Proinflammatory Cytokines, Type I Interferons, and Specialized Proresolving Mediators Hallmark the Influence of Vaccination and Marketing on Backgrounded Beef Cattle
Simple Summary
Abstract
1. Introduction
2. Materials and Methods
2.1. Animal Use and Study Enrollment
2.2. Next-Generation RNA Sequencing and Bioinformatic Data Processing
2.3. Differential Expression and Gene Trajectory Analyses
3. Results
3.1. Differential Gene Expressions and Functional Enrichments
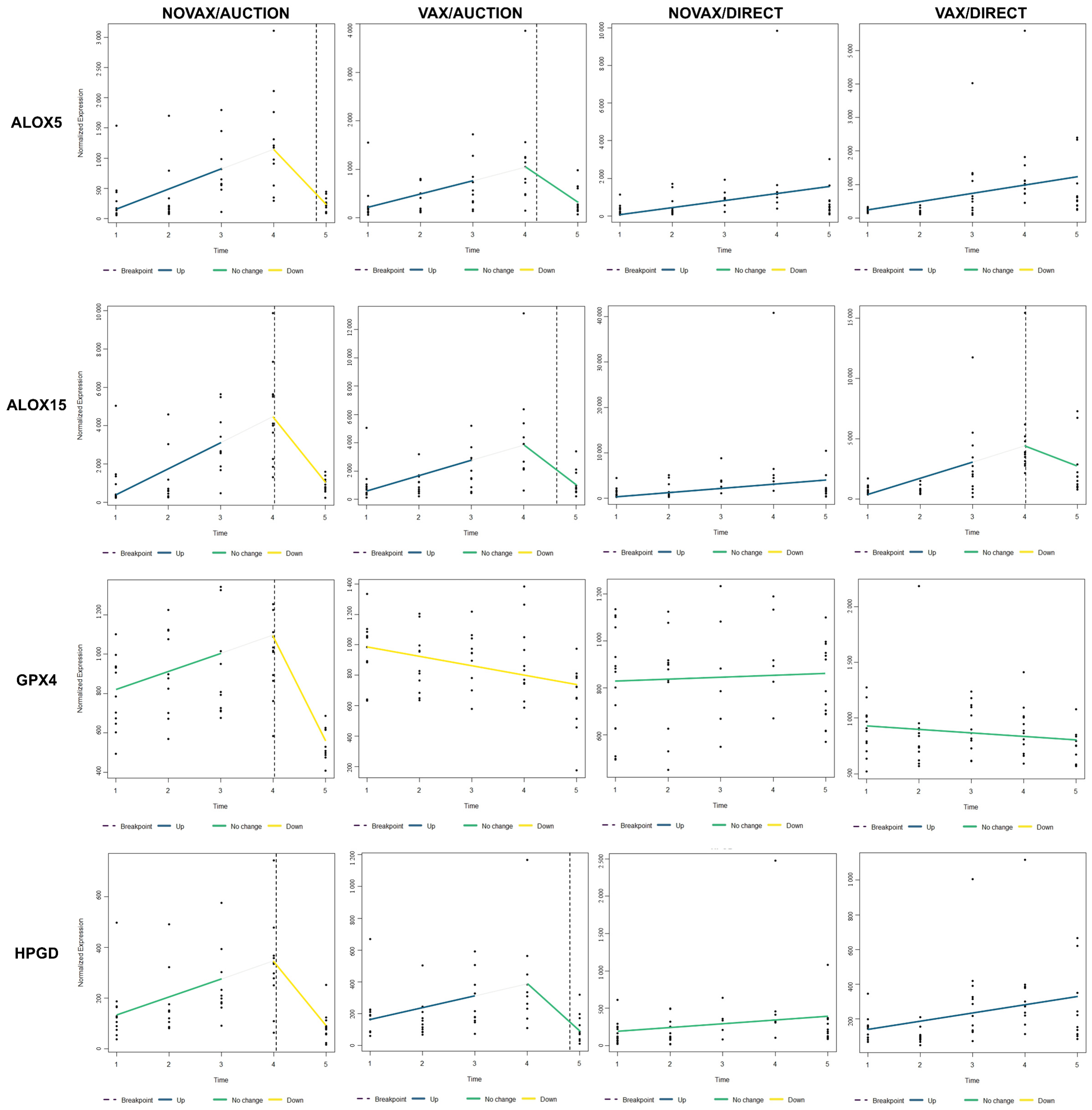
3.2. Trend-Wise and Breakpoint Gene Expression Analyses
4. Discussion
4.1. Marketing Strategy Is a Driver of Gene Expression at Backgrounding Entry
4.2. Vaccination Limits Immune Dysregulation in Auction Marketed Cattle
4.3. SPM-Related Genes Reflect Inflammatory Resolution Capacity
4.4. Study Limitations and Implications for Cattle Health and Production Systems
Supplementary Materials
Author Contributions
Funding
Institutional Review Board Statement
Informed Consent Statement
Data Availability Statement
Acknowledgments
Conflicts of Interest
References
- Groves, J.T.; Goldsmith, T.J.; Carlson, J.M. How Forces of a Complex Adaptive System Affect Ability to Control Bovine Respiratory Disease in Feeder Cattle. Vet. Clin. N. Am. Food Anim. Pr. 2022, 38, 295–316. [Google Scholar] [CrossRef]
- Calderón Bernal, J.M.; Fernández, A.; Arnal, J.L.; Baselga, C.; Benito Zuñiga, A.; Fernández-Garyzábal, J.F.; Vela Alonso, A.I.; Cid, D. Cluster Analysis of Bovine Respiratory Disease (BRD)-Associated Pathogens Shows the Existence of Two Epidemiological Patterns in BRD Outbreaks. Vet. Microbiol. 2023, 280, 109701. [Google Scholar] [CrossRef]
- Gaudino, M.; Nagamine, B.; Ducatez, M.F.; Meyer, G. Understanding the Mechanisms of Viral and Bacterial Coinfections in Bovine Respiratory Disease: A Comprehensive Literature Review of Experimental Evidence. Vet. Res. 2022, 53, 70. [Google Scholar] [CrossRef] [PubMed]
- Chen, S.-Y.; Negri Bernardino, P.; Fausak, E.; Van Noord, M.; Maier, G. Scoping Review on Risk Factors and Methods for the Prevention of Bovine Respiratory Disease Applicable to Cow–Calf Operations. Animals 2022, 12, 334. [Google Scholar] [CrossRef] [PubMed]
- Peel, D.S. The Effect of Market Forces on Bovine Respiratory Disease. Vet. Clin. N. Am. Food Anim. Pr. 2020, 36, 497–508. [Google Scholar] [CrossRef] [PubMed]
- Dubrovsky, S.A.; Van Eenennaam, A.L.; Karle, B.M.; Rossitto, P.V.; Lehenbauer, T.W.; Aly, S.S. Epidemiology of Bovine Respiratory Disease (BRD) in Preweaned Calves on California Dairies: The BRD 10K Study. J. Dairy Sci. 2019, 102, 7306–7319. [Google Scholar] [CrossRef]
