Medicinal Mushrooms as Multicomponent Mixtures—Demonstrated with the Example of Lentinula edodes
Abstract
1. Introduction
2. MOCSs versus Single Compound in General
3. Chemistry and Biological Effects of Single Compounds from Lentinula edodes
3.1. Overview
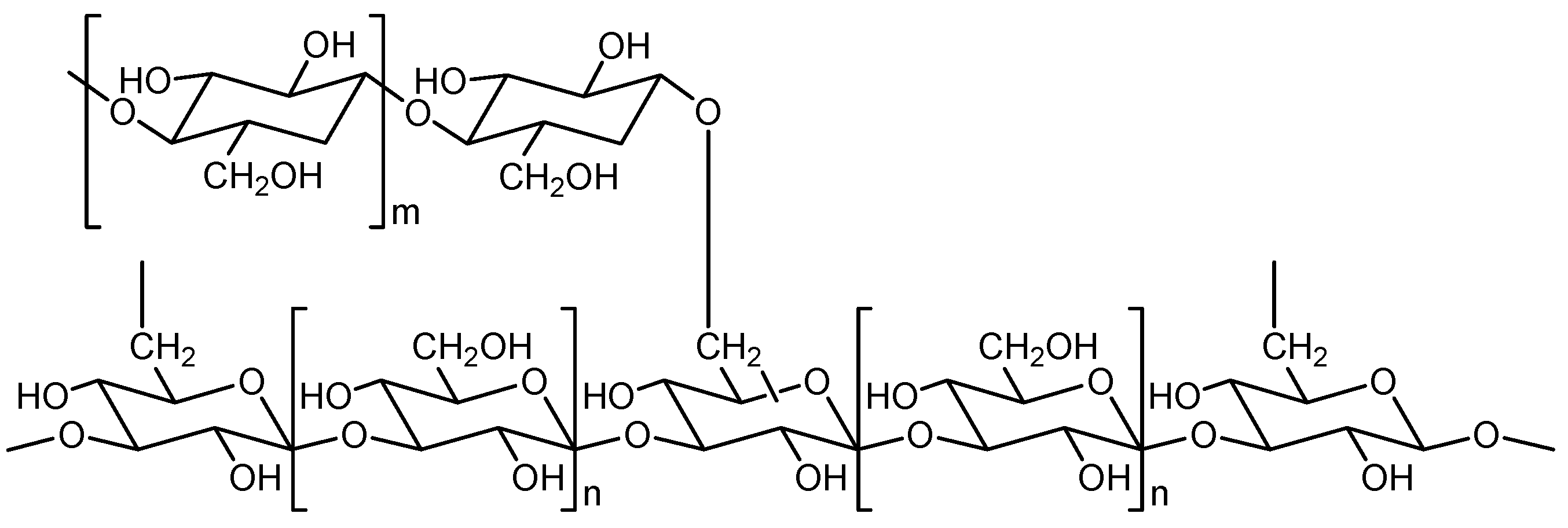
3.2. Lentinan
3.3. Eritadenine
4. Biological Effects of MOCS from Lentinula edodes (Extracts, Dried, or Fresh Mushrooms)
4.1. Immunomodulating Effects
4.2. Antitumor Effects
4.3. Effects-Reducing Risks for Cardiovascular Diseases (Lipids, Homocysteine, Blood Pressure, Redox State)
4.4. Osteoprotective Effects
4.5. Antimicrobial Effects
4.6. Cosmetics
4.7. Toxicological Aspects
5. Lentinula edodes: MOCS versus Single Compound
6. Conclusions
Funding
Institutional Review Board Statement
Informed Consent Statement
Data Availability Statement
Acknowledgments
Conflicts of Interest
References
- Sertürner, F.A. Darstellung der reinen Mohnsäure (Opiumsäure) nebst einer Untersuchung des Opiums mit vorzüglicher Hinsicht auf einen darin neu entdeckten Stoff und die dahin gehörigen Bemerkungen. Vom Herrn Sertürner in Paderborn. J. Pharm. 1806, 14, 47–93. [Google Scholar]
- Barnes, J.; Anderson, L.A.; Phillipson, D. Herbal Medicines, 3rd ed.; Pharmaceutical Press: London, UK; Chicago, IL, USA, 2007. [Google Scholar]
- Ferreira, T.S.; Moreira, C.Z.; Cária, N.Z.; Victoriano, G.; Silva, W.F., Jr.; Magalhães, J.C. Phytotherapy: An introduction to its history, use and application. Rev. Bras. Plantas Med. 2014, 18, 290–298. [Google Scholar] [CrossRef]
- Jamshidi-Kia, F.; Lorigooini, Z.; Amini-Khoei, H. Medicinal plants: Past history and future perspective. J. Herbmed. Pharmacol. 2018, 7, 1–7. [Google Scholar] [CrossRef]
- Makarska-Białokoz, M. History and significance of phytotherapy in the human history. The development of phytotherapy from the Middle Ages to modern times. Arch. Physiother. Glob. Res. 2020, 24, 17–22. [Google Scholar]
- WHO. Traditional Medicine Strategy 2014–2023. Available online: https://www.who.int/publications/i/item/9789241506096. (accessed on 7 February 2024).
