Use of Oak Fragments during the Aging of Red Wines. Effect on the Phenolic, Aromatic, and Sensory Composition of Wines as a Function of the Contact Time with the Wood
Abstract
:1. Introduction
2. Materials and Methods
2.1. Wine and Wood
2.2. Chemical Analysis
2.2.1. Color Parameters Measurements
2.2.2. Wine Volatile Compounds from Oak Wood
2.2.3. Low Molecular Weight Phenols
2.3. Sensorial Analysis
2.4. Statistical Analysis
3. Results and Discussion
3.1. Color Parameters of Wine
3.2. Volatile Compounds from Oak Wood in Wine
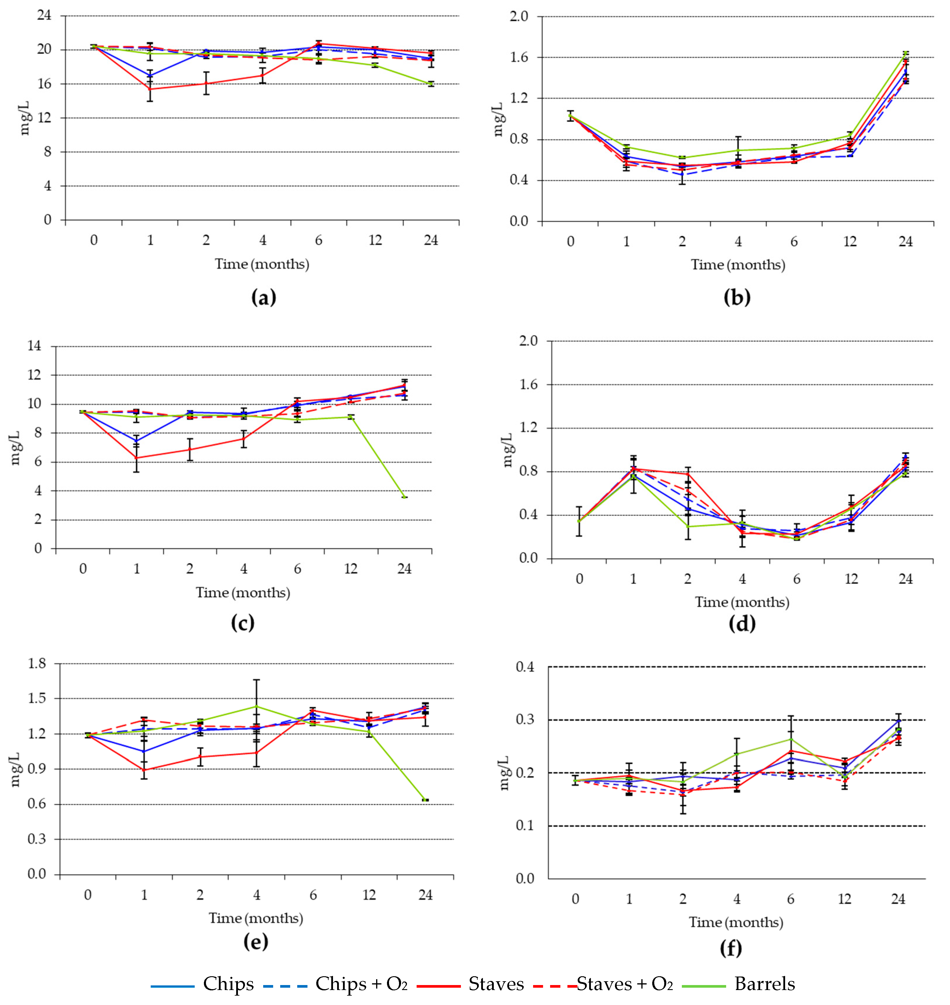
3.3. Low Molecular Weight Phenols
3.4. Sensorial Analysis
3.5. Treatments Classification
4. Conclusions
Author Contributions
Funding
Acknowledgments
Conflicts of Interest
References
- Ribéreau-Gayón, P.; Glories, Y.; Maujean, A.; Dubourdieu, D. Tratado de Enología 2. Química del Vino. Estabilización y Tratamientos; Ediciones Mundi-Prensa: Madrid, Spain, 2003; ISBN 978-9-50504-571. [Google Scholar]
- Rubio-Bretón, P.; Lorenzo, C.; Salinas, M.R.; Martínez, J.; Garde-Cerdán, T. Influence of Oak Barrel Aging on the Quality of Red Wines. In Oak: Ecology, Types and Management; Chuteira, C.A., Grao, A.B., Eds.; Nova Science Publishers: New York, NY, USA, 2013; Volume 2, pp. 59–86. ISBN 978-1-61942-493-7. [Google Scholar]
- Resolution OENO 9/2001. Usage of pieces of oak wood in winemaking. In International Codex of Oenological Practices; Office International de la Vigne et du Vin: Paris, France, 2001. [Google Scholar]
- Resolution OENO 3/2005. Pieces of oak wood. In International Codex of Oenological Practices; Office International de la Vigne et du Vin: Paris, France, 2005. [Google Scholar]
- European Commission (EC). Council regulation (EC) No. 2165/2005 of 20 December 2005 amending regulation (EC) No. 1493/1999 on the common organisation of the market in wine. Off. J. Eur. Communities 2005, L345, 1–4. [Google Scholar]
- European Commission (EC). Commission regulation (EC) No. 1507/2006 of 11 October 2006 amending regulations (EC) No. 1622/2000, (EC) No. 884/2001 and (EC) No. 753/2002 concerning certain detailed rules implementing Regulation (EC) No. 1493/1999 on the common organisation of the market in wine, as regards the use of pieces of oak wood in winemaking and the designation and presentation of wine so treated. Off. J. Eur. Communities 2006, L280, 9–11. [Google Scholar]
- European Commission (EC). Commission regulation (EC) No. 606/2009 of 10 July 2009 laying down certain detailed rules for implementing Council Regulation (EC) No. 479/2008 as regards the categories of grapevine products, oenological practices and the applicable restrictions. Off. J. Eur. Communities 2009, L193, 1–59. [Google Scholar]
- Chatonnet, P. Productos alternativos a la crianza en barrica de los vinos. Influencia de los parámetros de fabricación y de uso. Rev. Enol. 2007, 4, 2–24. [Google Scholar]
- Verdier, B.; Blateyron, L.; Granès, D. Las virutas y los bloques: Como razonar sobre su puesta en práctica. In Crianza en Barricas y Otras Alternativas; Fundación para la Cultura del Vino: Madrid, Spain, 2007; Volume 2, pp. 191–196. [Google Scholar]
