Next Article in Journal
Influence of Soil Management on the Red Grapevine (Vitis vinifera L.) Mencía Must Amino Acid Composition and Wine Volatile and Sensory Profiles in a Humid Region
Next Article in Special Issue
Mineral Composition through Soil-Wine System of Portuguese Vineyards and Its Potential for Wine Traceability
Previous Article in Journal / Special Issue
High-Resolution Mass Spectrometry Identification of Secondary Metabolites in Four Red Grape Varieties Potentially Useful as Traceability Markers of Wines
 
 
Font Type:
Arial Georgia Verdana
Font Size:
Aa Aa Aa
Line Spacing:
Column Width:
Background:
Review

Polyphenol Fingerprinting Approaches in Wine Traceability and Authenticity: Assessment and Implications of Red Wines

by
Laurentiu Mihai Palade
1,2,* and
Mona Elena Popa
2
1
National Institute for Research and Development for Animal Biology and Nutrition, Calea Bucuresti Street no. 1, Balotesti, Ilfov 077015, Romania
2
Faculty of Biotechnology, University of Agronomic Science and Veterinary Medicine Bucharest, 59 Marasti Blvd, Bucharest 011464, Romania
*
Author to whom correspondence should be addressed.
Beverages 2018, 4(4), 75; https://doi.org/10.3390/beverages4040075
Submission received: 31 July 2018 / Revised: 12 September 2018 / Accepted: 19 September 2018 / Published: 7 October 2018
(This article belongs to the Special Issue Wine Traceability )

Abstract

Like any other food/feed matrix, regardless of the employed analytical method, wine requires authentication strategies; a suitable qualitative and quantitative analysis represents the fingerprint which defines its identity. Until recently, fingerprinting approaches using liquid chromatography applications have been regarded as an effective tool for the assessment of wines employing polyphenol profiles. These profiles are of considerable importance for grapes and wines as they influence greatly the color, sensory, and nutritional quality of the final product. The authenticity and typicity characters are fundamental characteristics, which may be evaluated by the use of polyphenol fingerprinting techniques. Under these conditions, the evolution of polyphenols during the red wine elaboration and maturation processes shows a high importance at the level of the obtained fingerprints. Moreover, the environment factors (vintage, the area of origin, and variety) and the technological conditions significantly influence wine authenticity through the use of polyphenol profiles. Taking into account the complexity of the matter at hand, this review outlines the latest trends in the polyphenol fingerprinting of red wines in association with the transformations that occur during winemaking and storage.

1. Introduction

Nowadays, food quality has become particularly important from the point of view of both the consumers and the manufacturers. Global food safety authorities have generated guidelines that are meant to regulate and assure the authentication and detection of adulteration or incorrect labelling by means of reliable analytical tools [1].
In food manufacturing, traceability is defined as the ability to track a product or product batch with respect to the production history [2]. The associated chain of events covers all of the stages from harvest, transport, storage, processing, distribution, and sales. In various cases, traceability may target a step or series of steps within the production chain [3]. Nonetheless, irrespective of the type of product, traceability is achieved by implementing control systems, which become more complex as the manufacturing steps and the amount of data increase [4].
Traceability in the wine industry, as with any other food product, is enabled by a quality assurance (QA) management system [2]. This implies the need to ensure the availability of specific well documented and characterized documents throughout the process, from grape production to processing and further on to wine distribution [5,6].
When we discuss wine traceability, it is important to consider the socio-economic environment in order to understand how a given vineyard makes progress [7]. Given the fact that viticultural and oenological practices are influenced by mankind, wine is among the food products most subjected to falsification [8]. From the point of view of consumer acceptance, wine authenticity is regarded as having a highly significant implication on wine traceability [5,8]. In other words, the main goals are to combat fraudulent practices, to control product adulteration, and to ensure the organoleptic and nutritional characteristics are valuable for consumers.
As a result of the large chemical biodiversity expressed in plants, phenolics represent an important phytochemical group that is studied with great interest in applied fields such as food science [9]. One of the main challenges in the modern society is the protection of biodiversity in view of a sustainable development [10].
The control and proof of authenticity are generally done by the use of various analytical [11] and statistical methods [12,13], which are based on differentiating the geographical origin, grape variety, wine age, and technology of production [5]. Taking into consideration the scope of the investigation, several instrumental techniques have been employed, such as gas chromatography coupled with mass spectrometry (GC/MS), liquid chromatography coupled with mass spectrometry (LC/MS), ultraviolet-visible spectroscopy (UV-Vis), nuclear magnetic resonance (NMR), near-infrared spectroscopy (NIR), and inductively coupled plasma mass spectrometry (ICP/MS). These methods are widely applied in the study of grape and wine chemistry to certify their authenticity. Moreover, a corroboration of these with statistical methods confers a broader range of confidence within which the certainty of the results falls [14]. In this context, chemometrics techniques may improve the interpretation of the results by extracting useful information and reducing data complexity [9].
The aim of this review was to discuss the advancements and implications of using polyphenol profiles (multivariate approaches) in the endeavor of wine traceability and authenticity.

2. Characterization of the Polyphenolic Compounds from Grapes and Wines

Polyphenols, generally called “phenolics“, represent a large group of secondary metabolites with very complex structure, which are essential for the quality and stability of red wines [15]. They have significant importance also in the case of white wines, however, they are present in lesser amounts [8]. Recently, the chemical nature and behavior of polyphenols have gained increasing interest, especially due to the dynamics, concentration, and individual evolution, contributing to the fingerprint of authenticity and typicity of the variety and area of origin [16].
Despite their high diversity and difficulty in being characterized, polyphenols have a common element, which is the presence of at least one hydroxyl group on an aromatic ring (Figure 1) [17]. It can contain a free hydroxyl or another functional group (ether, ester, or heteroside). Given the fact that other metabolites like alkaloids and numerous terpenoids show a benzene ring or a hydroxyl phenolic group in their structure, a simplified definition is insufficient [18]. Therefore, it is necessary to include the biochemical hypothesis according to which, in nature, only plants and microorganisms can synthesize aromatic rings, the building blocks of polyphenols [19].
The following categories of phenolic compounds have been reported in high concentrations in red grapes, musts, and wines: Tannins, anthocyanins, flavonols, dehydroflavonols, and stilbenes.

2.1. Classification of Polyphenolic Compounds

In the literature, there are several criteria for classifying polyphenols, however, the most important ones are based on the chemical structure (the association of some compounds that show structural similarity but take into account the high level of complexity) and on the botanical origin (highlighting that some plants produce important amounts of polyphenols, among which the vine is also present) [19,22].
The biosynthesis of polyphenols has been thoroughly discussed [18,23,24]. Generally, polyphenolic compounds are synthesized through two main metabolic pathways, which are the shikimic acid pathway and the phenylpropanoid pathway [19].
Briefly, shikimic acid is the result of condensation and cyclization of phosphoenolpyruvate with erythrose-4-phosphate and is further transformed into chorismic acid. The shikimate pathway, the link between carbohydrate metabolism and the biosynthesis of aromatic amino acids [17], generates phenylalanine which is further supplied to the phenylpropanoid pathway [24]. The condensation of phenylalanine to trans cinnamic acid, via phenylalanine ammonia lyase (PAL), is then followed by various interactions with coenzyme A (CoA) to afford the core flavonoid intermediates (chalcone synthase) as well as stilbenes (stilbene synthase) [17,24,25].

2.1.1. Non-Flavonoid Polyphenols

These include phenolic acids, which are separated into two main groups, benzoic acids (C6-C1) and cinnamic acids (C6-C3) (Figure 2), accompanied by stilbenes (C6-C2-C6).
Phenolic acids are present especially in skins but also in the cell vacuoles of grapes pulp. They are colorless in hydroalcoholic solutions but can develop a yellow color when oxidized. They do not influence the sensory attributes of the resulting red wines and show technological importance by being precursors for some volatile phenols produced by microorganisms [18,25].
Benzoic acids differ through the benzene nucleus substituted moieties and are present in grapes in the glycosidic or ester form. The most representative is gallic acid, found in concentrations averaging 95 mg/L in red wines. In turn, syringic and vanillic acids (p-hydroxybenzoic acids) are reported in fewer amounts approximating an average of 5 mg/L [25].
Cinnamic acids are generally present in the ester form of tartaric acid and less in the glycosidic one [25]. In red grapes, their concentrations are always higher in the skins than in the pulp. In addition, the content found in red wines is around 10 mg/L, net superior to that found in white wines [20]. It has been reported that tartaric esters of cinnamic acids show a superior capacity of oxidation under the action of tyrosinase, which is naturally found in grapes, as well as laccase produced by Botrytis cinerea mould [20]. Ferulic and p-coumaric acids can be transformed into 4-vinyl guaiacol and 4-vinyl phenol by cinnamate decarboxylase produced by the viable cells of some Saccharomyces cerevisiae yeast strains [20,22].
Stilbenes are a particular class of polyphenols that contain two benzene rings linked through an ethanol or ethylene molecule (Figure 1). Among these compounds, the most representative is resveratrol (3,5,4’-Trihydroxystilbene). The trans isomer of resveratrol is produced in vine in response to fungal infections [17]. It is localized in the skins of red grapes and the extraction of this compound occurs mainly in the maceration-fermentation stage; in the resulting red wines, it is found in concentrations that vary widely from several µg to several mg/L [26]. They do not influence the sensorial and chromatic characteristics of red wines but are important for human health by having the capacity to progressively dissolve the excess fat around the blood vessels [20,27,28].
Phytoalexins, belonging to the group of stilbenes, have recently attracted considerable interest. They are predominantly synthesized in the vine in response to localized stress, both biotic (infections), as well as abiotic, representing a veritable defense mechanism [29]. Piceid, the glycosidic form of resveratrol, as well as pterostilbenes and viniferins, is accumulated in lower amounts [26,29].