- Tang, W.; Eisenbrand, G. Handbook of Chinese Medicinal Plants: Chemistry, Pharmacology, Toxicology, 1st ed.; Wiley-VCH: Weinheim, Germany, 2011; Volumes I and II. [Google Scholar]
- Gongwang, L. Chinese Herbal Medicine, 1st ed.; Hua Xia Publishing House: Beijing, China, 2000. [Google Scholar]
- Bunse, M.; Daniels, R.; Gründemann, C.; Heilmann, J.; Kammerer, D.R.; Keusgen, M.; Lindequist, U.; Melzig, M.F.; Morlock, G.; Schulz, H.; et al. Essential oils as examples for multicomponent mixtures–their potential for human health and well-being. Front. Pharmacol. 2022, 13, 956541. [Google Scholar] [CrossRef] [PubMed]
- Wink, M. Current understanding of modes of action of multicomponent bioactive phytochemicals: Potential for nutraceuticals and antimicrobials. Ann. Rev. Food Sci. Technol. 2022, 13, 337–359. [Google Scholar] [CrossRef] [PubMed]
- Nam, M.; Choi, J.Y.; Kim, M.S. Metabolic profiles, bioactive compounds, and antioxidant capacity in Lentinula edodes cultivated on log versus sawdust substrates. Biomolecules 2021, 11, 1654. [Google Scholar] [CrossRef]
- Lindequist, U. Lentinula edodes. In Hagers Handbuch der Pharmazeutischen Praxis; Schneider, G., Hänsel, R., Blaschek, W., Eds.; Springer: Berlin/Heidelberg, Germany, 1998; Follow-up Volume 3, pp. 61–71. [Google Scholar]
- Bisen, P.S.; Baghei, R.K.; Sanodiya, B.S.; Thakur, G.S.; Prasad, G.B. Lentinus edodes: A macrofungus with pharmacological activities. Curr. Med. Chem. 2010, 17, 2419–2430. [Google Scholar] [CrossRef]
- Finimundi, T.C.; Dillon, A.J.P.; Henriques, J.A.P.; Roesch Ely, M. A review on general nutritional compounds and pharmacological properties of the Lentinula edodes mushroom. Food Nutr. Sci. 2014, 5, 1095–1105. [Google Scholar]
- Niego, A.G.; Rapior, S.; Thongklang, N.; Raspé, O.; Jaidee, W.; Lumyong, S.; Hyde, K.D. Macrofungi as a nutraceutical source: Promising bioactive compounds and market value. J. Fungi 2021, 7, 397. [Google Scholar] [CrossRef]
- Caesar, L.K.; Cech, N.B. Synergy and antagonism in natural products extracts: When 1 + 1 does not equal. Nat. Prod. Rep. 2019, 36, 869–888. [Google Scholar] [CrossRef]
- Schreiner, T.; Sauter, D.; Friz, M.; Heil, J.; Morlock, G.E. Is our natural food our homeostasis? Array of a thousand effect-directed profiles of 68 herbs and spices. Front. Pharmacol. 2021, 12, 755941. [Google Scholar] [CrossRef]
- Karalis, V.; Macheras, P.; Van Peer, A.; Shah, V.P. Bioavailability and bioequivalence: Focus on physiological factors and variability. Pharm. Res. 2008, 25, 1956–1962. [Google Scholar] [CrossRef]
- Ku, Y.S.; Contador, C.A.; Ng, M.S.; Yu, J.; Chung, G.; Lam, H.M. The effects of domestication on secondary metabolite composition in Legumes. Front. Genet. 2020, 11, 581357. [Google Scholar] [CrossRef] [PubMed]
- Russo, E.B. Taming THC: Potential Cannabis synergy and phytocannabinoid-terpenoid entourage effects. Br. J. Pharmacol. 2011, 163, 1344–1364. [Google Scholar] [CrossRef]
- Goldstein Ferber, S.; Namdar, D.; Hen-Shoval, D.; Eger, G.; Koltai, H.; Shoval, G.; Shbiro, L.; Weller, A. The “entourage effect”: Terpenes coupled with cannabinoids for the treatment of mood disorders and anxiety disorders. Curr. Neuropharmacol. 2020, 18, 87–96. [Google Scholar] [CrossRef]
- Christensen, C.; Rose, M.; Cornett, C.; Allesø, M. Decoding the postulated entourage effect of medicinal Cannabis: What it is and what it isn’t. Biomedicines 2023, 11, 2323. [Google Scholar] [CrossRef] [PubMed]