- European Commission (EC). Commission regulation (EC) No. 2676/1990 of 17 September 1990 determining Community methods for the analysis of wine. Off. J. Eur. Communities 1990, L272, 1–192. [Google Scholar]
- Glories, Y. La couleur des vins rouges. 2ème partie. Mesure, origine et interprétation. Connais. Vigne Vin 1984, 18, 253–271. [Google Scholar] [CrossRef]
- Ribéreau-Gayon, P.; Stonestreet, E. Determination of anthocyanins in red wine. Bull. Soc. Chim. Fr. 1965, 9, 2649–2652. [Google Scholar] [PubMed]
- Ortega, C.; López, R.; Cacho, J.; Ferreira, V. Fast analysis of important wine volatile compounds. Development and validation of a new method based on gas chromatographic-flame ionisation detection analysis of dichloromethane microextracts. J. Chromatogr. A 2001, 923, 205–214. [Google Scholar] [CrossRef]
- Martínez, J.; Rubio-Bretón, P. Composición fenólica no antociánica en vinos de Tempranillo de la D.O.Ca. Rioja. Efecto de la añada, el empleo de microoxigenación y la crianza en barrica. In Zubía. Revista de Ciencias. Monográfico Núm. 25; Instituto de Estudios Riojanos: Logroño, Spain, 2013; Volume 4, pp. 31–45. ISSN 1131-5423. [Google Scholar]
- AENOR. Análisis Sensorial. Recopilación de Normas UNE; AENOR: Madrid, Spain, 1997; ISBN 978-84-8143-705-8. [Google Scholar]
- Laqui-Estaña, J.; López-Solís, R.; Peña-Neira, A.; Medel-Marabolí, M.; Obreque-Slier, E. Wines in contact with oak wood: The impact of the variety (Carménère and Cabernet Sauvignon), format (barrels, chips and staves), and aging time on the phenolic composition. J. Sci. Food Agric. 2018. [Google Scholar] [CrossRef] [PubMed]
- Martínez-Gil, A.M.; del Álamo-Sanza, M.; Gutiérrez-Gamboa, G.; Moreno-Simunovic, Y.; Nevares, I. Volatile composition and sensory characteristics of Carménère wines macerating with Colombian (Quercus humboldtii) oak chips compared to wines macerated with American (Q. alba) and European (Q. petraea) oak chips. Food Chem. 2018, 266, 90–100. [Google Scholar] [CrossRef] [PubMed]
- Cano-López, M.; Pardo-Mínguez, F.; López-Roca, J.M.; Gómez-Plaza, E. Effect of microoxygenation on anthocyanin and derived pigment content and chromatic characteristics of red wines. Am. J. Enol. Vitic. 2006, 57, 325–331. [Google Scholar]
- Oberholster, A.; Elmendorf, B.L.; Lerno, L.A.; King, E.S.; Heymann, H.; Brenneman, C.E.; Boulton, R.B. Barrel maduration, oak alternatives and micro-oxygenation: Influence on red wine aging and quality. Food Chem. 2015, 173, 1250–1258. [Google Scholar] [CrossRef] [PubMed]
- Del Álamo, M.; Nevares, I.; Merino-García, S. Influence of different aging systems and oak woods on aged wine color and anthocyanin composition. Eur. Food Res. Technol. 2004, 219, 124–132. [Google Scholar] [CrossRef]
- Pérez-Prieto, L.J.; De la Hera-Orts, M.L.; López-Roca, J.M.; Fernández-Fernández, J.I.; Gómez-Plaza, E. Oak-matured wines: Influence of the characteristics of the barrel on wine colour and sensory characteristics. J. Sci. Food Agric. 2003, 83, 1445–1450. [Google Scholar] [CrossRef]
- Tavares, M.; Jordao, A.M.; Ricardo-da-Silva, J.M. Impact of cherry, acacia and oak chips on red wine phenolic parameters and sensory profile. OENO One 2017, 51, 329–342. [Google Scholar] [CrossRef]
