Green Veterinary Pharmacology for Honey Bee Welfare and Health: Origanum heracleoticum L. (Lamiaceae) Essential Oil for the Control of the Apis mellifera Varroatosis
Abstract
:1. Introduction
2. Materials and Methods
2.1. Plant Material and Extraction Technique
2.2. Gas Chromatography-Mass Spectrometry (GC-MS) Analyses
2.3. Acute Toxicity towards the Mites
2.4. Fumigant Toxicity towards the Mites
2.5. Repellent Effect of the EO towards the Mites
2.6. Honey Bee Workers: Toxicity Evaluation
2.7. Statistical Analysis
3. Results
3.1. Phytochemical Profile
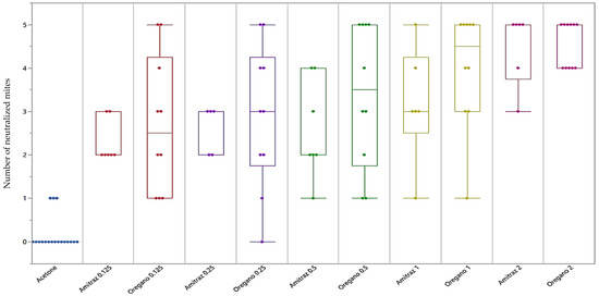
3.2. Acute Toxicity
3.3. Fumigant Toxicity
3.4. Repellent Activity
4. Discussion
5. Conclusions
Author Contributions
Funding
Institutional Review Board Statement
Informed Consent Statement
Data Availability Statement
Conflicts of Interest
References
- Anderson, D.L.; Trueman, J.W.H. Varroa jacobsoni (Acari: Varroidae) is more than one species. Exp. Appl. Acarol. 2000, 24, 165–189. [Google Scholar] [CrossRef] [PubMed]
- Techer, M.A.; Rane, R.V.; Grau, M.L.; Roberts, J.M.K.; Sullivan, S.T.; Liachko, I.; Childers, A.K.; Evans, J.D.; Mikheyev, A.S. Divergent evolutionary trajectories following speciation in two ectoparasitic honey bee mites. Commun. Biol. 2019, 2, 357. [Google Scholar] [CrossRef] [PubMed] [Green Version]
- Eliash, N.; Mikheyev, A. Varroa mite evolution: A neglected aspect of worldwide bee collapses? Curr. Opin. Insect Sci. 2020, 39, 21–26. [Google Scholar] [CrossRef] [PubMed]
- Neumann, P.; Carreck, N.L. Honey bee colony losses. J. Apic. Res. 2010, 49, 1–6. [Google Scholar] [CrossRef] [Green Version]
- Reyes-Quintana, M.; Espinosa-Montaño, L.G.; Prieto-Merlos, D.; Koleoglu, G.; Petukhova, T.; Correa-Benítez, A.; Guzman-Novoa, E. Impact of Varroa destructor and deformed wing virus on emergence, cellular immunity, wing integrity and survivorship of Africanized honey bees in Mexico. J. Invertebr. Pathol. 2019, 164, 43–48. [Google Scholar] [CrossRef]
- Francis, R.M.; Nielsen, S.L.; Kryger, P. Varroa-Virus Interaction in Collapsing Honey Bee Colonies. PLoS ONE 2013, 8, e57540. [Google Scholar] [CrossRef] [Green Version]
- Barroso-Arévalo, S.; Fernández-Carrión, E.; Goyache, J.; Molero, F.; Puerta, F.; Sánchez-Vizcaíno, J.M. High load of deformed wing virus and Varroa destructor infestation are related to weakness of honey bee colonies in Southern Spain. Front. Microbiol. 2019, 10, 1331. [Google Scholar] [CrossRef]
- Locke, B.; Forsgren, E.; Fries, I.; de Miranda, J.R. Acaricide treatment affects viral dynamics in Varroa destructor-infested honey bee colonies via both host physiology and mite control. Appl. Environ. Microbiol. 2012, 78, 227–235. [Google Scholar] [CrossRef] [Green Version]
- Van der Steen, J.; Vejsnæs, F. Varroa Control: A Brief Overview of Available Methods. Bee World 2021, 98, 50–56. [Google Scholar] [CrossRef]
- De Mattos, I.M.; Soares, A.E.E.; Tarpy, D.R. Effects of synthetic acaricides on honey bee grooming behavior against the parasitic Varroa destructor mite. Apidologie 2017, 48, 483–494. [Google Scholar] [CrossRef] [Green Version]