- Clark, D.; Edwards, E.; Murray, P.; Langevin, H. Implementation science methodologies for complementary and integrative health research. J. Altern. Complement. Med. (JACM) 2021, 27, S7–S13. [Google Scholar] [CrossRef]
- Kalač, P. Edible Mushrooms: Chemical Composition and Nutritional Value, 1st ed.; Academic Press: Cambridge, MA, USA, 2016. [Google Scholar]
- Chihara, G.; Maeda, Y.Y.; Suga, T.; Hamuro, J. Lentinan as a host defence potentiator (HDP). Int. J. Immunother. 1989, 5, 145–154. [Google Scholar]
- Citores, L.; Ragucci, S.; Russo, R.; Gay, C.C.; Chambery, A.; Di Maro, A.; Iglesias, R.; Ferreras, J.M. Structural and functional characterization of the cytotoxic protein ledodin, an atypical ribosome-inactivating protein from shiitake mushroom (Lentinula edodes). Protein Sci. 2023, 32, e4621. [Google Scholar] [CrossRef]
- Ngai, P.H.; Ng, T.B. Lentin, a novel and potent antifungal protein from shitake mushroom with inhibitory effects on activity of human immunodeficiency virus-1 reverse transcriptase and proliferation of leukemia cells. Life Sci. 2003, 73, 3363–3374. [Google Scholar] [CrossRef]
- Uffelman, C.N.; Doenges, K.A.; Armstrong, M.L.; Quinn, K.; Reisdorph, R.M.; Tang, M.; Krebs, N.F.; Reisdorph, N.A.; Campbell, W.W. Metabolomics profiling of white button, crimini, portabella, lion’s mane, maitake, oyster, and shittake mushrooms using untargeted metabolomics and targeted amino acid analysis. Foods 2023, 12, 2985. [Google Scholar] [CrossRef] [PubMed]
- Enman, J.; Rova, U.; Berglund, K.A. Quantification of the bioactive compound eritadenine in selected strains of shiitake mushrooms (Lentinus edodes). J. Agric. Food Chem. 2007, 55, 1177–1180. [Google Scholar] [CrossRef] [PubMed]
- Afrin, S.; Rakib, M.A.; Kim, B.H.; Kim, J.O.; Ha, Y.L. Eritadenine from edible mushrooms inhibits activity of angiotensin converting enzyme in vitro. J. Agric. Food Chem. 2016, 64, 2263–2268. [Google Scholar] [CrossRef] [PubMed]
- Yao, F.; Gao, H.; Yin, C.M.; Shi, D.F.; Fan, X.Z. Effect of different cooking methods on the bioactive components, color, texture, microstructure, and volatiles of shiitake mushrooms. Foods 2023, 12, 2573. [Google Scholar] [CrossRef] [PubMed]
- Hiraide, M.; Miyazaki, Y.; Shibata, Y. The smell and odorous components of dried shiitake mushroom, Lentinula edodes I: Relationship between sensory evaluations and amounts of odorous components. J. Wood Sci. 2004, 50, 358–364. [Google Scholar] [CrossRef]
- Choi, E.J.; Park, Z.Y.; Kim, E.K. Chemical composition and inhibitory effect of Lentinula edodes ethanolic extract on experimentally induced atopic dermatitis in vitro and in vivo. Molecules 2016, 21, 993. [Google Scholar] [CrossRef] [PubMed]
- Cağlarirmak, N. The nutrients of exotic mushrooms (Lentinula edodes and Pleurotus species) and an estimated approach to the volatile compounds. Food Chem. 2007, 105, 1188–1194. [Google Scholar] [CrossRef]
- Vetter, J. Mineralstoff- und Aminosäuregehalte des eßbaren, kultivierten Pilzes Shii-take (Lentinus edodes). Z. Lebensm. Unters. Forsch. 1995, 201, 17–19. [Google Scholar] [CrossRef]
- Vetter, J. Chitin content of cultivated mushrooms Agaricus bisporus, Pleurotus ostreatus and Lentinula edodes. Food Chem. 2007, 102, 6–9. [Google Scholar] [CrossRef]
- Sheng, K.; Wang, C.; Chen, B.; Kang, M.; Wang, M.; Liu, K.; Wang, M. Recent advances in polysaccharides from Lentinus edodes (Berk.): Isolation, structures and bioactivities. Food Chem. 2021, 358, 129883. [Google Scholar] [CrossRef]