- Cadahía, E.; Fernández de Simón, B.; Sanz, M.; Poveda, P.; Colio, J. Chemical and chromatic characteristics of Tempranillo, Cabernet Sauvignon and Merlot wines from D.O. Navarra aged in Spanish and French oak barrels. Food Chem. 2009, 115, 639–649. [Google Scholar] [CrossRef]
- Garde-Cerdán, T.; Torrea-Goñi, D.; Ancín-Azpilicueta, C. Accumulation of volatile compounds during ageing of two red wines with different composition. J. Food Eng. 2004, 65, 349–356. [Google Scholar] [CrossRef]
- Towey, J.P.; Waterhouse, A.L. The extraction of volatile compounds from French and American oak barrels in Chardonnay during three successive vintages. Am. J. Enol. Vitic. 1996, 47, 163–172. [Google Scholar]
- Garde-Cerdán, T.; Ancín-Azpilicueta, C. Effect of oak barrel type on the volatile composition of wine: Storage time optimization. LWT-Food Sci. Technol. 2006, 39, 199–205. [Google Scholar] [CrossRef]
- Pérez-Prieto, L.J.; López-Roca, J.M.; Martínez-Cutillas, A.; Pardo-Mínguez, F.; Gómez-Plaza, E. Extraction and formation dynamic of oak-related volatile compounds from different volume barrels to wine and their behavior during bottle storage. J. Agric. Food Chem. 2003, 51, 5444–5449. [Google Scholar] [CrossRef]
- Boidron, J.N.; Chatonnet, P.; Pons, M. Influence du bois sur certaines substances odorantes des vins. Connais. Vigne Vin 1988, 22, 275–294. [Google Scholar] [CrossRef]
- Tominaga, T.; Blanchard, L.; Darriet, P.; Dubourdieu, D. A powerful aromatic volatile thiol, 2-furanmethanethiol, exhibiting roast coffee aroma in wines made from several Vitis vinifera grape varieties. J. Agric. Food Chem. 2000, 48, 1799–1802. [Google Scholar] [CrossRef] [PubMed]
- Nonier-Bourden, M.F.; Vivas, N.; Absalon, C.; Vitry, C.; Fouquet, E.; Vivas de Gaulejac, N. Structural diversity of nucleophilic adducts from flavanols and oak wood aldehydes. Food Chem. 2008, 107, 1494–1505. [Google Scholar] [CrossRef]
- Garde-Cerdán, T.; Ancín-Azpilicueta, C. Review of quality factors on wine ageing in oak barrels. Trends Food Sci. Tech. 2006, 17, 438–447. [Google Scholar] [CrossRef]
- Jarauta, I.; Cacho, J.; Ferreira, V. Concurrent phenomena contributing to the formation of the aroma of wine during aging in oak wood: An analytical study. J. Agric. Food Chem. 2005, 53, 4166–4177. [Google Scholar] [CrossRef] [PubMed]
- Fernández de Simón, B.; Cadahía, E.; Del Álamo, M.; Nevares, I. Effect of size, seasoning and toasting in the volatile compounds in toasted oak wood and in a red wine treated with them. Anal. Chim. Acta 2010, 660, 211–220. [Google Scholar] [CrossRef] [PubMed]
- Spillman, P.J.; Pollnitz, A.P.; Liacopoulos, D.; Pardon, K.H.; Sefton, M.A. Formation and degradation of furfuryl alcohol, 5-methylfurfuryl alcohol, vanillyl alcohol, and their ethyl ethers in barrel aged wines. J. Agric. Food Chem. 1998, 46, 657–663. [Google Scholar] [CrossRef]
- Ferreira, V.; Jarauta, I.; Cacho, J. Physicochemical model to interpret the kinetics of aroma extraction during wine aging in wood. Model limitations suggest the necessary existence of biochemical processes. J. Agric. Food Chem. 2006, 54, 3047–3054. [Google Scholar] [CrossRef]
