Evaluation of Haematological Ratios at: Different Stages of Canine Periodontal Disease
Simple Summary
Abstract
1. Introduction
2. Materials and Methods
2.1. Data Collection and Analysis
2.2. Inclusion Criteria
2.3. Exclusion Criteria
2.4. The Characterisation of Each of the Three Groups Under Study
2.5. Calculation of Haematological Ratios
2.6. Statistical Analysis
3. Results
3.1. Study Population
3.2. Haematological Ratios
3.2.1. Neutrophil-to-Lymphocyte Ratio (NLR)
3.2.2. Platelet-to-Lymphocyte Ratio (PLR)
3.2.3. Mean Platelet Volume-to-Platelet Count Ratio (MPV/PLT)
3.2.4. Monocyte-to-Lymphocyte Ratio (MLR)
3.2.5. Platelet-to-Neutrophil Ratio (PNR)
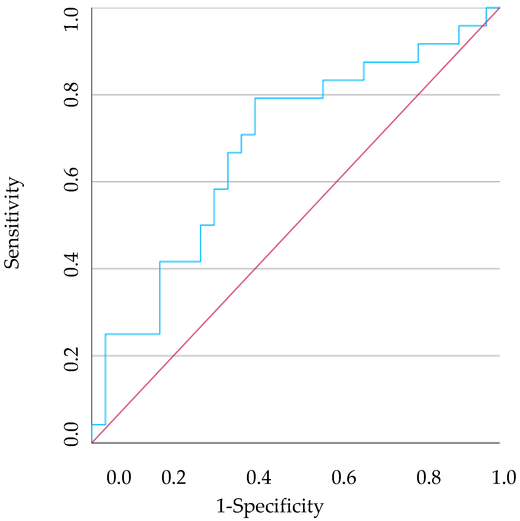
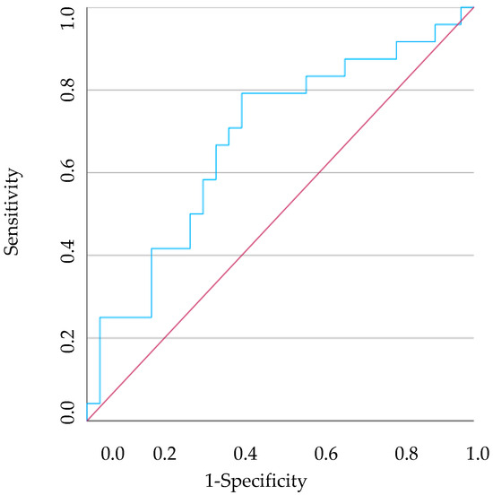
3.3. ROC Curves
4. Discussion
5. Limitations
6. Conclusions
Author Contributions
Funding
Institutional Review Board Statement
Informed Consent Statement
Data Availability Statement
Conflicts of Interest
References
- Harvey, C.E. Periodontal Disease in Dogs: Etiopathogenesis, Prevalence, and Significance. Vet. Clin. N. Am. Small Anim. Pract. 1998, 28, 1111–1128. [Google Scholar] [CrossRef] [PubMed]
- Wallis, C.; Saito, E.K.; Salt, C.; Holcombe, L.J.; Desforges, N.G. Association of Periodontal Disease with Breed Size, Breed, Weight, and Age in Pure-Bred Client-Owned Dogs in the United States. Vet. J. 2021, 275, 105717. [Google Scholar] [CrossRef] [PubMed]
- Niemiec, B.A. Periodontal Disease. Top. Companion Anim. Med. 2008, 23, 72–80. [Google Scholar] [CrossRef] [PubMed]
- Kyllar, M.; Witter, K. Prevalence of Dental Disorders in Pet Dogs. Vet. Med. 2005, 50, 496–505. [Google Scholar] [CrossRef]
- Wallis, C.; Holcombe, L.J. A Review of the Frequency and Impact of Periodontal Disease in Dogs. J. Small Anim. Pract. 2020, 61, 529–540. [Google Scholar] [CrossRef]
- Harvey, C.E.; Shofer, F.S.; Laster, L. Association of Age and Body Weight with Periodontal Disease in North American Dogs. J. Vet. Dent. 1994, 11, 94–105. [Google Scholar] [CrossRef]
- Van Dyke, T.E.; Sheilesh, D. Risk Factors for Periodontitis. J. Int. Acad. Periodontol. 2005, 7, 3–7. [Google Scholar] [CrossRef]
- Whyte, A.; Whyte, J.; Monteagudo, L.V.; García-Barrios, A.; Teresa Tejedor, M. Periodontal and Dental Status in Packs of Spanish Dogs. Animals 2021, 11, 1082. [Google Scholar] [CrossRef]
- Harvey, C.E. Management of Periodontal Disease: Understanding the Options. Vet. Clin. N. Am. Small Anim. Pract. 2005, 35, 819–836. [Google Scholar] [CrossRef]
- Enlund, K.B.; Jönsson, B.; Abrahamsson, K.H.; Pettersson, A. Long-Term Effects of Motivational Interviewing vs. Traditional Counseling on Dog Owners’ Adherence to Veterinary Dental Home Care: A Three-Year Follow-up Study. Front. Vet. Sci. 2024, 11, 1296618. [Google Scholar] [CrossRef]
- Silva, C.; Requicha, J.; Dias, I.; Bastos, E.; Viegas, C. Genomic Medicine in Canine Periodontal Disease: A Systematic Review. Animals 2023, 13, 2463. [Google Scholar] [CrossRef] [PubMed]
- Albuquerque, C.; Morinha, F.; Requicha, J.; Martins, T.; Dias, I.; Guedes-Pinto, H.; Bastos, E.; Viegas, C. Canine Periodontitis: The Dog as an Important Model for Periodontal Studies. Vet. J. 2012, 191, 299–305. [Google Scholar] [CrossRef]
- Whyte, A.; Bonastre, C.; Monteagudo, L.V.; Les, F.; Obon, J.; Whyte, J.; Tejedor, M.T. Canine Stage 1 Periodontal Disease: A Latent Pathology. Vet. J. 2014, 201, 118–120. [Google Scholar] [CrossRef] [PubMed]