- Meng, X.; Liang, H.; Luo, L. Antitumor polysaccharides from mushrooms: A review on the structural characteristics, antitumor mechanisms and immunomodulating activities. Carbohydr. Res. 2016, 424, 30–41. [Google Scholar] [CrossRef]
- Roszczyk, A.; Turlo, J.; Zagożdżon; Kaleta, B. Immunomodulatory properties of polysaccharides from Lentinula edodes. Int. J. Mol. Sci. 2022, 23, 8980. [Google Scholar] [CrossRef]
- Ochiai, T.; Isono, K.; Suzuki, T.; Koide, Y.; Gunji, Y.; Nagata, M.; Ogawa, N. Effect of immunotherapy with lentinan on patient’s survival and immunological parameters in patients with advanced gastric cancer: Results of a multi-centre randomized controlled study. Int. J. Immunother. 1992, VIII, 161–169. [Google Scholar]
- Vannucci, L.; Šima, P.; Vetvicka, V.; Křižan, J. Lentinan properties in anticancer therapy: A review on the last 12-year literature. Am. J. Immunol. 2017, 13, 50–61. [Google Scholar] [CrossRef]
- Xiao, Z.; Jiang, Y.; Chen, X.F.; Wang, C.Q.; Zheng, X.T.; Xu, W.H.; Zou, X.X.; Zhou, J.M.; Yang, Y.H.; Hu, S.S.; et al. Intrathoracic infusion therapy with lentinan and chemical irritants for malignant pleural effusion: A systematic review and meta-analysis of 65 randomized clinical trials. Phytomedicine 2020, 76, 153260. [Google Scholar] [CrossRef]
- Yin, X.; Ying, J.; Li, L.; Zhang, H.; Wang, H. A meta-analysis of lentinan injection combined with chemotherapy in the treatment of nonsmall cell lung cancer. Ind. J. Cancer 2015, 52, e29–e31. [Google Scholar]
- Baruah, P.; Patra, A.; Barge, S.; Khan, M.R.; Mukherjee, A.K. Therapeutic potential of bioactive compounds from edible mushrooms to attenuate SARS-CoV-2 infection and some complications of coronavirus disease (COVID-19). J. Fungi 2023, 9, 897. [Google Scholar] [CrossRef] [PubMed]
- Murphy, E.J.; Masterson, C.; Rezoagli, E.; O’Toole, D.; Major, I.; Stack, G.D.; Lynch, M.; Laffey, J.G.; Rowan, N.J. ß-Glucans from the same edible shiitake mushroom Lentinus produce differential in-vitro immunomodulatory and pulmonary cytoprotective effects–implications for coronavirus disease (COVID-19) immunotherapies. Sci. Total Environ. 2020, 732, 139330. [Google Scholar] [CrossRef] [PubMed]
- Gordon, M.; Bihari, B.; Goosby, E.; Gorter, R.; Greco, M.; Guralnik, M.; Mimura, T.; Rudinicki, V.; Wong, R.; Kaneko, Y. A placebo-controlled trial of the immune modulator, lentinan, in HIV-positive patients: A phase I/II trial. J. Med. 1998, 29, 305–330. [Google Scholar] [PubMed]
- Chibata, L.; Okumura, K.; Takeyama, S.; Kotera, K. Lentinacin: A new hypocholesterolemic substance in Lentinus edodes. Experientia 1969, 25, 1237–1238. [Google Scholar] [CrossRef]
- Shimada, Y.; Yamakawa, A.; Morita, T.; Sugiyama, K. Effects of dietary eritadenine on the liver microsomal Δ6-desaturase activity and its mRNA in rats. Biosci. Biotechnol. Biochem. 2003, 66, 1605–1609. [Google Scholar] [CrossRef]
- Yamada, T.; Komoto, J.; Lou, K.; Ueki, A.; Hua, D.H.; Sugiyama, K.; Takata, Y.; Ogawa, H.; Takusagawa, F. Structure and function of eritadenine and its 3-deaza analogues: Potent inhibitors of S-adenosylhomocysteine hydrolase and hypocholesterolemic agents. Biochem. Pharmacol. 2007, 73, 981–989. [Google Scholar] [CrossRef]
- Fukada, S.L.; Setoue, M.; Morita, T.; Sugiyma, K. Dietary eritadenine suppresses guanidinoacetic acid-induced hyperhomocysteinemia in rats. J. Nutr. 2006, 136, 2797–2802. [Google Scholar] [CrossRef] [PubMed]
- Chen, X.; Zhong, H.Y.; Zeng, J.H.; Ge, J. The pharmacological effect of polysaccharides from Lentinus edodes on the oxidative status and expression of VCAM-1mRNA of thoracic aorta endothelial cell in high-fat-diet rats. Carbohydr. Polym. 2008, 74, 445–450. [Google Scholar]
