The Indirect Antiglobulin (Coombs’) Test Is Specific but Less Sensitive Than the Direct Antiglobulin Test for Detecting Anti-Erythrocytic Autoantibodies and Thereby Immune-Mediated Hemolytic Anemia in Dogs
Abstract
Simple Summary
Abstract
1. Introduction
2. Materials and Methods
2.1. Animals and Samples
2.2. Laboratory Techniques
2.2.1. Preparation of Erythrocyte Suspensions for Indirect Antiglobulin Test
2.2.2. Direct Antiglobulin Test Methods
2.2.3. Indirect Antiglobulin Test Methods
2.3. Data Analyses
3. Results
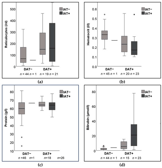
3.1. Signalment and Routine Blood Test Results
3.2. Direct and Indirect Antiglobulin Test Results
3.3. Analytical Laboratory Specificity, Sensitivity, and Correlations
4. Discussion
5. Conclusions
Author Contributions
Funding
Institutional Review Board Statement
Informed Consent Statement
Data Availability Statement
Acknowledgments
Conflicts of Interest
Appendix A. Results of Only Dog with Negative Direct Antiglobulin Test (DAT) and Positive Indirect Antiglobulin Test (IAT)
| Day | Test | STRIP KIT | GEL KIT | CAPIL | GEL LAB | MICRO * | Routine Blood Tests | |||||||||
| RAD | RAD | GAD | RAD | IgG | GAD | RAD | IgG | GAD | RAD | IgG | Hct | Retic | Bili | Protein | ||
| 1 | IAT | − | + ** | + | + | + | 1+ | + ** | + ** | 1:16–32 | 1:64 | 1:256 | 27 | 54.2 | 3.7 | 66.2 |
| DAT | ND | ND | ND | ND | ND | ND | ND | ND | ND | ND | − | |||||
| 111 | IAT | − | − | − | − | − | − | − | − | − | − | − | 41 | 38.8 | 1.4 | 64.8 |
| DAT | − | + ** | − | − | − | − | − | − | − | 1:8–16 | − | |||||
| ND: Not determined; Hct: hematocrit (%); Retic: reticulocyte count (/nL, reference range <110.0); Bili: bilirubin (μmol/L; reference rage <3.4), Protein (g/L, reference range 54–75). Bold marked test results are lying outside of the norm range. * at 4 °C, 22 °C, and 37 °C; ** double population. | ||||||||||||||||
Appendix B. Comparison of Cohen’s Kappa (κ) Values of Five Indirect Antiglobulin Test (IAT) Results from 94 Dogs Suspected to Have Immune-Mediated Hemolytic Anemia
| IAT Method | Antiglobulin | CAPIL | GEL LAB | GEL KIT | STRIP KIT | MICRO | |||||||||||
| Temperature | IgG 22 °C | RAD 22 °C | GAD 22 °C | IgG 22 °C | RAD 22 °C | GAD 22 °C | RAD 22 °C | RAD 22 °C | IgG 4 °C | IgG 37 °C | IgG 22 °C | RAD 4 °C | RAD 37 °C | RAD 22 °C | GAD 4 °C | GAD 37 °C | |
| MICRO | GAD 22 °C | 0.61 | 0.66 | 0.42 | 0.45 | 0.62 | 0.59 | 0.55 | 0.42 | 0.68 | 0.68 | 0.68 | 0.57 | 0.51 | 0.70 | 0.71 | 0.84 |
| GAD 37 °C | 0.62 | 0.59 | 0.54 | 0.44 | 0.75 | 0.59 | 0.43 | 0.38 | 0.53 | 0.53 | 0.53 | 0.45 | 0.39 | 0.56 | 0.72 | ||
| GAD 4 °C | 0.39 | 0.56 | 0.46 | 0.26 | 0.59 | 0.53 | 0.34 | 0.28 | 0.41 | 0.41 | 0.41 | 0.36 | 0.31 | 0.45 | |||
