The Effects of Various Weather Conditions as a Potential Ischemic Stroke Trigger in Dogs
Abstract
1. Introduction
2. Materials and Methods
2.1. Canine Data Collection
2.2. Meteorological Exposures
2.3. Statistical Analysis
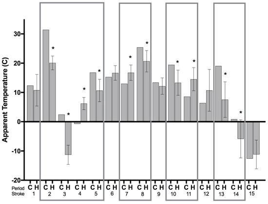
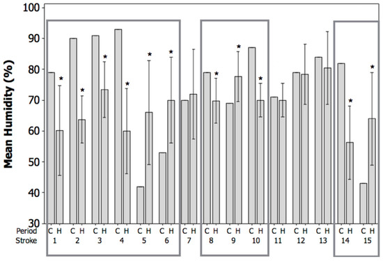
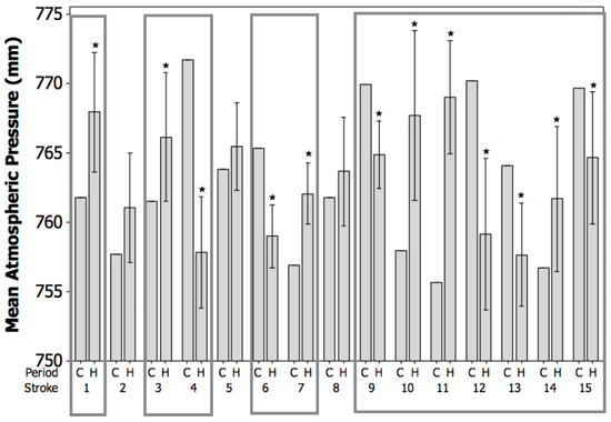
3. Results
4. Discussion
5. Conclusions
Acknowledgments
Author Contributions
Conflicts of Interest
References
- Donnan, G.A.; Fisher, M.; Macleod, M.; Davis, S.M. Stroke. Lancet 2008, 371, 1612–1623. [Google Scholar] [CrossRef]
- Moskowitz, M.A.; Lo, E.H.; Iadecola, C. The science of stroke: Mechanisms in search of treatments. Neuron 2010, 67, 181–198. [Google Scholar] [CrossRef] [PubMed]
- Broussalis, E.; Killer, M.; McCoy, M.; Harrer, A.; Trinka, E.; Kraus, J. Current therapies in ischemic stroke. Part A. Recent developments in acute stroke treatment and in stroke prevention. Drug Discov. Today 2012, 17, 296–309. [Google Scholar] [CrossRef] [PubMed]
- Neuhaus, A.A.; Rabie, T.; Sutherland, B.A.; Papadakis, M.; Hadley, G.; Cai, R.; Buchan, A.M. Importance of preclinical research in the development of neuroprotective strategies for ischemic stroke. JAMA Neurol. 2014, 71, 634–639. [Google Scholar] [CrossRef] [PubMed]
- Fluri, F.; Schuhmann, M.K.; Kleinschnitz, C. Animal models of ischemic stroke and their application in clinical research. Drug Des. Dev. Ther. 2015, 9, 3445–3454. [Google Scholar]
- Mozaffarian, D.; Benjamin, E.J.; Go, A.S.; Arnett, D.K.; Blaha, M.J.; Cushman, M.; Das, S.R.; De Ferranti, S.; Despres, J.P.; Fullerton, H.J.; et al. Heart Disease and Stroke Statistics-2016 Update: A Report from the American Heart Association. Circulation 2016, 133, e38–e360. [Google Scholar] [CrossRef] [PubMed]
- Durukan, A.; Tatlisumak, T. Acute ischemic stroke: Overview of major experimental rodent models, pathophysiology, and therapy of focal cerebral ischemia. Pharmacol. Biochem. Behav. 2007, 87, 179–197. [Google Scholar] [CrossRef] [PubMed]
- Altay, U.M.; Skerritt, G.C.; Hilbe, M.; Ehrensperger, F.; Steffen, F. Feline cerebrovascular disease: Clinical and histopathologic findings in 16 cats. J. Am. Anim. Hosp. Assoc. 2011, 47, 89–97. [Google Scholar] [CrossRef] [PubMed]
- Garosi, L.S. Cerebrovascular Disease in Dogs and Cats. Vet. Clin. N. Am. Small Anim. Pract. 2010, 40, 65–79. [Google Scholar] [CrossRef] [PubMed]
- Veterinary Information Network (VIN)—For Veterinarians, by Veterinarians. Available online: http://www.vin.com/ (accessed on 30 April 2016).