- Dai, X.; Stanilka, J.M.; Rowe, C.A.; Esteves, E.A.; Nieves, C., Jr.; Spaiser, S.J.; Christman, M.C.; Langkamp-Henken, B.; Percival, S.S. Consuming Lentinula edodes (shiitake) mushrooms daily improves human immunity: A randomized dietary intervention in healthy young adults. J. Am. Coll. Nutr. 2015, 34, 478–487. [Google Scholar] [CrossRef] [PubMed]
- Mikhailichenko, N.V.; Kulagin, V.; Shio, T.; Takanari, J.; Wie, J.C.C. An open label trial of a standardized extract of cultured Lentinula edodes mycelia (ECLM) in children with refractory epilepsy. Funct. Foods Health Dis. 2019, 3, 145–156. [Google Scholar] [CrossRef]
- Ullah, M.I.; Akhtar, M.; Awais, M.M.; Anwar, M.I.; Khaliq, K. Evaluation of immunostimulatory and immunotherapeutic effects of tropical mushroom (Lentinus edodes) against cimeriasis in chicken. Trop. Anim. Health Prod. 2018, 50, 97–104. [Google Scholar] [CrossRef] [PubMed]
- Yamaguchi, Y.; Miyahara, E.; Hihara, J. Efficacy and safety of orally administered Lentinula edodes mycelia extract for patients undergoing chemotherapy: A pilot study. Am. J. Chin. Med. 2011, 39, 451–459. [Google Scholar] [CrossRef] [PubMed]
- Itoh, Y.; Kobayashi, Y.; Tanigawa, K. Improvement of QOL and immunological function with Lentinula edodes mycelia in patients undergoing cancer immunotherapy: An open pilot study. Altern. Ther. Health Med. 2016, 22, 36–42. [Google Scholar]
- Suzuki, S.; Ohshima, S. Influence of shiitake (Lentinus edodes) on human serum cholesterol. Mushroom Sci. 1976, 9, 463–467. [Google Scholar]
- Yamada, T.; Oinuma, T.; Niihashi, M.; Mitsumata, M.; Fujioka, T.; Hasegawa, K.; Nagaoka, H.; Itakura, H. Effects of Lentinus edodes mycelia on dietary-induced atherosclerotic involvement in rabbit aorta. J. Atheroscler. Thromb. 2002, 9, 149–156. [Google Scholar] [CrossRef]
- Yang, H.; Hwang, I.; Kim, S.; Hong, E.J.; Jeung, E.B. Lentinus edodes promotes fat removal in hypercholesterolemic mice. Exp. Ther. Med. 2013, 6, 1409–1413. [Google Scholar] [CrossRef]
- Yang, H.; Hwang, I.; Kim, S.; Ahn, C.; Hong, E.J.; Jeung, E.B. Preventive effects of Lentinus edodes on homocysteinemia in mice. Exp. Ther. Med. 2013, 6, 465–468. [Google Scholar] [CrossRef]
- Gil-Ramirez, A.; Caz, V.; Smiderle, F.R.; Martin-Hernandez, R.; Largo, C.; Tabernero, M.; Marin, F.R.; Iacomini, M.; Reglero, G.; Soler-Rivas, C. Water-soluble compounds from Lentinula edodes influencing the HMG-CoA reductase activity and the expression of genes involved in the cholesterol metabolism. J. Agric. Food Chem. 2016, 64, 1910–1920. [Google Scholar] [CrossRef] [PubMed]
- Morales, D.; Shetty, S.A.; Lόpez-Plaza, B.; Gόmez-Candela, C.; Smidt, H.; Marín, F.R.; Soler-Rivas, C. Modulation of human intestinal microbiota in a clinical trial by consumption of a ß-D-glucan-enriched extract obtained from Lentinula edodes. Eur. J. Nutr. 2021, 60, 3249–3265. [Google Scholar] [CrossRef]
- Spim, S.R.V.; Holtz Pistila, A.M.; Pickle, T.B.; Silva, M.T.; Grotto, D. Effects of Shiitake culinary-medicinal mushroom, Lentinus edodes (Agaricomycetes), bars on lipid and antioxidant profiles in individuals with borderline high cholesterol: A double-blind randomized clinical trial. Int. J. Med. Mushrooms 2021, 23, 1–12. [Google Scholar] [CrossRef] [PubMed]
- Elhusseiny, S.M.; El-Mahdy, T.S.; Awad, M.F.; Elleboudy, N.S.; Farag, M.M.S.; Yassein, M.A.; Aboshanab, K.M. Proteome analysis and in vitro antiviral, anticancer and antioxidant capacities of the aqueous extracts of Lentinula edodes and Pleurotus ostreatus edible mushrooms. Molecules 2021, 26, 4623. [Google Scholar] [CrossRef]