| RAD 22 °C | 0.68 | 0.65 | 0.34 | 0.58 | 0.56 | 0.45 | 0.71 | 0.34 | 0.86 | 0.86 | 0.86 | 0.85 | 0.77 | ||||
| RAD 37 °C | 0.61 | 0.65 | 0.23 | 0.47 | 0.39 | 0.31 | 0.84 | 0.23 | 0.71 | 0.71 | 0.71 | 0.92 | |||||
| RAD 4 °C | 0.56 | 0.60 | 0.26 | 0.53 | 0.45 | 0.36 | 0.86 | 0.26 | 0.79 | 0.79 | 0.79 | ||||||
| IgG 22 °C | 0.67 | 0.71 | 0.38 | 0.63 | 0.61 | 0.50 | 0.76 | 0.38 | 1.0 | 1.0 | |||||||
| IgG 37 °C | 0.67 | 0.71 | 0.38 | 0.63 | 0.61 | 0.50 | 0.76 | 0.38 | 1.0 | ||||||||
| IgG 4 °C | 0.67 | 0.71 | 0.38 | 0.63 | 0.61 | 0.50 | 0.76 | 0.38 | |||||||||
| STRIP KIT | RAD 22 °C | 0.23 | 0.11 | 0.15 | 0.19 | 0.23 | 0.28 | 0.25 | |||||||||
| GEL KIT | RAD 22 °C | 0.60 | 0.63 | 0.25 | 0.51 | 0.43 | 0.34 | ||||||||||
| GEL LAB | GAD 22 °C | 0.39 | 0.46 | 0.64 | 0.63 | 0.72 | |||||||||||
| RAD 22 °C | 0.62 | 0.68 | 0.69 | 0.66 | |||||||||||||
| IgG 22 °C | 0.55 | 0.44 | 0.46 | ||||||||||||||
| CAPIL | GAD 22 °C | 0.45 | 0.43 | ||||||||||||||
| RAD 22 °C | 0.80 | ||||||||||||||||
| IAT methods: STRIP KIT: in-clinic immunochromatographic strip kit; CAPIL: microcapillary tube; MICRO: microtiter plate; GEL KIT: in-clinic gel minitube kit; GEL LAB: laboratory neutral gel column card. Antiglobulin reagents: GAD: goat anti-dog IgG, IgM, and C3; RAD: rabbit anti-dog IgG, IgM, and C3; IgG: rabbit anti-dog IgG. Groups were compared by Cohen’s kappa (κ). Interpretation of the κ value as per Landis and Koch [28], adapted by Brennan and Silman [29]: Green: very good agreement (≥0.81); orange: good agreement (≥0.61); blue: moderate agreement (≥0.41); purple: fair agreement (≥0.21), red: poor agreement (≤0.20). Interpretation of the κ value, as per Landis and Koch [28] adapted by McHugh [30]: strong agreement (≥0.8); moderate agreement (≥0.6); weak agreement (≥0.4); minimal agreement (≥0.21), no agreement (≤0.2). | |||||||||||||||||
Appendix C. Times a Serum Sample Has Tested Positive with Different Indirect Antiglobulin Test (IAT) Methods
| IAT Method | Number of IAT+ Results | |||||
| IAT− | 1 IAT+ | 2 IAT+ | 3 IAT+ | 4 IAT+ | 5 IAT+ | |
| MICRO, 37 °C | 64 | 3 | 7 | 9 | 7 | 2 |
| GEL KIT, 22 °C | 64 | 2 | 6 | 9 | 7 | 2 |
| GEL LAB, 22 °C | 64 | 0 | 0 | 0 | 7 | 2 |
| STRIP KIT, 22 °C | 64 | 0 | 0 | 3 | 0 | 2 |
| CAPIL, 22 °C | 64 | 0 | 1 | 6 | 7 | 2 |
| Total | 64 | 5 | 7 | 9 | 7 | 2 |
| IAT methods: MICRO: microtiter plate; GEL KIT: gel minitube kit; GEL LAB: laboratory gel column; STRIP KIT: immunochromatographic strip kit; CAPIL: microcapillary technique. Antiglobulin used: polyvalent rabbit-anti-dog IgG, IgM, and C3. | ||||||
Appendix D. Comparison of Direct and Indirect Antiglobulin Test (DAT and IAT) Results in Dogs in Previously Published Studies, and the Study Reported Here