- Taylor, J.D.; Fulton, R.W.; Lehenbauer, T.W.; Step, D.L.; Confer, A.W. The Epidemiology of Bovine Respiratory Disease: What Is the Evidence for Preventive Measures? Can. Vet. J. 2010, 51, 1351–1359. [Google Scholar]
- Cusack, P.; McMENIMAN, N.; Lean, I. The Medicine and Epidemiology of Bovine Respiratory Disease in Feedlots. Aust. Vet. J. 2003, 81, 480–487. [Google Scholar] [CrossRef]
- Fike, K.; Spire, M.F. Transportation of Cattle. Vet. Clin. N. Am. Food Anim. Pr. 2006, 22, 305–320. [Google Scholar] [CrossRef]
- Cernicchiaro, N.; White, B.J.; Renter, D.G.; Babcock, A.H.; Kelly, L.; Slattery, R. Associations between the Distance Traveled from Sale Barns to Commercial Feedlots in the United States and Overall Performance, Risk of Respiratory Disease, and Cumulative Mortality in Feeder Cattle during 1997 to 20091. J. Anim. Sci. 2012, 90, 1929–1939. [Google Scholar] [CrossRef]
- Cole, N.A.; Camp, T.H.; Rowe, L.D.; Stevens, D.G.; Hutcheson, D.P. Effect of Transport on Feeder Calves. Am. J. Vet. Res. 1988, 49, 178–183. [Google Scholar] [CrossRef]
- Hughes, H.D.; Carroll, J.A.; Sanchez, N.C.B.; Richeson, J.T. Natural Variations in the Stress and Acute Phase Responses of Cattle. Innate Immun. 2014, 20, 888–896. [Google Scholar] [CrossRef]
- Percie Du Sert, N.; Hurst, V.; Ahluwalia, A.; Alam, S.; Avey, M.T.; Baker, M.; Browne, W.J.; Clark, A.; Cuthill, I.C.; Dirnagl, U.; et al. The ARRIVE Guidelines 2.0: Updated Guidelines for Reporting Animal Research. PLoS Biol. 2020, 18, e3000410. [Google Scholar] [CrossRef]
- Scott, M.A.; Woolums, A.R.; Karisch, B.B.; Harvey, K.M.; Capik, S.F. Impact of Preweaning Vaccination on Host Gene Expression and Antibody Titers in Healthy Beef Calves. Front. Vet. Sci. 2022, 9, 1010039. [Google Scholar] [CrossRef]
- Green, M.M.; Woolums, A.R.; Karisch, B.B.; Harvey, K.M.; Capik, S.F.; Scott, M.A. Influence of the At-Arrival Host Transcriptome on Bovine Respiratory Disease Incidence during Backgrounding. Vet. Sci. 2023, 10, 211. [Google Scholar] [CrossRef] [PubMed]
- Zhao, S.; Li, C.-I.; Guo, Y.; Sheng, Q.; Shyr, Y. RnaSeqSampleSize: Real Data Based Sample Size Estimation for RNA Sequencing. BMC Bioinform. 2018, 19, 191. [Google Scholar] [CrossRef] [PubMed]
- Ewels, P.; Magnusson, M.; Lundin, S.; Käller, M. MultiQC: Summarize Analysis Results for Multiple Tools and Samples in a Single Report. Bioinformatics 2016, 32, 3047–3048. [Google Scholar] [CrossRef] [PubMed]
- Bolger, A.M.; Lohse, M.; Usadel, B. Trimmomatic: A Flexible Trimmer for Illumina Sequence Data. Bioinformatics 2014, 30, 2114–2120. [Google Scholar] [CrossRef]
- Kim, D.; Paggi, J.M.; Park, C.; Bennett, C.; Salzberg, S.L. Graph-Based Genome Alignment and Genotyping with HISAT2 and HISAT-Genotype. Nat. Biotechnol. 2019, 37, 907–915. [Google Scholar] [CrossRef]