- DeLahunta, A.; Glass, E.; Kent, M. Veterinary Neuroanatomy and Clinical Neurology, 4th ed.; Elsevier: St. Louis, MO, USA, 2015. [Google Scholar]
- Henderson, V.W.; Lobo, R.A. Hormone therapy and the risk of stroke: Perspectives 10 years after the Women’s Health Initiative trials. Climact. J. Int. Menopause Soc. 2012, 15, 229–234. [Google Scholar] [CrossRef] [PubMed]
- Kalogeris, T.; Baines, C.P.; Krenz, M.; Korthuis, R.J. Cell biology of ischemia/reperfusion injury. Int. Rev. Cell Mol. Biol. 2012, 298, 229–317. [Google Scholar] [PubMed]
- Kelly-Hayes, M.; Wolf, P.A.; Kase, C.S.; Brand, F.N.; McGuirk, J.M.; D’Agostino, R.B. Temporal patterns of stroke onset the Framingham Study. Stroke 1995, 26, 1343–1347. [Google Scholar] [CrossRef] [PubMed]
- Mostofsky, E.; Wilker, E.H.; Schwartz, J.; Zanobetti, A.; Gold, D.R.; Wellenius, G.A.; Mittleman, M.A. Short-term changes in ambient temperature and risk of ischemic stroke. Cerebrovasc. Dis. Extra 2014, 4, 9–18. [Google Scholar] [CrossRef] [PubMed]
- Lichtman, J.H.; Leifheit-Limson, E.C.; Jones, S.B.; Wang, Y.; Goldstein, L.B. Average Temperature, Diurnal Temperature Variation, and Stroke Hospitalizations. J. Stroke Cerebrovasc. Dis. 2016, 25, 1489–1494. [Google Scholar] [CrossRef] [PubMed]
- Lian, H.; Ruan, Y.; Liang, R.; Liu, X.; Fan, Z. Short-Term Effect of Ambient Temperature and the Risk of Stroke: A Systematic Review and Meta-Analysis. Int. J. Environ. Res. Public Health 2015, 12, 9068–9088. [Google Scholar] [CrossRef] [PubMed]
- Cowperthwaite, M.C.; Burnett, M.G. An analysis of admissions from 155 United States hospitals to determine the influence of weather on stroke incidence. J. Clin. Neurosci. 2011, 18, 618–623. [Google Scholar] [CrossRef] [PubMed]
- Awano, T.; Johnson, G.S.; Wade, C.M.; Katz, M.L.; Johnson, G.C.; Taylor, J.F.; Perloski, M.; Biagi, T.; Baranowska, I.; Long, S.; et al. Genome-wide association analysis reveals a SOD1 mutation in canine degenerative myelopathy that resembles amyotrophic lateral sclerosis. Proc. Natl. Acad. Sci. USA 2009, 106, 2794–2799. [Google Scholar] [CrossRef] [PubMed]
- Coates, J.R.; Wininger, F.A. Canine Degenerative Myelopathy. Vet. Clin. North Am. Small Anim. Pract. 2010, 40, 929–950. [Google Scholar] [CrossRef] [PubMed]
- Crisp, M.J.; Beckett, J.; Coates, J.R.; Miller, T.M. Canine degenerative myelopathy: Biochemical characterization of superoxide dismutase 1 in the first naturally occurring non-human amyotrophic lateral sclerosis model. Exp. Neurol. 2013, 248, 1–9. [Google Scholar] [CrossRef] [PubMed]
- Gredal, H.; Skerritt, G.C.; Gideon, P.; Arlien-Soeborg, P.; Berendt, M. Spontaneous ischaemic stroke in dogs: Clinical topographic similarities to humans. Acta Neurol. Scand. 2013, 128, e11–e16. [Google Scholar] [CrossRef] [PubMed]
- Hoffman, J.M.; Creevy, K.E.; Promislow, D.E.L. Reproductive capability is associated with lifespan and cause of death in companion dogs. PLoS ONE 2013, 8, e61082. [Google Scholar] [CrossRef] [PubMed]
- Kandel, E.R. (Ed.) Principles of Neural Science, 5th ed.; McGraw-Hill: New York, NY, USA, 2013. [Google Scholar]
- Kumar, M.S.A. Clinically Oriented Anatomy of the Dog & Cat; Linus Publications-Incorporated: Ronkonkoma, NY, USA, 2013. [Google Scholar]
- National Oceanic and Atmospheric Administration|U.S. Department of Commerce. Available online: http://www.noaa.gov/ (accessed on 3 May 2016).