| Year of Publication | Quimby (1980) | Kaplan (1983) | Jones (1986) | Idalan (2023) |
| Dogs studied, n | 193 | 18 | 23 | 94 |
| DAT+, n | 15 | 9 | 8 | 47 |
| IAT+, n | 6 | 3 (6 *) | 0 (23 **) | 28 |
| IAT−, n | 187 | 15 | 23 (0 **) | 66 |
| Antiglobulin | poly | poly and mono IgG, IgM, and C | poly and mono IgG, IgM, and C | poly |
| Method (titer) | TUBES | MICRO | TUBES | MICRO |
| Sensitivity, % | 40 | 33 | 0 | 57 |
| Specificity, % | 100 | 100 | 100 | 98 |
| * Staphylococcus protein A enhanced for IgG IAT+; ** papain enhanced IAT+; MICRO: microtiter plate; mono: monovalent; poly: polyvalent; TUBES: tubes for each reagent concentration. | ||||
References
- Garden, O.A.; Kidd, L.; Mexas, A.M.; Chang, Y.M.; Jeffery, U.; Blois, S.L.; Fogle, J.E.; MacNeill, A.L.; Lubas, G.; Birkenheuer, A.; et al. ACVIM consensus statement on the diagnosis of immune-mediated hemolytic anemia in dogs and cats. J. Vet. Intern. Med. 2019, 33, 313–334. [Google Scholar] [CrossRef] [PubMed]
- Sun, P.L.; Jeffery, U. Effect of dilution of canine blood samples on the specificity of saline agglutination tests for immune-mediated hemolysis. J. Vet. Intern. Med. 2020, 34, 2374–2383. [Google Scholar] [CrossRef]
- Swann, J.W.; Tayler, S.; Hall, H.; Sparrow, R.; Skelly, B.J.; Glanemann, B. Cross-sectional study of approaches to diagnosis and management of dogs with immune-mediated haemolytic anaemia in primary care and referral veterinary practices in the United Kingdom. PLoS ONE 2021, 16, e0257700. [Google Scholar] [CrossRef] [PubMed]
- Carr, A.P.; Panciera, D.L.; Kidd, L. Prognostic factors for mortality and thromboembolism in canine immune-mediated hemolytic anemia: A retrospective study of 72 dogs. J. Vet. Intern. Med. 2002, 16, 504–509. [Google Scholar] [CrossRef]
- Scott-Moncrieff, J.C.; Treadwell, N.G.; McCullough, S.M.; Brooks, M.B. Hemostatic abnormalities in dogs with primary immune-mediated hemolytic anemia. J. Am. Anim. Hosp. Assoc. 2001, 37, 220–227. [Google Scholar] [CrossRef] [PubMed]
- Weiss, D.J.; Brazzell, J.L. Detection of activated platelets in dogs with primary immune-mediated hemolytic anemia. J. Vet. Intern. Med. 2006, 20, 682–686. [Google Scholar] [CrossRef]
- Piek, C.J.; Junius, G.; Dekker, A.; Schrauwen, E.; Slappendel, R.J.; Teske, E. Idiopathic immune-mediated hemolytic anemia: Treatment outcome and prognostic factors in 149 dogs. J. Vet. Intern. Med. 2008, 22, 366–373. [Google Scholar] [CrossRef]
- Conway, E.A.; Evans, N.P.; Ridyard, A.E. Urinary 11-dehydrothromboxane B. J. Vet. Intern. Med. 2022, 36, 86–96. [Google Scholar] [CrossRef]
- Weiss, D.; Tvedten, H. Erythrocytes disorders. In Small Animal Clinical Diagnosis by Laboratory Methods; Elsevier: Amsterdam, The Netherlands, 2012; p. 50. [Google Scholar] [CrossRef]