- Li, H.; Handsaker, B.; Wysoker, A.; Fennell, T.; Ruan, J.; Homer, N.; Marth, G.; Abecasis, G.; Durbin, R.; 1000 Genome Project Data Processing Subgroup. The Sequence Alignment/Map Format and SAMtools. Bioinformatics 2009, 25, 2078–2079. [Google Scholar] [CrossRef]
- Kovaka, S.; Zimin, A.V.; Pertea, G.M.; Razaghi, R.; Salzberg, S.L.; Pertea, M. Transcriptome Assembly from Long-Read RNA-Seq Alignments with StringTie2. Genome Biol. 2019, 20, 278. [Google Scholar] [CrossRef] [PubMed]
- Pertea, M.; Kim, D.; Pertea, G.M.; Leek, J.T.; Salzberg, S.L. Transcript-Level Expression Analysis of RNA-Seq Experiments with HISAT, StringTie and Ballgown. Nat. Protoc. 2016, 11, 1650–1667. [Google Scholar] [CrossRef] [PubMed]
- Leek, J.T.; Johnson, W.E.; Parker, H.S.; Jaffe, A.E.; Storey, J.D. The Sva Package for Removing Batch Effects and Other Unwanted Variation in High-Throughput Experiments. Bioinformatics 2012, 28, 882–883. [Google Scholar] [CrossRef] [PubMed]
- Zhang, Y.; Parmigiani, G.; Johnson, W.E. ComBat-Seq: Batch Effect Adjustment for RNA-Seq Count Data. NAR Genom. Bioinform. 2020, 2, lqaa078. [Google Scholar] [CrossRef]
- Chen, Y.; Lun, A.T.L.; Smyth, G.K. From Reads to Genes to Pathways: Differential Expression Analysis of RNA-Seq Experiments Using Rsubread and the edgeR Quasi-Likelihood Pipeline. F1000Research 2016, 5, 1438. [Google Scholar] [CrossRef]
- Robinson, M.D.; Oshlack, A. A Scaling Normalization Method for Differential Expression Analysis of RNA-Seq Data. Genome Biol. 2010, 11, R25. [Google Scholar] [CrossRef]
- McCarthy, D.J.; Chen, Y.; Smyth, G.K. Differential Expression Analysis of Multifactor RNA-Seq Experiments with Respect to Biological Variation. Nucleic Acids Res. 2012, 40, 4288–4297. [Google Scholar] [CrossRef]
- Bu, D.; Luo, H.; Huo, P.; Wang, Z.; Zhang, S.; He, Z.; Wu, Y.; Zhao, L.; Liu, J.; Guo, J.; et al. KOBAS-i: Intelligent Prioritization and Exploratory Visualization of Biological Functions for Gene Enrichment Analysis. Nucleic Acids Res. 2021, 49, W317–W325. [Google Scholar] [CrossRef]
- Conway, J.R.; Lex, A.; Gehlenborg, N. UpSetR: An R Package for the Visualization of Intersecting Sets and Their Properties. Bioinformatics 2017, 33, 2938–2940. [Google Scholar] [CrossRef]
- Khan, A.; Mathelier, A. Intervene: A Tool for Intersection and Visualization of Multiple Gene or Genomic Region Sets. BMC Bioinform. 2017, 18, 287. [Google Scholar] [CrossRef]
- Bacher, R.; Leng, N.; Chu, L.-F.; Ni, Z.; Thomson, J.A.; Kendziorski, C.; Stewart, R. Trendy: Segmented Regression Analysis of Expression Dynamics in High-Throughput Ordered Profiling Experiments. BMC Bioinform. 2018, 19, 380. [Google Scholar] [CrossRef]
