Testate Amoebae (Amphitremida, Arcellinida, Euglyphida) in Sphagnum Bogs: The Dataset from Eastern Fennoscandia
Abstract
:1. Summary
2. Data Description
2.1. The Dataset Structure
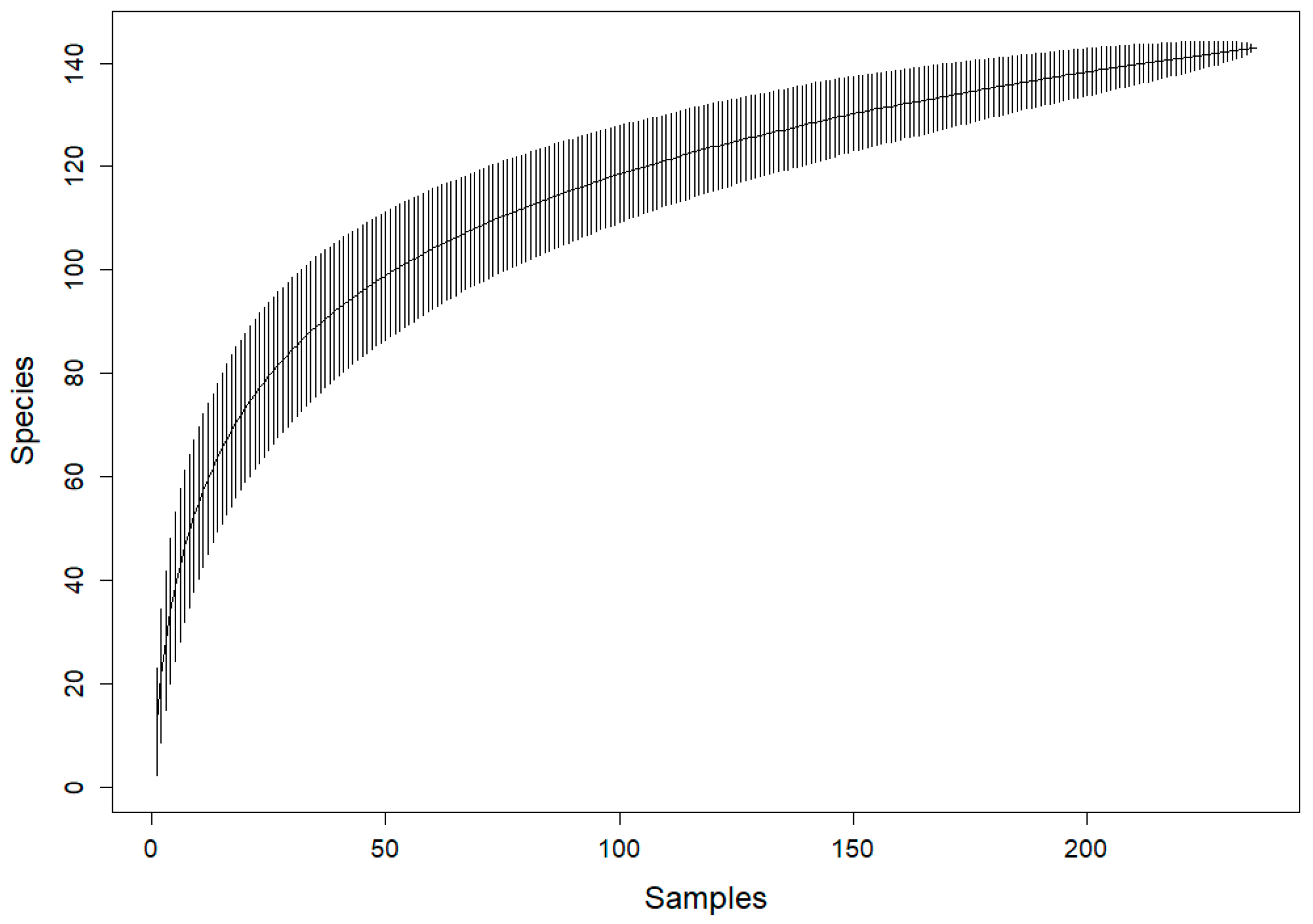
2.2. Dataset Performance
3. Methods
3.1. Study Area and Sampling Designs
3.2. Laboratorial Sample Processing and Taxonomical Identification
3.3. Data Processing
4. User Notes
Author Contributions
Funding
Institutional Review Board Statement
Informed Consent Statement
Data Availability Statement
Conflicts of Interest
References
- Mitchell, E.A.D.; Charman, D.J.; Warner, B.G. Testate Amoebae Analysis in Ecological and Paleoecological Studies of Wetlands: Past, Present and Future. Biodivers. Conserv. 2008, 17, 2115–2137. [Google Scholar] [CrossRef]
- Qin, Y.; Puppe, D.; Li, H.; Li, H.; Mazei, Y.; Tsyganov, A.N.; Man, B.; Huang, X.; Gu, Y.; Xie, S. Peatland Degradation in Asia Threatens the Biodiversity of Testate Amoebae (Protozoa) with Consequences for Protozoic Silicon Cycling. Geoderma 2022, 420, 115870. [Google Scholar] [CrossRef]
- Secco, E.D.; Haimi, J.; Vähäkuopus, T.; Ojala, A.; Valpola, S.; Meissner, K. Testate Amoebae as a Potential Tracer of Organic Matter Dislodged from Peat Extraction Areas. Boreal. Environ. Res. 2020, 25, 19–37. [Google Scholar]
- Payne, R.J. Seven Reasons Why Protists Make Useful Bioindicators. Acta Protozool. 2013, 52, 105–113. [Google Scholar] [CrossRef]