- Idalan, N.; Zeitz, J.O.; Weber, C.N.; Müller, E.; Giger, U. Comparative study of immunohematological tests with canine blood samples submitted for a direct antiglobulin (Coombs’) test. Canine Med. Genet. 2021, 8, 10. [Google Scholar] [CrossRef]
- Paes, G.; Paepe, D.; Meyer, E.; Kristensen, A.T.; Duchateau, L.; Campos, M.; Daminet, S. The use of the rapid osmotic fragility test as an additional test to diagnose canine immune-mediated haemolytic anaemia. Acta Vet. Scand. 2013, 55, 74. [Google Scholar] [CrossRef]
- Slappendel, R.J.; Van Zwieten, R.; Van Leeuwen, M.; Schneijdenberg, C.T. Hereditary spectrin deficiency in Golden Retriever dogs. J. Vet. Intern. Med. 2005, 19, 187–192. [Google Scholar] [CrossRef]
- Caviezel, L.L.; Raj, K.; Giger, U. Comparison of 4 direct Coombs’ test methods with polyclonal antiglobulins in anemic and nonanemic dogs for in-clinic or laboratory use. J. Vet. Intern. Med. 2014, 28, 583–591. [Google Scholar] [CrossRef]
- Wilkerson, M.J.; Davis, E.; Shuman, W.; Harkin, K.; Cox, J.; Rush, B. Isotype-specific antibodies in horses and dogs with immune-mediated hemolytic anemia. J. Vet. Intern. Med. 2000, 14, 190–196. [Google Scholar] [CrossRef]
- Jäger, U.; Barcellini, W.; Broome, C.M.; Gertz, M.A.; Hill, A.; Hill, Q.A.; Jilma, B.; Kuter, D.J.; Michel, M.; Montillo, M.; et al. Diagnosis and treatment of autoimmune hemolytic anemia in adults: Recommendations from the First International Consensus Meeting. Blood Rev. 2020, 41, 100648. [Google Scholar] [CrossRef] [PubMed]
- Theis, R.T.; Hashmi, M.F. Coombs Test; StatPearls: Tampa, FL, USA, 2023; Bookshelf ID: NBK547707. [Google Scholar] [PubMed]
- Wardrop, K.J. The Coombs’ test in veterinary medicine: Past, present, future. Vet. Clin. Pathol. 2005, 34, 325–334. [Google Scholar] [CrossRef] [PubMed]
- MacNeill, A.L.; Dandrieux, J.; Lubas, G.; Seelig, D.; Szladovits, B. The utility of diagnostic tests for immune-mediated hemolytic anemia. Vet. Clin. Pathol. 2019, 48, 7–16. [Google Scholar] [CrossRef]
- Quimby, F.W.; Smith, C.; Brushwein, M.; Lewis, R.W. Efficacy of immunoserodiagnostic procedures in the recognition of canine immunologic diseases. Am. J. Veter. Res. 1980, 41, 1662–1666. [Google Scholar]
- Kaplan, A.V.; Quimby, F.W. A radiolabeled staphylococcal protein A assay for detection of anti-erythrocyte IgG in warm agglutinin autoimmune hemolytic anemia of dogs and man. Vet. Immunol. Immunopathol. 1983, 4, 307–317. [Google Scholar] [CrossRef]
- Jones, D.R. Use of an enzyme indirect antiglobulin test for the diagnosis of autoimmune haemolytic anaemia in the dog. Res. Vet. Sci. 1986, 41, 187–190. [Google Scholar] [CrossRef]
