Changes in Biomarkers of Inflammation and Oxidative Status in Dogs Subjected to Celiotomy or Video-Assisted Ovariohysterectomy
Simple Summary
Abstract
1. Introduction
2. Materials and Methods
2.1. Animals
2.2. Surgical Preparation and Anesthesia
2.3. Surgical Procedures
2.4. Postoperative and Blood Sampling
2.5. Laboratory Analysis
2.6. Statistical Analysis
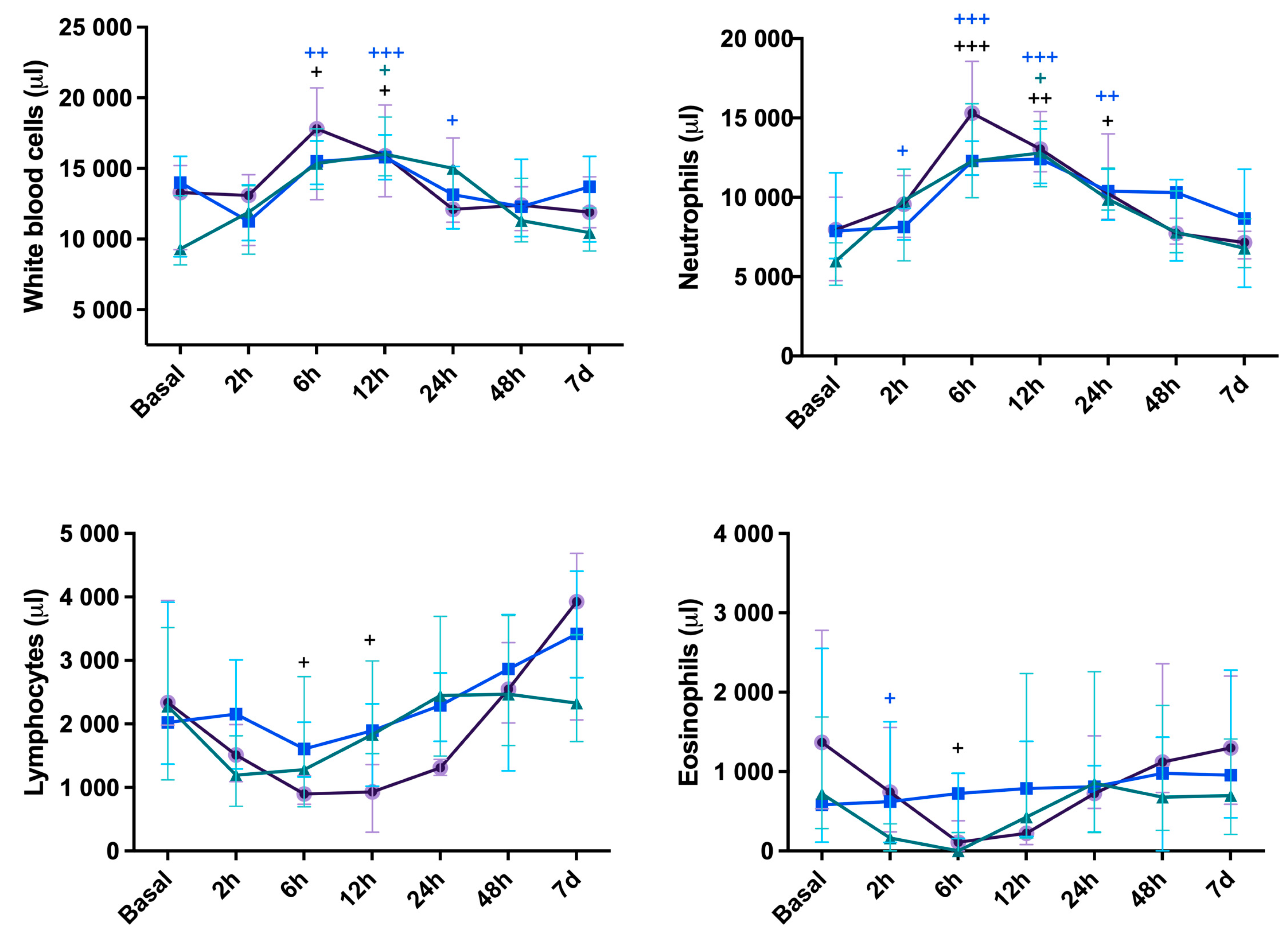
3. Results
3.1. Surgery Data
3.2. Animal Recovery and Clinical Examination
3.3. Laboratorial Analysis
4. Discussion
5. Conclusions
Author Contributions
Funding
Institutional Review Board Statement
Informed Consent Statement
Data Availability Statement
Acknowledgments
Conflicts of Interest
References
- Schwarzkopf, I.; Van Goethem, B.; Vandekerckhove, P.M.; De Rooster, H. Vessel Sealing versus Suture Ligation for Canine Ovarian Pedicle Haemostasis: A Randomised Clinical Trial. Vet. Rec. 2015, 176, 125. [Google Scholar] [CrossRef]
- Watts, J. The Use of Bipolar Electrosurgical Forceps for Haemostasis in Open Surgical Ovariectomy of Bitches and Queens and Castration of Dogs. J. Small Anim. Pract. 2018, 59, 465–473. [Google Scholar] [CrossRef] [PubMed]
- Brun, M.V. Cirurgias no Aparelho Reprodutor Feminino de Caninos. In Videocirurgia em Pequenos Animais; Editora Guanabara Koogan Ltd.a: Rio de Janeiro, Brazil, 2014; pp. 186–213. [Google Scholar]
- Freeman, L.J.; Rahmani, E.Y.; Al-Haddad, M.; Sherman, S.; Chiorean, M.V.; Selzer, D.J.; Snyder, P.W.; Constable, P.D. Comparison of Pain and Postoperative Stress in Dogs Undergoing Natural Orifice Transluminal Endoscopic Surgery, Laparoscopic, and Open Oophorectomy. Gastrointest. Endosc. 2010, 72, 373–380. [Google Scholar] [CrossRef] [PubMed]
- Dalmolin, F.; Lhamas, C.L.; Pinto Filho, S.T.L.; Feranti, J.P.S.; Poerschke, A.; Beck, R.C.; Abdalla, F.H.; Andrade, C.M.; Brun, M.V. Biomarcadores Inflamatórios e de Estresse Oxidativo Em Cadelas Submetidas à Ovário-Histerectomia Videoassistida Ou Convencional. Arq. Bras. Med. Veterinária Zootec. 2016, 68, 687–694. [Google Scholar] [CrossRef]
- Devitt, C.M.; Cox, R.E.; Hailey, J.J. Duration, Complications, Stress, and Pain of Open Ovariohysterectomy versus a Simple Method of Laparoscopic-Assisted Ovariohysterectomy in Dogs. J. Am. Vet. Med. Assoc. 2005, 227, 921–927. [Google Scholar] [CrossRef] [PubMed]
- Villano, J.; Collins, D.E.; Nemzek, J.A. Inflammatory Response. In Veterinary Surgery: Small Animal; Johnston, S.A., Tobias, K.M., Eds.; Elsevier: St. Louis, MO, USA, 2018; Volume 2, pp. 77–117. [Google Scholar]