- Lambert, O.; Piroux, M.; Puyo, S.; Thorin, C.; L’Hostis, M.; Wiest, L.; Buleté, A.; Delbac, F.; Pouliquen, H. Widespread Occurrence of Chemical Residues in Beehive Matrices from Apiaries Located in Different Landscapes of Western France. PLoS ONE 2013, 8, e67007. [Google Scholar] [CrossRef] [PubMed]
- Bogdanov, S. Contaminants of bee products. Apidologie 2006, 37, 1–18. [Google Scholar] [CrossRef] [Green Version]
- Chmiel, J.A.; Daisley, B.A.; Pitek, A.P.; Thompson, G.J.; Reid, G. Understanding the Effects of Sublethal Pesticide Exposure on Honey Bees: A Role for Probiotics as Mediators of Environmental Stress. Front. Ecol. Evol. 2020, 8, 22. [Google Scholar] [CrossRef] [Green Version]
- Dai, P.; Jack, C.J.; Mortensen, A.N.; Bustamante, T.A.; Ellis, J.D. Chronic toxicity of amitraz, coumaphos and fluvalinate to Apis mellifera L. larvae reared in vitro. Sci. Rep. 2018, 8, 5635. [Google Scholar] [CrossRef] [Green Version]
- Pettis, J.S.; Lichtenberg, E.M.; Andree, M.; Stitzinger, J.; Rose, R.; Van Engelsdorp, D. Crop Pollination Exposes Honey Bees to Pesticides Which Alters Their Susceptibility to the Gut Pathogen Nosema ceranae. PLoS ONE 2013, 8, e70182. [Google Scholar] [CrossRef]
- Cutler, C. Pesticides in Honey Bee Hives in the Maritime Provinces: Residue Levels and Interactions with Varroa Mites and Nosema in Colony Stress; Project NS0315CO; Dalhousie University: Halifax, NS, Canada, 2013. [Google Scholar]
- O’Neal, S.T.; Brewster, C.C.; Bloomquist, J.R.; Anderson, T.D. Amitraz and its metabolite modulate honey bee cardiac function and tolerance to viral infection. J. Invertebr. Pathol. 2017, 149, 119–126. [Google Scholar] [CrossRef] [Green Version]
- Fisher, A.; Rangel, J. Exposure to pesticides during development Negatively affects honey bee (Apis mellifera) Drone sperm viability. PLoS ONE 2018, 13, e208630. [Google Scholar] [CrossRef]
- Papežíková, I.; Palíková, M.; Kremserová, S.; Zachová, A.; Peterová, H.; Babák, V.; Navrátil, S. Effect of oxalic acid on the mite Varroa destructor and its host the honey bee Apis mellifera. J. Apic. Res. 2017, 56, 400–408. [Google Scholar] [CrossRef]
- Schneider, S.; Eisenhardt, D.; Rademacher, E. Sublethal effects of oxalic acid on Apis mellifera (Hymenoptera: Apidae): Changes in behaviour and longevity. Apidologie 2012, 43, 218–225. [Google Scholar] [CrossRef] [Green Version]
- Panini, M.; Reguzzi, M.C.; Chiesa, O.; Cominelli, F.; Lupi, D.; Moores, G.; Mazzoni, E. Pyrethroid resistance in Italian populations of the mite Varroa destructor: A focus on the Lombardy region. Bull. Insectology 2019, 72, 227–232. [Google Scholar]
- Sara Hernández-Rodríguez, C.; Marín, Ó.; Calatayud, F.; Mahiques, M.J.; Mompó, A.; Segura, I.; Simó, E.; González-Cabrera, J. Large-Scale Monitoring of Resistance to Coumaphos, Amitraz, and Pyrethroids in Varroa destructor. Insects 2021, 12, 27. [Google Scholar] [CrossRef]
- Higes, M.; Martín-Hernández, R.; Sara Hernández-Rodríguez, C.; González-Cabrera, J. Assessing the resistance to acaricides in Varroa destructor from several Spanish locations. Parasitol. Res. 2020, 119, 3595–3601. [Google Scholar] [CrossRef] [PubMed]
- Rinkevich, F.D. Detection of amitraz resistance and reduced treatment efficacy in the Varroa Mite, Varroa destructor, within commercial beekeeping operations. PLoS ONE 2020, 15, e0227264. [Google Scholar] [CrossRef] [PubMed] [Green Version]
