Left Atrioventricular Coupling Index: An Echocardiographic Index of Atrioventricular Dysfunction in Dogs with Myxomatous Mitral Valve Disease
Simple Summary
Abstract
1. Introduction
2. Materials and Methods
2.1. Data Collection
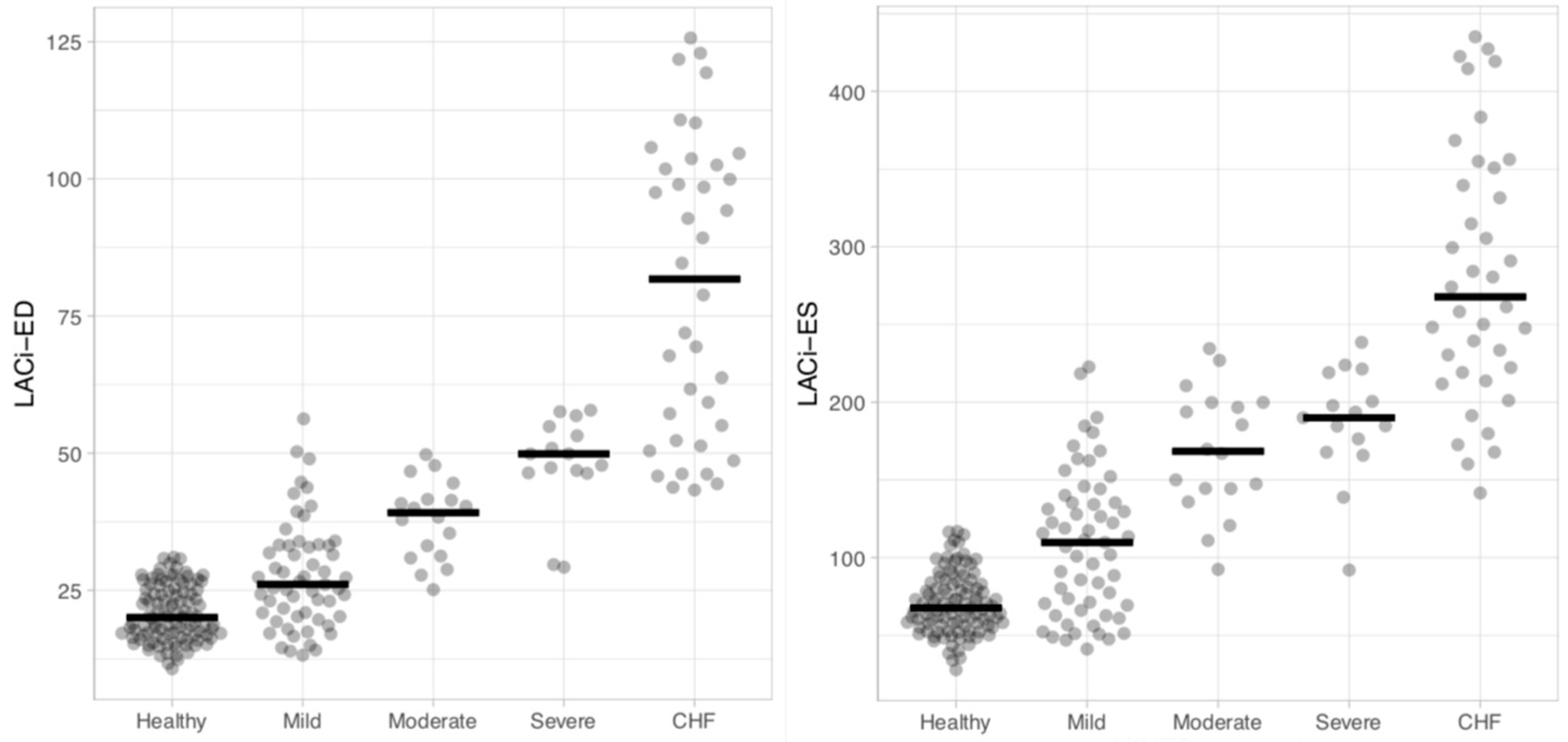
- LACi-ED (%) = LA end-diastolic volume (LAEDV)/LV end-diastolic volume (LVEDV) × 100.