- Schmidt, E.M.S.; Rubio, C.P.; Thomas, F.; Ferreira, J.C.P.; Eckersall, D.P. Acute Phase Proteins in Bitches Subjected to Conventional and Minimally Invasive Ovariohysterectomy. Pesqui. Veterinária Bras. 2018, 38, 2124–2128. [Google Scholar] [CrossRef]
- Cerón, J.J.; Eckersall, P.D.; Martínez-Subiela, S. Acute Phase Proteins in Dogs and Cats: Current Knowledge and Future Perspectives. Vet. Clin. Pathol. 2005, 34, 85–99. [Google Scholar] [CrossRef]
- Sies, H. Oxidative Stress: A Concept in Redox Biology and Medicine. Redox Biol. 2015, 4, 180–183. [Google Scholar] [CrossRef]
- Rosenfeldt, F.; Wilson, M.; Lee, G.; Kure, C.; Ou, R.; Braun, L.; De Haan, J. Oxidative Stress in Surgery. In Systems Biology of Free Radicals and Antioxidants; Laher, I., Ed.; Springer: Berlin/Heidelberg, Germany, 2014; pp. 3929–3946. [Google Scholar]
- Fransson, B.A. Ovaries and Uterus. In Veterinary Surgery: Small Animal; Johnston, S.A., Tobias, K.M., Eds.; Elsevier: St. Louis, MO, USA, 2018; Volume 2, pp. 4884–5025. [Google Scholar]
- Murrell, J.C.; Psatha, E.P.; Scott, E.M.; Reid, J.; Hellebrekers, L.J. Application of a Modified Form of the Glasgow Pain Scale in a Veterinary Teaching Centre in the Netherlands. Vet. Rec. 2008, 162, 403–408. [Google Scholar] [CrossRef]
- Martínez-Subiela, S.; Cerón, J.J. Validación Analítica de Técnicas Comerciales Para La Determinación de Haptoglobina, Proteína C Reactiva y Amiloide A Sérico En Caninos Analytical. Arch. Med. Vet. 2005, 37, 61–66. [Google Scholar] [CrossRef]
- Muñoz-Prieto, A.; Tvarijonaviciute, A.; Escribano, D.; Martínez-Subiela, S.; Cerón, J.J. Use of Heterologous Immunoassays for Quantification of Serum Proteins: The Case of Canine C-Reactive Protein. PLoS ONE 2017, 12, e0172188. [Google Scholar] [CrossRef] [PubMed]
- Arnao, M.B.; Cano, A.; Hernández-Ruiz, J.; García-Cánovas, F.; Acosta, M. Inhibition Byl-Ascorbic Acid and Other Antioxidants of the 2,2′-Azino-Bis (3-Ethylbenzthiazoline-6-Sulfonic Acid) Oxidation Catalyzed by Peroxidase: A New Approach for Determining Total Antioxidant Status of Foods. Anal. Biochem. 1996, 236, 255–261. [Google Scholar] [CrossRef] [PubMed]
- Rubio, C.P.; Hernández-Ruiz, J.; Martinez-Subiela, S.; Tvarijonaviciute, A.; Ceron, J.J. Spectrophotometric Assays for Total Antioxidant Capacity (TAC) in Dog Serum: An Update. BMC Vet. Res. 2016, 12, 166. [Google Scholar] [CrossRef] [PubMed]