- Kouki, M.I.; Papadimitriou, S.A.; Kazakos, G.M.; Savas, I.; Bitchava, D. Periodontal Disease as a Potential Factor for Systemic Inflammatory Response in the Dog. J. Vet. Dent. 2013, 30, 26–29. [Google Scholar] [CrossRef] [PubMed]
- Loos, B.G. Systemic Markers of Inflammation in Periodontitis. J. Periodontol. 2005, 76, 2106–2115. [Google Scholar] [CrossRef] [PubMed]
- Rejec, A.; Butinar, J.; Gawor, J.; Petelin, M. Evaluation of Complete Blood Count Indices (NLR, PLR, MPV/PLT, and PLCRi) in Healthy Dogs, Dogs with Periodontitis, and Dogs with Oropharyngeal Tumors as Potential Biomarkers of Systemic Inflammatory Response. J. Vet. Dent. 2017, 34, 231–240. [Google Scholar] [CrossRef]
- Glickman, L.T.; Glickman, N.W.; Moore, G.E.; Goldstein, G.S.; Lewis, H.B. Evaluation of the Risk of Endocarditis and Other Cardiovascular Events on the Basis of the Severity of Periodontal Disease in Dogs. J. Am. Vet. Med. Assoc. 2009, 234, 486–494. [Google Scholar] [CrossRef]
- Pereira dos Santos, J.D.; Cunha, E.; Nunes, T.; Tavares, L.; Oliveira, M. Relation between Periodontal Disease and Systemic Diseases in Dogs. Res. Vet. Sci. 2019, 125, 136–140. [Google Scholar] [CrossRef]
- Cray, C. Acute Phase Proteins in Animals. Prog. Mol. Biol. Transl. Sci. 2012, 105, 113–150. [Google Scholar] [CrossRef]
- D’Aiuto, F.; Parkar, M.; Andreou, G.; Suvan, J.; Brett, P.M.; Ready, D.; Tonetti, M.S. Periodontitis and Systemic Inflammation: Control of the Local Infection Is Associated with a Reduction in Serum Inflammatory Markers. J. Dent. Res. 2004, 83, 156–160. [Google Scholar] [CrossRef]
- Passoja, A.; Puijola, I.; Knuuttila, M.; Niemelä, O.; Karttunen, R.; Raunio, T.; Tervonen, T. Serum Levels of Interleukin-10 and Tumour Necrosis Factor-α in Chronic Periodontitis. J. Clin. Periodontol. 2010, 37, 881–887. [Google Scholar] [CrossRef] [PubMed]
- Rawlinson, J.E.; Goldstein, R.E.; Reiter, A.M.; Attwater, D.Z.; Harvey, C.E. Association of Periodontal Disease with Systemic Health Indices in Dogs and the Systemic Response to Treatment of Periodontal Disease. J. Am. Vet. Med. Assoc. 2011, 238, 601–609. [Google Scholar] [CrossRef] [PubMed]
- Liu, Z.; Li, Y.; Wang, Y.; Zhang, H.; Lian, Y.; Cheng, X. The Neutrophil-to-Lymphocyte and Monocyte-to-Lymphocyte Ratios Are Independently Associated With the Severity of Autoimmune Encephalitis. Front. Immunol. 2022, 13, 911779. [Google Scholar] [CrossRef]
- Balta, S.; Ozturk, C. The Platelet-Lymphocyte Ratio: A Simple, Inexpensive and Rapid Prognostic Marker for Cardiovascular Events. Platelets 2015, 26, 680–681. [Google Scholar] [CrossRef] [PubMed]
- Angkananard, T.; Anothaisintawee, T.; McEvoy, M.; Attia, J.; Thakkinstian, A. Neutrophil Lymphocyte Ratio and Cardiovascular Disease Risk: A Systematic Review and Meta-Analysis. Biomed. Res. Int. 2018, 2018, 2703518. [Google Scholar] [CrossRef] [PubMed]
- Jung, M.J.; Kim, J.H. Prognostic Efficacy of Complete Blood Count Indices for Assessing the Presence and the Progression of Myxomatous Mitral Valve Disease in Dogs. Animals 2023, 13, 2821. [Google Scholar] [CrossRef]
- Summers, C.; Rankin, S.M.; Condliffe, A.M.; Singh, N.; Peters, A.M.; Chilvers, E.R. Neutrophil Kinetics in Health and Disease. Trends Immunol. 2010, 31, 318–324. [Google Scholar] [CrossRef]