- LACi-ES (%) = LA end-systolic volume (LAESV)/LV end-systolic volume (LVESV) × 100.
2.2. Statistical Analysis
3. Results
4. Discussion
5. Conclusions
Author Contributions
Funding
Institutional Review Board Statement
Informed Consent Statement
Data Availability Statement
Conflicts of Interest
References
- Keene, B.W.; Atkins, C.E.; Bonagura, J.D.; Fox, P.R.; Häggström, J.; Fuentes, V.L.; Oyama, M.A.; Rush, J.E.; Stepien, R.; Uechi, M. ACVIM consensus guidelines for the diagnosis and treatment of myxomatous mitral valve disease in dogs. J. Vet. Intern. Med. 2019, 33, 1127–1140. [Google Scholar] [CrossRef] [PubMed]
- Cornell, C.C.; Kittleson, M.D.; Della Torre, P.; Häggström, J.; Lombard, C.W.; Pedersen, H.D.; Vollmar, A.; Wey, A. Allometric scaling of M-mode cardiac measurements in normal adult dogs. J. Vet. Intern. Med. 2004, 18, 311–321. [Google Scholar] [CrossRef] [PubMed]
- Rishniw, M.; Caivano, D.; Dickson, D.; Vatne, L.; Harris, J.; Matos, J.N. Two-dimensional echocardiographic left- atrial-to-aortic ratio in healthy adult dogs: A reexamination of reference intervals. J. Vet. Cardiol. 2019, 26, 29–38. [Google Scholar] [CrossRef] [PubMed]
- Fortuni, F.; Biagioli, P.; Myagmardorj, R.; Mengoni, A.; Chua, A.P.; Zuchi, C.; Sforna, S.; Bax, J.; Ajmone Marsan, N.; Ambrosio, G.; et al. Left Atrioventricular Coupling Index: A Novel Diastolic Parameter to Refine Prognosis in Heart Failure. J. Am. Soc. Echocardiogr. 2024, 37, 1038–1046. [Google Scholar] [CrossRef] [PubMed]
- Benfari, G.; Essayagh, B.; Nistri, S.; Maalouf, J.; Rossi, A.; Thapa, P.; Michelena, H.I.; Enriquez-Sarano, M. Left Atrial Volumetric/Mechanical Coupling Index: A Novel Predictor of Outcome in Heart Failure with Reduced Ejection Fraction. Circ. Cardiovasc. Imaging 2021, 14, e011608. [Google Scholar] [CrossRef] [PubMed]
- Pezel, T.; Venkatesh, B.A.; De Vasconcellos, H.D.; Kato, Y.; Shabani, M.; Xie, E.; Heckbert, S.R.; Post, W.S.; Shea, S.J.; Allen, N.B.; et al. Left Atrioventricular Coupling Index as a Prognostic Marker of Cardiovascular Events: The MESA Study. Hypertension 2021, 78, 661–671. [Google Scholar] [CrossRef] [PubMed]
- Meucci, M.C.; Fortuni, F.; Galloo, X.; Bootsma, M.; Crea, F.; Bax, J.J.; Marsan, N.A.; Delgado, V. Left atrioventricular coupling index in hypertrophic cardiomyopathy and risk of new-onset atrial fibrillation. Int. J. Cardiol. 2022, 363, 87–93. [Google Scholar] [CrossRef] [PubMed]
- Savarino, P.; Crosara, S.; Poggi, M.; Oricco, S.; Chiavassa, V.; Degiovanni, A.; Tarducci, A. Left atrial volume and function in Cavalier King Charles spaniels at different ACVIM stages. Res. Vet. Sci. 2024, 180, 105428. [Google Scholar] [CrossRef] [PubMed]
- Patata, V.; Porciello, F.; Rishniw, M.; Caivano, D.; Corda, A.; Domenech, O.; Vezzosi, T.; Guglielmini, C.; Poser, H.; Spina, F.; et al. Diagnostic accuracy of right pulmonary vein to right pulmonary artery ratio to identify congestive heart failure in dogs affected by myxomatous mitral valve disease. J. Vet. Cardiol. 2025; submitted. [Google Scholar]