- Bava, R.; Castagna, F.; Piras, C.; Musolino, V.; Lupia, C.; Palma, E.; Britti, D.; Musella, V. Entomopathogenic Fungi for Pests and Predators Control in Beekeeping. Vet. Sci. 2022, 9, 95. [Google Scholar] [CrossRef]
- Bava, R.; Castagna, F.; Piras, C.; Palma, E.; Cringoli, G.; Musolino, V.; Lupia, C.; Perri, M.R.; Statti, G.; Britti, D.; et al. In vitro evaluation of acute toxicity of five Citrus spp. Essential oils towards the parasitic mite Varroa destructor. Pathogens 2021, 10, 1182. [Google Scholar] [CrossRef]
- Dhifi, W.; Bellili, S.; Jazi, S.; Bahloul, N.; Mnif, W. Essential Oils’ Chemical Characterization and Investigation of Some Biological Activities: A Critical Review. Medicines 2016, 3, 25. [Google Scholar] [CrossRef] [PubMed] [Green Version]
- Ghavam, M.; Manca, M.L.; Manconi, M.; Bacchetta, G. Chemical composition and antimicrobial activity of essential oils obtained from leaves and flowers of Salvia hydrangea DC. ex Benth. Sci. Rep. 2020, 10, 15647. [Google Scholar] [CrossRef]
- Pusceddu, M.; Floris, I.; Mangia, N.P.; Angioni, A.; Satta, A. In vitro activity of several essential oils extracted from aromatic plants against Ascosphaera apis. Vet. Sci. 2021, 8, 80. [Google Scholar] [CrossRef]
- Bedini, S.; Flamini, G.; Girardi, J.; Cosci, F.; Conti, B. Not just for beer: Evaluation of spent hops (Humulus lupulus L.) as a source of eco-friendly repellents for insect pests of stored foods. J. Pest Sci. 2015, 88, 583–592. [Google Scholar] [CrossRef]
- Bedini, S.; Flamini, G.; Cosci, F.; Ascrizzi, R.; Benelli, G.; Conti, B. Cannabis sativa and Humulus lupulus essential oils as novel control tools against the invasive mosquito Aedes albopictus and fresh water snail Physella acuta. Ind. Crops Prod. 2016, 85, 318–323. [Google Scholar] [CrossRef] [Green Version]
- Liu, B.; Guo, Z.Y.; Bussmann, R.; Li, F.F.; Li, J.Q.; Hong, L.Y.; Long, C.L. Ethnobotanical approaches of traditional medicine studies in Southwest China: A literature review. J. Ethnopharmacol. 2016, 186, 343–350. [Google Scholar] [CrossRef] [PubMed]
- Gregorc, A.; Planinc, I. The control of Varroa destructor in honey bee colonies using the thymol-based acaricide—Apiguard. Am. Bee J. 2005, 145, 672–675. [Google Scholar]
- Conti, B.; Bocchino, R.; Cosci, F.; Ascrizzi, R.; Flamini, G.; Bedini, S. Essential oils against Varroa destructor: A soft way to fight the parasitic mite of Apis mellifera. J. Apic. Res. 2020, 59, 774–782. [Google Scholar] [CrossRef]
- Kirschner, J.J.H. Ietswaart A taxonomic revision of the genus Origanum (labiatae). Folia Geobot. Phytotaxon. 1981, 16, 390. [Google Scholar] [CrossRef]
- Peter, K.V. Handbook of Herbs and Spices; Elsevier: Amsterdam, The Netherlands, 2004; Volume 2. [Google Scholar]
- Leyva-López, N.; Gutiérrez-Grijalva, E.P.; Vazquez-Olivo, G.; Heredia, J.B. Essential oils of oregano: Biological activity beyond their antimicrobial properties. Molecules 2017, 22, 989. [Google Scholar] [CrossRef] [Green Version]
- World Checklist of Lamiaceae (Origanum). Available online: https://wcsp.science.kew.org/namedetail.do?name_id=143731 (accessed on 29 January 2022).
