Ex Vivo Pharmacokinetic/Pharmacodynamic Integration Model of Cefquinome Against Escherichia coli in Foals
Simple Summary
Abstract
1. Introduction
2. Materials and Methods
2.1. Drug Reagents and Organisms
2.2. Animals and Experimental Design
2.3. HPLC Analysis for Cefquinome Detection
2.4. Pharmacokinetic Analysis of Cefquinome
2.5. Determination of MIC
2.6. Measurement of Post-Antibiotic Effects
2.7. In Vitro Time–Kill Curves
2.8. Ex Vivo Time–Kill Curves
2.9. PK/PD Integration and Modeling
2.10. Monte Carlo Simulation
2.11. Estimation of Dosage Regimen
3. Results
3.1. Subsection Validation of the HPLC Method
3.2. Pharmacokinetic Parameters of Cefquinome in Foals
3.3. In Vitro Susceptibility Testing
3.4. Post-Antibiotic Effects
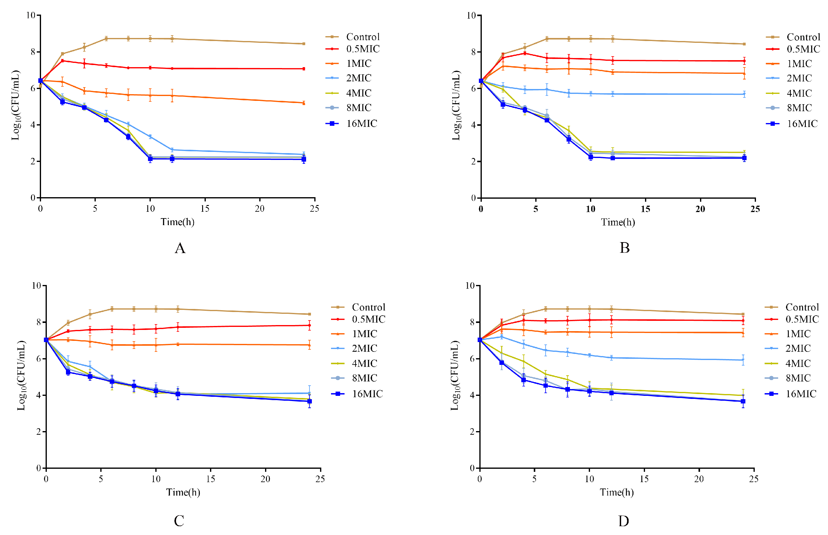
3.5. In Vitro Time–Kill Curve
3.6. Ex Vivo Time–Kill Curve
3.7. PK/PD Modeling
3.8. Outcomes of Monte Carlo Simulation
3.9. Dose Regimen Calculation
4. Discussion
5. Conclusions
Supplementary Materials
Author Contributions
Funding
Institutional Review Board Statement
Informed Consent Statement
Data Availability Statement
Conflicts of Interest
References
- Willis, A.T.; Magdesian, K.G.; Byrne, B.A.; Edman, J.M. Enterococcus infections in foals. Vet. J. 2019, 248, 42–47. [Google Scholar] [CrossRef]
- Grondahl, G.; Sternberg, S.; Jensen-Waern, M.; Johannisson, A. Opsonic capacity of foal serum for the two neonatal pathogens Escherichia coli and Actinobacillus equuli. Equine Vet. J. 2001, 33, 670–675. [Google Scholar] [CrossRef] [PubMed]
- Maddox, T.W.; Clegg, P.D.; Williams, N.J.; Pinchbeck, G.L. Antimicrobial resistance in bacteria from horses: Epidemiology of antimicrobial resistance. Equine Vet. J. 2015, 47, 756–765. [Google Scholar] [CrossRef] [PubMed]
- Mao, Y.; Chen, Y.; Liu, C.; He, X.; Zheng, Y.; Chen, X.; Wang, Y.; Chen, W.; Wu, Y.; Shen, Y.; et al. Cefquinome Sulfate Oily Nanosuspension Designed for Improving its Bioavailability in the Treatment of Veterinary Infections. Int. J. Nanomed. 2022, 17, 2535–2553. [Google Scholar] [CrossRef] [PubMed]
- Shantier, S.W. Review on the Characteristic, Properties and Analytical Methods of Cefquinomesulphate: Ss-lactam Veterinary Drug. Infect. Disord. Drug Targets 2020, 20, 27–32. [Google Scholar] [CrossRef]
- Gao, L.; Zhu, H.; Chen, Y.; Yang, Y. Antibacterial pathway of cefquinome against Staphylococcus aureus based on label-free quantitative proteomics analysis. J. Microbiol. 2021, 59, 1112–1124. [Google Scholar] [CrossRef]