- Rubio, C.P.; Hernández-Ruiz, J.; Martinez-Subiela, S.; Tvarijonaviciute, A.; Arnao, M.B.; Ceron, J.J. Validation of Three Automated Assays for Total Antioxidant Capacity Determination in Canine Serum Samples. J. Vet. Diagn. Investig. 2016, 28, 693–698. [Google Scholar] [CrossRef] [PubMed]
- Campos, C.; Guzmán, R.; López-Fernández, E.; Casado, Á. Evaluation of the Copper (II) Reduction Assay Using Bathocuproinedisulfonic Acid Disodium Salt for the Total Antioxidant Capacity Assessment: The CUPRAC–BCS Assay. Anal. Biochem. 2009, 392, 37–44. [Google Scholar] [CrossRef]
- Benzie, I.F.F.; Strain, J.J. The Ferric Reducing Ability of Plasma (FRAP) as a Measure of “Antioxidant Power”: The FRAP Assay. Anal. Biochem. 1996, 239, 70–76. [Google Scholar] [CrossRef]
- Rubio, C.P.; Martínez-Subiela, S.; Hernández-Ruiz, J.; Tvarijonaviciute, A.; Cerón, J.J.; Allenspach, K. Serum Biomarkers of Oxidative Stress in Dogs with Idiopathic Inflammatory Bowel Disease. Vet. J. 2017, 221, 56–61. [Google Scholar] [CrossRef]
- Costa, C.M.D.; Santos, R.C.C.D.; Lima, E.S. A Simple Automated Procedure for Thiol Measurement in Human Serum Samples. J. Bras. Patol. E Med. Lab. 2006, 42, 345–350. [Google Scholar] [CrossRef]
- Jocelyn, P.C. Spectrophotometric Assay of Thiols. In Methods in Enzymology; Elsevier: Amsterdam, The Netherlands, 1987; Volume 143, pp. 44–67. ISBN 978-0-12-182043-5. [Google Scholar]
- Witko-Sarsat, V.; Friedlander, M.; Capeillère-Blandin, C.; Nguyen-Khoa, T.; Nguyen, A.T.; Zingraff, J.; Jungers, P.; Descamps-Latscha, B. Advanced Oxidation Protein Products as a Novel Marker of Oxidative Stress in Uremia. Kidney Int. 1996, 49, 1304–1313. [Google Scholar] [CrossRef]
- Desborough, J.P. The Stress Response to Trauma and Surgery. Br. J. Anaesth. 2000, 85, 109–117. [Google Scholar] [CrossRef]
- Redondo, J.I.; Suesta, P.; Serra, I.; Soler, C.; Soler, G.; Gil, L.; Gómez-Villamandos, R.J. Retrospective Study of the Prevalence of Postanaesthetic Hypothermia in Dogs. Vet. Rec. 2012, 171, 374. [Google Scholar] [CrossRef] [PubMed]
- Rizzi, T.E.; Meinkoth, J.H.; Clinkenbeared, K.D. Normal Hematology of the Dog. In Schalm’s Veterinary Hematology; Weiss, D.J., Wardrop, K.J., Schalm, O.W., Eds.; Wiley-Blackwell: Ames, IA, USA, 2010; pp. 799–810. ISBN 978-0-8138-1798-9. [Google Scholar]
- Sammour, T.; Mittal, A.; Loveday, B.P.T.; Kahokehr, A.; Phillips, A.R.J.; Windsor, J.A.; Hill, A.G. Systematic Review of Oxidative Stress Associated with Pneumoperitoneum. Br. J. Surg. 2009, 96, 836–850. [Google Scholar] [CrossRef] [PubMed]