2.1.2. Flavonoid Polyphenols

Due to their high variety of structures, flavonoids are of great interest in winemaking [24]. They contain a backbone of 15 carbon atoms comprising two benzene rings (A and B) joined by a heterocycle (C) (Figure 3). Based on the heterocycle, flavonoids can be further separated into three subgroups: Flavonols, dihydroflavonols, anthocyanidins, and flavanols [20,30].
Flavonols and dihydroflavonols or flavononols are secondary metabolites present in almost all higher plants [17]. They contain a pyrone heterocycle and are the second most abundant in grapes [20]. Generally, flavonols are present in both the skins of red and white varieties as 3-O-glycosides (glucosides, galactosides, rhamnosides, rutinosides, and glucuronides), with the sugar moiety linked at position 3 [17,31]. They can also be found in aglycone form (quercetin, kaempferol, myricetin, and isorhamnetin) in wines as a result of hydrolysis of the heterosides during the vinification process [20,32]. Dihydroflavonols or flavononols are polyphenols that protect against UV radiation and are localized both in the skins and pulp but not in the seeds of grapes [22,33]. Unlike flavonols, their heterocycle is characterized by the absence of a double bond [20]. Astilbin (dihydroquercetin-3-O-rhamnoside) and engeletin (dihydrokaempferol-3-O-rhamnoside) are the principal dihydroflavonols identified in the skins of white grapes [30], along with dihydromyricetin-3-O-rhamnoside, which was confirmed in wine [34].
Flavanols, more accurately flavan-3-ols, contain a pyran heterocycle being hydroxylated in position 3 of the flavonoid skeleton [20]. They form a large group of catechins and their polymers (condensed tannins), which can be further categorized into procyanidins and delphinidins [20,24]. The catechin structure allows four isomeric monomers—(+/−) catechin and (+/−) epicatechin. If the gallate residue is in an isomeric trans position, we obtain four new isomers—(+/−) gallocatechin and (+/−) epigallocatechin (Figure 4). In addition, an important aspect is the potential galloylation (esterification of the hydroxyl group at position 3 with gallic acid), which considerably influences the astringency and bitterness of the resulting wines [20,30].
Flavanols may form oligomers and polymers, which are called condensed tannins or proanthocyanidins [24]. The term derives from their capacity to undertake hydrolysis under acidic conditions, which will cause the release of anthocyanidin pigments [20]. Furthermore, the intermediate unstable carbo-cations tend to combine with proteins or polysaccharides to produce stable complexes [35]. By coupling with the saliva proteins, tannins highlight specific astringency and bitterness sensations in red wines; at the same time, they participate in stabilizing the color as a result of coupling with anthocyanins through ethanol bridges [36]. Vivas patented a reactive proanthocyanidolic tannin [27] linked to an acetaldehyde molecule, which has the capacity to ensure color stabilization by linking to anthocyanins since the pre-fermentative stage and accelerate the polymerization reaction [19,37].
While condensed tannins are considered to be grape-derived, the tannins released by the wood during aging in barrels are called hydrolysable tannins or ellagitannins (ellagic acid is produced through their hydrolysis) [35].
Flavanol dimers, based on the bond between the flavanol subunits, are classified into as type-B procyanidins, which are dimers of two flavanol subunits linked either by a C4-C8 or a C4-C6 interflavan bond or type-A procyanidins, which have an ether bond between carbons C2-C5 or C2-C7 besides the interflavan bond [20,30].
Similarly, flavanols can form two classes of trimers—type-C procyanidins, linked by interflavan bonds; type-D procyanidins, linked by an interflavan bond and another flavano-ether bond (as in type-A procyanidins) [20,30].
In the case procyanidin trimers, up to 10 flavanol subunits are necessary (molecular mass of 600–3000 kDa), while the number of the flavanol subunits must be greater than 10 for condensed procyanidins (polymers), hence the denomination tannins or more correctly condensed tannins (molecular mass > 3000 kDa) [20,30].
Anthocyans, Anthocyanidins, and Anthocyanins are flavonoids that possess a pyrrole heterocycle and generate the characteristic reddish, bluish, and purple tints, as the main pigments in flowers and fruits [38,39]. Even though the general terminology is all-inclusive (comprising all three designations), anthocyanins represent the glycoside form and are made up of a sugar moiety linked to anthocyanidins (the aglycone form) through a glycosidic bond [22]. They are more stable in their glycosidic form than in the aglycone form. In red wines from the Vitis vinifera species, only monoglycosidic anthocyanins (C3 position) have been identified, with malvidin as the most abundant [22,40].
There is a link between the grape variety and the chromatic attributes of the wine; this is somewhat given by the present anthocyanidins and resulting compounds (through the reaction with glucose and its acylated forms), which vary widely depending on the grape variety [30,41]. This high chromatic variability among red varieties is responsible for the qualitative and quantitative differences in their composition, thus rendering them fit as traceability markers [20,41,42].

3. Polyphenol Fingerprinting and Analysis in Red Wines

3.1. Authenticity and Typicity Features

The authenticity and typicity aspects are quite important for all types of wine. While authenticity refers to the grape variety and the viticultural area of the resulting wine, typicity implies the analytical and sensorial characteristics; these are determined by the agro-biological particularities of the variety, by the agronomic and pedo-climatic conditions of the area of origin, as well as by the winemaking technology [43,44]. It is not always the case that authentic wines do necessarily possess typicity attributes. Depending on the vintage and the production method, two authentic wines may express a more or less pronounced typicity [43,45].
Grape must and wine polyphenols are correlated with various oenological and sensorial characteristics [46]. Up until now, the methods used for integrating polyphenol data into determining wine authenticity was mainly based on the total polyphenol content (TPC) [43]. It does neither reveal the chromatic aspects given by the anthocyanins, nor the amount of tannins that are very important in color stabilization [15,47]. As it does not offer precious information with regard to the pursued aim, the information on TPC should be regarded as complementary [43].
In the case of red wines, the authenticity and typicity characters may be achieved by the use of polyphenol fingerprinting, which is able to confirm the variety and geographical origin, besides the characteristic analyses specific to soil [44,45].

3.2. Polyphenols as Wine Traceability Markers

The analytical strategies, reported to date as being suitable for traceability, depend on several factors such as the nature of the compounds of interest, reliability, selectivity, accuracy, and reproducibility of the involved instrumentation [10]. In order to track a product and establish proper links to its history, the chosen analytical strategy must be accompanied by suitable analytical markers [45]. The term is generally referred to as a compound (chemical) pertaining to specific characteristics, which enable it useful (of interest for analytical purposes) for determination [10,48].
The requirements that an analytical marker has to possess in order to be deemed fit for food analysis are quite strict—stability during sample processing and storage; clear determination; adequate availability in the matrix; reliable identification; accessible reference substance [10,49].
Based on the vast diversity of polyphenol compounds in red grape varieties along with the structural transformations during wine elaboration and maturation, the employed qualitative and quantitative methods establish the resulting analytical fingerprint [10]. In this regard, to address the fingerprint and quantitative analysis, a “multivariate chromatographic fingerprint” would be necessary [50]. There are several reports showing the use of polyphenol classes as markers for analytical fingerprinting [6,49].
In particular, grape and wine quality, as well as varieties and cultivars are distinguished by determining the composition of phenolics [51,52]. Nevertheless, as described by Bertacchini, phenolics belong to the secondary or in-direct traceability indicators [9] as they cannot be linked to the same determinations in soil samples [9]. On the other hand, phenolics may be regarded as a fingerprint and can be used in authentication applications such as general characterization, discrimination based on geographic origin and variety, adulteration and/or contamination [9,45].

3.3. Profiling Applications

In this section, a collection of examples will be discussed dealing with the use of polyphenol profiling for red wines analysis according to the previously described sources of variability. In addition, an overview of the assessment of variety, vintage and geographical origin will be given, with respect to post-harvest treatments, processing and storage.
For fingerprint and profiling analyses, chemometrics has been regarded as the most versatile as it allows a complex approach to analyzing various known and unknown samples [9,53]. Accordingly, compositional profiles using polyphenols have been widely exploited [53,54].
As mentioned previously, the pattern of polyphenols in wine show pronounced variations and depend mainly on the grape cultivars, the corresponding growing conditions and the processing technology [44].
Among polyphenols, anthocyanins profile analysis supplies indications useful for authentication and differentiation of red wines by grape variety [15,44,45,55]. For instance, Geana aimed at providing an accurate classification of five Romanian red wines based on variety and vintage (six harvest years), using a linear discriminant analysis [56]. Besides the organic acids profile, NMR fingerprints and isotope analysis, they managed to assign vintage membership with a percentage of 91.64% using the anthocyanins and 92.56% using anthocyanin ratios, whereas variety discrimination resulted in 95.78% using the anthocyanins and 87.82% using anthocyanin ratios [1]. Similar results on anthocyanin composition and varietal classification were also reported in Czech wines [57].
It has been reported that during grape processing and wine storage anthocyanins that contain acyl and coumaryl moieties are the most stable. For this reason, these categories of anthocyanins have been proposed for red wine polyphenol fingerprinting [15]. More exactly, it should take into consideration both the sum of acylated and coumaroylated anthocyanins, as well as the ratio between their concentrations [15]. In addition, the relative proportion of acylated and non-acylated anthocyanins is characteristic of each cultivar [15,58]. Variety-based authentication using anthocyanin fingerprinting can also be correlated with the evaluation of shikimic acid content [59], although this is specific for white wines [60]; shikimic acid is found in low amounts in different fruit, including grapes. In red wines, its concentrations vary widely between 10–150 mg/L [43].
Anthocyanin profiles have also been effectively used for vintage discrimination [55,61,62]. In this case, one limitation of their use is that their original concentration changes (degradation reactions) during wine aging, thus affecting the resulting distribution [55,63].
In colder areas (positioned at the limit of vine cultivation), fingerprinting of red wines is based on the value of the ratio between the total polyphenol content and the content of malic acid; in fact, there is a stable inversely proportional correlation between the content of malic acid and anthocyanin concentration [43]. Moreover, it is mandatory that fingerprinting takes into consideration the sugar/titratable acidity ratio, which offers useful information on the technological maturity of the studied crop [43]. Vilanova also reported the significant influence of pH, titratable acidity, malic acid, and sugar/titratable acidity ratio on vintage classification, expressing their involvement in grape ripening [64]. In addition, as a consequence of climatic factors [65], flavanols, phenolic acids, and resveratrol supplied valuable information to the vintage classification [64].
In order to increase the level of objectivity associated with the polyphenol fingerprinting of red varieties, it was recently proposed the monitoring of some analytical parameters that characterize the berry skins of red grapes at technological maturity [17,22]; these parameters are responsible for the TPC in must and the resulting wines [66]. Under these circumstances, the focus is kept on the high concentration of anthocyanins and easily extractable tannins that are contained in grape skins, in comparison with the limited amounts of extractable tannins and lack of anthocyanins in the seeds [17,22]. Therefore, the relationship between skin and seed tannins and anthocyanins is regarded as an adequate analytical variable for determining the optimum harvest time [22,47].
In an attempt to classify red wines according to geographical origin, a collection of studies has reported the involvement of the polyphenolic profile in food authentication [44,67,68,69,70]. For example, flavanols, flavonols, and trans-resveratrol patterns were used for the classification of samples according to the wine production area [60,71,72]. Besides flavanols and flavonols, phenolic acids (gallic acid, p-coumaric acid, ferulic acid, and caffeic acid) were also successfully exploited to certify the production authenticity of red wines according to their regional identity [44,60,69,73,74,75]. Pisano noted that three malvidin-derived anthocyanins contributed mainly to the geographical origin discrimination of the studied samples [76]. In addition to the use of monomeric anthocyanins, Quaglieri indicated that wine samples from Rioja (Spain) and Aquitaine (France) were properly discriminated using supplementary markers such as dimers of flavan-3-ols, mean degree of polymerization (mDP), and polymerized pigments [77]. The authors also suggested a general tendency for a decrease in anthocyanin and tannin contents in older wines [77].
Biochemical features have previously been outlined in relation to metabolic changes across grape development with regard to varietal differences [78,79]. For example, using a series of chemical parameters related to the phenylpropanoid pathway such as the (+)-catechin/(−)epicatechin and malvidin-3-acetylglucoside/malvidin-3-coumaroylglucoside ratios, Muccillo observed a clear varietal classification of the analyzed wine samples [52]. A more comprehensive study enabled an inter-platform comparison of not-targeted metabolomics using polyphenol profiles for a protected denomination of origin (PDO) classification [80]. The authors also pointed out a strong relationship between the distribution of the polyphenol compounds and the biosynthetic pathway [80]. Further studies and reports regarding category attribution are compiled in Table 1, employing the use of a principal component analysis (PCA), a least significant difference (LSD) test or a linear discriminant analysis (LDA), in order to differentiate among the means of the variables (identified polyphenols).