- Pignatti, S. Flora d’Italia; Edagricole: Bologna, Italy, 1982; Volume 2. [Google Scholar]
- Conforti, F.; Marrelli, M.; Menichini, F.; Tundis, R.; Statti, G.A.; Solimene, U.; Menichini, F. Chemical composition and protective effect of oregano (Origanum heracleoticum L.) ethanolic extract on oxidative damage and on inhibition of NO in LPS-stimulated RAW 264.7 macrophages. J. Enzym. Inhib. Med. Chem. 2011, 26, 404–411. [Google Scholar] [CrossRef]
- Marrelli, M.; Araniti, F.; Abenavoli, M.R.; Statti, G.; Conforti, F. Potential health benefits of Origanum heracleoticum essential oil: Phytochemical and biological variability among different calabrian populations. Nat. Prod. Commun. 2018, 13, 1183–1187. [Google Scholar] [CrossRef] [Green Version]
- Sivropoulou, A.; Papanikolaou, E.; Nikolaou, C.; Kokkini, S.; Lanaras, T.; Arsenakis, M. Antimicrobial and cytotoxic activities of Origanum essential oils. J. Agric. Food Chem. 1996, 44, 1202–1205. [Google Scholar] [CrossRef]
- La Pergola, A.; Restuccia, C.; Napoli, E.; Bella, S.; Brighina, S.; Russo, A.; Suma, P. Commercial and wild Sicilian Origanum vulgare essential oils: Chemical composition, antimicrobial activity and repellent effects. J. Essent. Oil Res. 2017, 29, 451–460. [Google Scholar] [CrossRef]
- Xie, Y.; Huang, Q.; Rao, Y.; Hong, L.; Zhang, D. Efficacy of Origanum vulgare essential oil and carvacrol against the housefly, Musca domestica L. (Diptera: Muscidae). Environ. Sci. Pollut. Res. 2019, 26, 23824–23831. [Google Scholar] [CrossRef]
- Sabahi, Q.; Gashout, H.; Kelly, P.G.; Guzman-Novoa, E. Continuous release of oregano oil effectively and safely controls Varroa destructor infestations in honey bee colonies in a northern climate. Exp. Appl. Acarol. 2017, 72, 263–275. [Google Scholar] [CrossRef] [PubMed] [Green Version]
- Dietemann, V.; Nazzi, F.; Martin, S.J.; Anderson, D.L.; Locke, B.; Delaplane, K.S.; Wauquiez, Q.; Tannahill, C.; Frey, E.; Ziegelmann, B.; et al. Standard methods for Varroa research. J. Apic. Res. 2013, 52, 1–54. [Google Scholar] [CrossRef] [Green Version]
- Perri, M.R.; Marrelli, M.; Statti, G.; Conforti, F. Olea europaea bud extracts: Inhibitory effects on pancreatic lipase and α-amylase activities of different cultivars from Calabria region (Italy). Plant Biosyst. 2020, 1–7. [Google Scholar] [CrossRef]
- Gashout, H.A.; Guzmán-Novoa, E. Acute toxicity of Essential oils and other natural compounds to the parasitic mite, Varroa destructor, and to larval and adult worker honey bees (Apis mellifera L.). J. Apic. Res. 2009, 48, 263–269. [Google Scholar] [CrossRef]
- Lide, D.R. (Ed.) CRC Handbook of Chemistry and Physics, 88th ed Editor-in-Chief: David R. Lide (National Institute of Standards and Technology). J. Am. Chem. Soc. 2008, 130, 382. [Google Scholar] [CrossRef]
- Le Conte, Y.; Arnold, G.; Desenfant, P. Influence of brood temperature and hygrometry variations on the development of the honey bee ectoparasite Varroa jacobsoni (Mesostigmata: Varroidae). Environ. Entomol. 1990, 19, 1780–1785. [Google Scholar] [CrossRef]
- Kraus, B.; Velthuis, H.H.W. High humidity in the honey bee (Apis mellifera L.) brood nest limits reproduction of the parasitic mite Varroa jacobsoni Oud. Naturwissenschaften 1997, 84, 217–218. [Google Scholar] [CrossRef] [Green Version]