- Saif, A.; Wende, K.; Lindequist, U. In vitro bone inducing effects of Lentinula edodes (shiitake) water extract on human osteoblastic cell cultures. Nat. Prod. Bioprospecting 2013, 3, 282–287. [Google Scholar] [CrossRef]
- Erjavec, I.; Brkljacic, J.; Vukicevic, S.; Jakopovic, B.; Jakopovich, I. Mushroom extracts decrease bone resorption and improve bone formation. Int. J. Med. Mushrooms 2016, 18, 559–569. [Google Scholar] [CrossRef]
- Lee, S.; Choi, E.; Yang, S.M.; Ryoo, R.; Moon, E.; Kim, S.H.; Kim, K.H. Ethyl acetate fraction of aqueous extract of Lentinula edodes inhibits osteoclastogenesis by suppressing NFATc1 expression. Int. J. Mol. Sci. 2020, 21, 1347. [Google Scholar] [CrossRef]
- Lee, D.H.; Han, D.W.; Park, B.J.; Baek, H.S.; Takatori, K.; Aihara, M.; Tsubaki, K.; Park, J. The influences of ß-glucan associated with BMP7 on MC3T3-E1 proliferation and osteogenic differentiation. Key Eng. Mater. 2005, 288–289, 241–244. [Google Scholar] [CrossRef]
- Rincão, V.P.; Yamamoto, K.A.; Ricardo, N.M.; Soares, S.A.; Meirelles, L.D.; Nozawa, C.; Linhares, R.E. Polysaccharide and extracts from Lentinula edodes: Structural features and antiviral activity. Virol. J. 2012, 9, 37. [Google Scholar] [CrossRef]
- Elhusseiny, S.M.; El-Mahdy, T.S.; Elleboudy, N.S.; Yahia, I.S.; Farag, M.M.S.; Ismail, N.S.M.; Yassien, M.A.; Aboshanab, K.M. In vitro anti SARS-CoV-2 activity and docking analysis of Pleurotus ostreatus, Lentinula edodes and Agaricus bisporus edible mushrooms. Infect. Drug Resist. 2022, 15, 3459–3475. [Google Scholar] [CrossRef] [PubMed]
- Kuroki, T.; Lee, S.; Hirohama, M.; Taku, T.; Kumakura, M.; Haruyama, T.; Nagata, K.; Kawaguchi, A. Inhibition of influenza virus infection by Lentinus edodes mycelia extract through its direct action and immunopotentiating activity. Front. Microbiol. 2018, 9, 1164. [Google Scholar] [CrossRef]
- Zhang, Y.; Zhang, G.; Ling, J. Medicinal fungi with antiviral effect. Molecules 2022, 27, 4457. [Google Scholar] [CrossRef]
- Di Pierro, F.; Bertuccioli, A.; Cavecchia, I. Possible therapeutic role of a highly standardized mixture of active compounds derived from cultured Lentinula edodes mycelia (AHCC) in patients infected with 2019 novel coronavirus. Minerva Gastroenterol. Dietol. 2020, 66, 172–176. [Google Scholar] [CrossRef]
- Shin, M.S.; Park, H.J.; Maeda, T.; Nishioka, H.; Fujii, H.; Kang, I. The effects of AHCC®, a standardized extract of cultured Lentinula edodes mycelia, on natural killer and T cells in health and disease. J. Immunol. Res. 2019, 19, 3758576. [Google Scholar]
- Avinash, J.; Vinay, S.; Jha, K.; Das, D.; Goutham, B.S.; Kumar, G. The unexplored anticaries potential of shiitake mushroom. Pharmacogn. Rev. 2016, 10, 100–104. [Google Scholar]
- Lingström, P.; Zaura, E.; Hassan, H.; Buijs, M.J.; Hedelin, P.; Pralten, J.; Spratt, D.; Dagila, M.; Karbowiak, A.; Signoretto, C.; et al. The anticaries effect of a food extract (shiitake) in a short-term clinical study. J. Biomed. Biotechnol. 2012, 2012, 217164. [Google Scholar] [CrossRef] [PubMed]
- Lee, J.I.; Oh, J.H.; Karadeniz, F.; Park, S.Y.; Kim, H.R.; Jo, H.J.; Jung, K.I.; Jeon, B.J.; Kong, C.S. Lentinula edodes extract inhibits matrix metalloproteinase expression and increases type I procollagen expression via the p38 MAPK/c-Fos signaling pathway in ultraviolet A and B-irradiated HaCaT keratinocytes. Asian Pac. J. Trop. Biomed. 2020, 11, 164–173. [Google Scholar]