- Blais, M.C.; Rozanski, E.A.; Hale, A.S.; Shaw, S.P.; Cotter, S.M. Lack of evidence of pregnancy-induced alloantibodies in dogs. J. Vet. Intern. Med. 2009, 23, 462–465. [Google Scholar] [CrossRef]
- Lee, J.H.; Giger, U.; Kim, H.Y. Kai 1 and Kai 2: Characterization of these dog erythrocyte antigens by monoclonal antibodies. PLoS ONE 2017, 12, e0179932. [Google Scholar] [CrossRef] [PubMed]
- Kessler, R.J.; Reese, J.; Chang, D.; Seth, M.; Hale, A.S.; Giger, U. Dog erythrocyte antigens 1.1, 1.2, 3, 4, 7, and Dal blood typing and cross-matching by gel column technique. Vet. Clin. Pathol. 2010, 39, 306–316. [Google Scholar] [CrossRef] [PubMed]
- IBM Corp. IBM SPSS Statistics for Windows, Version 28.0; IBM Corp.: Armonk, NY, USA, 2021. [Google Scholar]
- Fleiss, J.L. Measuring Nominal Scale Agreement among Many Raters. Psychol. Bull. 1971, 76, 378–382. [Google Scholar] [CrossRef]
- Cohen, J. A Coefficient of Agreement for Nominal Scales. Educ. Psychol. Meas. 1960, 20, 37–46. [Google Scholar] [CrossRef]
- Landis, J.R.; Koch, G.G. An application of hierarchical kappa-type statistics in the assessment of majority agreement among multiple observers. Biometrics 1977, 33, 363–374. [Google Scholar] [CrossRef]
- Brennan, P.; Silman, A. Statistical methods for assessing observer variability in clinical measures. BMJ 1992, 304, 1491–1494. [Google Scholar] [CrossRef]
- McHugh, M.L. Interrater reliability: The kappa statistic. Biochem. Med. 2012, 22, 276–282. [Google Scholar] [CrossRef]
- Shapiro, S.S.; Wilk, M.B. An Analysis of Variance Test for Normality (Complete Samples). Biometrika 1965, 52, 591–611. [Google Scholar] [CrossRef]
- Student, B. The Probable Error of a Mean. Biometrika 1908, 6, 1–25. [Google Scholar] [CrossRef]
- Wilcoxin, F. Probability tables for individual comparisons by ranking methods. Biometrics 1947, 3, 119–122. [Google Scholar] [CrossRef]
- Fisher, R.A. On the Interpretation of χ2 from Contingency Tables, and the Calculation of P. J. R. Stat. Soc. 1922, 85, 87–94. [Google Scholar] [CrossRef]
- Cochran, W.G. The χ2 Test of Goodness of Fit. Ann. Math. Stat. 1952, 23, 315–345. [Google Scholar] [CrossRef]
- Saah, A.J.; Hoover, D.R. “Sensitivity” and “specificity” reconsidered: The meaning of these terms in analytical and diagnostic settings. Ann. Intern. Med. 1997, 126, 91–94. [Google Scholar] [CrossRef] [PubMed]
- Spada, E.; Perego, R.; Baggiani, L.; Proverbio, D. Comparison of Conventional Tube and Gel-Based Agglutination Tests for AB System Blood Typing in Cat. Front. Vet. Sci. 2020, 7, 312. [Google Scholar] [CrossRef]
- Thomas-Hollands, A.; Hess, R.S.; Weinstein, N.M.; Marryott, K.; Fromm, S.; Chappini, N.A.; Callan, M.B. Effect of donor blood storage on gel column crossmatch in dogs. Vet. Clin. Pathol. 2023, 52, 30–37. [Google Scholar] [CrossRef]