- Amesbury, M.J.; Swindles, G.T.; Bobrov, A.; Charman, D.J.; Holden, J.; Lamentowicz, M.; Mallon, G.; Mazei, Y.; Mitchell, E.A.D.; Payne, R.J.; et al. Development of a New Pan-European Testate Amoeba Transfer Function for Reconstructing Peatland Palaeohydrology. Quat. Sci. Rev. 2016, 152, 132–151. [Google Scholar] [CrossRef]
- Qin, Y.; Li, H.; Mazei, Y.; Kurina, I.; Swindles, G.T.; Bobrov, A.; Tsyganov, A.N.; Gu, Y.; Huang, X.; Xue, J.; et al. Developing a Continental-Scale Testate Amoeba Hydrological Transfer Function for Asian Peatlands. Quat. Sci. Rev. 2021, 258, 106868. [Google Scholar] [CrossRef]
- Booth, R.K. Testate Amoebae as Proxies for Mean Annual Water-Table Depth in Sphagnum-Dominated Peatlands of North America. J. Quat. Sci. 2008, 23, 43–57. [Google Scholar] [CrossRef]
- Swindles, G.T.; Reczuga, M.; Lamentowicz, M.; Raby, C.L.; Turner, T.E.; Charman, D.J.; Gallego-Sala, A.; Valderrama, E.; Williams, C.; Draper, F.; et al. Ecology of Testate Amoebae in an Amazonian Peatland and Development of a Transfer Function for Palaeohydrological Reconstruction. Microb. Ecol. 2014, 68, 284–298. [Google Scholar] [CrossRef]
- Ivanovskii, A.A.; Babeshko, K.V.; Chernyshov, V.A.; Esaulov, A.S.; Komarov, A.A.; Mazei, N.G.; Meskhadze, D.L.; Saldaev, D.A.; Tsyganov, A.N.; Bubnova, O.A.; et al. The Dataset on Testate Amoebae (Amphitremida; Arcellinida; Euglyphida) in Sphagnum Bogs from Eastern Fennoscandia (Northern Karelia). Version 1.5. Penza State University. 2023. Available online: https://www.gbif.org/dataset/5e3e9a4c-beae-425c-9b91-f89807a12704 (accessed on 19 October 2023).