- Geffré, A.; Concordet, D.; Braun, J.P.; Trumel, C. Reference Value Advisor: A new freeware set of macroinstructions to calculate reference intervals with Microsoft Excel. Vet. Clin. Pathol. 2011, 40, 107–112. [Google Scholar] [CrossRef] [PubMed]
- Rishniw, M. A modified mitral insufficiency echocardiographic score differentiates severities of subclinical mitral valve disease. In Proceedings of the ECVIM-CA Congress, Maastricht, The Netherlands, 18–20 September 2025. [Google Scholar]
- Dong, T.X.; Li, S.W.; Pan, X.F.; Wang, C.F.; Liu, Y.; Wu, J.; Guan, X.P.; Zhang, S.L.; Zuo, P.F.; Liu, Y.L.; et al. Study Investigators. Normal Values of Echocardiographic Left Atrioventricular Coupling Index and Left Atrial Stiffness Index Reflecting Left Ventricular Diastolic Function: A Multicenter Study. J. Am. Soc. Echocardiogr. 2025, 38, 794–803. [Google Scholar] [CrossRef] [PubMed]
- Höllmer, M.; Willesen, J.L.; Tolver, A.; Koch, J. Left atrial volume and phasic function in clinically healthy dogs of 12 different breeds. Vet. J. 2013, 197, 639–645. [Google Scholar] [CrossRef] [PubMed]
- LeBlanc, N.; Scollan, K.; Sisson, D. Quantitative evaluation of left atrial volume and function by one-dimensional, two-dimensional, and three-dimensional echocardiography in a population of normal dogs. J. Vet. Cardiol. 2016, 18, 336–349. [Google Scholar] [CrossRef] [PubMed]
- Bouvard, J.; Thierry, F.; Culshaw, G.J.; Schwarz, T.; Handel, I.; Martinez Pereira, Y. Assessment of left atrial volume in dogs: Comparisons of two-dimensional and real-time three-dimensional echocardiography with ECG-gated multidetector computed tomography angiography. J. Vet. Cardiol. 2019, 24, 64–77. [Google Scholar] [CrossRef] [PubMed]
- Visser, L.C.; Ciccozzi, M.M.; Sintov, D.J.; Sharpe, A.N. Echocardiographic quantitation of left heart size and function in 122 healthy dogs: A prospective study proposing reference intervals and assessing repeatability. J. Vet. Intern. Med. 2019, 33, 1909–1920. [Google Scholar] [CrossRef] [PubMed]
- Wess, G.; Bauer, A.; Kopp, A. Echocardiographic reference intervals for volumetric measurements of the left ventricle using the Simpson’s method of discs in 1331 dogs. J. Vet. Intern. Med. 2021, 35, 724–738. [Google Scholar] [CrossRef] [PubMed]
- Bourguignon, C.; Caivano, D.; Dickson, D.; Vatne, L.; Harris, J.; Rishniw, M.; Pariaut, R. Two-dimensional echocardiographic estimates of left ventricular volumes obtained in different views in dogs provide similar measurements but are not interchangeable. J. Vet. Cardiol. 2021, 33, 13–24. [Google Scholar] [CrossRef] [PubMed]






| Healthy Dogs | Dogs with MMVD | |
|---|---|---|
| Number of dogs (male) | 105 (51) | 128 (59) |
| Age (years) | 4 (1–14) | 12 (5–17) |
| Body weight (kg) | 17 (3.8–45) | 9.6 (2.5–32.2) |