- Hong, Y.-C.; Rha, J.-H.; Lee, J.-T.; Ha, E.-H.; Kwon, H.-J.; Kim, H. Ischemic stroke associated with decrease in temperature. Epidemiology 2003, 14, 473–478. [Google Scholar] [CrossRef] [PubMed]
- Rakers, F.; Schiffnerm, R.; Rupprecht, S.; Brandstadt, A.; Witte, O.W.; Walther, M.; Schlattmann, P.; Schwab, M. Rapid weather changes are associated with increased ischemic stroke risk: A case-crossover study. Eur. J. Epidemiol. 2015, 31, 137–146. [Google Scholar] [CrossRef] [PubMed]
- Bacchetti, P.; Wolf, L.E.; Segal, M.R.; McCulloch, C.E. Ethics and sample size. Am. J. Epidemiol. 2005, 161, 105–110. [Google Scholar] [CrossRef] [PubMed]
- Halpern, S.D.; Karlawish, J.H.T.; Berlin, J.A. The continuing unethical conduct of underpowered clinical trials. JAMA 2002, 288, 358–362. [Google Scholar] [CrossRef] [PubMed]
- Handbook of Ethics in Quantitative Methodology, 1st ed.; Panter, A.T., Sterba, S.K., Eds.; Routledge: New York, NY, USA, 2011. [Google Scholar]
- Gomes, J.; Damasceno, A.; Carrilho, C.; Lobo, V.; Lopes, H.; Madede, T.; Pravinrai, P.; Silva-Matos, C.; Diogo, D.; Azevedo, A.; et al. Triggering of stroke by ambient temperature variation: A case-crossover study in Maputo, Mozambique. Clin. Neurol. Neurosurg. 2015, 129, 72–77. [Google Scholar] [CrossRef] [PubMed]
- Gunes, H.; Kandis, H.; Saritas, A.; Dikici, S.; Buyukkaya, R. The relationship between ischemic stroke and weather conditions in Duzce, Turkey. World J. Emerg. Med. 2015, 6, 207–211. [Google Scholar] [CrossRef] [PubMed]
- Brandstätter, E. Confidence intervals as an alternative to significance testing. Methods Psychol. Res. Online 1999, 4, 33–46. [Google Scholar]
- Fidler, F.; Thomason, N.; Cumming, G.; Finch, S.; Leeman, J. Editors can lead researchers to confidence intervals, but can’t make them think: Statistical reform lessons from medicine. Psychol. Sci. 2004, 15, 119–126. [Google Scholar] [CrossRef] [PubMed]
- Nuzzo, R. Scientific method: Statistical errors. Nature 2014, 506, 150–152. [Google Scholar] [CrossRef] [PubMed]
- Halsey, L.G.; Curran-Everett, D.; Vowler, S.L.; Drummond, G.B. The fickle P value generates irreproducible results. Nat. Methods 2015, 12, 179–185. [Google Scholar] [CrossRef] [PubMed]
- Krstić, G. Apparent temperature and air pollution vs. elderly population mortality in Metro Vancouver. PLoS ONE 2011, 6, e25101. [Google Scholar] [CrossRef] [PubMed]
- Kalkstein, L.S.; Valimont, K.M. An Evaluation of Summer Discomfort in the United State Using a Relative Climatological Index. Bull. Am. Meteorol. Soc. 1986, 67, 842–848. [Google Scholar] [CrossRef]
- Chiriboga, D.E.; Ma, Y.; Li, W.; Stanek, E.J.; Hebert, J.R.; Merriam, P.A.; Rawson, E.S.; Ockene, I.S. Seasonal and Sex Variation of High-Sensitivity C-Reactive Protein in Healthy Adults: A Longitudinal Study. Clin. Chem. 2009, 55, 313–321. [Google Scholar] [CrossRef] [PubMed]
