 | 99.44 | 0.0054 | 98.17 | 0.0035 | 99.11 | 0.0010 | 99.73 |
| HAD 80 °C | 0.1222 | 0.37 | 99.54 | 0.0052 | 99.60 | 0.0033 | 99.87 | 0.0010 | 99.72 |
| MVD 160 W | 0.1922 | 0.30 | 98.68 | 0.0063 | 93.10 | 0.0042 | 94.93 | 0.0012 | 96.63 |
| MVD 210 W | 0.2279 | 0.25 | 99.73 | 0.0063 | 93.89 | 0.0042 | 95.66 | 0.0013 | 97.30 |
| MVD 260 W | 0.2312 | 0.25 | 95.91 | 0.0068 | 92.53 | 0.0045 | 94.39 | 0.0013 | 96.12 |
| Run a | Block | Temperature (X1) (°C) | Time (X2) (min) | Solvent (X3) (% b) | Total Phenolic Content c (Y) (mg GAE/g d.m.) |
|---|---|---|---|---|---|
| 1 | 1 | 65 | 60 | 0 | 3.60 ± 0.15 |
| 2 | 1 | 65 | 30 | 50 | 4.53 ± 0.64 |
| 3 | 1 | 50 | 90 | 50 | 5.02 ± 0.93 |
| 4 | 1 | 50 | 30 | 0 | 3.21 ± 0.61 |
| 5 | 1 | 80 | 90 | 0 | 4.29 ± 0.54 |
| 6 | 1 | 80 | 60 | 50 | 4.69 ± 0.67 |
| 7 | 1 | 80 | 30 | 100 | 4.76 ± 0.90 |
| 8 | 1 | 50 | 60 | 100 | 6.57 ± 0.38 |
| 9 | 1 | 65 | 90 | 100 | 6.11 ± 0.97 |
| 10 | 1 | 65 | 60 | 50 | 5.25 ± 0.36 |
| 11 | 2 | 65 | 90 | 50 | 4.83 ± 0.63 |
| 12 | 2 | 65 | 60 | 50 | 4.39 ± 0.49 |
| 13 | 2 | 80 | 60 | 0 | 3.70 ± 0.54 |
| 14 | 2 | 50 | 30 | 100 | 6.47 ± 1.13 |
| 15 | 2 | 50 | 60 | 50 | 5.55 ± 1.53 |
| 16 | 2 | 80 | 90 | 100 | 4.96 ± 0.95 |
| 17 | 2 | 50 | 90 | 0 | 3.77 ± 0.99 |
| 18 | 2 | 65 | 60 | 100 | 5.36 ± 0.36 |
| 19 | 2 | 65 | 30 | 0 | 3.77 ± 0.20 |
| 20 | 2 | 80 | 30 | 50 | 3.97 ± 0.17 |
| 21 | 3 | 65 | 90 | 0 | 4.59 ± 0.74 |
| 22 | 3 | 50 | 30 | 50 | 4.89 ± 0.73 |
| 23 | 3 | 65 | 60 | 50 | 5.58 ± 1.06 |
| 24 | 3 | 80 | 30 | 0 | 3.57 ± 0.77 |
| 25 | 3 | 80 | 60 | 100 | 5.03 ± 0.89 |
| 26 | 3 | 65 | 60 | 50 | 4.95 ± 0.41 |
| 27 | 3 | 65 | 30 | 100 | 7.13 ± 2.03 |
| 28 | 3 | 80 | 90 | 50 | 4.27 ± 0.27 |
| 29 | 3 | 50 | 90 | 100 | 5.91 ± 0.90 |
| 30 | 3 | 50 | 60 | 0 | 3.48 ± 0.85 |
| Variables | p-Value |
|---|---|
| X1: Temperature (°C) | 0.0050 * |
| X2: Time (min) | 0.4207 |
| X3: Solvent (%) | 0.0000 * |
| X12 | 0.0476 |
| X1X2 | 0.4579 |
| X1X3 | 0.0017 * |
| X22 | 0.9338 |
| X2X3 | 0.0262 |
| X32 | 0.8763 |
Disclaimer/Publisher’s Note: The statements, opinions and data contained in all publications are solely those of the individual author(s) and contributor(s) and not of MDPI and/or the editor(s). MDPI and/or the editor(s) disclaim responsibility for any injury to people or property resulting from any ideas, methods, instructions or products referred to in the content. |
© 2024 by the authors. Licensee MDPI, Basel, Switzerland. This article is an open access article distributed under the terms and conditions of the Creative Commons Attribution (CC BY) license (https://creativecommons.org/licenses/by/4.0/).
Share and Cite
Villalobos-Pezos, M.; Muñoz Fariña, O.; Ah-Hen, K.S.; Garrido Figueroa, M.-F.; García Figueroa, O.; González Esparza, A.; González Pérez de Medina, L.; Bastías Montes, J.M. Effects of Drying Treatments on the Physicochemical Characteristics and Antioxidant Properties of the Edible Wild Mushroom Cyttaria espinosae Lloyd (Digüeñe Mushroom). J. Fungi 2025, 11, 13. https://doi.org/10.3390/jof11010013
Villalobos-Pezos M, Muñoz Fariña O, Ah-Hen KS, Garrido Figueroa M-F, García Figueroa O, González Esparza A, González Pérez de Medina L, Bastías Montes JM. Effects of Drying Treatments on the Physicochemical Characteristics and Antioxidant Properties of the Edible Wild Mushroom Cyttaria espinosae Lloyd (Digüeñe Mushroom). Journal of Fungi. 2025; 11(1):13. https://doi.org/10.3390/jof11010013
Chicago/Turabian StyleVillalobos-Pezos, Marcelo, Ociel Muñoz Fariña, Kong Shun Ah-Hen, María-Fernanda Garrido Figueroa, Olga García Figueroa, Alexandra González Esparza, Luisbel González Pérez de Medina, and José Miguel Bastías Montes. 2025. "Effects of Drying Treatments on the Physicochemical Characteristics and Antioxidant Properties of the Edible Wild Mushroom Cyttaria espinosae Lloyd (Digüeñe Mushroom)" Journal of Fungi 11, no. 1: 13. https://doi.org/10.3390/jof11010013
APA StyleVillalobos-Pezos, M., Muñoz Fariña, O., Ah-Hen, K. S., Garrido Figueroa, M.-F., García Figueroa, O., González Esparza, A., González Pérez de Medina, L., & Bastías Montes, J. M. (2025). Effects of Drying Treatments on the Physicochemical Characteristics and Antioxidant Properties of the Edible Wild Mushroom Cyttaria espinosae Lloyd (Digüeñe Mushroom). Journal of Fungi, 11(1), 13. https://doi.org/10.3390/jof11010013