- Hernberg, M.; Mattila, P.S.; Rissanen, M.; Hansson, J.; Aamdal, S.; Bastholt, L.; Von Der Maase, H.; Schmidt, H.; Stierner, U.; Tarkkanenz, J. The Prognostic Role of Blood Lymphocyte Subset Distribution in Patients With Resected High-Risk Primary or Regionally Metastatic Melanoma. J. Immunother. 2007, 30, 773–779. [Google Scholar] [CrossRef]
- George-Gay, B.; Parker, K. Understanding the Complete Blood Count with Differential. J. Perianesth Nurs. 2003, 18, 96–117. [Google Scholar] [CrossRef]
- González-Domínguez, A.; Cristobal-Verdejo, J.I.; López-Espinar, C.; Fontela-González, S.; Vázquez, S.; Justo-Domínguez, J.; González-Caramazana, J.; Bragado-Cuesta, M.; Álvarez-Punzano, A.; Herrería-Bustillo, V.J. Retrospective Evaluation of Hematological Ratios in Canine Parvovirosis: 401 Cases. J. Vet. Intern. Med. 2024, 38, 161–166. [Google Scholar] [CrossRef]
- Djordjevic, D.; Rondovic, G.; Surbatovic, M.; Stanojevic, I.; Udovicic, I.; Andjelic, T.; Zeba, S.; Milosavljevic, S.; Stankovic, N.; Abazovic, D.; et al. Neutrophil-to-Lymphocyte Ratio, Monocyte-to-Lymphocyte Ratio, Platelet-to-Lymphocyte Ratio, and Mean Platelet Volume-to-Platelet Count Ratio as Biomarkers in Critically Ill and Injured Patients: Which Ratio to Choose to Predict Outcome and Nature of Bacteremia? Mediat. Inflamm. 2018, 2018, 3758068. [Google Scholar] [CrossRef]
- Li, T.; Dong, G.; Zhang, M.; Xu, Z.; Hu, Y.; Xie, B.; Wang, Y.; Xu, B. Association of Neutrophil-Lymphocyte Ratio and the Presence of Neonatal Sepsis. J. Immunol. Res. 2020, 2020, 7650713. [Google Scholar] [CrossRef] [PubMed]
- Hou, S.K.; Lin, H.A.; Chen, S.C.; Lin, C.F.; Lin, S.F. Monocyte Distribution Width, Neutrophil-to-Lymphocyte Ratio, and Platelet-to-Lymphocyte Ratio Improves Early Prediction for Sepsis at the Emergency. J. Pers. Med. 2021, 11, 732. [Google Scholar] [CrossRef] [PubMed]
- Zahorec, R. Neutrophil-to-Lymphocyte Ratio, Past, Present and Future Perspectives. Bratisl. Med. J. 2021, 122, 474–488. [Google Scholar] [CrossRef]
- Conway, E.A.; Pizarro Del Valle, C.; Waugh, E.M.; French, A.; Ridyard, A.E. Retrospective Investigation of the Neutrophil-to-Lymphocyte Ratio in Dogs with Pneumonia: 49 Cases (2011–2016). J. Vet. Emerg. Crit. Care 2021, 31, 490–497. [Google Scholar] [CrossRef]
- Hodgson, N.; Llewellyn, E.A.; Schaeffer, D.J. Utility and Prognostic Significance of Neutrophil-to-Lymphocyte Ratio in Dogs with Septic Peritonitis. J. Am. Anim. Hosp. Assoc. 2018, 54, 351–359. [Google Scholar] [CrossRef]
- Mutz, M.; Boudreaux, B.; Kearney, M.; Stroda, K.; Gaunt, S.; Shiomitsu, K. Prognostic Value of Baseline Absolute Lymphocyte Concentration and Neutrophil/Lymphocyte Ratio in Dogs with Newly Diagnosed Multi-Centric Lymphoma. Vet. Comp. Oncol. 2015, 13, 337–347. [Google Scholar] [CrossRef]
- MacFarlane, M.J.; MacFarlane, L.L.; Scase, T.; Parkin, T.; Morris, J.S. Use of Neutrophil to Lymphocyte Ratio for Predicting Histopathological Grade of Canine Mast Cell Tumours. Vet. Rec. 2016, 179, 491. [Google Scholar] [CrossRef]
- Macfarlane, L.; Morris, J.; Pratschke, K.; Mellor, D.; Scase, T.; Macfarlane, M.; Mclauchlan, G. Diagnostic Value of Neutrophil-Lymphocyte and Albumin-Globulin Ratios in Canine Soft Tissue Sarcoma. J. Small Anim. Pract. 2016, 57, 135–141. [Google Scholar] [CrossRef]
- Neumann, S. Neutrophil-to-Lymphocyte and Platelet-to-Lymphocyte Ratios in Dogs and Cats with Acute Pancreatitis. Vet. Clin. Pathol. 2021, 50, 45–51. [Google Scholar] [CrossRef]