4. Factors Affecting Polyphenol Concentration and Distribution in Wine

This section briefly addresses the agro-biologic aspects that must be considered in order to appropriately ascertain red wine polyphenol fingerprinting.
Typically, the amount and distribution of polyphenols in grapes and wine, similar to the diversity in the plant kingdom [6,10], are influenced by genetic and environmental factors [10]. Grape variety should be considered a determinant element in polyphenol fingerprinting of the resulting wines [15]. In turn, each variety highlights its attributes according to the soil composition, to the climatic conditions (hydro-thermic regimen) in the active vegetation period, as well as to the geographic positioning (latitude at which the vineyard is situated), and to the associated orographic factors (landscape—terrain, altitude, and exposition and incline of the terrain) [91,92].
Genetic factors. Clone selection may be perceived as an important biological instrument in improving grape quality, especially for polyphenol composition [93]. The genetic character of the variety is expressed mainly through the quantitative differences among polyphenol contents, even though the qualitative contrasts are highly important [16]. In this context, Gómez-Plaza identified remarkable seedlings from a collection of 143 intraspecific hybrids (Monastrell × Cabernet Sauvignon), by analyzing their anthocyanin profiles [94]. Similarly, based on the proanthocyanins in the skins and seeds of Monastrell and Syrah crosses, Hernández-Jiménez reported both qualitative and quantitative similarities between the clones and the origin varieties [95].
Ruiz-García and Gómez-Plaza pointed out the potential use of clone selection as a discriminant factor, by observing a significant differentiation of the clones’ polyphenolic compositions [96]. In line with this, the anthocyanins, flavonols and hidroxycinnamic acids were successfully used for differentiating Vitis vinifera L. cv. ’Barbera’ clones [21].
Pedo-climatic implications. The soil seems to be the least involved factor in the polyphenol fingerprinting of red wines. It tends to be expressed indirectly through its water and heat retaining capacities but also through its nutritional characteristics [97]. For example, the color and the textural composition of the soil affect heat absorption, having unfavorable implications on grape ripening and on plant protection against freezing [97]. Some authors reported the influence of soil on grape production per hectare, on sugar content, anthocyanins, tannins, and amino acids but also on carotenoids synthesis and their conversion to norisoprenoids [92,97,98]. Even though these findings are important, they do not highlight any link between the soil and polyphenol fingerprinting of the red wine obtained on the said soil.
The polyphenol composition of wines is also affected by the thermal and the hydric conditions [99]. Some authors suggest that in warm viticultural areas, the temperature may frequently reach levels that inhibit the formation of anthocyanins, thus affecting the chromatic characteristics of the grapes [100]. Other authors [101] showed that reducing the diurnal thermal fluctuations determines a simultaneous increase in grape maturation rates as well as the anthocyanin concentrations registered at harvest [101]. Besides the modification of the total anthocyanin content, a correlation between warm seasons and high concentrations of coumaroyl derivatives of malvidin, petunidin, and delphinidin have been reported [100]. Nevertheless, Tarara observed a link between high temperatures and a decrease in delphinidin, cyanidin, petunidin and peonidin concentrations in Merlot grapes exposed to sunlight but not in the case of malvindin derivatives, which were not affected [102].
Similarly, Nicholas observed a significant positive correlation between the content in anthocyanins and a thermal regime of 16–22 °C from ripening to the optimum harvest stage [103]; the same authors also reported a significant increase in the tannin content, explained by hight nocturnal temperatures before bud break and diurnal high temperatures from bud break until flowering [103]. Other studies noted that a moderate water deficit has a positive effect on red grape quality and implicitly on the quality of the resulting wines [92]. For example, the anthocyanin and tannin concentrations in grape skins are higher when the vineyard is exposed to a moderate water deficit [98,103,104].
The concentration and composition of polyphenols in the grapes vary with the harvest stage, besides the already mentioned variety specificity [40]. In this respect, the anthocyanins are accumulated in grape skins in the maturation stage, while flavanols are formed before ripening in higher amounts in seeds and skins and are lower in grape pulp [92]. Ollé reported a higher decrease rate for flavan-3-ol monomers in contrast to the polymers, thus associating the average level of polymerization with the progress of grape maturation [105]. Also, Verries observed a stationary concentration of seed and skin flavanols for up to one month before harvest [106].
In the years with unfavorable climate, wine producers are forced to prematurely harvest the grapes [92]. Under these conditions, the polyphenolic fingerprint of the resulting wine will not correspond to the real one (established under conditions of optimum polyphenol maturity) [92]. Moreover, a premature harvest also affects the wine’s sensorial quality, deeming it unfit for the consumers’ requirements [20,106,107,108].
Post-harvest processing and storage implications. During the maceration-fermentation stage, the correct management of temperature, as well as the appropriate duration of the contact between the solid and the liquid fractions of the must, is indispensable for the optimum extraction of polyphenols [43,109]. Usually, this stage begins with a temperature of 15–16 °C and increases by 1–2 °C per day up to the critical limit of 28 °C [41,43]. The tendency of decreasing the duration of the fermentation stage, along with the use of auxiliary enzymatic products or exogenous proanthocyanidolic tannins (from the seeds and skins of white grape varieties) may have both positive and negative impacts [41] [110]. For instance, the addition of exogenous tannins results in the modification of the natural polyphenolic profile of the studied harvest, improving it. Therefore, when these practices are employed, the fingerprinting is limited to the polyphenols of the grapes harvested before applying any intervention [37,111,112]. On the other hand, a prolonged contact between the solid and the liquid fractions of the must allows for a better extraction of polyphenol compounds, especially catechins and proanthocyanidins [113,114] along with a sustained color stabilization [115].
Over time, several maceration-fermentation techniques have been developed for the production of red wines, with the main purpose of improving the polyphenol extraction [116]. Thermovinification, employed since the early 1970s [116,117], seeks the degradation of cell membranes of the grape berry hypoderm, thus facilitating anthocyanin extraction. In addition, the applied treatment also prevents browning by denaturing the oxidative enzymes like polyphenol oxidases [19,22,117,118]. Cold pre-fermentative maceration focuses on intensifying the extraction of polyphenols in aqueous media [119]. It takes place at temperatures lower than 10 °C and may vary from four to eight days [120,121] by favoring the selective extraction of low molecular mass anthocyanins and tannins [122].
During aging, some of the polyphenols from the wood barrels pass into the red wines, affecting their composition. Generally, aged wines are subjected to a slowly controlled oxidation, which gives rise to volatile compounds, along with polysaccharides and polyphenols that contribute to color stabilization [41,110]. The presence of ethanol acts against co-pigmentation, while acylated anthocyanins quickly disappear in several months after the end of fermentation [41,110]. Also, the amount of anthocyanins in red wines drops faster in the first years of bottle aging [123], reaching a minimum value of 0–50 mg/L [41]. Free anthocyanins may react with compounds containing diacetyl groups (CH3-CO-CO-CH3), giving rise to castavinols that are not present in grapes but may spontaneously form in some red wines during aging in wood barrels [41,110]. These colorless compounds are capable of regenerating the chromatic characteristics of red wines to some extent as a result of the acidic environment, which allows the conversion of procyanidins into cyanidins [41,124,125].
The high degree of complexity of tannin-anthocyanin combinations has drawn the attention of numerous researchers since the late 1960s. Jurd showed that the flavylium ion (cation) could directly react with different components such as aminoacids, fluoroglucinol and catechin, producing a colorless flav-2-ene substituted at position C4 [126]. Somers suggested that this kind of reaction is involved in the process of wine aging [127]; the author observed the disappearance of anthocyanins, while the color remained stable or it intensified [127].
Chemical factors. Further research demonstrated that there are different mechanisms involved in the anthocyanin-tannin condensation reaction, which may result in compounds that carry various attributes, depending on the type of chemical bonds [22,41,86]. Thus, during the aging stage of red wines, three types of reactions have been identified and they will be briefly discussed [22,41,86].
Anthocyanins can act as cations on negatively charged carbon atoms in positions six and eight of the procyanidin ring, giving birth to a colorless compound called flavene. It requires the presence of oxygen or of an oxidant medium in order to recover its color [30]. One of the characteristics of procyanidins is that they form a carbo-cation after the addition of a proton to the molecule, which in turn may react with the nucleophilic sites (C6 and C8) of neutral anthocyanin molecules [22]. The resulting complex lacks color or may change it to red-orange in case of a water molecule loss [128]. This condensation reaction occurs in the absence of oxygen, it increases with the temperature and depends on the amount of anthocyanins in the wine [129]. In reality, the color of the resulting wine is modified according to the type of carbo-cation and also to the degree of anthocyanin polymerization [77,124,130].
During aging in contact with oak (chips, barrels), polyphenols (mainly catechins and proanthocyanidins) polymerize among them or with free anthocyanins. These new complex combinations stabilize and retain the reddish color of anthocyanins. Nonflavonoid tannins extracted from the wood of oak barrels do not appear to interfere in these condensation reactions but indirectly favor color stabilization by offering protection against oxidative degradation [131,132,133].