- Spillman, P.J.; Pollnitz, A.P.; Liacopoulos, D.; Skouroumounis, G.K.; Sefton, M.A. Accumulation of vanillin during barrel-aging of white, red, and model wines. J. Agric. Food Chem. 1997, 45, 2584–2589. [Google Scholar] [CrossRef]
- Spillman, P.J.; Iland, P.G.; Sefton, M.A. Accumulation of volatile oak compounds in a model wine stored in American and Limousin oak barrels. Aust. J. Grape Wine R. 1998, 4, 67–73. [Google Scholar] [CrossRef]
- Garde-Cerdán, T.; Goñi-Torrea, D.; Ancín-Azpilicueta, C. Changes in the concentration of volatile oak compounds and esters in red wine stored for 18 months in re-used French oak barrels. Aust. J. Grape Wine Res. 2002, 8, 140–145. [Google Scholar] [CrossRef]
- Fernández de Simón, B.; Cadahía, E.; Jalocha, J. Volatile compounds in a Spanish red wine aged in barrels made of Spanish, French, and American oak wood. J. Agric. Food Chem. 2003, 51, 7671–7678. [Google Scholar] [CrossRef] [PubMed]
- Garde-Cerdán, T.; Lorenzo, C.; Carot, J.M.; Esteve, M.D.; Climent, M.D.; Salinas, M.R. Effects of composition, storage time, geographic origin and oak type on the accumulation of some volatile oak compounds and ethylphenols in wines. Food Chem. 2010, 122, 1076–1082. [Google Scholar] [CrossRef]
- Martínez, J. Incidencia del Origen de la Madera de Roble en la Calidad de los Vinos de Tempranillo de la D.O.Ca. Rioja Durante la Crianza en Barrica. Doctoral’s Thesis, Universidad de La Rioja, La Rioja, Spain, 2004. [Google Scholar]
- Waterhouse, A.L.; Towey, J.P. Oak lactone isomer ratio distinguishes between wines fermented in American and French oak barrels. J. Agric. Food Chem. 1994, 42, 1971–1974. [Google Scholar] [CrossRef]
- Pérez-Prieto, L.J.; López-Roca, J.M.; Martínez-Cutillas, A.; Pardo-Mínguez, F.; Gómez-Plaza, E. Maturing wines in oak barrels. Effects of origin, volume, and age of the barrel on the wine volatile composition. J. Agric. Food Chem. 2002, 50, 3272–3276. [Google Scholar] [CrossRef] [PubMed]
- Suárez, R.; Suárez-Lepe, J.A.; Morata, A.; Calderón, F. The production of ethylphenols in wine by yeasts of the genera Brettanomyces and Dekkera: A review. Food Chem. 2007, 102, 10–21. [Google Scholar] [CrossRef]
- Chatonnet, P.; Dubourdieu, D.; Boidron, J.N.; Pons, M. The origin of ethylphenols in wines. J. Sci. Food Agric. 1992, 60, 165–178. [Google Scholar] [CrossRef]
- Alañón, M.E.; Schumacher, R.; Castro-Vázquez, L.; Díaz-Maroto, M.C.; Hermosín-Gutiérrez, I.; Pérez-Coello, M.S. Enological potential of chestnut wood for aging Tempranillo wines. Part II: Phenolic compounds and chromatic characteristics. Food Res. Int. 2013, 51, 536–543. [Google Scholar] [CrossRef]
- Del Álamo, M.; Nevares, I.; Cárcel-Cárcel, L.M.; Navas-Gracia, L. Analysis for low molecular weight phenolic compounds in a red wine aged in oak chips. Anal. Chim. Acta 2004, 513, 229–237. [Google Scholar] [CrossRef]
- Sroka, Z.; Cisowski, W. Hydrogen peroxide scavenging, antioxidant and anti-radical activity of some phenolic acids. Food Chem. Toxicol. 2003, 41, 753–758. [Google Scholar] [CrossRef]
- Sanz, M.; Cadahía, E.; Esteruelas, E.; Muñoz, A.M.; Fernández de Simón, B.; Hernández, T.; Estrella, I. Phenolic compounds in chestnut (Castanea sativa Mill.) heartwood. Effect of toasting at cooperage. J. Agric. Food Chem. 2010, 58, 9631–9640. [Google Scholar] [CrossRef] [PubMed]