- El-Tahawy, A.O.; Said, A.A.; Shams, G.A.; Hassan, H.M.; Hassan, A.M.; Amer, S.A.; El-Nabtity, S.M. Evaluation of cefquinome’s efficacy in controlling avian colibacillosis and detection of its residues using high performance liquid chromatography (HPLC). Saudi J. Biol. Sci. 2022, 29, 3502–3510. [Google Scholar] [CrossRef]
- Lee, D.H.; Birhanu, B.T.; Lee, E.B.; Lee, S.J.; Boby, N.; Park, Y.S.; Park, S.C. Pharmacokinetic and pharmacodynamic integration for optimal dosage of cefquinome against Streptococcus equi subsp. equi in foals. Vet. Res. 2020, 51, 131. [Google Scholar] [CrossRef]
- Dunkel, B.; Johns, I.C. Antimicrobial use in critically ill horses. J. Veter Emerg. Crit. Care 2015, 25, 89–100. [Google Scholar] [CrossRef]
- Toutain, P.L.; Pelligand, L.; Lees, P.; Bousquet-Melou, A.; Ferran, A.A.; Turnidge, J.D. The pharmacokinetic/pharmacodynamic paradigm for antimicrobial drugs in veterinary medicine: Recent advances and critical appraisal. J. Vet. Pharmacol. Ther. 2021, 44, 172–200. [Google Scholar] [CrossRef]
- Kuroda, T.; Minamijima, Y.; Niwa, H.; Tamura, N.; Mita, H.; Fukuda, K.; Kaimachi, M.; Suzuki, Y.; Enoki, Y.; Taguchi, K.; et al. Rational dosage regimens for cephalothin and cefazolin using pharmacokinetics and pharmacodynamics analysis in healthy horses. Equine Vet. J. 2021, 53, 1239–1249. [Google Scholar] [CrossRef]
- Toutain, P.L.; Lees, P. Integration and modelling of pharmacokinetic and pharmacodynamic data to optimize dosage regimens in veterinary medicine. J. Vet. Pharmacol. Ther. 2004, 27, 467–477. [Google Scholar] [CrossRef] [PubMed]
- Xiao, X.; Chen, X.; Yan, K.; Jiang, L.; Li, R.; Liu, Y.; Wang, M.; Wang, Z. PK/PD integration and pharmacodynamic cutoff of cefquinome against cow mastitis due to Escherichia coli. J. Vet. Pharmacol. Ther. 2022, 45, 83–91. [Google Scholar] [CrossRef] [PubMed]
- Toutain, P.L.; Bousquet-Melou, A.; Martinez, M. AUC/MIC: A PK/PD index for antibiotics with a time dimension or simply a dimensionless scoring factor? J. Antimicrob. Chemother. 2007, 60, 1185–1188. [Google Scholar] [CrossRef]
- Soto, S.M. Antibiotic Resistance in Bacterial Pathogens. Antibiotics 2023, 12, 451. [Google Scholar] [CrossRef]
- Wilson, A.; Mair, T.; Williams, N.; McGowan, C.; Pinchbeck, G. Antimicrobial prescribing and antimicrobial resistance surveillance in equine practice. Equine Vet. J. 2023, 55, 494–505. [Google Scholar] [CrossRef] [PubMed]
- Xiao, X.; Sun, J.; Chen, Y.; Huang, R.J.; Huang, T.; Qiao, G.G.; Zhou, Y.F.; Liu, Y.H. In vitro dynamic pharmacokinetic/pharmacodynamic(PK/PD) modeling and PK/PD cutoff of cefquinome against Haemophilus parasuis. BMC Vet. Res. 2015, 11, 33. [Google Scholar] [CrossRef]