- Taofiq, O.; Heleno, S.A.; Calhelha, R.C.; Alves, M.J.; Barros, L.; Barreiro, M.F.; González-Paramás, A.M. Ferreira, C.F.R. Development of mushroom-based cosmeceutical formulations with anti-inflammatory, anti-tyrosinase, antioxidant, and antibacterial properties. Molecules 2016, 21, 1372. [Google Scholar] [CrossRef] [PubMed]
- Nguyen, A.H.; Gonzaga, M.I.; Lim, V.M.; Adler, M.J.; Mitkov, M.V.; Cappel, M.A. Clinical features of shiitake dermatitis: A systematic review. Int. J. Dermatol. 2017, 56, 610–616. [Google Scholar] [CrossRef] [PubMed]
- Ng, G.H.; Teoh, L.Y.; Teh, M.S.; Jamaris, S.; See, M.H. A case series of intestinal obstruction secondary to shiitake mushroom intake during Chinese New Year. J. Surg. Case Rep. 2020, 10, rjaa328. [Google Scholar] [CrossRef]
- Mattila, P.; Suonpää, K.; Piironen, V. Functional properties of edible mushrooms. Nutrition 2000, 16, 694–696. [Google Scholar] [CrossRef]
- Anwar, H.; Suchodolski, J.S.; Ullah, M.I.; Hussain, G.; Shabbir, M.Z.; Mustafa, I.; Sohail, M.U. Shiitake culinary-medicinal mushroom, Lentinus edodes (Agaricomycetes), supplementation alters gut microbiome and corrects dyslipidemia in rats. Int. J. Med. Mushrooms 2019, 21, 79–88. [Google Scholar] [CrossRef]
- Kala, K.; Krakowska, A.; Szewczyk, A.; Ostachowicz, B.; Szczurek, K.; Fijałkowska, A.; Muszyńska, B. Determining the amount of potentially bioavailable phenolic compounds and bioelements in edible mushroom mycelia of Agaricus bisporus, Cantharellus cibarius, and Lentinula edodes. Food Chem. 2021, 352, 129456. [Google Scholar] [CrossRef]
- Drori, A.; Shabat, Y.; Ya’acov, A.B.; Danay, O.; Levanon, D.; Zolotarov, L.; Ilan, Y. Extracts from Lentinula edodes (shiitake) edible mushrooms with vitamin D exert an anti-inflammatory hepatoprotective effect. J. Med. Food 2016, 19, 383–389. [Google Scholar] [CrossRef] [PubMed]
- Zocher, K.; Banaschik, R.; Kolb, J.; Lindequist, U. Enhancing the compound extraction yield from Lentinula edodes by pulsed electric field treatment. Int. J. Med. Mushrooms 2020, 22, 1225–1235. [Google Scholar] [CrossRef] [PubMed]
- Gründemann, C.; Garcia-Käufer, M.; Sauer, B.; Scheer, R.; Merdivan, S.; Bettin, P.; Huber, R.; Lindequist, U. Comparative biological and chemical investigations of β-glucan containing products from Shiitake mushrooms. J. Funct. Food 2015, 18, 692–702. [Google Scholar] [CrossRef]
- Lindequist, U. The merit of medicinal mushrooms from a pharmaceutical point of view. Int. J. Med. Mushrooms 2013, 15, 517–523. [Google Scholar] [CrossRef] [PubMed]
- EFSA. Scientific opinion on the safety of ”Lentinus edodes extract” (Lentinex®) as a novel food ingredient. EFSA J. 2010, 8, 1685. [Google Scholar] [CrossRef]
- Gaullier, J.M.; Sleboda, J.; Ofjord, E.S.; Ulvestad, E.; Nurminiemi, M.; Moe, C.; Albrektsen, T.; Gudmundsen, O. Supplementation with a soluble beta-glucan exported from shiitake medicinal mushroom, Lentinus edodes (Berk.) Singer mycelium: A crossover, placebo-controlled study in healthy elderly. Int. J. Med. Mushrooms 2011, 13, 319–326. [Google Scholar] [CrossRef] [PubMed]
- Aldwinckle, J.; Kristiansen, B. A quality-of-life study in healthy adults supplemented with Lentinex® beta.glucan of shiitake culinary-medicinal mushroom, Lentinus edodes (Agaricomycetes). Int. J. Med. Mushrooms 2020, 22, 407–415. [Google Scholar] [CrossRef]



| Substance | Content | Remarks |
|---|---|---|
| Dry matter | 8.4–20.2 g/100 g FW | |
| Total dietary fiber | 32.4% of dry matter | high content of insoluble fiber including chitin |