5. Concluding Remarks

In red grape varieties, the polyphenol composition can be perceived as the key element that significantly differentiates the final products, taking into account their specific agro-biological characteristics, in conjunction with the biosynthetic pathways of phenolics. Therefore, the harvest stage, the temperature, the duration of the maceration-fermentation process, and the vinification technique are among the factors involved in the quality of the resulting product. During winemaking, the technological conditions carry a notable weight on polyphenol fingerprinting, rendering the task of authenticating red wines one of great complexity. Subsequently, during storage, some modifications occur in red wines with regard to the interaction of certain phenolic compounds, which may influence the analyzed profiles. Collectively, the information presented in this review provides an overview of the challenges that arise in using polyphenol fingerprints as a tool for wine traceability and authenticity. Taking into account the overall impact of winemaking and storage conditions, as well as the information provided by the polyphenol synthesis pathways, the applicability of the current methods, should they be carefully employed, show promising potential in expediting and improving the verification/certification process for wine traceability.

Author Contributions

Writing—original draft preparation, L.M.P. and M.E.P.; supervision, M.E.P.

Funding

This research received no external funding.

Acknowledgments

This work is part of the Ph.D. thesis of L.M.P., supported by the Romanian Ministry of Education.

Conflicts of Interest

The authors declare no conflicts of interest. The founding sponsors had no role in the design of the study; in the collection, analyses, or interpretation of data; in the writing of the manuscript, and in the decision to publish the results.