- Heal, O.W. The Distribution of Testate Amoebae (Rhizopoda: Testacea) in Some Fens and Bogs in Northern England. Zool. J. Linn. Soc. 1961, 44, 369–382. [Google Scholar] [CrossRef]
- Jassey, V.E.J.; Chiapusio, G.; Mitchell, E.A.D.; Binet, P.; Toussaint, M.-L.; Gilbert, D. Fine-Scale Horizontal and Vertical Micro-Distribution Patterns of Testate Amoebae Along a Narrow Fen/Bog Gradient. Microb. Ecol. 2011, 61, 374–385. [Google Scholar] [CrossRef]
- Marcisz, K.; Lamentowicz, L.; Slowinska, S.; Slowinski, M.; Muszak, W.; Lamentowicz, M. Seasonal Changes in Sphagnum Peatland Testate Amoeba Communities along a Hydrological Gradient. Eur. J. Protistol. 2014, 50, 445–455. [Google Scholar] [CrossRef] [PubMed]
- Lamentowicz, M.; Lamentowicz, L.; van der Knaap, W.O.; Gabka, M.; Mitchell, E.A.D. Contrasting Species-Environment Relationships in Communities of Testate Amoebae, Bryophytes and Vascular Plants Along the Fen-Bog Gradient. Microb. Ecol. 2010, 59, 499–510. [Google Scholar] [CrossRef] [PubMed]
- Bobrov, A.A.; Wetterich, S.; Beermann, F.; Schneider, A.; Kokhanova, L.; Schirrmeister, L.; Pestryakova, L.A.; Herzschuh, U. Testate Amoebae and Environmental Features of Polygon Tundra in the Indigirka Lowland (East Siberia). Polar Biol. 2013, 36, 857–870. [Google Scholar] [CrossRef]
- Swindles, G.T.; Holden, J.; Raby, C.L.; Turner, T.E.; Blundell, A.; Charman, D.J.; Menberu, M.W.; Kløve, B. Testing Peatland Water-Table Depth Transfer Functions Using High-Resolution Hydrological Monitoring Data. Quat. Sci. Rev. 2015, 120, 107–117. [Google Scholar] [CrossRef]
- Secco, E.D.; Haimi, J.; Hogmander, H.; Taskinen, S.; Niku, J.; Meissner, K. Testate Amoebae Community Analysis as a Tool to Assess Biological Impacts of Peatland Use. Wetl. Ecol. Manag. 2018, 26, 597–611. [Google Scholar] [CrossRef]
- Lizonova, Z.; Zhai, M.; Bojkova, J.; Horsak, M. Small-Scale Variation of Testate Amoeba Assemblages: The Effect of Site Heterogeneity and Empty Shell Inclusion. Microb. Ecol. 2019, 77, 1014–1024. [Google Scholar] [CrossRef]
- Lizoňová, Z.; Horsák, M. Contrasting Diversity of Testate Amoebae Communities in Sphagnum and Brown-Moss Dominated Patches in Relation to Shell Counts. Eur. J. Protistol. 2017, 58, 135–142. [Google Scholar] [CrossRef]
- de Klerk, P.; Bobrov, A.; Theuerkauf, M.; Joosten, H. Short-Distance Distribution Patterns of Testate Amoebae in an Arctic Ice-Wedge Polygon Mire (Berelekh-Indigirka Lowlands, NE Siberia). Polar Biol. 2020, 43, 1321–1340. [Google Scholar] [CrossRef]
- Occurrence Data: GBIF IPT User Manual. Available online: https://ipt.gbif.org/manual/en/ipt/latest/occurrence-data (accessed on 23 August 2023).
- List of Darwin Core Terms. Available online: https://dwc.tdwg.org/list/ (accessed on 23 August 2023).
- Chao, A. Nonparametric Estimation of the Number of Classes in a Population. Scand. J. Stat. 1984, 11, 265–270. [Google Scholar]
- Colwell, R.K.; Coddington, J.A. Estimating Terrestrial Biodiversity through Extrapolation. Philos. Trans. R. Soc. London Ser. B Biol. Sci. 1994, 345, 101–118. [Google Scholar] [CrossRef]
- Magurran, A.E.; McGill, B.J. (Eds.) Biological Diversity: Frontiers in Measurement and Assessment; Oxford University Press: Oxford, UK; New York, NY, USA, 2011; ISBN 978-0-19-958067-5. [Google Scholar]
- Colwell, R.K.; Chao, A.; Gotelli, N.J.; Lin, S.-Y.; Mao, C.X.; Chazdon, R.L.; Longino, J.T. Models and Estimators Linking Individual-Based and Sample-Based Rarefaction, Extrapolation and Comparison of Assemblages. J. Plant Ecol. 2012, 5, 3–21. [Google Scholar] [CrossRef]
- R Core Team. R: A Language and Environment for Statistical Computing; R Foundation: Vienna, Austria, 2023. [Google Scholar]
- Oksanen, J.; Simpson, G.L.; Blanchet, F.G.; Kindt, R.; Legendre, P.; Minchin, P.R.; O’Hara, R.B.; Solymos, P.; Stevens, M.H.H.; Szoecs, E.; et al. Vegan: Community Ecology Package. R Package Version 2.6-4; R Foundation: Vienna, Austria, 2022; Available online: https://CRAN.R-project.org/package=vegan (accessed on 23 August 2023).