| Ash | 4.3–6.7 g/100 g DW | |
| Energy | 33.2–77.2 kcal/100 g FW | |
| Crude protein | 4.4–21.4 g/100 g DW | |
| Essential amino acids | 32.0% of total amino acids | |
| Free amino acids | 1.25–3.16 g/100 g DW | affect taste of fresh mushrooms |
| Crude fat | 0.9–6.3 g/100 g DW | |
| Polyunsaturated fatty acids | 82.0% of total fatty acids | |
| Carbohydrates | 67.9–87.2 g/100 g DW | |
| Soluble sugars and polyols | Caps: 111.6 g/100 g DW Stipes: 125.0 g/100 g DW Dried powder: 38.3 g/100 g DW | |
| Ergosterol | 217–495 mg/100 g DW | precursor of vitamin D2 |
| Tocopherols | 5.4–32.3 µg/100 g DW | |
| Vitamin C | 25 mg/100 g DW | |
| Vitamin B1 | 0.6 mg/100 g DW | |
| Vitamin B2 | 1.8 mg/100 g DW | |
| Vitamin B12 | 0.8–5.6µg/100 g DW | |
| Folates | 0.3–0.66 mg/100 g DW | |
| Niacin/niacinamid | 31 mg/100 g DW | |
| 5’-Nucleotides | 2.42 g/100 g DW | |
| Monophosphates of 5’-guanosine, 5’inosine and 5’xanthosine | 48% of 5’-Nucleotides | affect taste of fresh mushrooms |
| Substance Group | Substance | Activity and/or other Properties | References |
|---|---|---|---|
| Polysaccharides | Lentinan | Immunomodulating | [12,25] |
| Proteins | Ledodin | Atypical ribosome-inactivating protein; Cytotoxic | [26] |
| Lentin, a 27.5 KDa protein | Antifungal; Inhibition of HIV-1 reverse transcriptase; Inhibition of proliferation of leukemia cells | [27] | |
| Amino acids (additionally to proteinogenic amino acids) | Ergothioneine | Antioxidative | [28] |
| γ-Amino butyric acid (GABA) | Neurotransmitter | [24] | |
| Nucleotide derivatives | Eritadenine (lentinacin, lentysin); Desoxyeritadenine. | Antilipidemic; Inhibits angiotensin converting enzyme (ACE); Reduces homocysteine level | [24,29,30,31] |
| Cyclic-sulfur-containing compounds | 1,2,4-Trithiolan, arising from the non-volatile lentinic acid; 1,2,3,4,5,6-Hexathiocycloheptan (hexathiepan); 1,2,3,5,6-Pentathiepan (lentionin); 1,2,4,6-Tetrathiepan. | Main odor substance | [12,24,32] |
| Phenolics | p-Hydroxybenzoic acid; Vanillic acid; Syringic acid; p-Coumaric acid; Further Polyphenols. | Antioxidative | [11,24,31,33] |
Disclaimer/Publisher’s Note: The statements, opinions and data contained in all publications are solely those of the individual author(s) and contributor(s) and not of MDPI and/or the editor(s). MDPI and/or the editor(s) disclaim responsibility for any injury to people or property resulting from any ideas, methods, instructions or products referred to in the content. |
© 2024 by the author. Licensee MDPI, Basel, Switzerland. This article is an open access article distributed under the terms and conditions of the Creative Commons Attribution (CC BY) license (https://creativecommons.org/licenses/by/4.0/).
Share and Cite
Lindequist, U. Medicinal Mushrooms as Multicomponent Mixtures—Demonstrated with the Example of Lentinula edodes. J. Fungi 2024, 10, 153. https://doi.org/10.3390/jof10020153
Lindequist U. Medicinal Mushrooms as Multicomponent Mixtures—Demonstrated with the Example of Lentinula edodes. Journal of Fungi. 2024; 10(2):153. https://doi.org/10.3390/jof10020153
Chicago/Turabian StyleLindequist, Ulrike. 2024. "Medicinal Mushrooms as Multicomponent Mixtures—Demonstrated with the Example of Lentinula edodes" Journal of Fungi 10, no. 2: 153. https://doi.org/10.3390/jof10020153
APA StyleLindequist, U. (2024). Medicinal Mushrooms as Multicomponent Mixtures—Demonstrated with the Example of Lentinula edodes. Journal of Fungi, 10(2), 153. https://doi.org/10.3390/jof10020153