- Ruffinengo, S.; Eguaras, M.; Floris, I.; Faverin, C.; Bailac, P.; Ponzi, M. LD50 and repellent effects of essential oils from argentinian wild plant species on Varroa destructor. J. Econ. Entomol. 2005, 98, 651–655. [Google Scholar] [CrossRef]
- Kraus, B.; Koeniger, N.; Fuchs, S. Screening of substances for their effect on Varroa jacobsoni: Attractiveness, repellency, toxicity and masking effects of ethereal oils. J. Apic. Res. 1994, 33, 34–43. [Google Scholar] [CrossRef]
- Williams, G.R.; Alaux, C.; Costa, C.; Csaki, T.; Doublet, V.; Eisenhardt, D.; Fries, I.; Kuhn, R.; McMahon, D.P.; Medrzycki, P. Standard methods for maintaining adult Apis mellifera in cages under in vitro laboratory conditions. J. Apic. Res. 2013, 52, 1–36. [Google Scholar] [CrossRef] [Green Version]
- Lin, Z.; Su, X.; Wang, S.; Ji, T.; Hu, F.L.; Zheng, H.Q. Fumigant toxicity of eleven Chinese herbal essential oils against an ectoparasitic mite (Varroa destructor) of the honey bee (Apis mellifera). J. Apic. Res. 2020, 59, 204–210. [Google Scholar] [CrossRef]
- Kostić, I.; Lazarević, J.; Jovanović, D.Š.; Kostić, M.; Marković, T.; Milanović, S. Potential of essential oils from anise, dill and fennel seeds for the gypsy moth control. Plants 2021, 10, 2194. [Google Scholar] [CrossRef]
- Jumbo, L.O.V.; Haddi, K.; Faroni, L.R.D.; Heleno, F.F.; Pinto, F.G.; Oliveira, E.E. Toxicity to, oviposition and population growth impairments of Callosobruchus maculatus exposed to clove and cinnamon essential oils. PLoS ONE 2018, 13, e207618. [Google Scholar] [CrossRef]
- Ansari, M.J.; Al-Ghamdi, A.; Usmani, S.; Khan, K.A.; Alqarni, A.S.; Kaur, M.; Al-Waili, N. In vitro evaluation of the effects of some plant essential oils on Ascosphaera apis, the causative agent of Chalkbrood disease. Saudi J. Biol. Sci. 2017, 24, 1001–1006. [Google Scholar] [CrossRef] [Green Version]
- Hýbl, M.; Bohatá, A.; Rádsetoulalová, I.; Kopecký, M.; Hoštičková, I.; Vaníčková, A.; Mráz, P. Evaluating the Efficacy of 30 Different Essential Oils against Varroa destructor and Honey Bee Workers (Apis mellifera). Insects 2021, 12, 1045. [Google Scholar] [CrossRef]
- Milani, N. Activity of oxalic and citric acids on the mite Varroa destructor in laboratory assays. Apidologie 2001, 32, 127–138. [Google Scholar] [CrossRef] [Green Version]
- Romo-Chacón, A.; Martínez-Contreras, L.J.; Molina-Corral, F.J.; Acosta-Muñiz, C.H.; Ríos-Velasco, C.; De León-Door, A.P.; Rivera, R. Evaluation of Oregano (Lippia berlandieri) Essential Oil and Entomopathogenic Fungi for Varroa destructor Control in Colonies of Honey Bee, Apis mellifera. BioOne 2016, 41, 971–982. [Google Scholar] [CrossRef]
- Gal, H.; Slabezki, Y.; Lensky, Y. A preliminary report on the effect of Origanum oil and thymol applications in honey bee (Apis mellifera L.) colonies in a subtropical climate on population levels of Varroa jacobsoni. Bee Sci. 1992, 2, 175–180. [Google Scholar]
- Imdorf, A.; Bogdanov, S.; Ochoa, R.I.; Calderone, N.W. Use of essential oils for the control of Varroa jacobsoni Oud. in honey bee colonies. Apidologie 1999, 30, 209–228. [Google Scholar] [CrossRef] [Green Version]