- Xiong, M.; Wu, X.; Ye, X.; Zhang, L.; Zeng, S.; Huang, Z.; Wu, Y.; Sun, J.; Ding, H. Relationship between Cefquinome PK/PD Parameters and Emergence of Resistance of Staphylococcus aureus in Rabbit Tissue-Cage Infection Model. Front. Microbiol. 2016, 7, 874. [Google Scholar] [CrossRef]
- Zhang, B.X.; Lu, X.X.; Gu, X.Y.; Li, X.H.; Gu, M.X.; Zhang, N.; Shen, X.G.; Ding, H.Z. Pharmacokinetics and ex vivo pharmacodynamics of cefquinome in porcine serum and tissue cage fluids. Vet. J. 2014, 199, 399–405. [Google Scholar] [CrossRef]
- Cheng, P.; Feng, T.; Zhang, Y.; Li, X.; Tian, L.; Wu, J.; Cheng, F.; Zeng, Y.; Chen, H.; He, X.; et al. Comparative pharmacokinetics of intravenous and intramuscular cefquinome sulfate administration in ducklings and goslings. Am. J. Vet. Res. 2020, 81, 837–877. [Google Scholar] [CrossRef]
- Xie, W.; Zhang, X.; Wang, T.; Du, S. Pharmacokinetic analysis of cefquinome in healthy chickens. Br. Poult. Sci. 2013, 54, 81–86. [Google Scholar] [PubMed]
- Zhang, B.; Gu, X.; Li, X.; Gu, M.; Zhang, N.; Shen, X.; Li, Y.; Ding, H. Pharmacokinetics and ex-vivo pharmacodynamics of cefquinome against Klebsiella pneumonia in healthy dogs. J. Vet. Pharmacol. Ther. 2014, 37, 367–373. [Google Scholar] [CrossRef] [PubMed]
- Zhao, D.H.; Wang, X.F.; Wang, Q.; Li, L.D. Pharmacokinetics, bioavailability and dose assessment of Cefquinome against Escherichia coli in black swans (Cygnus atratus). BMC Vet. Res. 2017, 13, 226. [Google Scholar]
- Corum, O.; Yildiz, R.; Ider, M.; Altan, F.; Ok, M.; Uney, K. Pharmacokinetics and bioavailability of cefquinome and ceftriaxone in premature calves. J. Vet. Pharmacol. Ther. 2019, 42, 632–639. [Google Scholar] [PubMed]
- Winther, L.; Baptiste, K.E.; Friis, C. Antimicrobial disposition in pulmonary epithelial lining fluid of horses, part III. cefquinome. J. Vet. Pharmacol. Ther. 2011, 34, 482–486. [Google Scholar]
- Li, X.B.; Wu, W.X.; Su, D.; Wang, Z.J.; Jiang, H.Y.; Shen, J.Z. Pharmacokinetics and bioavailability of cefquinome in healthy piglets. J. Vet. Pharmacol. Ther. 2008, 31, 523–527. [Google Scholar]
- Elbadawy, M.; Soliman, A.; Abugomaa, A.; Alkhedaide, A.; Soliman, M.M.; Aboubakr, M. Disposition of Cefquinome in Turkeys (Meleagris gallopavo) Following Intravenous and Intramuscular Administration. Pharmaceutics 2021, 13, 1804. [Google Scholar] [CrossRef]
- Altayban, A.; Kandeel, M.; Kitade, Y.; Al-Nazawi, M. A pilot study on the pharmacokinetics of a single intramuscular injection of cefquinome in Arabian camel calves. Acta Vet. Hung. 2020, 68, 59–64. [Google Scholar]