- Transusion medicine commitee Antibody detection, antibody identification, and serologic compatibility testing methods. In AABB Technical Manual, 14th ed.; Brecher, M.E., Ed.; American Association of Blood Banks: Bethesda, MD, USA, 2002; pp. 688–689. [Google Scholar]
- Weinkle, T.K.; Center, S.A.; Randolph, J.F.; Warner, K.L.; Barr, S.C.; Erb, H.N. Evaluation of prognostic factors, survival rates, and treatment protocols for immune-mediated hemolytic anemia in dogs: 151 cases (1993–2002). J. Am. Vet. Med Assoc. 2005, 226, 1869–1880. [Google Scholar] [CrossRef]
- Lanaux, T.M.; Rozanski, E.A.; Simoni, R.S.; Price, L.L.; Buckley, G.J.; Stockman, C.; Knoll, J.S. Interpretation of canine and feline blood smears by emergency room personnel. Veter. Clin. Pathol. 2011, 40, 18–23. [Google Scholar] [CrossRef]
- Michalak, S.S.; Olewicz-Gawlik, A.; Rupa-Matysek, J.; Wolny-Rokicka, E.; Nowakowska, E.; Gil, L. Autoimmune hemolytic anemia: Current knowledge and perspectives. Immun. Ageing 2020, 17, 38. [Google Scholar] [CrossRef]
- Sigdel, A.; Chalise, G.; Bolideei, M.; Malla, S.S. Comparison between the Manual Method of Indirect Coombs via Gel Technology and Solid Phase Red Cell Adherence. Maedica 2021, 16, 200–206. [Google Scholar] [CrossRef]
- Overmann, J.A.; Sharkey, L.C.; Weiss, D.J.; Borjesson, D.L. Performance of 2 microtiter canine Coombs’ tests. Vet. Clin. Pathol. 2007, 36, 179–183. [Google Scholar] [CrossRef]
- Okutsu, M.; Ohto, H.; Yasuda, H.; Kawabata, K.; Ono, S.; Saito, S.; Sugawara, A.; Kikuchi, M.; Miura, S.; Ishii, Y.; et al. Increased detection of clinically significant antibodies and decreased incidence of delayed haemolytic transfusion reaction with the indirect antiglobulin test potentiated by polyethylene glycol compared to albumin: A Japanese study. Blood Transfus. 2011, 9, 311–319. [Google Scholar] [CrossRef] [PubMed]
- Pinkerton, P.; Ward, J.; Chan, R.; Coovadia, A. An evaluation of a gel technique for antibody screening compared with a conventional tube method. Transfus. Med. 1993, 3, 201–205. [Google Scholar] [CrossRef]
- Jones, D.R.; Darke, P.G. Use of papain for the detection of incomplete erythrocyte autoantibodies in autoimmune haemolytic anaemia of the dog and cat. J. Small Anim. Pract. 1975, 16, 273–279. [Google Scholar] [CrossRef] [PubMed]
- Hamilton, J.R. Saline-indirect antiglobulin test. Immunohematology 2019, 35, 156–158. [Google Scholar] [CrossRef]
- Manderson, C.A.; McLiesh, H.; Tabor, R.F.; Garnier, G. Droplet-based blood group antibody screening with laser incubation. Analyst 2021, 146, 2499–2505. [Google Scholar] [CrossRef]