References

  1. Geana, E.I.; Popescu, R.; Costinel, D.; Dinca, O.R.; Stefanescu, I.; Ionete, R.E.; Bala, C. Verifying the red wines adulteration through isotopic and chromatographic investigations coupled with multivariate statistic interpretation of the data. Food Control 2016, 62, 1–9. [Google Scholar] [CrossRef]
  2. Moe, T. Perspectives on traceability in food manufacture. Trends Food Sci. Technol. 1998, 9, 211–214. [Google Scholar] [CrossRef]
  3. Regattieri, A.; Gamberi, M.; Manzini, R. Traceability of food products: General framework and experimental evidence. J. Food Eng. 2007, 81, 347–356. [Google Scholar] [CrossRef]
  4. Bosona, T.; Gebresenbet, G. Food traceability as an integral part of logistics management in food and agricultural supply chain. Food Control 2013, 33, 32–48. [Google Scholar] [CrossRef]
  5. Palade, M.; Popa, M.-E. Wine Traceability and Authenticity—A Literature Review. Sci. Bull. Ser. F. Biotechnol. 2014, XVIII, 226–233. [Google Scholar]
  6. Donno, D.; Boggia, R.; Zunin, P.; Cerutti, A.K.; Guido, M.; Mellano, M.G.; Prgomet, Z.; Beccaro, G.L. Phytochemical fingerprint and chemometrics for natural food preparation pattern recognition: an innovative technique in food supplement quality control. J. Food Sci. Technol. 2016, 53, 1071–1083. [Google Scholar] [CrossRef] [PubMed]
  7. van Leeuwen, C.; Seguin, G. The concept of terroir in viticulture. J. Wine Res. 2006, 17, 1–10. [Google Scholar] [CrossRef]
  8. Pavloušek, P.; Kumšta, M. Authentication of riesling wines from the Czech Republic on the basis of the non-flavonoid phenolic compounds. Czech J. Food Sci. 2013, 31, 474–482. [Google Scholar] [CrossRef]
  9. Bertacchini, L.; Cocchi, M.; Li Vigni, M.; Marchetti, A.; Salvatore, E.; Sighinolfi, S.; Silvestri, M.; Durante, C. The Impact of Chemometrics on Food Traceability. In Chemometrics in Food Chemistry; Marini, F., Ed.; Elsevier: San Diego, CA, USA, 2013; Volume 28, pp. 371–410. ISBN 0922-3487. [Google Scholar]
  10. Siracusa, L.; Ruberto, G. Plant Polyphenol Profiles as a Tool for Traceability and Valuable Support to Biodiversity. In Polyphenols in Plants: Isolation, Purification and Extract Preparation; Watson, R.R., Ed.; Academic Press, Elsevier: San Diego, CA, USA, 2014; pp. 15–33. ISBN 9780123979346. [Google Scholar]
  11. Schlesier, K.; Fauhl-Hassek, C.; Forina, M.; Cotea, V.; Kocsi, E.; Schoula, R.; Jaarsveld, F.; Wittkowski, R. Characterisation and determination of the geographical origin of wines. Part I: overview. Eur. Food Res. Technol. 2009, 230, 1–13. [Google Scholar] [CrossRef]
  12. Smeyers-Verbeke, J.; Jäger, H.; Lanteri, S.; Brereton, P.; Jamin, E.; Fauhl-Hassek, C.; Forina, M.; Römisch, U. Characterization and determination of the geographical origin of wines. Part II: descriptive and inductive univariate statistics. Eur. Food Res. Technol. 2009, 230, 15. [Google Scholar] [CrossRef]
  13. Römisch, U.; Jäger, H.; Capron, X.; Lanteri, S.; Forina, M.; Smeyers-Verbeke, J. Characterization and determination of the geographical origin of wines. Part III: multivariate discrimination and classification methods. Eur. Food Res. Technol. 2009, 230, 31. [Google Scholar] [CrossRef]
  14. Riccardo, F.; Annarita, P. Mass spectrometry in grape and wine chemistry. Part II: The consumer protection. Mass Spectrom. Rev. 2006, 25, 741–774. [Google Scholar] [CrossRef]
  15. von Baer, D.; Rentzsch, M.; Hitschfeld, M.A.; Mardones, C.; Vergara, C.; Winterhalter, P. Relevance of chromatographic efficiency in varietal authenticity verification of red wines based on their anthocyanin profiles: Interference of pyranoanthocyanins formed during wine ageing. Anal. Chim. Acta 2008, 621, 52–56. [Google Scholar] [CrossRef] [PubMed]
  16. Jackson, R. Vineyard practice. In Wine Science, 4th ed.; Academic Press: San Diego, CA, USA, 2014; pp. 143–306. ISBN 9780123814685. [Google Scholar]
  17. Flamini, R.; Mattivi, F.; De Rosso, M.; Arapitsas, P.; Bavaresco, L. Advanced knowledge of three important classes of grape phenolics: Anthocyanins, stilbenes and flavonols. Int. J. Mol. Sci. 2013, 14, 19651–19669. [Google Scholar] [CrossRef] [PubMed]
  18. Tsao, R. Chemistry and biochemistry of dietary polyphenols. Nutrients 2010, 2, 1231–1246. [Google Scholar] [CrossRef] [PubMed]
  19. Vivas, N. Les Composés Phénoliques et l’élaboration des Vins Rouges; Éditions Féret: Bordeaux, France, 2007; ISBN 978-2-35156-004-4. [Google Scholar]
  20. Moreno, J.; Peinado, R. Polyphenols. In Enological Chemistry; Elsevier Inc.: San Diego, CA, USA, 2012; pp. 53–76. ISBN 9780123884381. [Google Scholar]
  21. Teixeira, A.; Eiras-Dias, J.; Castellarin, S.D.; Gerós, H. Berry phenolics of grapevine under challenging environments. Int. J. Mol. Sci. 2013, 14, 18711–18739. [Google Scholar] [CrossRef] [PubMed]
  22. Jackson, R. Chemical Constituents of Grapes and Wine. In Wine Science, 4th ed.; Academic Press: San Diego, CA, USA, 2014; pp. 347–426. ISBN 9780123814685. [Google Scholar]
  23. Knaggs, A.R. The biosynthesis of shikimate metabolites. Nat. Prod. Rep. 2001, 18, 334–355. [Google Scholar] [CrossRef] [PubMed]
  24. Tsao, R.; McCallum, J. Chemistry of Flavonoids. In Fruit and Vegetable Phytochemicals; Wiley-Blackwell: Hoboken, NJ, USA, 2009; pp. 131–153. ISBN 9780813809397. [Google Scholar]
  25. Kougan, G.B.; Tabopda, T.; Kuete, V.; Verpoorte, R. Simple Phenols, Phenolic Acids, and Related Esters from the Medicinal Plants of Africa. In Medicinal Plant Research in Africa. Pharmacology and Chemistry; Kuete, V., Ed.; Elsevier Inc.: San Diego, CA, USA, 2013; pp. 225–250. ISBN 9780124059276. [Google Scholar]
  26. Gatto, P.; Vrhovsek, U.; Muth, J.; Segala, C.; Romualdi, C.; Fontana, P.; Pruefer, D.; Stefanini, M.; Moser, C.; Mattivi, F.; Velasco, R. Ripening and Genotype Control Stilbene Accumulation in Healthy Grapes. J. Agric. Food Chem. 2008, 56, 11773–11785. [Google Scholar] [CrossRef] [PubMed]
  27. Vivas, N.; de Gaulejac, N.V.; Nonier, M.F. Estimation and quantification of wine phenolic compounds. Bull. L’O.I.V 2003, 76, 281–303. [Google Scholar] [CrossRef]
  28. Temsamani, H.; Krisa, S.; Mérillon, J.-M.; Richard, T. Promising neuroprotective effects of oligostilbenes. Nutr. Aging 2015, 3, 49–54. [Google Scholar] [CrossRef]
  29. Flamini, R.; Zanzotto, A.; de Rosso, M.; Lucchetta, G.; Vedova, A.D.; Bavaresco, L. Stilbene oligomer phytoalexins in grape as a response to Aspergillus carbonarius infection. Physiol. Mol. Plant Pathol. 2016, 93, 112–118. [Google Scholar] [CrossRef]
  30. Terrier, N.; Poncet-Legrand, C.; Cheynier, V. Flavanols, Flavonols and Dihydroflavonols. In Wine Chemistry and Biochemistry; Moreno-Arribas, M.V., Polo, M.C., Eds.; Springer: New York, NY, USA, 2009; pp. 463–507. ISBN 9780387741161. [Google Scholar]
  31. Castillo-Muñoz, N.; Gómez-Alonso, S.; García-Romero, E.; Gómez, M.V.; Velders, A.H.; Hermosín-Gutiérrez, I. Flavonol 3-O-glycosides series of Vitis vinifera cv. Petit Verdot red wine grapes. J. Agric. Food Chem. 2008, 57, 209–219. [Google Scholar] [CrossRef] [PubMed]
  32. Georgiev, V.; Ananga, A.; Tsolova, V. Recent advances and uses of grape flavonoids as nutraceuticals. Nutrients 2014, 6, 391–415. [Google Scholar] [CrossRef] [PubMed]
  33. Zhu, L.; Zhang, Y.; Lu, J. Phenolic contents and compositions in skins of red wine grape cultivars among various genetic backgrounds and originations. Int. J. Mol. Sci. 2012, 13, 3492–3510. [Google Scholar] [CrossRef] [PubMed]
  34. Vitrac, X.; Castagnino, C.; Waffo-Téguo, P.; Delaunay, J.C.; Vercauteren, J.; Monti, J.P.; Deffieux, G.; Mérillon, J.M. Polyphenols newly extracted in red wine from Southwestern France by centrifugal partition chromatography. J. Agric. Food Chem. 2001, 49, 5934–5938. [Google Scholar] [CrossRef] [PubMed]
  35. Niculescu, V.-C.; Paun, N.; Ionete, R.-E. The Evolution of Polyphenols from Grapes to Wines. Grapes Wines-Adv. Prod. Process. Anal. Valorization 2018. [Google Scholar] [CrossRef]
  36. Bosso, A.; Guaita, M. Study of some factors involved in ethanal production during alcoholic fermentation. Eur. Food Res. Technol. 2008, 227, 911–917. [Google Scholar] [CrossRef]
  37. Croitoru, C.; Vivas, N.; Canariov, A.; Deaconu, L.; Codresi, C.; Hortolomei, G. Incidence of the treatment with oenological tannins on the red wines’ sensorial profile. Ann. Univ. Dunarea Jos Galati, Fascicle VI—Food Technol. 2009, 3, 50–56. [Google Scholar]
  38. He, F.; Mu, L.; Yan, G.L.; Liang, N.N.; Pan, Q.H.; Wang, J.; Reeves, M.J.; Duan, C.Q. Biosynthesis of anthocyanins and their regulation in colored grapes. Molecules 2010, 15, 9057–9091. [Google Scholar] [CrossRef] [PubMed]
  39. Jaakola, L. New insights into the regulation of anthocyanin biosynthesis in fruits. Trends Plant Sci. 2013, 18, 477–483. [Google Scholar] [CrossRef] [PubMed]