- Shan, Q.; Yang, F.; Wang, J.; Ding, H.; He, L.; Zeng, Z. Pharmacokinetic/pharmacodynamic relationship of cefquinome against Pasteurella multocida in a tissue-cage model in yellow cattle. J. Vet. Pharmacol. Ther. 2014, 37, 178–185. [Google Scholar] [CrossRef]
- Qiu, Z.; Cao, C.; Qu, Y.; Lu, Y.; Sun, M.; Zhang, Y.; Zhong, J.; Zeng, Z. In vivo activity of cefquinome against Riemerella anatipestifer using the pericarditis model in the duck. J. Vet. Pharmacol. Ther. 2016, 39, 299–304. [Google Scholar]
- Elazab, S.T.; Schrunk, D.E.; Griffith, R.W.; Ensley, S.M.; Dell’Anna, G.; Mullin, K.; Elsayed, M.G.; Amer, M.S.; El-Nabtity, S.M.; Hsu, W.H. Pharmacokinetics of cefquinome in healthy and Pasteurella multocida-infected rabbits. J. Vet. Pharmacol. Ther. 2018, 41, 374–377. [Google Scholar] [CrossRef] [PubMed]
- Venkatachalam, D.; Dumka, V.K.; Ranjan, B. Pharmacokinetics of a single intramuscular injection of cefquinome in buffalo calves. J. Vet. Pharmacol. Ther. 2018, 41, 155–158. [Google Scholar] [CrossRef] [PubMed]
- Uney, K.; Altan, F.; Elmas, M. Development and validation of a high-performance liquid chromatography method for determination of cefquinome concentrations in sheep plasma and its application to pharmacokinetic studies. Antimicrob. Agents Chemother. 2011, 55, 854–859. [Google Scholar] [CrossRef] [PubMed]
- Yang, Q.; Liu, X.; Zhang, C.; Yong, K.; Clifton, A.C.; Ding, H.; Liu, Y. Pharmacokinetics and Pharmacodynamics of Gamithromycin Treatment of Pasteurella multocida in a Murine Lung Infection Model. Front. Pharmacol. 2019, 10, 1090. [Google Scholar] [CrossRef]
- Toutain, P.L.; Potter, T.; Pelligand, L.; Lacroix, M.; Illambas, J.; Lees, P. Standard PK/PD concepts can be applied to determine a dosage regimen for a macrolide: The case of tulathromycin in the calf. J. Vet. Pharmacol. Ther. 2017, 40, 16–27. [Google Scholar] [CrossRef]
- Toutain, P.L.; Bousquet-Melou, A.; Damborg, P.; Ferran, A.A.; Mevius, D.; Pelligand, L.; Veldman, K.T.; Lees, P. En Route towards European Clinical Breakpoints for Veterinary Antimicrobial Susceptibility Testing: A Position Paper Explaining the VetCAST Approach. Front. Microbiol. 2017, 8, 2344. [Google Scholar]
- Ahmad, I.; Hao, H.; Huang, L.; Sanders, P.; Wang, X.; Chen, D.; Tao, Y.; Xie, S.; Xiuhua, K.; Li, J.; et al. Integration of PK/PD for dose optimization of Cefquinome against Staphylococcus aureus causing septicemia in cattle. Front. Microbiol. 2015, 6, 588. [Google Scholar] [CrossRef][Green Version]