| Breed | Dogs, n | |||||||
|---|---|---|---|---|---|---|---|---|
| Suspect IMHA | DAT+ | IAT+ | DAT− | IAT− | DAT+ IAT+ | DAT− IAT− | DAT+ IAT− | |
| Mixed breed * | 28 | 12 | 9 | 16 | 19 | 8 | 15 | 4 |
| Labrador Retriever | 5 | 3 | 2 | 2 | 3 | 2 | 2 | 1 |
| Cocker Spaniel | 4 | 2 | 2 | 2 | 2 | 2 | 2 | 0 |
| Cavalier King Charles | 3 | 0 | 0 | 3 | 3 | 0 | 3 | 0 |
| Chihuahua | 3 | 2 | 1 | 1 | 2 | 1 | 1 | 1 |
| German Shepherd | 3 | 0 | 0 | 3 | 3 | 0 | 3 | 0 |
| Poodle | 3 | 2 | 1 | 1 | 2 | 1 | 1 | 1 |
| Appenzeller | 2 | 2 | 1 | 0 | 1 | 1 | 0 | 1 |
| Border Collie | 2 | 0 | 0 | 2 | 2 | 0 | 2 | 0 |
| Dachshund | 2 | 2 | 1 | 0 | 1 | 1 | 0 | 1 |
| Fox terrier | 2 | 1 | 1 | 1 | 1 | 1 | 1 | 0 |
| Maltese | 2 | 2 | 0 | 0 | 2 | 0 | 0 | 2 |
| Rottweiler | 2 | 0 | 0 | 2 | 2 | 0 | 2 | 0 |
| Yorkshire Terrier | 2 | 1 | 1 | 1 | 1 | 1 | 1 | 0 |
| Other breeds with one dog | 27 | 16 | 8 | 11 | 19 | 8 | 11 | 8 |
| Breed not reported | 4 | 2 | 1 | 2 | 3 | 1 | 2 | 1 |
| Total | 94 | 47 | 28 | 47 | 66 | 27 | 46 | 20 |
| p-Values * | ||||
|---|---|---|---|---|
| Parameters | DAT+ vs. DAT− | IAT+ vs. IAT− | DAT+/IAT+ vs. DAT−/IAT− | DAT+/IAT+ vs. DAT+/IAT− |
| Age (n = 91) | 0.011 | 0.090 | 0.021 | 0.904 |
| Sex (n = 89) | 0.216 | 0.991 | 0.531 | 0.554 |
| Hematocrit (n = 89) | <0.001 | <0.001 | <0.001 | 0.083 |
| Reticulocytes (n = 85) | 0.005 | 0.123 | 0.11 | 0.789 |
| Bilirubin (n = 83) | 0.009 | 0.175 | <0.001 | 0.055 |
| Total Protein (n = 84) | 0.022 | 0.096 | 0.053 | 0.789 |
| Dogs, n | 94 | 94 | 73 | 47 |
| IAT Result | IAT Titer | DAT− | DAT+ | Total, n | ||||
|---|---|---|---|---|---|---|---|---|
| ≤1:4 | 1:8 | 1:16–32 | 1:64–128 | 1:256–512 | 1:1024–2048 | |||
| IAT– | ≤1:4 | 46 | 1 | 4 | 3 | 5 | 7 | 66 |
| IAT+ | 1:8 | 0 | 0 | 1 | 0 | 0 | 3 | 4 |
| 1:16–32 | 0 | 0 | 0 | 0 | 2 | 4 | 6 | |
| 1:64–128 | 1 | 0 | 0 | 1 | 1 | 3 | 6 | |
| 1:256–512 | 0 | 0 | 0 | 2 | 2 | 2 | 6 | |
| 1:1024–2048 | 0 | 0 | 0 | 0 | 0 | 6 | 6 | |
| Total, n | 47 | 1 | 5 | 6 | 10 | 25 | 94 | |
| MICRO IAT, n | ||||||||
|---|---|---|---|---|---|---|---|---|
| DAT− | DAT+ | |||||||
| Titer | ≤1:4 | 1:8 | 1:16–32 | 1:64–128 | 1:256–512 | 1:1024–2048 | ||
| GEL KIT | IAT– | − | 46 | 1 | 5 | 3 | 3 | 10 |
| IAT+ | 4+ | 0 | 0 | 0 | 0 | 0 | 3 | |
| + * | 1 ** | 0 | 0 | 3 | 7 | 12 | ||
| Total | 47 | 1 | 5 | 6 | 10 | 25 | ||
| Grading | IAT GEL LAB | ||
|---|---|---|---|
| GAD | RAD | IgG | |
| − | 87 | 85 | 83 |
| 1+ | 1 | 0 | 2 |
| 2+ | 4 | 3 | 4 |
| 3+ | 0 | 1 | 0 |
| 4+ | 2 | 3 | 3 |
| + * | 0 | 2 | 2 |
| Total (n) | 94 | 94 | 94 |
| IAT | Antiglobulin, Temperature, °C | Analytical Sensitivity, % | Analytical Specificity, % | Cohen’s Kappa (κ) | ||
|---|---|---|---|---|---|---|