- Park, J.; Lee, D.; Yun, T.; Koo, Y.; Chae, Y.; Kim, H.; Yang, M.P.; Kang, B.T. Evaluation of the Blood Neutrophil-to-Lymphocyte Ratio as a Biomarker for Meningoencephalitis of Unknown Etiology in Dogs. J. Vet. Intern. Med. 2022, 36, 1719–1725. [Google Scholar] [CrossRef] [PubMed]
- Klinger, M.H.F.; Jelkmann, W. Role of Blood Platelets in Infection and Inflammation. J. Interferon Cytokine Res. 2002, 22, 913–922. [Google Scholar] [CrossRef] [PubMed]
- Anitua, E.; Andia, I.; Ardanza, B.; Nurden, P.; Nurden, A.T. Autologous Platelets as a Source of Proteins for Healing and Tissue Regeneration. Thromb. Haemost. 2004, 91, 4–15. [Google Scholar] [CrossRef]
- Woolcock, A.D.; Keenan, A.; Cheung, C.; Christian, J.A.; Moore, G.E. Thrombocytosis in 715 Dogs (2011–2015). J. Vet. Intern. Med. 2017, 31, 1691–1699. [Google Scholar] [CrossRef] [PubMed]
- Hu, G.; Liu, Q.; Ma, J.Y.; Liu, C.Y. Prognostic Significance of Platelet-to-Lymphocyte Ratio in Cholangiocarcinoma: A Meta-Analysis. Biomed. Res. Int. 2018, 2018, 7375169. [Google Scholar] [CrossRef] [PubMed]
- Pierini, A.; Gori, E.; Lippi, I.; Lubas, G.; Marchetti, V. Are Leukocyte and Platelet Abnormalities and Complete Blood Count Ratios Potential Prognostic Markers in Canine Sepsis? Front. Vet. Sci. 2020, 7, 578846. [Google Scholar] [CrossRef]
- Durán-Galea, A.; Cristóbal-Verdejo, J.I.; Barrera-Chacón, R.; Macías-García, B.; González-Solís, M.A.; Nicolás-Barceló, P.; García-Ibáñez, A.B.; Ruíz-Tapia, P.; Duque-Carrasco, F.J. Clinical Importance of Neutrophil-to-Lymphocyte Ratio, Platelet-to-Lymphocyte Ratio and Systemic Immune-Inflammation Index in Dogs with Leishmaniasis. Comp. Immunol. Microbiol. Infect. Dis. 2024, 107, 102148. [Google Scholar] [CrossRef]
- Becher, A.; Suchodolski, J.S.; Steiner, J.M.; Heilmann, R.M. Blood Neutrophil-to-Lymphocyte Ratio (NLR) as a Diagnostic Marker in Dogs with Chronic Enteropathy. J. Vet. Diagn. Investig. 2021, 33, 516–527. [Google Scholar] [CrossRef]
- Benvenuti, E.; Pierini, A.; Gori, E.; Lucarelli, C.; Lubas, G.; Marchetti, V. Neutrophil-to-Lymphocyte Ratio (NLR) in Canine Inflammatory Bowel Disease (IBD). Vet. Sci. 2020, 7, 141. [Google Scholar] [CrossRef]
- Cristóbal, J.I.; Duque, F.J.; Usón-Casaús, J.; Barrera, R.; López, E.; Pérez-Merino, E.M. Complete Blood Count-Derived Inflammatory Markers Changes in Dogs with Chronic Inflammatory Enteropathy Treated with Adipose-Derived Mesenchymal Stem Cells. Animals 2022, 12, 2798. [Google Scholar] [CrossRef]
- Kurt, M.; Onal, I.K.; Sayilir, A.; Beyazit, Y.; Oztas, E.; Kekilli, M.; Turhan, N.; Karaman, K.; Akdogan, M. The Role of Mean Platelet Volume in the Diagnosis of Hepatocellular Carcinoma in Patients with Chronic Liver Disease. Hepatogastroenterology 2012, 59, 1580–1582. [Google Scholar] [PubMed]
- Karaman, K.; Bostanci, E.B.; Aksoy, E.; Kurt, M.; Celep, B.; Ulas, M.; Dalgic, T.; Surmelioglu, A.; Hayran, M.; Akoglu, M. The Predictive Value of Mean Platelet Volume in Differential Diagnosis of Non-Functional Pancreatic Neuroendocrine Tumors from Pancreatic Adenocarcinomas. Eur. J. Intern. Med. 2011, 22, 95–98. [Google Scholar] [CrossRef]
- Afari, M.E.; Bhat, T. Neutrophil to Lymphocyte Ratio (NLR) and Cardiovascular Diseases: An Update. Expert. Rev. Cardiovasc. Ther. 2016, 14, 573–577. [Google Scholar] [CrossRef] [PubMed]