- Tong, Y.C.; Li, P.C.; Yang, Y.; Lin, Q.Y.; Liu, J.T.; Gao, Y.N.; Zhang, Y.N.; Jin, S.; Qing, S.Z.; Xing, F.S.; et al. Detection of Antibiotic Resistance in Feline-Origin ESBL Escherichia coli from Different Areas of China and the Resistance Elimination of Garlic Oil to Cefquinome on ESBL E. coli. Int. J. Mol. Sci. 2023, 24, 9627. [Google Scholar] [CrossRef]
- Mi, K.; Li, M.; Sun, L.; Hou, Y.; Zhou, K.; Hao, H.; Pan, Y.; Liu, Z.; Xie, C.; Huang, L. Determination of Susceptibility Breakpoint for Cefquinome against Streptococcus suis in Pigs. Antibiotics 2021, 10, 958. [Google Scholar] [CrossRef]







| Parameters (Units) | IV | IM |
|---|---|---|
| Cmax (μg/mL) | — | 0.89 ± 0.14 |
| Tmax (h) | — | 2.16 ± 0.75 |
| T1/2β (h) | 2.35 ± 0.38 | 4.16 ± 0.21 |
| AUC0–last (μg.h/mL) | 12.33 ± 0.69 | 5.41 ± 0.81 |
| MRT0–last (h) | 2.67 ± 0.13 | 4.92 ± 0.15 |
| CL (L/h/kg) | 0.09 ± 0.01 | 0.15 ± 0.02 |
| F (%) | — | 43.86 ± 5.62 |
| E. coli Strain | MHB (μg/mL) | Serum (μg/mL) | MHB/Serum |
|---|---|---|---|
| HE01 | 0.125 | 0.062 | 2.0 |
| HE02 | 0.125 | 0.062 | 2.0 |
| HE03 | 0.1 | 0.062 | 1.6 |
| HE04 | 0.108 | 0.062 | 1.7 |
| HE05 | 0.125 | 0.062 | 2.0 |
| HE06 | 0.1 | 0.062 | 1.6 |
| HE07 | 0.125 | 0.062 | 2.0 |
| HE08 | 0.108 | 0.062 | 1.7 |
| HE09 | 0.108 | 0.062 | 1.7 |
| HE10 | 0.1 | 0.062 | 1.6 |
| HE11 | 0.108 | 0.062 | 1.7 |
| HE12 | 0.125 | 0.062 | 2.0 |
| HE13 | 0.125 | 0.062 | 2.0 |
| HE14 | 0.1 | 0.062 | 1.6 |
| HE15 | 0.1 | 0.062 | 1.6 |
| HE16 | 0.108 | 0.062 | 1.7 |
| HE17 | 0.1 | 0.062 | 1.6 |
| HE18 | 0.108 | 0.062 | 1.7 |
| HE19 | 0.125 | 0.062 | 2.0 |
| HE20 | 0.125 | 0.062 | 2.0 |
| Average | 0.112 | 0.062 | 1.8 |
| Concentration | PAE After 1 h (h) | PAE After 2 h (h) |
|---|---|---|
| 1× MIC | 0.13 ± 0.02 | 0.14 ± 0.03 |
| 2× MIC | 0.22 ± 0.02 | 0.24 ± 0.03 |
| 4× MIC | 0.34 ± 0.04 | 0.58 ± 0.05 |
| Parameter | Value |
|---|---|
| Emax (Log10 CFU/mL) | 2.88 |
| E0 (Log10 CFU/mL) | −4.65 |
| EC50 | 2.61 |
| N | 4.22 |
| AUC0–24h/MIC divided by 24 for bacteriostatic action | 2.34 |
| AUC0–24h/MIC divided by 24 for bactericidal action | 3.53 |
| AUC0–24h/MIC divided by 24 for bacterial elimination | 4.86 |
| Route | IV | ||||||||||
| Parameter | Species | ||||||||||
| Foals | Pigs | Ducklings | Goslings | Chickens | Dogs | Black Swans | Premature Calves | Horses | Piglets | Turkeys | |
| T1/2β (h) | 2.77 | 2.33 | 0.97 | 1.73 | 1.29 | 1.53 | 1.69 | 1.85 | 2.77 | 1.85 | 1.56 |
| AUC0–last (μg·h/mL) | 15.15 | 21.28 | 6.25 | 4.39 | 5.33 | 5.15 | 16.5 | 15.74 | 8.32 | 8.07 | 6.22 |