- Anders, S.; Huber, W. Differential Expression Analysis for Sequence Count Data. Nat. Preced. 2010. [Google Scholar] [CrossRef]
- Leng, N.; Dawson, J.A.; Thomson, J.A.; Ruotti, V.; Rissman, A.I.; Smits, B.M.G.; Haag, J.D.; Gould, M.N.; Stewart, R.M.; Kendziorski, C. EBSeq: An Empirical Bayes Hierarchical Model for Inference in RNA-Seq Experiments. Bioinformatics 2013, 29, 1035–1043. [Google Scholar] [CrossRef]
- Step, D.L.; Krehbiel, C.R.; DePra, H.A.; Cranston, J.J.; Fulton, R.W.; Kirkpatrick, J.G.; Gill, D.R.; Payton, M.E.; Montelongo, M.A.; Confer, A.W. Effects of Commingling Beef Calves from Different Sources and Weaning Protocols during a Forty-Two-Day Receiving Period on Performance and Bovine Respiratory Disease1,2. J. Anim. Sci. 2008, 86, 3146–3158. [Google Scholar] [CrossRef] [PubMed]
- Wiegand, J.B.; Cooke, R.F.; Brandão, A.P.; Schubach, K.M.; Colombo, E.A.; Sowers, C.; Duff, G.C.; Gouvêa, V.N. Impacts of Commingling on Health and Productive Responses of Beef Heifers during Feedlot Receiving. Transl. Anim. Sci. 2020, 4, S79–S83. [Google Scholar] [CrossRef] [PubMed]
- Wilson, B.K.; Step, D.L.; Maxwell, C.L.; Gifford, C.A.; Richards, C.J.; Krehbiel, C.R. Effect of Bovine Respiratory Disease during the Receiving Period on Steer Finishing Performance, Efficiency, Carcass Characteristics, and Lung Scores. Prof. Anim. Sci. 2017, 33, 24–36. [Google Scholar] [CrossRef] [PubMed]
- Timsit, E.; Dendukuri, N.; Schiller, I.; Buczinski, S. Diagnostic Accuracy of Clinical Illness for Bovine Respiratory Disease (BRD) Diagnosis in Beef Cattle Placed in Feedlots: A Systematic Literature Review and Hierarchical Bayesian Latent-Class Meta-Analysis. Prev. Vet. Med. 2016, 135, 67–73. [Google Scholar] [CrossRef]
- Kamel, M.S.; Davidson, J.L.; Verma, M.S. Strategies for Bovine Respiratory Disease (BRD) Diagnosis and Prognosis: A Comprehensive Overview. Animals 2024, 14, 627. [Google Scholar] [CrossRef]
- Behura, S.K.; Tizioto, P.C.; Kim, J.; Grupioni, N.V.; Seabury, C.M.; Schnabel, R.D.; Gershwin, L.J.; Van Eenennaam, A.L.; Toaff-Rosenstein, R.; Neibergs, H.L.; et al. Tissue Tropism in Host Transcriptional Response to Members of the Bovine Respiratory Disease Complex. Sci. Rep. 2017, 7, 17938. [Google Scholar] [CrossRef]
- Johnston, D.; Earley, B.; McCabe, M.S.; Kim, J.; Taylor, J.F.; Lemon, K.; Duffy, C.; McMenamy, M.; Cosby, S.L.; Waters, S.M. Messenger RNA Biomarkers of Bovine Respiratory Syncytial Virus Infection in the Whole Blood of Dairy Calves. Sci. Rep. 2021, 11, 9392. [Google Scholar] [CrossRef]
- Scott, M.A.; Woolums, A.R.; Swiderski, C.E.; Perkins, A.D.; Nanduri, B. Genes and Regulatory Mechanisms Associated with Experimentally-Induced Bovine Respiratory Disease Identified Using Supervised Machine Learning Methodology. Sci. Rep. 2021, 11, 22916. [Google Scholar] [CrossRef] [PubMed]