- Chen, H.; Li, M.; Liu, L.; Dang, X.; Zhu, D.; Tian, G. Monocyte/Lymphocyte Ratio Is Related to the Severity of Coronary Artery Disease and Clinical Outcome in Patients with Non-ST-Elevation Myocardial Infarction. Medicine 2019, 98, e16267. [Google Scholar] [CrossRef] [PubMed]
- Henriques, J.; Felisberto, R.; Constantino-Casas, F.; Cabeçadas, J.; Dobson, J. Peripheral Blood Cell Ratios as Prognostic Factors in Canine Diffuse Large B-Cell Lymphoma Treated with CHOP Protocol. Vet. Comp. Oncol. 2021, 19, 242–252. [Google Scholar] [CrossRef]
- Marôco, J. Regressão Categorial. In Análise Estatística com o SPSS Statistics 25; Report Number; Análise e Gestão de Informação, LDA: Pêro Pinheiro, Portugal, 2018; Volume 18, pp. 807–841. [Google Scholar]
- Yamauchi, A.; Yoshimoto, S.; Kudo, A.; Takagi, S. Negative Influence of Aging on Differentiation and Proliferation of CD8+ T-Cells in Dogs. Vet. Sci. 2023, 10, 541. [Google Scholar] [CrossRef]
- Oh, B.S.; Jang, J.W.; Kwon, J.H.; You, C.R.; Chung, K.W.; Kay, C.S.; Jung, H.S.; Lee, S. Prognostic Value of C-Reactive Protein and Neutrophil-to-Lymphocyte Ratio in Patients with Hepatocellular Carcinoma. BMC Cancer 2013, 13, 78. [Google Scholar] [CrossRef]
- Lu, R.; Li, W.; Wang, X.; Shi, D.; Meng, H. Elevated Neutrophil-to-Lymphocyte Ratio but Not Platelet-to-Lymphocyte Ratio Is Associated with Generalized Aggressive Periodontitis in a Chinese Population. J. Periodontol. 2021, 92, 507–513. [Google Scholar] [CrossRef]
- Turkmen, K.; Guney, I.; Yerlikaya, F.H.; Tonbul, H.Z. The Relationship Between Neutrophil-to-Lymphocyte Ratio and Inflammation in End-Stage Renal Disease Patients. Ren. Fail. 2012, 34, 155–159. [Google Scholar] [CrossRef]
- Liu, J.H.; Zhang, Y.J.; Ma, Q.H.; Sun, H.P.; Xu, Y.; Pan, C.W. Elevated Blood Neutrophil to Lymphocyte Ratio in Older Adults with Cognitive Impairment. Arch. Gerontol. Geriatr. 2020, 88, 104041. [Google Scholar] [CrossRef]
- Bassani, B.; Cucchiara, M.; Butera, A.; Kayali, O.; Chiesa, A.; Palano, M.T.; Olmeo, F.; Gallazzi, M.; Dellavia, C.P.B.; Mortara, L.; et al. Neutrophils’ Contribution to Periodontitis and Periodontitis-Associated Cardiovascular Diseases. Int. J. Mol. Sci. 2023, 24, 15370. [Google Scholar] [CrossRef] [PubMed]
- Kumar, V.; Sharma, A. Neutrophils: Cinderella of Innate Immune System. Int. Immunopharmacol. 2010, 10, 1325–1334. [Google Scholar] [CrossRef] [PubMed]
- Bhansali, R.S.; Yeltiwar, R.K.; Bhat, K.G. Assessment of Peripheral Neutrophil Functions in Patients with Localized Aggressive Periodontitis in the Indian Population. J. Indian Soc. Periodontol. 2013, 17, 731–736. [Google Scholar] [CrossRef] [PubMed]
- Gonzales, J.R. T-and B-Cell Subsets in Periodontitis. Periodontology 2000 2015, 69, 181–200. [Google Scholar] [CrossRef]
- Kinane, D.F.; Lappin, D.F.; Culshaw, S. The Role of Acquired Host Immunity in Periodontal Diseases. Periodontology 2000 2024, 1–15. [Google Scholar] [CrossRef]
- Cavalla, F.; Hernández, M. Polarization Profiles of T Lymphocytes and Macrophages Responses in Periodontitis. Adv. Exp. Med. Biol. 2022, 1373, 195–208. [Google Scholar] [CrossRef]
- Han, N.; Liu, Y.; Du, J.; Xu, J.; Guo, L.; Liu, Y. Regulation of the Host Immune Microenvironment in Periodontitis and Periodontal Bone Remodeling. Int. J. Mol. Sci. 2023, 24, 3158. [Google Scholar] [CrossRef]