- Cetin, H.; Cilek, J.E.; Aydin, L.; Yanikoglu, A. Acaricidal effects of the essential oil of Origanum minutiflorum (Lamiaceae) against Rhipicephalus turanicus (Acari: Ixodidae). Vet. Parasitol. 2009, 160, 359–361. [Google Scholar] [CrossRef]
- Perrucci, S.; Macchioni, G.; Cioni, P.L.; Flamini, G.; Morelli, I. Structure/activity relationship of some natural monoterpenes as acaricides against Psoroptes cuniculi. J. Nat. Prod. 1995, 58, 1261–1264. [Google Scholar] [CrossRef]
- Lee, B.H.; Annis, P.C.; Tumaalii, F.; Choi, W.S. Fumigant toxicity of essential oils from the Myrtaceae family and 1,8-cineole against 3 major stored-grain insects. J. Stored Prod. Res. 2004, 40, 553–564. [Google Scholar] [CrossRef]
- Lipiński, Z.; Szubstarski, J. Resistance of Varroa destructor to most commonly used synthetic acaricides. Pol. J. Vet. Sci. 2007, 10, 289–294. [Google Scholar]
- Maggi, M.D.; Ruffinengo, S.R.; Negri, P.; Eguaras, M.J. Resistance phenomena to amitraz from populations of the ectoparasitic mite Varroa destructor of Argentina. Parasitol. Res. 2010, 107, 1189–1192. [Google Scholar] [CrossRef]
- Ramzi, H.; Ismaili, M.R.; Aberchane, M.; Zaanoun, S. Chemical characterization and acaricidal activity of Thymus satureioides C. & B. and Origanum elongatum E. & M. (Lamiaceae) essential oils against Varroa destructor Anderson & Trueman (Acari: Varroidae). Ind. Crops Prod. 2017, 108, 201–207. [Google Scholar] [CrossRef]
- Castagna, F.; Piras, C.; Palma, E.; Musolino, V.; Lupia, C.; Bosco, A.; Rinaldi, L.; Cringoli, G.; Musella, V.; Britti, D. Green veterinary pharmacology applied to parasite control: Evaluation of Punica granatum, Artemisia campestris, Salix caprea aqueous macerates against gastrointestinal nematodes of sheep. Vet. Sci. 2021, 8, 237. [Google Scholar] [CrossRef]
- Glinski, Z.; Jarosz, J. Varroa jacobsoni as a carrier of bacterial infections to a recipient bee host. Apidologie 1992, 23, 25–31. [Google Scholar] [CrossRef] [Green Version]
- Chen, Y.; Pettis, J.S.; Evans, J.D.; Kramer, M.; Feldlaufer, M.F. Transmission of Kashmir bee virus by the ectoparasitic mite Varroa destructor. Apidologie 2004, 35, 441–448. [Google Scholar] [CrossRef] [Green Version]
- Posada-Florez, F.; Ryabov, E.V.; Heerman, M.C.; Chen, Y.; Evans, J.D.; Sonenshine, D.E.; Cook, S.C. Varroa destructor mites vector and transmit pathogenic honey bee viruses acquired from an artificial diet. PLoS ONE 2020, 15, e242688. [Google Scholar] [CrossRef]
- De Miranda, J.R.; Genersch, E. Deformed wing virus. J. Invertebr. Pathol. 2010, 103, S48–S61. [Google Scholar] [CrossRef]
- Santillán-Galicia, M.T.; Ball, B.V.; Clark, S.J.; Alderson, P.G. Transmission of deformed wing virus and slow paralysis virus to adult bees (Apis mellifera L.) by Varroa destructor. J. Apic. Res. 2010, 49, 141–148. [Google Scholar] [CrossRef]



| Compound | Rt (a) | RAP (b) |
|---|---|---|
| Monoterpene hydrocarbons | ||
| Thujene | 6.337 | 1.2 |
| α-Pinene | 6.580 | 0.8 |
| Sabinene | 7.483 | 3.8 |
| β-pinene | 7.557 | 0.6 |
| Myrcene | 7.803 | 2.0 |
| α-Phellandrene | 8.117 | 0.2 |
| 3-Carene | 8.215 | Tr (c) |
| Terpinolene | 8.300 | Tr |
| 4-Carene | 8.449 | 1.4 |
| β-Ocimene | 8.735 | 2.2 |
| Limonene | 8.803 | 0.2 |
| α-Ocimene | 8.883 | 5.7 |
| γ-terpinene | 9.089 | 0.4 |
| α-Fenchene | 9.558 | 0.4 |
| 1,5,8-p-Menthatriene | 10.209 | 0.2 |
| Oxygenated monoterpenes | ||