  40. Costa, E.; Cosme, F.; Jordão, A.M.; Mendes-Faia, A. Anthocyanin profile and antioxidant activity from 24 grape varieties cultivated in two Portuguese wine regions. J. Int. des Sci. la Vigne du Vin 2014, 48, 51–62. [Google Scholar] [CrossRef]
  41. Ribereau-Gayon, P.; Glories, Y.; Maujean, A.; Dubourdieu, D. Handbook of Enology Volume 2 The Chemistry of Wine Stabilization and Treatments, 2nd ed.; John Wiley & Sons Ltd.: Hoboken, NJ, USA, 2006; ISBN 9780470010372. [Google Scholar]
  42. Leicach, S.R.; Chludil, H.D. Plant Secondary Metabolites: Structure—Activity Relationships in Human Health Prevention and Treatment of Common Diseases. In Studies in Natural Products Chemistry; Elsevier: San Diego, CA, USA, 2014; Volume 42, pp. 267–304. ISBN 9780444632814. [Google Scholar]
  43. Croitoru, C. Oenologie. Inovari si noutati.; Editura AGIR: Bucuresti, Romania, 2012; ISBN 978-973-720-463-9. [Google Scholar]
  44. Di Paola-Naranjo, R.D.; Baroni, M.V.; Podio, N.S.; Rubinstein, H.R.; Fabani, M.P.; Badini, R.G.; Inga, M.; Ostera, H.A.; Cagnoni, M.; Gallegos, E.; et al. Fingerprints for main varieties of argentinean wines: Terroir differentiation by inorganic, organic, and stable isotopic analyses coupled to chemometrics. J. Agric. Food Chem. 2011, 59, 7854–7865. [Google Scholar] [CrossRef] [PubMed]
  45. Versari, A.; Laurie, V.F.; Ricci, A.; Laghi, L.; Parpinello, G.P. Progress in authentication, typification and traceability of grapes and wines by chemometric approaches. Food Res. Int. 2014, 60, 2–18. [Google Scholar] [CrossRef]
  46. Bakker, J.; Clarke, R.J. Wine Flavour Chemistry, 2nd ed.; Wiley-Blackwell: Hoboken, NJ, USA, 2012; ISBN 9781444330427. [Google Scholar]
  47. Moreno, J.; Peinado, R. The Relationship Between Must Composition and Quality. In Enological Chemistry; Elsevier Inc.: San Diego, CA, USA, 2012; pp. 137–156. ISBN 9780123884381. [Google Scholar]
  48. Amargianitaki, M.; Spyros, A. NMR-based metabolomics in wine quality control and authentication. Chem. Biol. Technol. Agric. 2017, 4, 1–12. [Google Scholar] [CrossRef]
  49. Hakimzadeh, N.; Parastar, H.; Fattahi, M. Combination of multivariate curve resolution and multivariate classification techniques for comprehensive high-performance liquid chromatography-diode array absorbance detection fingerprints analysis of Salvia reuterana extracts. J. Chromatogr. A 2014, 1326, 63–72. [Google Scholar] [CrossRef] [PubMed]
  50. Gad, H.A.; El-Ahmady, S.H.; Abou-Shoer, M.I.; Al-Azizi, M.M. Application of chemometrics in authentication of herbal medicines: A review. Phytochem. Anal. 2013, 24, 1–24. [Google Scholar] [CrossRef] [PubMed]
  51. Guerrero, R.F.; Liazid, A.; Palma, M.; Puertas, B.; González-Barrio, R.; Gil-Izquierdo, Á.; García-Barroso, C.; Cantos-Villar, E. Phenolic characterisation of red grapes autochthonous to Andalusia. Food Chem. 2009, 112, 949–955. [Google Scholar] [CrossRef]
  52. Muccillo, L.; Gambuti, A.; Frusciante, L.; Iorizzo, M.; Moio, L.; Raieta, K.; Rinaldi, A.; Colantuoni, V.; Aversano, R. Biochemical features of native red wines and genetic diversity of the corresponding grape varieties from Campania region. Food Chem. 2014, 143, 506–513. [Google Scholar] [CrossRef] [PubMed]
  53. Saurina, J. Characterization of wines using compositional profiles and chemometrics. TrAC Trends Anal. Chem. 2010, 29, 234–245. [Google Scholar] [CrossRef]
  54. Rubert, J.; Lacina, O.; Fauhl-Hassek, C.; Hajslova, J. Metabolic fingerprinting based on high-resolution tandem mass spectrometry: A reliable tool for wine authentication? Anal. Bioanal. Chem. 2014, 406, 6791–6803. [Google Scholar] [CrossRef] [PubMed]
  55. Villano, C.; Lisanti, M.T.; Gambuti, A.; Vecchio, R.; Moio, L.; Frusciante, L.; Aversano, R.; Carputo, D. Wine varietal authentication based on phenolics, volatiles and DNA markers: State of the art, perspectives and drawbacks. Food Control 2017, 80, 1–10. [Google Scholar] [CrossRef]
  56. Geana, E.I.; Popescu, R.; Costinel, D.; Dinca, O.R.; Ionete, R.E.; Stefanescu, I.; Artem, V.; Bala, C. Classification of red wines using suitable markers coupled with multivariate statistic analysis. Food Chem. 2016, 192, 1015–1024. [Google Scholar] [CrossRef] [PubMed]
  57. Papoušková, B.; Bednář, P.; Hron, K.; Stávek, J.; Balík, J.; Myjavcová, R.; Barták, P.; Tománková, E.; Lemr, K. Advanced liquid chromatography/mass spectrometry profiling of anthocyanins in relation to set of red wine varieties certified in Czech Republic. J. Chromatogr. A 2011, 1218, 7581–7591. [Google Scholar] [CrossRef] [PubMed]
  58. De Villiers, A.; Vanhoenacker, G.; Majek, P.; Sandra, P. Determination of anthocyanins in wine by direct injection liquid chromatography-diode array detection-mass spectrometry and classification of wines using discriminant analysis. J. Chromatogr. A 2004, 1054, 195–204. [Google Scholar] [CrossRef]
  59. Mardones, C.; Hitschfeld, A.; Contreras, A.; Lepe, K.; Gutiérrez, L.; von Baer, D. Comparison of shikimic acid determination by capillary zone electrophoresis with direct and indirect detection with liquid chromatography for varietal differentiation of red wines. J. Chromatogr. A 2005, 1085, 285–292. [Google Scholar] [CrossRef] [PubMed]
  60. Makris, D.P.; Kallithraka, S.; Mamalos, A. Differentiation of young red wines based on cultivar and geographical origin with application of chemometrics of principal polyphenolic constituents. Talanta 2006, 70, 1143–1152. [Google Scholar] [CrossRef] [PubMed]
  61. Gonzalez-Neves, G.; Favre, G.; Gil, G.; Ferrer, M.; Charamelo, D. Effect of cold pre-fermentative maceration on the color and composition of young red wines cv. Tannat. J. Food Sci. Technol. 2015, 52, 3449–3457. [Google Scholar] [CrossRef] [PubMed]
  62. Gustavo, G.-N.; Guzmán, F.; Diego, P.; Graciela, G. Anthocyanin profile of young red wines of Tannat, Syrah and Merlot made using maceration enzymes and cold soak. Int. J. Food Sci. Technol. 2015, 51, 260–267. [Google Scholar] [CrossRef]
  63. He, F.; Liang, N.N.; Mu, L.; Pan, Q.H.; Wang, J.; Reeves, M.J.; Duan, C.Q. Anthocyanins and their variation in red wines I. Monomeric anthocyanins and their color expression. Molecules 2012, 17, 1571–1601. [Google Scholar] [CrossRef] [PubMed]
  64. Vilanova, M.; Rodríguez, I.; Canosa, P.; Otero, I.; Gamero, E.; Moreno, D.; Talaverano, I.; Valdés, E. Variability in chemical composition of Vitis vinifera cv Mencía from different geographic areas and vintages in Ribeira Sacra (NW Spain). Food Chem. 2015, 169, 187–196. [Google Scholar] [CrossRef] [PubMed]
  65. De La Presa-Owens, C.; Lamuela-Raventos, R.M.; Buxaderas, S.; De La Torre-Boronat, M.C. Characterization of Macabeo, Xarel.lo, and Parellada White Wines from the Penedès Region. II. Am. J. Enol. Vitic. 1995, 46, 529–541. [Google Scholar]
  66. Chorti, E.; Kyraleou, M.; Kallithraka, S.; Pavlidis, M.; Koundouras, S.; Kanakis, I.; Kotseridis, Y. Irrigation and leaf removal effects on polyphenolic content of grapes and wines produced from cv. “Agiorgitiko” (Vitis vinifera L.). Not. Bot. Horti Agrobot. Cluj-Napoca 2016, 44, 133–139. [Google Scholar] [CrossRef]
  67. Rodrı́guez-Delgado, M.-Á.; González-Hernández, G.; Conde-González, J.-E.; Pérez-Trujillo, J.-P. Principal component analysis of the polyphenol content in young red wines. Food Chem. 2002, 78, 523–532. [Google Scholar] [CrossRef]
  68. Gómez-Ariza, J.L.; García-Barrera, T.; Lorenzo, F. Anthocyanins profile as fingerprint of wines using atmospheric pressure photoionisation coupled to quadrupole time-of-flight mass spectrometry. Anal. Chim. Acta 2006, 570, 101–108. [Google Scholar] [CrossRef]
  69. Jaitz, L.; Siegl, K.; Eder, R.; Rak, G.; Abranko, L.; Koellensperger, G.; Hann, S. LC-MS/MS analysis of phenols for classification of red wine according to geographic origin, grape variety and vintage. Food Chem. 2010, 122, 366–372. [Google Scholar] [CrossRef]
  70. Serrano-Lourido, D.; Saurina, J.; Hernández-Cassou, S.; Checa, A. Classification and characterisation of Spanish red wines according to their appellation of origin based on chromatographic profiles and chemometric data analysis. Food Chem. 2012, 135, 1425–1431. [Google Scholar] [CrossRef] [PubMed]
  71. Rastija, V.; Srečnik, G. Polyphenolic composition of Croatian wines with different geographical origins. Food Chem. 2009, 115, 54–60. [Google Scholar] [CrossRef]
  72. Radovanović, B.C.; Radovanović, A.N.; Souquet, J.-M. Phenolic profile and free radical-scavenging activity of Cabernet Sauvignon wines of different geographical origins from the Balkan region. J. Sci. Food Agric. 2010, 90, 2455–2461. [Google Scholar] [CrossRef] [PubMed]
  73. Kallithraka, S.; Mamalos, A.; Makris, D.P. Differentiation of Young Red Wines Based on Chemometrics of Minor Polyphenolic Constituents. J. Agric. Food Chem. 2007, 55, 3233–3239. [Google Scholar] [CrossRef] [PubMed]