- McAlindon, T.; Formica, M.; Schmid, C.H.; Fletcher, J. Changes in barometric pressure and ambient temperature influence osteoarthritis pain. Am. J. Med. 2007, 120, 429–434. [Google Scholar] [CrossRef] [PubMed]
- Smith, W.R.; Bauserman, R.L.; Ballas, S.K.; McCarthy, W.F.; Steinberg, M.H.; Swerdlow, P.S.; Waclawiw, M.A.; Barton, B.A.; The Investigators of the Multicenter Study of Hydroxyurea in Sickle Cell Anemia. Climatic and geographic temporal patterns of pain in the Multicenter Study of Hydroxyurea. Pain 2009, 146, 91–98. [Google Scholar] [CrossRef] [PubMed]
- Houck, P.D.; Lethen, J.E.; Riggs, M.W.; Gantt, D.S.; Dehmer, G.J. Relation of atmospheric pressure changes and the occurrences of acute myocardial infarction and stroke. Am. J. Cardiol. 2005, 96, 45–51. [Google Scholar] [CrossRef] [PubMed]
- Kyobutungi, C.; Grau, A.; Stieglbauer, G.; Becher, H. Absolute temperature, temperature changes and stroke risk: A case-crossover study. Eur. J. Epidemiol. 2005, 20, 693–698. [Google Scholar] [CrossRef] [PubMed]
- Coelho, F.M.S.; Santos, B.F.C.D.; Neto, M.C.; Lisboa, L.F.; Cypriano, A.S.; Lopes, T.O.; de Miranda, M.J.; Avila, M.H.; Alonso, J.B.; Pinto, H.S. Temperature variation in the 24 hours before the initial symptoms of stroke. Arq. Neuropsiquiatr. 2010, 68, 242–245. [Google Scholar] [CrossRef] [PubMed]
- Zhang, X.-J.; Ma, W.-P.; Zhao, N.-Q.; Wang, X.-L. Time series analysis of the association between ambient temperature and cerebrovascular morbidity in the elderly in Shanghai, China. Sci. Rep. 2016, 6, 19052. [Google Scholar] [CrossRef] [PubMed]
- Gomes, J.; Damasceno, A.; Carriho, C.; Lobo, V.; Lopes, H.; Madede, T.; Pravinrai, P.; Silca-Matos, C.; Diogo, D.; Azevedo, A.; et al. The effect of season and temperature variation on hospital admissions for incident stroke events in Maputo, Mozambique. J. Stroke Cerebrovasc. Dis. 2014, 23, 271–277. [Google Scholar] [CrossRef] [PubMed]
- Magalhães, R.; Silva, M.C.; Correia, M.; Bailey, T. Are stroke occurrence and outcome related to weather parameters? Results from a population-based study in northern portugal. Cerebrovasc. Dis. 2011, 32, 542–551. [Google Scholar] [CrossRef] [PubMed]
- Çevik, Y.; Doğan, N.Ö.; Daş, M.; Ahmedali, A.; Kul, S.; Bayram, H. The association between weather conditions and stroke admissions in Turkey. Int. J. Biometeorol. 2015, 59, 899–905. [Google Scholar] [CrossRef] [PubMed]
- Goggins, W.B.; Woo, J.; Ho, S.; Chan, E.Y.Y.; Chau, P.H. Weather, season, and daily stroke admissions in Hong Kong. Int. J. Biometeorol. 2012, 56, 865–872. [Google Scholar] [CrossRef] [PubMed]
- Halonen, J.I.; Zanobetti, A.; Sparrow, D.; Vokonas, P.S.; Schwartz, J. Outdoor temperature is associated with serum HDL and LDL. Environ. Res. 2011, 111, 281–287. [Google Scholar] [CrossRef] [PubMed]