- Bittner-Eddy, P.D.; Fischer, L.A.; Costalonga, M. Transient Expression of IL-17A in Foxp3 Fate-Tracked Cells in Porphyromonas Gingivalis-Mediated Oral Dysbiosis. Front. Immunol. 2020, 11, 677. [Google Scholar] [CrossRef]
- Yang, B.; Pang, X.; Li, Z.; Chen, Z.; Wang, Y. Immunomodulation in the Treatment of Periodontitis: Progress and Perspectives. Front. Immunol. 2021, 12, 781378. [Google Scholar] [CrossRef]
- Figueredo, C.M.; Lira-Junior, R.; Love, R.M. T and B Cells in Periodontal Disease: New Functions in A Complex Scenario. Int. J. Mol. Sci. 2019, 20, 3949. [Google Scholar] [CrossRef]
- Díaz-Zúñiga, J.; Melgar-Rodríguez, S.; Monasterio, G.; Pujol, M.; Rojas, L.; Alvarez, C.; Carvajal, P.; Vernal, R. Differential Human Th22-Lymphocyte Response Triggered by Aggregatibacter Actinomycetemcomitans Serotypes. Arch. Oral Biol. 2017, 78, 26–33. [Google Scholar] [CrossRef] [PubMed]
- Azab, B.; Bhatt, V.R.; Phookan, J.; Murukutla, S.; Kohn, N.; Terjanian, T.; Widmann, W.D. Usefulness of the Neutrophil-to-Lymphocyte Ratio in Predicting Short- and Long-Term Mortality in Breast Cancer Patients. Ann. Surg. Oncol. 2012, 19, 217–224. [Google Scholar] [CrossRef]
- DeBowes, L.J. The Effects of Dental Disease on Systemic Disease. Vet. Clin. N. Am. Small Anim. Pract. 1998, 28, 1057–1062. [Google Scholar] [CrossRef]
- Preshaw, P.M.; Taylor, J.J. How Has Research into Cytokine Interactions and Their Role in Driving Immune Responses Impacted Our Understanding of Periodontitis? J. Clin. Periodontol. 2011, 38, 60–84. [Google Scholar] [CrossRef]
- Kinane, D.F.; Preshaw, P.M.; Loos, B.G. Host-Response: Understanding the Cellular and Molecular Mechanisms of Host-Microbial Interactions—Consensus of the Seventh European Workshop on Periodontology. J. Clin. Periodontol. 2011, 38, 44–48. [Google Scholar] [CrossRef] [PubMed]
- Iqbal, P.S.; Khan, S.N.; Haris, M.; Narayanan, M.; Laju, S.; Kumar, S.S. Assessment of Systemic Inflammatory Markers in Patients with Aggressive Periodontitis. J. Int. Oral Health 2015, 7, 48–51. [Google Scholar]
- Kamath, S.; Blann, A.D.; Lip, G.Y.H. Platelet Activation: Assessment and Quantification. Eur. Heart J. 2001, 22, 1561–1571. [Google Scholar] [CrossRef] [PubMed]
- Taylor, B.A.; Tofler, G.H.; Carey, H.M.R.; Morel-Kopp, M.-C.; Philcox, S.; Carter, T.R.; Elliott, M.J.; Kull, A.D.; Ward, C.; Schenck, K. Full-Mouth Tooth Extraction Lowers Systemic Inflammatory and Thrombotic Markers of Cardiovascular Risk. J. Dent. Res. 2005, 85, 74–78. [Google Scholar] [CrossRef]
- Mutthineni, R.; Ramishetty, A.; Gojja, P.; Muralidaran, G.; Burle, V. Platelet Indices Be a New Biomarker for Periodontal Disease. Contemp. Clin. Dent. 2021, 12, 289–293. [Google Scholar] [CrossRef]
- Papapanagiotou, D.; Nicu, E.A.; Bizzarro, S.; Gerdes, V.E.A.; Meijers, J.C.; Nieuwland, R.; van der Velden, U.; Loos, B.G. Periodontitis Is Associated with Platelet Activation. Atherosclerosis 2009, 202, 605–611. [Google Scholar] [CrossRef]
- Mishra, S.; Gazala, M.P.; Rahman, W. Clinical and Diagnostic Significance of Blood Leukocyte Ratios in Young Patients with Stage III Grade C Periodontitis. Acta Odontol. Scand. 2022, 80, 1969035. [Google Scholar] [CrossRef] [PubMed]
- Albuquerque, C.; Morinha, F.; Magalhães, J.; Requicha, J.; Dias, I.; Guedes-Pinto, H.; Bastos, E.; Viegas, C. Variants in the Interleukin-1 Alpha and Beta Genes, and the Risk for Periodontal Disease in Dogs. J. Genet. 2015, 94, 651–659. [Google Scholar] [CrossRef]