  74. Kallithraka, S.; Tsoutsouras, E.; Tzourou, E.; Lanaridis, P. Principal phenolic compounds in Greek red wines. Food Chem. 2006, 99, 784–793. [Google Scholar] [CrossRef]
  75. Salvatore, E.; Cocchi, M.; Marchetti, A.; Marini, F.; de Juan, A. Determination of phenolic compounds and authentication of PDO Lambrusco wines by HPLC-DAD and chemometric techniques. Anal. Chim. Acta 2013, 761, 34–45. [Google Scholar] [CrossRef] [PubMed]
  76. Pisano, P.L.; Silva, M.F.; Olivieri, A.C. Anthocyanins as markers for the classification of Argentinean wines according to botanical and geographical origin. Chemometric modeling of liquid chromatography-mass spectrometry data. Food Chem. 2015, 175, 174–180. [Google Scholar] [CrossRef] [PubMed]
  77. Quaglieri, C.; Prieto-Perea, N.; Berrueta, L.A.; Gallo, B.; Rasines-Perea, Z.; Jourdes, M.; Teissedre, P.L. Comparison of aquitaine and Rioja red wines: Characterization of their phenolic composition and evolution from 2000 to 2013. Molecules 2017, 22, 20. [Google Scholar] [CrossRef] [PubMed]
  78. Degu, A.; Hochberg, U.; Sikron, N.; Venturini, L.; Buson, G.; Ghan, R.; Plaschkes, I.; Batushansky, A.; Chalifa-Caspi, V.; Mattivi, F.; Delledonne, M.; Pezzotti, M.; Rachmilevitch, S.; Cramer, G.R.; Fait, A. Metabolite and transcript profiling of berry skin during fruit development elucidates differential regulation between Cabernet Sauvignon and Shiraz cultivars at branching points in the polyphenol pathway. BMC Plant Biol. 2014, 14, 1–20. [Google Scholar] [CrossRef] [PubMed]
  79. Figueiredo-González, M.; Martínez-Carballo, E.; Cancho-Grande, B.; Santiago, J.L.; Martínez, M.C.; Simal-Gándara, J. Pattern recognition of three Vitis vinifera L. red grapes varieties based on anthocyanin and flavonol profiles, with correlations between their biosynthesis pathways. Food Chem. 2012, 130, 9–19. [Google Scholar] [CrossRef]
  80. Díaz, R.; Gallart-Ayala, H.; Sancho, J.V.; Nuñez, O.; Zamora, T.; Martins, C.P.B.; Hernández, F.; Hernández-Cassou, S.; Saurina, J.; Checa, A. Told through the wine: A liquid chromatography–mass spectrometry interplatform comparison reveals the influence of the global approach on the final annotated metabolites in non-targeted metabolomics. J. Chromatogr. A 2016, 1433, 90–97. [Google Scholar] [CrossRef] [PubMed]
  81. Vaclavik, L.; Lacina, O.; Hajslova, J.; Zweigenbaum, J. The use of high performance liquid chromatography-quadrupole time-of-flight mass spectrometry coupled to advanced data mining and chemometric tools for discrimination and classification of red wines according to their variety. Anal. Chim. Acta 2011, 685, 45–51. [Google Scholar] [CrossRef] [PubMed]
  82. Ma, Y.; Tanaka, N.; Vaniya, A.; Kind, T.; Fiehn, O. Ultrafast Polyphenol Metabolomics of Red Wines Using MicroLC-MS/MS. J. Agric. Food Chem. 2016, 64, 505–512. [Google Scholar] [CrossRef] [PubMed]
  83. Heras-Roger, J.; Díaz-Romero, C.; Darias-Martín, J. A comprehensive study of red wine properties according to variety. Food Chem. 2016, 196, 1224–1231. [Google Scholar] [CrossRef] [PubMed]
  84. Ivanova-Petropulos, V.; Ricci, A.; Nedelkovski, D.; Dimovska, V.; Parpinello, G.P.; Versari, A. Targeted analysis of bioactive phenolic compounds and antioxidant activity of Macedonian red wines. Food Chem. 2015, 171, 412–420. [Google Scholar] [CrossRef] [PubMed]
  85. Sen, I.; Tokatli, F. Authenticity of wines made with economically important grape varieties grown in Anatolia by their phenolic profiles. Food Control 2014, 46, 446–454. [Google Scholar] [CrossRef]
  86. Ivanova, V.; Vojnoski, B.; Stefova, M. Effect of winemaking treatment and wine aging on phenolic content in Vranec wines. J. Food Sci. Technol. 2012, 49, 161–172. [Google Scholar] [CrossRef] [PubMed]
  87. Nikfardjam, M.S.P.; Márk, L.; Avar, P.; Figler, M.; Ohmacht, R. Polyphenols, anthocyanins, and trans-resveratrol in red wines from the Hungarian Villány region. Food Chem. 2006, 98, 453–462. [Google Scholar] [CrossRef]
  88. García-Marino, M.; Hernández-Hierro, J.M.; Santos-Buelga, C.; Rivas-Gonzalo, J.C.; Escribano-Bailón, M.T. Multivariate analysis of the polyphenol composition of Tempranillo and Graciano red wines. Talanta 2011, 85, 2060–2066. [Google Scholar] [CrossRef] [PubMed]
  89. Bellomarino, S.A.; Conlan, X.A.; Parker, R.M.; Barnett, N.W.; Adams, M.J. Geographical classification of some Australian wines by discriminant analysis using HPLC with UV and chemiluminescence detection. Talanta 2009, 80, 833–838. [Google Scholar] [CrossRef] [PubMed]
  90. Radovanovic, A.; Jovancicevic, B.; Arsic, B.; Radovanovic, B.; Bukarica, L.G. Application of non-supervised pattern recognition techniques to classify Cabernet Sauvignon wines from the Balkan region based on individual phenolic compounds. J. Food Compos. Anal. 2016, 49, 42–48. [Google Scholar] [CrossRef]
  91. Anesi, A.; Stocchero, M.; Dal Santo, S.; Commisso, M.; Zenoni, S.; Ceoldo, S.; Tornielli, G.B.; Siebert, T.E.; Herderich, M.; Pezzotti, M.; Guzzo, F. Towards a scientific interpretation of the terroir concept: plasticity of the grape berry metabolome. BMC Plant Biol. 2015, 15, 191. [Google Scholar] [CrossRef] [PubMed]
  92. Jackson, R. Site Selection and Climate. In Wine Science, 4th ed.; Academic Press: San Diego, CA, USA, 2014; pp. 307–346. ISBN 9780123814685. [Google Scholar]
  93. Revilla, E.; García-Beneytez, E.; Cabello, F. Anthocyanin fingerprint of clones of Tempranillo grapes and wines made with them. Aust. J. Grape Wine Res. 2009, 15, 70–78. [Google Scholar] [CrossRef]
  94. Gómez-Plaza, E.; Gil-Muñoz, R.; Hernández-Jiménez, A.; López-Roca, J.M.; Ortega-Regules, A.; Martínez-Cutillas, A. Studies on the anthocyanin profile of Vitis Vinifera intraspecific hybrids (Monastrell × Cabernet Sauvignon). Eur. Food Res. Technol. 2008, 227, 479–484. [Google Scholar] [CrossRef]
  95. Hernández-Jiménez, A.; Gómez-Plaza, E.; Martínez-Cutillas, A.; Kennedy, J.A. Grape Skin and Seed Proanthocyanidins from Monastrell × Syrah Grapes. J. Agric. Food Chem. 2009, 57, 10798–10803. [Google Scholar] [CrossRef] [PubMed]
  96. Ruiz-García, Y.; Gómez-Plaza, E. Elicitors: A Tool for Improving Fruit Phenolic Content. Agriculture 2013, 3, 33–52. [Google Scholar] [CrossRef]
  97. Deloire, A.; Vaudour, E.; Carey, V.; Bonnardot, V.; Leeuwen, C.V. Grapevine responses to terroir: A global approach. J. Int. Sci. Vigne Vin 2005, 39, 149–162. [Google Scholar] [CrossRef]
  98. Zsófi, Z.; Gál, L.; Szilágyi, Z.; Szűcs, E.; Marschall, M.; Nagy, Z.; Bálo, B. Use of stomatal conductance and pre-dawn water potential to classify terroir for the grape variety Kékfrankos. Aust. J. Grape Wine Res. 2009, 15, 36–47. [Google Scholar] [CrossRef]
  99. Mira de Orduña, R. Climate change associated effects on grape and wine quality and production. Food Res. Int. 2010, 43, 1844–1855. [Google Scholar] [CrossRef]
  100. Downey, M.O.; Dokoozlian, N.K.; Krstic, M.P. Cultural practice and environmental impacts on the flavonoid composition of grapes and wine: A review of recent research. Am. J. Enol. Vitic. 2006, 57, 257–268. [Google Scholar]
  101. Cohen, S.D.; Tarara, J.M.; Kennedy, J.A. Assessing the impact of temperature on grape phenolic metabolism. Anal. Chim. Acta 2008, 621, 57–67. [Google Scholar] [CrossRef] [PubMed]
  102. Tarara, J.M.; Lee, J.; Spayd, S.E.; Scagel, C.F. Berry Temperature and Solar Radiation Alter Acylation, Proportion, and Concentration of Anthocyanin in Merlot Grapes. Am. J. Enol. Vitic. 2008, 59, 235–247. [Google Scholar]
  103. Nicholas, K.A.; Matthews, M.A.; Lobell, D.B.; Willits, N.H.; Field, C.B. Effect of vineyard-scale climate variability on Pinot noir phenolic composition. Agric. For. Meteorol. 2011, 151, 1556–1567. [Google Scholar] [CrossRef]
  104. Castellarin, S.D.; Matthews, M.A.; Di Gaspero, G.; Gambetta, G.A. Water deficits accelerate ripening and induce changes in gene expression regulating flavonoid biosynthesis in grape berries. Planta 2007, 227, 101–112. [Google Scholar] [CrossRef] [PubMed]
  105. Ollé, D.; Guiraud, J.L.; Souquet, J.M.; Terrier, N.; Ageorges, A.; Cheynier, V.; Verries, C. Effect of pre- and post-veraison water deficit on proanthocyanidin and anthocyanin accumulation during Shiraz berry development. Aust. J. Grape Wine Res. 2011, 17, 90–100. [Google Scholar] [CrossRef]
  106. Verries, C.; Guiraud, J.-L.; Souquet, J.-M.; Vialet, S.; Terrier, N.; Ollé, D. Validation of an Extraction Method on Whole Pericarp of Grape Berry (Vitis vinifera L. cv. Shiraz) to Study Biochemical and Molecular Aspects of Flavan-3-ol Synthesis during Berry Development. J. Agric. Food Chem. 2008, 56, 5896–5904. [Google Scholar] [CrossRef] [PubMed]