- Milech, V.; De Oliveira, J.S.; De Ataide, M.A.W.; Coradini, G.P.; Mann, T.R.; Sarturi, V.Z.; Hartmann, H.F.; Linhares, M.T.; Antunes, B.N.; De Andrade, C.M.; et al. Effects of Heated Pneumoperitoneum on Inflammation, Oxidative Stress, and Peritoneal Histology in Female Dogs That Underwent Video-Assisted Ovariohysterectomy. Vet. Med. Int. 2021, 2021, 5515559. [Google Scholar] [CrossRef] [PubMed]
- Gautier, A.; Graff, E.C.; Bacek, L.; Fish, E.J.; White, A.; Palmer, L.; Kuo, K. Effects of Ovariohysterectomy and Hyperbaric Oxygen Therapy on Systemic Inflammation and Oxidation in Dogs. Front. Vet. Sci. 2020, 6, 506. [Google Scholar] [CrossRef]
- Vilhena, H.; Figueiredo, M.; Cerón, J.J.; Pastor, J.; Miranda, S.; Craveiro, H.; Pires, M.A.; Tecles, F.; Rubio, C.P.; Dabrowski, R.; et al. Acute Phase Proteins and Antioxidant Responses in Queens with Pyometra. Theriogenology 2018, 115, 30–37. [Google Scholar] [CrossRef]



| CelioSut | CelioBip | VidBip | p Value | |
|---|---|---|---|---|
| M ± SD | M ± SD | M ± SD | ||
| Surgery time (min) a | 21.44 ± 5.47 A | 20.20± 5.02 A | 58.40 ± 16.17 B | p < 0.01 |
| Incision size (cm) a | 5.96 ± 0.66 A | 5.95 ± 1.26 A | 2.91 ± 0.62 B | p < 0.01 |
| Md (Interquartile Range) | Md (Interquartile Range) | Md (Interquartile Range) | ||
| First solid intake (h) b | 11.82 (5.91–13.38) A | 6.55 (6.23–10.38) A | 1.88 (1.21–3.77) B | p < 0.01 |
| First urination (h) b | 7.38 (5.72–8.97) A | 6.59 (3.5–7.06) AB | 4.00 (2.83–5.46) B | p = 0.03 |
| First defecation (h) b | 18.77 (11.95–25.55) A | 9.19 (6.8–22.15) A | 11.08 (10.19–12.25) A | p = 0.28 |
| Times | CelioLig | CelioBip | VideoBip | p Value ** |
|---|---|---|---|---|
| Rectal temperature (°C) | ||||
| Basal | 38.40 a | 38.55 a | 38.75 a | 0.29 |
| 2 | 37.40 b | 37.70 b | 38.05 b | 0.06 |
| 6 | 38.00 bAB* | 37.90 bB | 38.20 abA | 0.04 |
| 12 | 38.20 aAB | 38.05 bB | 38.65 aA | 0.04 |
| 24 | 38.20 a | 38.15 ab | 38.65 a | 0.10 |
| 48 | 38.50 a | 38.25 ab | 38.65 a | 0.06 |
| 72 | 38.45 a | 38.30 a | 38.50 a | 0.30 |
| p value ** | p < 0.01 | p = 0.03 | p = 0.01 | |
| Respiratory rate (mpm) | ||||
| Basal | 38 | 34 | 34 | 0.42 |
| 2 | 28 | 28 | 24 | 0.79 |
| 6 | 31 | 32 | 28 | 0.33 |
| 12 | 36 | 34 | 29 | 0.07 |
| 24 | 36 A* | 38 A | 28 B | 0.01 |
| 48 | 34 | 32 | 28 | 0.26 |
| 72 | 32 | 34 | 32 | 0.48 |
| p value ** | 0.06 | 0.33 | 0.06 | |
| Heart rate (bpm) | ||||