- Shiroddria, S.; Smith, J.; McKay, I.J.; Kennett, C.N.; Hughes, F.J. Polymorphisms in the IL-1A Gene Are Correlated with Levels of Interleukin-1α Protein in Gingival Crevicular Fluid of Teeth with Severe Periodontal Disease. J. Dent. Res. 2000, 79, 1864–1869. [Google Scholar] [CrossRef]
- Graves, D.T.; Cochran, D. The Contribution of Interleukin-1 and Tumor Necrosis Factor to Periodontal Tissue Destruction. J. Periodontol. 2003, 74, 391–401. [Google Scholar] [CrossRef] [PubMed]
- Buhlin, K.; Gustafsson, A.; Pockley, A.G.; Frostegård, J.; Klinge, B. Risk Factors for Cardiovascular Disease in Patients with Periodontitis. Eur. Heart J. 2003, 24, 2099–2107. [Google Scholar] [CrossRef]
- Marchesi, M.C.; Maggi, G.; Cremonini, V.; Miglio, A.; Contiero, B.; Guglielmini, C.; Antognoni, M.T. Monocytes Count, NLR, MLR and PLR in Canine Inflammatory Bowel Disease. Animals 2024, 14, 837. [Google Scholar] [CrossRef]
- Hutter, J.W.; Van Der Velden, U.; Varoufaki, A.; Huffels, R.A.M.; Hoek, F.J.; Loos, B.G. Lower Numbers of Erythrocytes and Lower Levels of Hemoglob in Periodontitis Patients Compared to Control Subjects. J. Clin. Periodontol. 2001, 28, 930–936. [Google Scholar] [CrossRef] [PubMed]
- Yamamoto, T.; Tsuneishi, M.; Furuta, M.; Ekuni, D.; Morita, M.; Hirata, Y. Relationship Between Decrease of Erythrocyte Count and Progression of Periodontal Disease in a Rural Japanese Population. J. Periodontol. 2011, 82, 106–113. [Google Scholar] [CrossRef] [PubMed]
- Anand, P.S.; Sagar, D.K.; Ashok, S.; Kamath, K.P. Association of Aggressive Periodontitis with Reduced Erythrocyte Counts and Reduced Hemoglobin Levels. J. Periodontal. Res. 2014, 49, 719–728. [Google Scholar] [CrossRef]
- Aljohani, H.A. Association between Hemoglobin Level and Severity of Chronic Periodontitis. JKAU Med. Sci. 2010, 17, 53–64. [Google Scholar] [CrossRef]
- Thongsahuan, S.; Fonghoi, L.; Kaewfai, S.; Srinoun, K. Precision and Accuracy of the Mindray BC-5000Vet Hematology Analyzer for Canine and Feline Blood. Vet. Clin. Pathol. 2020, 49, 207–216. [Google Scholar] [CrossRef] [PubMed]









| Group | Median (Range) Age of Dogs (Years) | Median (Range) Weight of Dogs (kg) | Number of Female Dogs (%) | Number of Male Dogs (%) |
|---|---|---|---|---|
| C | 2 (1–8) | 13.0 (10.0–16.0) | 14 (58.3%) | 10 (41.7%) |
| G | 2.5 (1–9) | 13.0 (9.0–17.0) | 14 (53.8%) | 12 (46.2%) |
| P | 3 (1–11) | 13.0 (9.0–17.0) | 17 (56.7%) | 13 (43.3%) |
| Variable | Unit and Reference Range | Control Group | Gingivitis Group | Periodontitis Group |
|---|---|---|---|---|
| WBC | 6.000–17.000 × 109/L | 11.300 ± 3.410 a | 13.300 ± 3.150 b | 12.300 ± 3.920 b |
| NEU | 3.620–12.300 × 109/L | 7.560 ± 2.500 b | 8.880 ± 2.690 b | 7.770 ± 2.500 b |
| LYM | 0.830–4.910 × 109/L | 2.150 (1.690–2.720) a | 2.600 (2.120–3.290) b | 2.830 (2.170–3.630) b |
| MON | 0.140–1.970 × 109/L | 0.650 (0.520–0.778) b | 0.735 (0.542–0.895) b | 0.675 (0.505–0.925) b |
| EOS | 0.040–1.620 × 109/L | 0.595 (0.347–0.945) b | 0.770 (0.578–0.938) b | 0.560 (0.330–0.795) b |
| RBC | 5.100–8.500 × 1012/L | 6.290 ± 1.180 b | 6.340 ± 0.822 b | 7.010 ± 0.808 a |
| HGB | 110.000–190.000 g/L | 151.000 ± 26.500 b | 153.000 ± 19.000 b | 168.000 ± 17.900 a |
| HCT | 33.000–56.000% | 42.600 ± 7.140 b | 43.300 ± 5.080 b | 48.000 ± 4.820 a |
| MCV | 60.000–76.000 fL | 68.100 ± 4.780 b | 68.400 ± 3.870 b | 68.700 ± 3.480 b |