| CL (L/h/kg) | 0.06 | 0.09 | 0.32 | 0.45 | 0.35 | 0.49 | 0.13 | 0.13 | 0.12 | 0.26 | 0.32 |
| Reference | [8] | [19] | [20] | [20] | [21] | [22] | [23] | [24] | [25] | [26] | [27] |
| Route | IM | ||||||||||
| Parameter | Species | ||||||||||
| Camel Calves | Pigs | Yellow Cattle | Ducks | Chickens | Rabbits | Buffalo Calves | Premature Calves | Sheep | |||
| Cmax (μg/mL) | 28.40 | 6.15 | 2.34 | 2.37 | 3.04 | 6.93 | 6.93 | 4.56 | 2.60 | ||
| Tmax (h) | 0.42 | 0.34 | 0.78 | 0.30 | 0.25 | 0.33 | 0.50 | 1.00 | 0.50 | ||
| T1/2β (h) | 17.40 | 2.30 | 2.78 | 0.66 | 1.35 | 0.72 | 3.73 | 4.74 | 1.88 | ||
| F (%) | — | 103.88 | 104.00 | — | 95.81 | — | 86.30 | 141.22 | 89.31 | ||
| Reference | [28] | [19] | [29] | [30] | [21] | [31] | [32] | [24] | [33] | ||
Disclaimer/Publisher’s Note: The statements, opinions and data contained in all publications are solely those of the individual author(s) and contributor(s) and not of MDPI and/or the editor(s). MDPI and/or the editor(s) disclaim responsibility for any injury to people or property resulting from any ideas, methods, instructions or products referred to in the content. |
© 2025 by the authors. Licensee MDPI, Basel, Switzerland. This article is an open access article distributed under the terms and conditions of the Creative Commons Attribution (CC BY) license (https://creativecommons.org/licenses/by/4.0/).
Share and Cite
Gao, T.; Liu, X.; Qiu, D.; Li, Y.; Qiu, Z.; Qi, J.; Li, S.; Guo, X.; Zhang, Y.; Wang, Z.; et al. Ex Vivo Pharmacokinetic/Pharmacodynamic Integration Model of Cefquinome Against Escherichia coli in Foals. Vet. Sci. 2025, 12, 294. https://doi.org/10.3390/vetsci12040294
Gao T, Liu X, Qiu D, Li Y, Qiu Z, Qi J, Li S, Guo X, Zhang Y, Wang Z, et al. Ex Vivo Pharmacokinetic/Pharmacodynamic Integration Model of Cefquinome Against Escherichia coli in Foals. Veterinary Sciences. 2025; 12(4):294. https://doi.org/10.3390/vetsci12040294
Chicago/Turabian StyleGao, Tiantian, Xuesong Liu, Di Qiu, Yanan Li, Zongsheng Qiu, Jingjing Qi, Shuxin Li, Xiaoyan Guo, Yan Zhang, Ziqi Wang, and et al. 2025. "Ex Vivo Pharmacokinetic/Pharmacodynamic Integration Model of Cefquinome Against Escherichia coli in Foals" Veterinary Sciences 12, no. 4: 294. https://doi.org/10.3390/vetsci12040294
APA StyleGao, T., Liu, X., Qiu, D., Li, Y., Qiu, Z., Qi, J., Li, S., Guo, X., Zhang, Y., Wang, Z., Gao, X., Ma, Y., & Ma, T. (2025). Ex Vivo Pharmacokinetic/Pharmacodynamic Integration Model of Cefquinome Against Escherichia coli in Foals. Veterinary Sciences, 12(4), 294. https://doi.org/10.3390/vetsci12040294