- Duff, G.C.; Galyean, M.L. BOARD-INVITED REVIEW: Recent Advances in Management of Highly Stressed, Newly Received Feedlot Cattle. J. Anim. Sci. 2007, 85, 823–840. [Google Scholar] [CrossRef] [PubMed]
- Laupèze, B.; Del Giudice, G.; Doherty, M.T.; Van Der Most, R. Vaccination as a Preventative Measure Contributing to Immune Fitness. NPJ Vaccines 2021, 6, 93. [Google Scholar] [CrossRef] [PubMed]
- Schumaher, T.F.; Cooke, R.F.; Brandão, A.P.; Schubach, K.M.; De Sousa, O.A.; Bohnert, D.W.; Marques, R.S. Effects of Vaccination Timing against Respiratory Pathogens on Performance, Antibody Response, and Health in Feedlot Cattle1. J. Anim. Sci. 2019, 97, 620–630. [Google Scholar] [CrossRef]
- Richeson, J.T.; Kegley, E.B.; Gadberry, M.S.; Beck, P.A.; Powell, J.G.; Jones, C.A. Effects of On-Arrival versus Delayed Clostridial or Modified Live Respiratory Vaccinations on Health, Performance, Bovine Viral Diarrhea Virus Type I Titers, and Stress and Immune Measures of Newly Received Beef Calves1. J. Anim. Sci. 2009, 87, 2409–2418. [Google Scholar] [CrossRef]
- Hay, K.E.; Barnes, T.S.; Morton, J.M.; Gravel, J.L.; Commins, M.A.; Horwood, P.F.; Ambrose, R.C.; Clements, A.C.A.; Mahony, T.J. Associations between Exposure to Viruses and Bovine Respiratory Disease in Australian Feedlot Cattle. Prev. Vet. Med. 2016, 127, 121–133. [Google Scholar] [CrossRef]
- Edwards, T.A. Control Methods for Bovine Respiratory Disease for Feedlot Cattle. Vet. Clin. N. Am. Food Anim. Pr. 2010, 26, 273–284. [Google Scholar] [CrossRef]
- Ye, L.; Ohnemus, A.; Ong, L.C.; Gad, H.H.; Hartmann, R.; Lycke, N.; Staeheli, P. Type I and Type III Interferons Differ in Their Adjuvant Activities for Influenza Vaccines. J. Virol. 2019, 93, e01262-19. [Google Scholar] [CrossRef]
- Zhong, C.; Liu, F.; Hajnik, R.J.; Yao, L.; Chen, K.; Wang, M.; Liang, Y.; Sun, J.; Soong, L.; Hou, W.; et al. Type I Interferon Promotes Humoral Immunity in Viral Vector Vaccination. J. Virol. 2021, 95, e00925-21. [Google Scholar] [CrossRef]
- Serhan, C.N. Pro-Resolving Lipid Mediators Are Leads for Resolution Physiology. Nature 2014, 510, 92–101. [Google Scholar] [CrossRef]
- Serhan, C.N.; Hong, S.; Gronert, K.; Colgan, S.P.; Devchand, P.R.; Mirick, G.; Moussignac, R.-L. Resolvins: A family of bioactive products of omega-3 fatty acid transformation circuits initiated by aspirin treatment that counter proinflammation signals. J. Exp. Med. 2002, 196, 1025–1037. [Google Scholar] [CrossRef]
- Serhan, C.N.; Yang, R.; Martinod, K.; Kasuga, K.; Pillai, P.S.; Porter, T.F.; Oh, S.F.; Spite, M. Maresins: Novel Macrophage Mediators with Potent Antiinflammatory and Proresolving Actions. J. Expl. Med. 2009, 206, 15–23. [Google Scholar] [CrossRef]