| Value | Interpretation 1 | Interpretation 2 | ||||
| GEL KIT | RAD, 22 | 53.2 | 97.9 | 0.51 | Moderate | Weak |
| MICRO | RAD, 37 | 57.4 | 97.9 | 0.55 | Moderate | Weak |
| RAD, 4 | 51.1 | 97.9 | 0.48 | Moderate | Weak | |
| RAD, 22 | 40.4 | 97.9 | 0.38 | Fair | Weak | |
| IgG, 4, 22, 37 | 36.2 | 97.9 | 0.34 | Fair | Minimal | |
| GAD, 4, 22, 37 | 12.8–23.4 | 97.9 | 0.10–0.21 | Poor to fair | None to minimal | |
| CAPIL | RAD, 22 | 31.9 | 95.7 | 0.29 | Fair | Minimal |
| IgG, 22 | 29.8 | 97.9 | 0.27 | Fair | Minimal | |
| GAD, 22 | 8.5 | 97.9 | 0.06 | Poor | None | |
| STRIP KIT | RAD, 22 | 10.6 | 100 | 0.10 | Poor | None |
| GEL LAB | IgG, 22 | 21.3 | 97.9 | 0.19 | Poor | Minimal |
| RAD, 22 | 17.0 | 97.9 | 0.14 | Poor | None | |
| GAD, 22 | 12.8 | 97.9 | 0.10 | Poor | None | |
Disclaimer/Publisher’s Note: The statements, opinions and data contained in all publications are solely those of the individual author(s) and contributor(s) and not of MDPI and/or the editor(s). MDPI and/or the editor(s) disclaim responsibility for any injury to people or property resulting from any ideas, methods, instructions or products referred to in the content. |
© 2023 by the authors. Licensee MDPI, Basel, Switzerland. This article is an open access article distributed under the terms and conditions of the Creative Commons Attribution (CC BY) license (https://creativecommons.org/licenses/by/4.0/).
Share and Cite
Idalan, N.; Müller, E.; Giger, U. The Indirect Antiglobulin (Coombs’) Test Is Specific but Less Sensitive Than the Direct Antiglobulin Test for Detecting Anti-Erythrocytic Autoantibodies and Thereby Immune-Mediated Hemolytic Anemia in Dogs. Vet. Sci. 2023, 10, 415. https://doi.org/10.3390/vetsci10070415
Idalan N, Müller E, Giger U. The Indirect Antiglobulin (Coombs’) Test Is Specific but Less Sensitive Than the Direct Antiglobulin Test for Detecting Anti-Erythrocytic Autoantibodies and Thereby Immune-Mediated Hemolytic Anemia in Dogs. Veterinary Sciences. 2023; 10(7):415. https://doi.org/10.3390/vetsci10070415
Chicago/Turabian StyleIdalan, Nadine, Elisabeth Müller, and Urs Giger. 2023. "The Indirect Antiglobulin (Coombs’) Test Is Specific but Less Sensitive Than the Direct Antiglobulin Test for Detecting Anti-Erythrocytic Autoantibodies and Thereby Immune-Mediated Hemolytic Anemia in Dogs" Veterinary Sciences 10, no. 7: 415. https://doi.org/10.3390/vetsci10070415
APA StyleIdalan, N., Müller, E., & Giger, U. (2023). The Indirect Antiglobulin (Coombs’) Test Is Specific but Less Sensitive Than the Direct Antiglobulin Test for Detecting Anti-Erythrocytic Autoantibodies and Thereby Immune-Mediated Hemolytic Anemia in Dogs. Veterinary Sciences, 10(7), 415. https://doi.org/10.3390/vetsci10070415