| MCH | 20.000–27.000 pg | 24.100 ± 1.720 b | 24.100 ± 1.470 b | 24.100 ± 1.450 b |
| MCHC | 300–380 g/L | 351 (349–356) b | 354 (347–358) b | 352 (344–357) b |
| RDW-CV | 0.125–0.172 | 0.138 (0.132–0.143) b | 0.139 (0.133–0.146) b | 0.139 (0.134–0.145) b |
| RDW-SD | 33.200–46.300 fL | 36.900 (35.300–38.300) b | 37.200 (35.900–38.700) b | 38.000 (36.400–39.100) b |
| PLT | 117.000–490.000 × 109/L | 326.000 (241.000–376.000) b | 237.000 (156.000–274.000) b | 260.000 (230.000–260.000) b |
| MPV | 8.000–14.100 fL | 10.100 (9.470–10.300) b | 10.100 (9.430–11.300) b | 10.000 (8.930–10.800) b |
| PDW | 12.000–17.500 | 15.800 (15.500–16.300) b | 15.700 (15.400–16.600) b | 16.000 (15.700–16.800) b |
| Gender | Age | |||||
|---|---|---|---|---|---|---|
| C Group | G Group | P Group | C Group | G Group | P Group | |
| Variable | p Value | |||||
| NLR | 0.666 | 0.560 | 0.113 | 0.227 | 0.124 | 0.444 |
| PLR | 0.403 | 0.527 | 0.133 | 0.696 | 0.073 | 0.111 |
| MPV/PLT | 0.464 | 0.131 | 0.477 | 0.139 | 0.384 | 0.453 |
| MLR | 0.931 | 0.494 | 0.213 | 0.826 | 0.335 | 0.009 |
| PNR | 0.796 | 0.899 | 0.711 | 0.170 | 0.415 | 0.100 |
| C Group (Median, 25th and 75th Percentiles) | G Group (Median, 25th and 75th Percentiles) | P Group (Median, 25th and 75th Percentiles) | |
|---|---|---|---|
| NLR | 3.460 (2.540–4.490) | 3.320 (2.420–4.460) | 2.430 (1.980–3.220) |
| PLR | 119.000 (85.700–210.000) | 76.900 (63.800–117.000) | 78.300 (59.700–123.000) |
| MPV/PLT | 0.031 (0.026–0.041) | 0.046 (0.034–0.067) | 0.040 (0.033–0.051) |
| MLR | 0.331 (0.239–0.379) | 0.272 (0.212–0.316) | 0.228 (0.186–0.288) |
| PNR | 40.400 (32.000–52.500) | 26.800 (20.800–35.300) | 31.800 (25.600–45.000) |
Disclaimer/Publisher’s Note: The statements, opinions and data contained in all publications are solely those of the individual author(s) and contributor(s) and not of MDPI and/or the editor(s). MDPI and/or the editor(s) disclaim responsibility for any injury to people or property resulting from any ideas, methods, instructions or products referred to in the content. |
© 2024 by the authors. Licensee MDPI, Basel, Switzerland. This article is an open access article distributed under the terms and conditions of the Creative Commons Attribution (CC BY) license (https://creativecommons.org/licenses/by/4.0/).
Share and Cite
Silva, C.; Abrantes, A.C.; Fontes, A.C.; Dias, I.; Domingues, R.; Peixoto, F.; Viegas, C. Evaluation of Haematological Ratios at: Different Stages of Canine Periodontal Disease. Vet. Sci. 2024, 11, 581. https://doi.org/10.3390/vetsci11110581
Silva C, Abrantes AC, Fontes AC, Dias I, Domingues R, Peixoto F, Viegas C. Evaluation of Haematological Ratios at: Different Stages of Canine Periodontal Disease. Veterinary Sciences. 2024; 11(11):581. https://doi.org/10.3390/vetsci11110581
Chicago/Turabian StyleSilva, Carolina, Ana Carolina Abrantes, Ana Carolina Fontes, Isabel Dias, Rosário Domingues, Francisco Peixoto, and Carlos Viegas. 2024. "Evaluation of Haematological Ratios at: Different Stages of Canine Periodontal Disease" Veterinary Sciences 11, no. 11: 581. https://doi.org/10.3390/vetsci11110581
APA StyleSilva, C., Abrantes, A. C., Fontes, A. C., Dias, I., Domingues, R., Peixoto, F., & Viegas, C. (2024). Evaluation of Haematological Ratios at: Different Stages of Canine Periodontal Disease. Veterinary Sciences, 11(11), 581. https://doi.org/10.3390/vetsci11110581