| Heart rate (bpm) | 11 (54–185) | 127 (63–200) |
| LA:Ao | 1.3 (1–1.7) | 2.1 (1.1–3.4) |
| LVIDDn | 1.41 (1.10–1.78) | 1.83 (1.26–2.55) |
| LAEDV (mL) | 8.97 (1.03–25.20) | 13.83 (2.57–131.50) |
| LAESV (mL) | 16.70 (1.80–40.97) | 24.78 (4.77–203.47) |
| LVEDV (mL) | 45 (4.03–118.47) | 35.40 (7.03–126.83) |
| LVESV (mL) | 35.71 (11.54–82.83) | 40.1 (9.27–126.83) |
| FS (%) | 36.2 (26.8–77.4) | 42.1 (26.9–70.6) |
| LACi-ED (%) | 20.03 (10.68–31.01) | 40.59 (13.17–125.68) |
| LACi-ES (%) | 67.68 (27.81–116.83) | 167.40 (41.17–435.07) |
| Variable | Lower Limit (90% CI 1) | Upper Limit (90% CI) |
|---|---|---|
| LACi-ED | 12.09% (CI 10.68–13.44) | 30.76% (CI 28.99–31.01) |
| LACi-ES | 34.88% (CI 27.81–42.07) | 115.34% (CI 106.62–116.83) |
| Variable | Threshold Value | Sensitivity (95% CI 1) | Specificity (95% CI) | Area Under the Curve |
|---|---|---|---|---|
| LACi-ED | 58.5 | 68 (51–82) | 100 (93–100) | 0.920 |
| LACi-ES | 200.8 | 84 (69–94) | 84 (72–93) | 0.906 |
| LA:Ao | 2.2 | 100 (91–100) | 69 (55–81) | 0.931 |
| LA+LV | 4.2 | 84 (69–94) | 77 (63–87) | 0.893 |
Disclaimer/Publisher’s Note: The statements, opinions and data contained in all publications are solely those of the individual author(s) and contributor(s) and not of MDPI and/or the editor(s). MDPI and/or the editor(s) disclaim responsibility for any injury to people or property resulting from any ideas, methods, instructions or products referred to in the content. |
© 2026 by the authors. Licensee MDPI, Basel, Switzerland. This article is an open access article distributed under the terms and conditions of the Creative Commons Attribution (CC BY) license.
Share and Cite
Valeri, F.; Porciello, F.; Rishniw, M.; Cupido, S.; Cicogna, M.; Corda, A.; Caivano, D. Left Atrioventricular Coupling Index: An Echocardiographic Index of Atrioventricular Dysfunction in Dogs with Myxomatous Mitral Valve Disease. Vet. Sci. 2026, 13, 201. https://doi.org/10.3390/vetsci13020201
Valeri F, Porciello F, Rishniw M, Cupido S, Cicogna M, Corda A, Caivano D. Left Atrioventricular Coupling Index: An Echocardiographic Index of Atrioventricular Dysfunction in Dogs with Myxomatous Mitral Valve Disease. Veterinary Sciences. 2026; 13(2):201. https://doi.org/10.3390/vetsci13020201
Chicago/Turabian StyleValeri, Federica, Francesco Porciello, Mark Rishniw, Simone Cupido, Maria Cicogna, Andrea Corda, and Domenico Caivano. 2026. "Left Atrioventricular Coupling Index: An Echocardiographic Index of Atrioventricular Dysfunction in Dogs with Myxomatous Mitral Valve Disease" Veterinary Sciences 13, no. 2: 201. https://doi.org/10.3390/vetsci13020201
APA StyleValeri, F., Porciello, F., Rishniw, M., Cupido, S., Cicogna, M., Corda, A., & Caivano, D. (2026). Left Atrioventricular Coupling Index: An Echocardiographic Index of Atrioventricular Dysfunction in Dogs with Myxomatous Mitral Valve Disease. Veterinary Sciences, 13(2), 201. https://doi.org/10.3390/vetsci13020201