| Basal | 116 | 108 | 120 a* | 0.60 |
| 2 | 110 | 100 | 110 a | 0.46 |
| 6 | 118 A** | 122 A | 96 bB | 0.01 |
| 12 | 128 A | 114 A | 98 bB | 0.01 |
| 24 | 124 A | 124 A | 96 bB | 0.01 |
| 48 | 112 A | 112 A | 102 abB | 0.03 |
| 72 | 116 | 104 | 102 ab | 0.18 |
| p value ** | 0.27 | 0.38 | 0.01 | |
Disclaimer/Publisher’s Note: The statements, opinions and data contained in all publications are solely those of the individual author(s) and contributor(s) and not of MDPI and/or the editor(s). MDPI and/or the editor(s) disclaim responsibility for any injury to people or property resulting from any ideas, methods, instructions or products referred to in the content. |
© 2024 by the authors. Licensee MDPI, Basel, Switzerland. This article is an open access article distributed under the terms and conditions of the Creative Commons Attribution (CC BY) license (https://creativecommons.org/licenses/by/4.0/).
Share and Cite
Dalmolin, F.; Rubio, C.P.; Furlanetto, C.S.; Steffens, R.; Hadi, N.I.I.A.; da Silva, A.d.L.; Tomazi, P.; Antunes, B.N.; Elias, F.; Schmidt, E.M.d.S.; et al. Changes in Biomarkers of Inflammation and Oxidative Status in Dogs Subjected to Celiotomy or Video-Assisted Ovariohysterectomy. Vet. Sci. 2024, 11, 583. https://doi.org/10.3390/vetsci11110583
Dalmolin F, Rubio CP, Furlanetto CS, Steffens R, Hadi NIIA, da Silva AdL, Tomazi P, Antunes BN, Elias F, Schmidt EMdS, et al. Changes in Biomarkers of Inflammation and Oxidative Status in Dogs Subjected to Celiotomy or Video-Assisted Ovariohysterectomy. Veterinary Sciences. 2024; 11(11):583. https://doi.org/10.3390/vetsci11110583
Chicago/Turabian StyleDalmolin, Fabíola, Camila Peres Rubio, Carla Sordi Furlanetto, Rafael Steffens, Najla Ibrahim Isa Abdel Hadi, Adriellen de Lima da Silva, Paloma Tomazi, Bernardo Nascimento Antunes, Fabiana Elias, Elizabeth Moreira dos Santos Schmidt, and et al. 2024. "Changes in Biomarkers of Inflammation and Oxidative Status in Dogs Subjected to Celiotomy or Video-Assisted Ovariohysterectomy" Veterinary Sciences 11, no. 11: 583. https://doi.org/10.3390/vetsci11110583
APA StyleDalmolin, F., Rubio, C. P., Furlanetto, C. S., Steffens, R., Hadi, N. I. I. A., da Silva, A. d. L., Tomazi, P., Antunes, B. N., Elias, F., Schmidt, E. M. d. S., & Brun, M. V. (2024). Changes in Biomarkers of Inflammation and Oxidative Status in Dogs Subjected to Celiotomy or Video-Assisted Ovariohysterectomy. Veterinary Sciences, 11(11), 583. https://doi.org/10.3390/vetsci11110583