- Legendre, P.; Legendre, L. Numerical Ecology, 3rd ed.; Developments in Environmental Modelling; Elsevier: Amsterdam, The Netherlands, 2012; ISBN 978-0-444-53868-0. [Google Scholar]
- Zuur, A.F.; Ieno, E.N.; Smith, G.M. Analysing Ecological Data; Statistics for Biology and Health; Springer: New York, NY, USA, 2007; ISBN 978-0-387-45972-1. [Google Scholar]
- Bray, J.R.; Curtis, J.T. An Ordination of the Upland Forest Communities of Southern Wisconsin. Ecol. Monogr. 1957, 27, 326–349. [Google Scholar] [CrossRef]
- Dray, S.; Bauman, D.; Blanchet, G.; Borcard, D.; Clappe, S.; Guenard, G.; Jombart, T.; Larocque, G.; Legendre, P.; Madi, N.; et al. Adespatial: Multivariate Multiscale Spatial Analysis. R Package Version 0.3-20; R Foundation: Vienna, Austria, 2022; Available online: https://CRAN.R-project.org/package=adespatial (accessed on 23 August 2023).
- Wickham, H. Ggplot2: Elegant Graphics for Data Analysis; Use R! Springer: New York, NY, USA, 2009; ISBN 978-0-387-98140-6. [Google Scholar]
- Payne, R.J.; Telford, R.J.; Blackford, J.J.; Blundell, A.; Booth, R.K.; Charman, D.J.; Lamentowicz, Ł.; Lamentowicz, M.; Mitchell, E.A.; Potts, G.; et al. Testing Peatland Testate Amoeba Transfer Functions: Appropriate Methods for Clustered Training-Sets. Holocene 2012, 22, 819–825. [Google Scholar] [CrossRef]
- Hendon, D.; Charman, D.J. The Preparation of Testate Amoebae (Protozoa: Rhizopoda) Samples from Peat. Holocene 1997, 7, 199–205. [Google Scholar] [CrossRef]
- Payne, R.J.; Mitchell, E.A.D. How Many Is Enough? Determining Optimal Count Totals for Ecological and Palaeoecological Studies of Testate Amoebae. J. Paleolimnol. 2009, 42, 483–495. [Google Scholar] [CrossRef]
- Mazei, Y.A.; Tsyganov, A.N. Freshwater Testate Amoebae; KMK Press: Moscow, Russia, 2006; ISBN 978-5-87317-336-5. [Google Scholar]
- Tsyganov, A.N.; Babeshko, K.V.; Mazei, Y.A. A Guide to Testate Amoebae with the Keys to Genera; Penza State University Publications: Penza, Russia, 2016; ISBN 978-5-906913-19-7. [Google Scholar]
- Kosakyan, A.; Gomaa, F.; Lara, E.; Lahr, D.J.G. Current and Future Perspectives on the Systematics, Taxonomy and Nomenclature of Testate Amoebae. Eur. J. Protistol. 2016, 55, 105–117. [Google Scholar] [CrossRef]
- González-Miguéns, R.; Todorov, M.; Blandenier, Q.; Duckert, C.; Porfirio-Sousa, A.L.; Ribeiro, G.M.; Ramos, D.; Lahr, D.J.G.; Buckley, D.; Lara, E. Deconstructing Difflugia: The Tangled Evolution of Lobose Testate Amoebae Shells (Amoebozoa: Arcellinida) Illustrates the Importance of Convergent Evolution in Protist Phylogeny. Mol. Phylogenetics Evol. 2022, 175, 107557. [Google Scholar] [CrossRef]
- Ruggiero, M.A.; Gordon, D.P.; Orrell, T.M.; Bailly, N.; Bourgoin, T.; Brusca, R.C.; Cavalier-Smith, T.; Guiry, M.D.; Kirk, P.M. A Higher Level Classification of All Living Organisms. PLoS ONE 2015, 10, e0119248. [Google Scholar] [CrossRef]



| Database Field | Standard Interpretation 1 | The Meaning in the Present Dataset | Example Entries (from the Single Row of the Dataset) 3 |
|---|---|---|---|
| occurrenceID | An identifier for the occurrence—the existence of a taxon at a particular place at a particular time | The presence of a particular species (taxon) in a particular sample | Bog1_2017-06-21_B1.1_Albm |
| eventID | An identifier for the event—the action that occurs at some location during some time | We treat “event” as a sample—a portion of moss material, processing as an entire item | Bog1_2017-06-21_B1.1 |
| parentEventID | An identifier for the broader event that groups this and potentially other events | We treat “parent event” as a sample series—a set of samples (“events”), collected on one day (“eventDate”) at a single bog (“locationID”) | Bog1_2017-06-21 |