  107. Cadot, Y.; Caillé, S.; Samson, A.; Barbeau, G.; Cheynier, V. Sensory representation of typicality of Cabernet franc wines related to phenolic composition: Impact of ripening stage and maceration time. Anal. Chim. Acta 2012, 732, 91–99. [Google Scholar] [CrossRef] [PubMed]
  108. Jackson, R. Grapevine Structure and Function. In Wine Science, 4th ed.; Academic Press: San Diego, CA, USA, 2014; pp. 69–141. ISBN 9780123814685. [Google Scholar]
  109. Croitoru, C. Tratat de ştiinţă şi Inginerie Oenologică. Produse de Elaborare şi Maturare a Vinurilor; Editura AGIR: Bucuresti, Romania, 2009; ISBN 978-973-720-065-5. [Google Scholar]
  110. Jackson, R. Post-Fermentation Treatments and Related Topics. In Wine Science, 4th ed.; Academic Press: San Diego, CA, USA, 2014; pp. 535–676. ISBN 9780123814685. [Google Scholar]
  111. Bautista-Ortín, A.B.; Cano-Lechuga, M.; Ruiz-García, Y.; Gómez-Plaza, E. Interactions between grape skin cell wall material and commercial enological tannins. Practical implications. Food Chem. 2014, 152, 558–565. [Google Scholar] [CrossRef] [PubMed]
  112. Malacarne, M.; Nardin, T.; Bertoldi, D.; Nicolini, G.; Larcher, R. Verifying the botanical authenticity of commercial tannins through sugars and simple phenols profiles. Food Chem. 2016, 206, 274–283. [Google Scholar] [CrossRef] [PubMed]
  113. Ivanova, V.; Dörnyei, Á.; Márk, L.; Vojnoski, B.; Stafilov, T.; Stefova, M.; Kilár, F. Polyphenolic content of Vranec wines produced by different vinification conditions. Food Chem. 2011, 124, 316–325. [Google Scholar] [CrossRef]
  114. Francesca, N.; Romano, R.; Sannino, C.; Le Grottaglie, L.; Settanni, L.; Moschetti, G. Evolution of microbiological and chemical parameters during red wine making with extended post-fermentation maceration. Int. J. Food Microbiol. 2014, 171, 84–93. [Google Scholar] [CrossRef] [PubMed]
  115. Xia, E.-Q.; Deng, G.-F.; Guo, Y.-J.; Li, H.-B. Biological activities of polyphenols from grapes. Int. J. Mol. Sci. 2010, 11, 622–646. [Google Scholar] [CrossRef] [PubMed]
  116. Sacchi, K.L.; Bisson, L.F.; Adams, D.O. A review of the effect of winemaking techniques on phenolic extraction in red wines. Am. J. Enol. Vitic. 2005, 56, 197–206. [Google Scholar]
  117. Wagener, G.W.W. The Effect of Different Thermovinification Systems on Red Wine Quality. Am. J. Enol. Vitic. 1981, 32, 179–184. [Google Scholar]
  118. Moreno, J.; Peinado, R. Redox Phenomena in Must and Wine. In Enological Chemistry; Elsevier Inc.: San Diego, CA, USA, 2012; pp. 289–302. ISBN 9780123884381. [Google Scholar]
  119. Gomez-Miguez, M.; Gonzalez-Miret, M.L.; Heredia, F.J. Evolution of colour and anthocyanin composition of Syrah wines elaborated with pre-fermentative cold maceration. J. Food Eng. 2007, 79, 271–278. [Google Scholar] [CrossRef]
  120. Heredia, F.J.; Escudero-Gilete, M.L.; Hernanz, D.; Gordillo, B.; Meléndez-Martínez, A.J.; Vicario, I.M.; González-Miret, M.L. Influence of the refrigeration technique on the colour and phenolic composition of syrah red wines obtained by pre-fermentative cold maceration. Food Chem. 2010, 118, 377–383. [Google Scholar] [CrossRef]
  121. Ortega-Heras, M.; Pérez-Magariño, S.; González-Sanjosé, M.L. Comparative study of the use of maceration enzymes and cold pre-fermentative maceration on phenolic and anthocyanic composition and colour of a Mencía red wine. LWT—Food Sci. Technol. 2012, 48, 1–8. [Google Scholar] [CrossRef]
  122. Álvarez, I.; Aleixandre, J.L.; García, M.J.; Lizama, V. Impact of prefermentative maceration on the phenolic and volatile compounds in Monastrell red wines. Anal. Chim. Acta 2006, 563, 109–115. [Google Scholar] [CrossRef]
  123. Czibulya, Z.; Kollár, L.; Nikfardjam, M.P.; Kunsági-Máté, S. The effect of temperature on the color of red wines. J. Food Sci. 2012, 77, C880–C885. [Google Scholar] [CrossRef] [PubMed]
  124. Gambuti, A.; Rinaldi, A.; Ugliano, M.; Moio, L. Evolution of phenolic compounds and astringency during aging of red wine: Effect of oxygen exposure before and after bottling. J. Agric. Food Chem. 2013, 61, 1618–1627. [Google Scholar] [CrossRef] [PubMed]
  125. Jackson, R. Fermentation. In Wine Science, 4th ed.; Academic Press: San Diego, CA, USA, 2014; pp. 427–534. ISBN 9780123814685. [Google Scholar]
  126. Jurd, L. Anthocyanidins and related compounds—XI: Catechin-flavylium salt condensation reactions. Tetrahedron 1967, 23, 1057–1064. [Google Scholar] [CrossRef]
  127. Somers, T.C. The polymeric nature of wine pigments. Phytochemistry 1971, 10, 2175–2186. [Google Scholar] [CrossRef]
  128. Moreno, J.; Peinado, R. Aging. In Enological Chemistry; Elsevier Inc.: San Diego, CA, USA, 2012; pp. 389–403. ISBN 9780123884381. [Google Scholar]
  129. Lorrain, B.; Ky, I.; Pechamat, L.; Teissedre, P.L. Evolution of analysis of polyhenols from grapes, wines, and extracts. Molecules 2013, 18, 1076–1100. [Google Scholar] [CrossRef] [PubMed]
  130. Sun, B.; Neves, A.C.; Fernandes, T.A.; Fernandes, A.L.; Mateus, N.; De Freitas, V.; Leandro, C.; Spranger, M.I. Evolution of phenolic composition of red wine during vinification and storage and its contribution to wine sensory properties and antioxidant activity. J. Agric. Food Chem. 2011, 59, 6550–6557. [Google Scholar] [CrossRef] [PubMed]
  131. Vivas, N.; Vivas de Gaulejac, N.; Nonier, M.F. Quelques aspects cinétiques de la consommation de l’oxygène et conséquences technologiques des oxydations dans les vins rouges: Partie 2/2: Discussion. Rev. Oenol. 2014, 41, 29–30. [Google Scholar]
  132. Cozzolino, D. The role of visible and infrared spectroscopy combined with chemometrics to measure phenolic compounds in grape and wine samples. Molecules 2015, 20, 726–737. [Google Scholar] [CrossRef] [PubMed]
  133. Dumitriu, G.-D.; de Lerma, N.L.; Cotea, V.V.; Zamfir, C.-I.; Peinado, R.A. Effect of aging time, dosage and toasting level of oak chips on the color parameters, phenolic compounds and antioxidant activity of red wines (var. Fetească neagră). Eur. Food Res. Technol. 2016, 242, 2171–2180. [Google Scholar] [CrossRef]
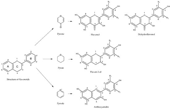
Figure 1. Flavonoid and non-flavonoid polyphenolic compounds. Adapted from References [20,21].
Figure 1. Flavonoid and non-flavonoid polyphenolic compounds. Adapted from References [20,21].
Beverages 04 00075 g001
Figure 2. Phenolic acids. Adapted from References [18,20].
Figure 2. Phenolic acids. Adapted from References [18,20].
Beverages 04 00075 g002
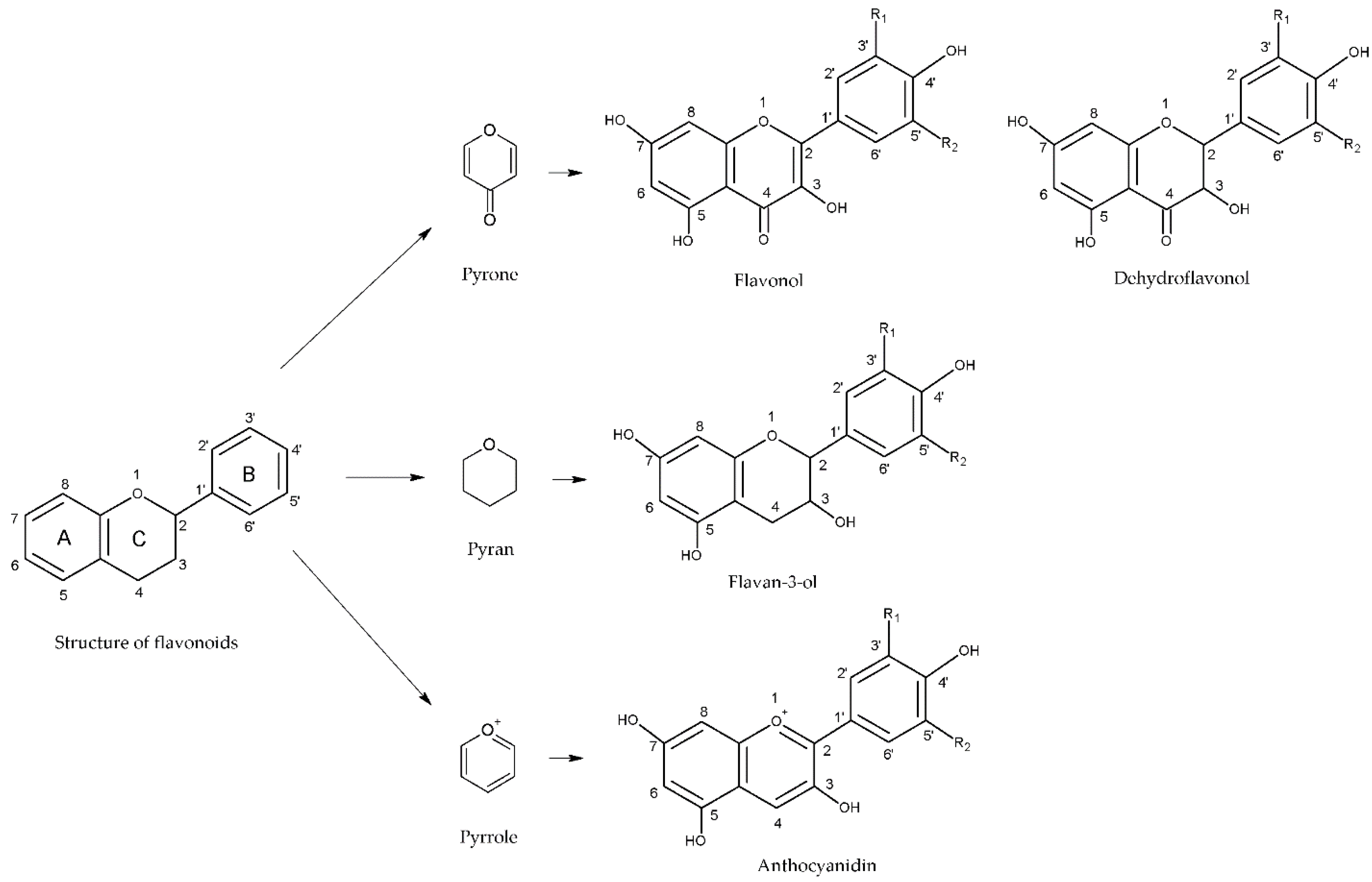
Figure 3. General flavonoid structure. Adapted from References [20,30]. R1, R2 = H, OH, OCH3.
Figure 3. General flavonoid structure. Adapted from References [20,30]. R1, R2 = H, OH, OCH3.
Beverages 04 00075 g003
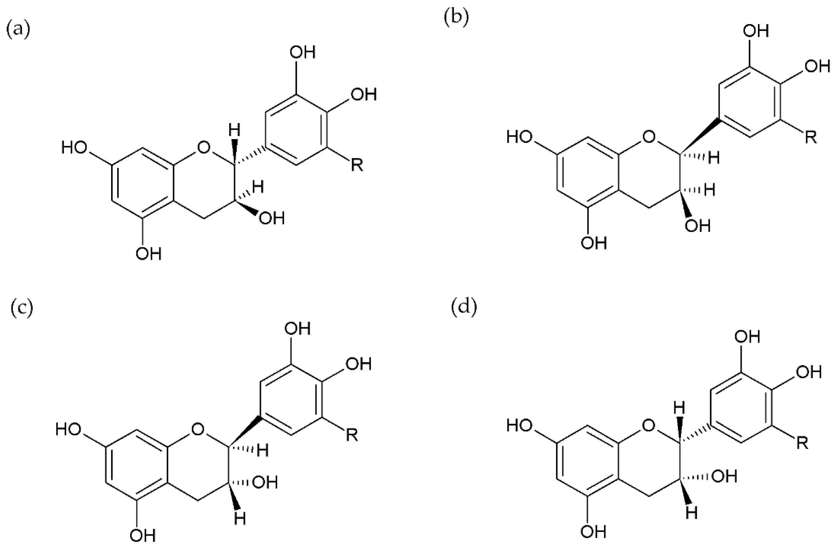
Figure 4. Diasteroisomers of catechin. Adapted from References [20,30]. (a) (+)-catechin (R = H); (+)-gallocatechin (R = OH); (b) (+)-epicatechin (R = H); (+)-epigallocatechin (R = OH); (c) (−)-catechin (R = H); (−)-gallocatechin (R = OH); (d) (−)-epicatechin (R = H); (−)-epigallocatechin (R = OH).
Figure 4. Diasteroisomers of catechin. Adapted from References [20,30]. (a) (+)-catechin (R = H); (+)-gallocatechin (R = OH); (b) (+)-epicatechin (R = H); (+)-epigallocatechin (R = OH); (c) (−)-catechin (R = H); (−)-gallocatechin (R = OH); (d) (−)-epicatechin (R = H); (−)-epigallocatechin (R = OH).
Beverages 04 00075 g004
Table 1. Examples of the use of polyphenol profiles for wine classification.
Table 1. Examples of the use of polyphenol profiles for wine classification.
ApplicationMultivariate ApproachSource
VarietyPCA[52,57,77,79,81,82,83,84]
Discriminant analysis[44,56,60,69,81,85]
VintagePCA[73,86,87,88]
Discriminant analysis[56,69,87]
Geographical originPCA[60,67,70,75,77,80,89,90]
Discriminant analysis[60,69,70,80]

Share and Cite

MDPI and ACS Style

Palade, L.M.; Popa, M.E. Polyphenol Fingerprinting Approaches in Wine Traceability and Authenticity: Assessment and Implications of Red Wines. Beverages 2018, 4, 75. https://doi.org/10.3390/beverages4040075

AMA Style

Palade LM, Popa ME. Polyphenol Fingerprinting Approaches in Wine Traceability and Authenticity: Assessment and Implications of Red Wines. Beverages. 2018; 4(4):75. https://doi.org/10.3390/beverages4040075

Chicago/Turabian Style

Palade, Laurentiu Mihai, and Mona Elena Popa. 2018. "Polyphenol Fingerprinting Approaches in Wine Traceability and Authenticity: Assessment and Implications of Red Wines" Beverages 4, no. 4: 75. https://doi.org/10.3390/beverages4040075

APA Style

Palade, L. M., & Popa, M. E. (2018). Polyphenol Fingerprinting Approaches in Wine Traceability and Authenticity: Assessment and Implications of Red Wines. Beverages, 4(4), 75. https://doi.org/10.3390/beverages4040075

Note that from the first issue of 2016, this journal uses article numbers instead of page numbers. See further details here.

Article Metrics

Back to TopTop