- Zheng, D.; Arima, H.; Heeley, E.; Karpin, A.; Yang, J.; Chalmers, J.; Anderson, C.S.; The INTERACT investigators. Ambient temperature and volume of perihematomal edema in acute intracerebral haemorrhage: The INTERACT1 study. Int. J. Stroke 2015, 10, 25–27. [Google Scholar] [CrossRef] [PubMed]
- Lichtman, J.H.; Jones, S.B.; Wang, Y.; Leifheit-Limson, E.C.; Goldstein, L.B. Seasonal variation in 30-day mortality after stroke: Teaching versus nonteaching hospitals. Stroke J. Cereb. Circ. 2013, 44, 531–533. [Google Scholar] [CrossRef] [PubMed]
- Roberson, S.; Dutton, M.; Macdonald, M.; Odoi, A. Does Place of Residence or Time of Year Affect the Risk of Stroke Hospitalization and Death? A Descriptive Spatial and Temporal Epidemiologic Study. PLoS ONE 2016, 11, e0145224. [Google Scholar] [CrossRef] [PubMed]
- Kanikowska, D.; Sato, M.; Iwase, S.; Shimizu, Y.; Nishimura, N.; Inukai, Y.; Sugenoya, J. Effects of living at two ambient temperatures on 24-h blood pressure and neuroendocrine function among obese and non-obese humans: A pilot study. Int. J. Biometeorol. 2013, 57, 475–481. [Google Scholar] [CrossRef] [PubMed]
- Kanikowska, D.; Sugenoya, J.; Satom, M.; Shimizu, Y.; Inukai, Y.; Nishimura, N.; Iwase, S. Influence of season on plasma antidiuretic hormone, angiotensin II, aldosterone and plasma renin activity in young volunteers. Int. J. Biometeorol. 2010, 54, 243–248. [Google Scholar] [CrossRef] [PubMed]
- Kirsz, K.; Szczesna, M.; Molik, E.; Misztal, T.; Wojtowicz, A.K.; Zieba, D.A. Seasonal changes in the interactions among leptin, ghrelin, and orexin in sheep. J. Anim. Sci. 2012, 90, 2524–2531. [Google Scholar] [CrossRef] [PubMed]
- Kruse, H.-J.; Wieczorek, I.; Hecker, H.; Creutzig, A.; Schellong, S.M. Seasonal variation of endothelin-1, angiotensin II, and plasma catecholamines and their relation to outside temperature. J. Lab. Clin. Med. 2002, 140, 236–241. [Google Scholar] [CrossRef] [PubMed]
- Sato, M.; Kanikowska, D.; Sugenoya, J.; Inukai, Y.; Shimizu, Y.; Nishmura, N.; Iwase, S. Effects of aging on thermoregulatory responses and hormonal changes in humans during the four seasons in Japan. Int. J. Biometeorol. 2011, 55, 229–234. [Google Scholar] [CrossRef] [PubMed]
- Zhu, W.L.; Wang, Z.K. Seasonal changes in body mass, serum leptin levels and hypothalamic neuropeptide gene expression in male Eothenomys olitor. Comp. Biochem. Physiol. A Mol. Integr. Physiol. 2015, 184, 83–89. [Google Scholar]
- Bacchetti, P. Small sample size is not the real problem. Nat. Rev. Neurosci. 2013, 14, 585. [Google Scholar] [CrossRef] [PubMed]
- Quinlan, P.T. Misuse of power: In defence of small-scale science. Nat. Rev. Neurosci. 2013, 14, 585. [Google Scholar] [CrossRef] [PubMed]