| Linalool | 9.752 | 10.0 |
| Eucalyptol | 8.632 | 3.7 |
| 4-Thujanol | 9.300 | 0.2 |
| Terpinyl acetate | 10.918 | 0.4 |
| Linalool propionate | 11.107 | 6.6 |
| Methylthymol | 11.621 | 0.5 |
| Linalyl Acetate | 12.010 | 17.6 |
| Neryl acetate | 13.078 | 0.4 |
| Geranyl acetate | 13.278 | 0.7 |
| Sesquiterpenes | ||
| Copaene | 13.341 | Tr |
| Bourbonene | 13.427 | 0.7 |
| β-Caryophyllene | 13.678 | Tr |
| β-Selinene | 14.164 | 0.6 |
| α-caryophyllene | 14.187 | 0.7 |
| Alloaromadendrene | 14.239 | 0.2 |
| γ-cadinene | 14.353 | Tr |
| Calarene | 14.410 | Tr |
| β-Cubebene | 14.439 | Tr |
| Bicyclosesquiphellandrene | 14.456 | 3.6 |
| β-Bisabolene | 14.627 | 1.8 |
| Farnesene | 14.656 | Tr |
| δ-Cadinene | 14.810 | 0.3 |
| Concentration (mg/mL) | Oregano (O. heracleoticum) | Acetone (− control) | Amitraz (+ control) |
|---|---|---|---|
| 0.125 | 54 ± 31.3 | 3.16 ± 7.5 | 45.7 ± 9.8 |
| 0.25 | 58 ± 33.3 | 52 ± 11 | |
| 0.5 | 68 ± 32.9 | 51.4 ± 22.7 | |
| 1 | 80 ± 26.7 | 63.3 ± 26.6 | |
| 2 | 90.9 ± 10.4 | 90 ± 16.7 |
| Fumigation | 15 min | 30 min | 45 min | 90 min |
|---|---|---|---|---|
| O. heracleoticum EO | 12 ± 11 | 32 ± 11 | 72 ± 11 | 84 ± 16.7 |
| Oil | Wax + Oil | Pure Wax | Centre of the Tube | χ2 |
|---|---|---|---|---|
| O. heracleoticum EO | 35% | 45% | 20% | 0.42 p: 0.5186 |
Publisher’s Note: MDPI stays neutral with regard to jurisdictional claims in published maps and institutional affiliations. |
© 2022 by the authors. Licensee MDPI, Basel, Switzerland. This article is an open access article distributed under the terms and conditions of the Creative Commons Attribution (CC BY) license (https://creativecommons.org/licenses/by/4.0/).
Share and Cite
Castagna, F.; Bava, R.; Piras, C.; Carresi, C.; Musolino, V.; Lupia, C.; Marrelli, M.; Conforti, F.; Palma, E.; Britti, D.; et al. Green Veterinary Pharmacology for Honey Bee Welfare and Health: Origanum heracleoticum L. (Lamiaceae) Essential Oil for the Control of the Apis mellifera Varroatosis. Vet. Sci. 2022, 9, 124. https://doi.org/10.3390/vetsci9030124
Castagna F, Bava R, Piras C, Carresi C, Musolino V, Lupia C, Marrelli M, Conforti F, Palma E, Britti D, et al. Green Veterinary Pharmacology for Honey Bee Welfare and Health: Origanum heracleoticum L. (Lamiaceae) Essential Oil for the Control of the Apis mellifera Varroatosis. Veterinary Sciences. 2022; 9(3):124. https://doi.org/10.3390/vetsci9030124
Chicago/Turabian StyleCastagna, Fabio, Roberto Bava, Cristian Piras, Cristina Carresi, Vincenzo Musolino, Carmine Lupia, Mariangela Marrelli, Filomena Conforti, Ernesto Palma, Domenico Britti, and et al. 2022. "Green Veterinary Pharmacology for Honey Bee Welfare and Health: Origanum heracleoticum L. (Lamiaceae) Essential Oil for the Control of the Apis mellifera Varroatosis" Veterinary Sciences 9, no. 3: 124. https://doi.org/10.3390/vetsci9030124
APA StyleCastagna, F., Bava, R., Piras, C., Carresi, C., Musolino, V., Lupia, C., Marrelli, M., Conforti, F., Palma, E., Britti, D., & Musella, V. (2022). Green Veterinary Pharmacology for Honey Bee Welfare and Health: Origanum heracleoticum L. (Lamiaceae) Essential Oil for the Control of the Apis mellifera Varroatosis. Veterinary Sciences, 9(3), 124. https://doi.org/10.3390/vetsci9030124