- Chiang, N.; Serhan, C.N. Specialized Pro-Resolving Mediator Network: An Update on Production and Actions. Essays Biochem. 2020, 64, 443–462. [Google Scholar] [CrossRef] [PubMed]
- Basil, M.C.; Levy, B.D. Specialized Pro-Resolving Mediators: Endogenous Regulators of Infection and Inflammation. Nat. Rev. Immunol. 2016, 16, 51–67. [Google Scholar] [CrossRef]







Disclaimer/Publisher’s Note: The statements, opinions and data contained in all publications are solely those of the individual author(s) and contributor(s) and not of MDPI and/or the editor(s). MDPI and/or the editor(s) disclaim responsibility for any injury to people or property resulting from any ideas, methods, instructions or products referred to in the content. |
© 2025 by the authors. Licensee MDPI, Basel, Switzerland. This article is an open access article distributed under the terms and conditions of the Creative Commons Attribution (CC BY) license (https://creativecommons.org/licenses/by/4.0/).
Share and Cite
McAllister, H.R.; Capik, S.F.; Harvey, K.M.; Ramirez, B.I.; Valeris-Chacin, R.J.; Woolums, A.R.; Karisch, B.B.; Morley, P.S.; Scott, M.A. Proinflammatory Cytokines, Type I Interferons, and Specialized Proresolving Mediators Hallmark the Influence of Vaccination and Marketing on Backgrounded Beef Cattle. Vet. Sci. 2025, 12, 834. https://doi.org/10.3390/vetsci12090834
McAllister HR, Capik SF, Harvey KM, Ramirez BI, Valeris-Chacin RJ, Woolums AR, Karisch BB, Morley PS, Scott MA. Proinflammatory Cytokines, Type I Interferons, and Specialized Proresolving Mediators Hallmark the Influence of Vaccination and Marketing on Backgrounded Beef Cattle. Veterinary Sciences. 2025; 12(9):834. https://doi.org/10.3390/vetsci12090834
Chicago/Turabian StyleMcAllister, Hudson R., Sarah F. Capik, Kelsey M. Harvey, Bradly I. Ramirez, Robert J. Valeris-Chacin, Amelia R. Woolums, Brandi B. Karisch, Paul S. Morley, and Matthew A. Scott. 2025. "Proinflammatory Cytokines, Type I Interferons, and Specialized Proresolving Mediators Hallmark the Influence of Vaccination and Marketing on Backgrounded Beef Cattle" Veterinary Sciences 12, no. 9: 834. https://doi.org/10.3390/vetsci12090834
APA StyleMcAllister, H. R., Capik, S. F., Harvey, K. M., Ramirez, B. I., Valeris-Chacin, R. J., Woolums, A. R., Karisch, B. B., Morley, P. S., & Scott, M. A. (2025). Proinflammatory Cytokines, Type I Interferons, and Specialized Proresolving Mediators Hallmark the Influence of Vaccination and Marketing on Backgrounded Beef Cattle. Veterinary Sciences, 12(9), 834. https://doi.org/10.3390/vetsci12090834