| Demographics | Number of Dogs | Percentage | Mean (Range) |
|---|---|---|---|
| Age (years) | 10 (4–16) | ||
| Sex | |||
| Male (neutered) | 10 (9) | 67% | |
| Female (spayed) | 5 (5) | 33% | |
| Weight (kg) | 25 (5–52) | ||
| Breed | |||
| Mixed Breed | 3 | ||
| Labrador Retriever | 2 | ||
| Rhodesian Ridgeback | 2 | ||
| Boston Terrier | 2 | ||
| Greyhound | 2 | ||
| Australian Cattle Dog | 1 | ||
| Australian Shepherd | 1 | ||
| Bichon Frise | 1 | ||
| Silky Terrier | 1 |
| Stroke Number | Date | Temperature (°C) | Atmospheric Pressure (mmHg) | Humidity (%) | |||
|---|---|---|---|---|---|---|---|
| M | SD | M | SD | M | SD | ||
| 1 | 10 October 2011 | 14.58 | 4.92 | 767.14 | 4.82 | 62.50 | 15.98 |
| 2 | 25 July 2012 | 22.08 | 3.01 | 760.60 | 4.10 | 67.00 | 12.04 |
| 3 | 13 December 2013 | −3.82 | 4.78 | 765.52 | 4.91 | 75.63 | 10.98 |
| 4 | 7 May 2014 | 10.21 | 2.70 | 759.56 | 6.32 | 64.13 | 18.15 |
| 5 | 19 May 2014 | 15.14 | 3.40 | 765.21 | 3.20 | 63.00 | 18.91 |
| 6 | 9 June 2014 | 18.47 | 2.52 | 759.78 | 3.18 | 67.88 | 15.12 |
| 7 | 13 June 2014 | 18.06 | 2.61 | 761.40 | 2.84 | 71.75 | 14.59 |
| 8 | 8 September 2014 | 21.81 | 21.81 | 763.40 | 3.95 | 71.00 | 8.02 |
| 9 | 16 September 2014 | 14.38 | 14.38 | 765.46 | 3.01 | 76.63 | 8.73 |
| 10 | 28 September 2014 | 16.11 | 16.11 | 766.44 | 7.03 | 72.13 | 8.08 |
| 11 | 29 September 2014 | 16.25 | 16.25 | 767.14 | 4.82 | 70.13 | 5.41 |
| 12 | 20 October 2014 | 13.26 | 13.26 | 760.60 | 4.10 | 78.50 | 9.80 |
| 13 | 22 October 2014 | 12.29 | 12.29 | 765.52 | 4.91 | 80.88 | 11.81 |
| 14 | 24 November 2014 | 1.67 | 1.67 | 757.49 | 8.89 | 59.50 | 14.96 |
| 15 | 6 January 2015 | −4.65 | −4.65 | 759.56 | 6.32 | 61.38 | 16.73 |
© 2017 by the authors. Licensee MDPI, Basel, Switzerland. This article is an open access article distributed under the terms and conditions of the Creative Commons Attribution (CC BY) license (http://creativecommons.org/licenses/by/4.0/).
Share and Cite
Meadows, K.L.; Silver, G.M. The Effects of Various Weather Conditions as a Potential Ischemic Stroke Trigger in Dogs. Vet. Sci. 2017, 4, 56. https://doi.org/10.3390/vetsci4040056
Meadows KL, Silver GM. The Effects of Various Weather Conditions as a Potential Ischemic Stroke Trigger in Dogs. Veterinary Sciences. 2017; 4(4):56. https://doi.org/10.3390/vetsci4040056
Chicago/Turabian StyleMeadows, Kristy L., and Gena M. Silver. 2017. "The Effects of Various Weather Conditions as a Potential Ischemic Stroke Trigger in Dogs" Veterinary Sciences 4, no. 4: 56. https://doi.org/10.3390/vetsci4040056
APA StyleMeadows, K. L., & Silver, G. M. (2017). The Effects of Various Weather Conditions as a Potential Ischemic Stroke Trigger in Dogs. Veterinary Sciences, 4(4), 56. https://doi.org/10.3390/vetsci4040056