| eventDate | The date when the event was recorded | The field sampling date | 2017-06-21 |
| locationID | An identifier for the information regarding a spatial region or named place where an event occurred | A designation of a specific bog. Identifiers are unique within the dataset 2 and might be presented as codes (“Bog1”, “Bog2”, “Uzkii”, etc.) | Bog1 2 |
| scientificName | The full scientific name, with authorship and date information if known. | The full scientific name of the species (taxon), with authorship and date information | Alabasta militaris (Penard 1890) Duckert, Blandenier, Kosakyan and Singer 2018 |
| organismQuantity and organismQuantityType | A number for the quantity of organisms, and its units | Each taxon quantity is provided as taxon relative abundance (%) to the total testate amoeba counts per sample, rounded to two decimal places | 0.99 percentageOfSpecies |
| Sample Series | Number of Samples | Observed Species Richness | Estimated (Chao’s) Species Richness ± SE |
|---|---|---|---|
| The whole dataset | 236 | 143 | 175.2 ± 16.0 |
| Bog1_2017-06-21 | 10 | 26 | 28.8 ± 3.3 |
| Bog2_2017-06-21 | 8 | 27 | 48.9 ± 21.3 |
| Bog3_2017-06-22 | 19 | 27 | 27.9 ± 1.4 |
| DorogaBBS_2004 * | 10 | 53 | 56.3 ± 3 |
| Peschanii_2004 * | 9 | 30 | 37.4 ± 6.2 |
| Peschanii_2009 | 30 | 55 | 60.9 ± 5.9 |
| Riazhkov_2009 | 59 | 51 | 61 ± 8.9 |
| Rodnik_2004 * | 15 | 72 | 89.9 ± 9.6 |
| Uzkii_2004 * | 14 | 39 | 58.6 ± 15.3 |
| Uzkii_2022-06-12 | 30 | 58 | 80.4 ± 14.3 |
| Verkhnee_2017-06-24 | 16 | 25 | 28.8 ± 3.8 |
| Vodoprovodnoe_2017-06-25 | 10 | 21 | 28.2 ± 10.5 |
| ZabolLes_2007-07-30 | 6 | 22 | 28.7 ± 6.3 |
Disclaimer/Publisher’s Note: The statements, opinions and data contained in all publications are solely those of the individual author(s) and contributor(s) and not of MDPI and/or the editor(s). MDPI and/or the editor(s) disclaim responsibility for any injury to people or property resulting from any ideas, methods, instructions or products referred to in the content. |
© 2023 by the authors. Licensee MDPI, Basel, Switzerland. This article is an open access article distributed under the terms and conditions of the Creative Commons Attribution (CC BY) license (https://creativecommons.org/licenses/by/4.0/).
Share and Cite
Ivanovskii, A.; Babeshko, K.; Chernyshov, V.; Esaulov, A.; Komarov, A.; Malysheva, E.; Mazei, N.; Meskhadze, D.; Saldaev, D.; Tsyganov, A.N.; et al. Testate Amoebae (Amphitremida, Arcellinida, Euglyphida) in Sphagnum Bogs: The Dataset from Eastern Fennoscandia. Data 2023, 8, 172. https://doi.org/10.3390/data8110172
Ivanovskii A, Babeshko K, Chernyshov V, Esaulov A, Komarov A, Malysheva E, Mazei N, Meskhadze D, Saldaev D, Tsyganov AN, et al. Testate Amoebae (Amphitremida, Arcellinida, Euglyphida) in Sphagnum Bogs: The Dataset from Eastern Fennoscandia. Data. 2023; 8(11):172. https://doi.org/10.3390/data8110172
Chicago/Turabian StyleIvanovskii, Aleksandr, Kirill Babeshko, Viktor Chernyshov, Anton Esaulov, Aleksandr Komarov, Elena Malysheva, Natalia Mazei, Diana Meskhadze, Damir Saldaev, Andrey N. Tsyganov, and et al. 2023. "Testate Amoebae (Amphitremida, Arcellinida, Euglyphida) in Sphagnum Bogs: The Dataset from Eastern Fennoscandia" Data 8, no. 11: 172. https://doi.org/10.3390/data8110172
APA StyleIvanovskii, A., Babeshko, K., Chernyshov, V., Esaulov, A., Komarov, A., Malysheva, E., Mazei, N., Meskhadze, D., Saldaev, D., Tsyganov, A. N., & Mazei, Y. (2023). Testate Amoebae (Amphitremida, Arcellinida, Euglyphida) in Sphagnum Bogs: The Dataset from Eastern Fennoscandia. Data, 8(11), 172. https://doi.org/10.3390/data8110172