- Cadahía, E.; Fernández de Simón, B.; Poveda, P.; Sanz, M. Utilización de Quercus pyrenaica Willd. de Castilla y León en el Envejecimiento de vinos: Comparación con Roble Francés y Americano; Instituto Nacional de Investigación y Tecnología Agraria y Alimentaria, Ministerio de Ciencia e Innovación: Madrid, Spain, 2008; ISBN 978-8-47498-525-2. [Google Scholar]
- Fernández de Simón, B.; Hernández, T.; Cadahía, E.; Dueñas, M.; Estrella, I. Phenolic compounds in a Spanish red wine aged in barrels made of Spanish, French and American oak wood. Eur. Food Res. Technol. 2003, 216, 150–156. [Google Scholar] [CrossRef]
- Laszlavik, M.; Gál, L.; Misik, S.; Erdei, L. Phenolic compounds in two Hungarian red wines matured in Quercus robur and Quercus petraea barrels: HPLC analysis and Diode Array Detection. Am. J. Enol. Vitic. 1995, 46, 67–74. [Google Scholar]
- Del Barrio-Galán, R.; Ortega-Heras, M.; Sánchez-Iglesias, M.; Pérez-Magariño, S. Interactions of phenolic and volatile compounds with yeast lees, commercial yeast derivatives and non-toasted chips in model solutions and young red wines. Eur. Food Res. Technol. 2012, 234, 231–244. [Google Scholar] [CrossRef]
- Dallas, C.; Ricardo-Da Silva, J.M.; Laureano, O. Degradation of oligomeric procyanidins and anthocyanins in a Tinta Roriz red wine during maturation. Vitis 1995, 34, 51–56. [Google Scholar]
- Cejudo-Bastante, M.J.; Hermosín-Gutiérrez, I.; Pérez-Coello, M.S. Micro-oxygenation and oak chip treatments of red wines: Effects on colour-related phenolics, volatile composition and sensory characteristics. Part II: Merlot wines. Food Chem. 2011, 124, 738–748. [Google Scholar] [CrossRef]
- Castellari, M.; Matricardi, L.; Arfelli, G.; Galassi, S.; Amati, A. Level of single bioactive phenolics in red wine as a function of the oxygen supplied during storage. Food Chem. 2000, 69, 61–67. [Google Scholar] [CrossRef]
- Boulton, R. The copigmentation of anthocyanins and its role in the color of red wine: A critical review. Am. J. Enol. Vitic. 2001, 52, 67–87. [Google Scholar]
- Schwarz, M.; Picazo-Bacete, J.J.; Winterhalter, P.; Hermosín-Gutiérrez, I. Effect of copigments and grape cultivar on the color of red wines fermented after the addition of copigments. J. Agric. Food Chem. 2005, 53, 8372–8381. [Google Scholar] [CrossRef]
- Barrera-García, V.D.; Gougeon, R.D.; Di Majo, D.; De Aguirre, C.; Voilley, A.; Chassagne, D. Different sorption behaviors for wine polyphenols in contact with oak wood. J. Agric. Food Chem. 2007, 55, 7021–7027. [Google Scholar] [CrossRef]
- Hernández, T.; Estrella, I.; Carlavilla, D.; Martín-Álvarez, P.J.; Moreno-Arribas, M.V. Phenolic compounds in red wine subjected to industrial malolactic fermentation and ageing on lees. Anal. Chim. Acta 2006, 563, 116–125. [Google Scholar] [CrossRef]
- Cano-López, M.; Bautista-Ortín, A.B.; Pardo-Mínguez, F.; López-Roca, J.M.; Gómez-Plaza, E. Sensory descriptive analysis of a red wine aged with oak chips in stainless steel tanks or used barrels: Effect of the contact time and size of the oak chips. J. Food Qual. 2008, 31, 645–660. [Google Scholar] [CrossRef]
- Casassa, F.; Sari, S.; Avagnina, S.; Catania, C. Efecto del empleo de chips de roble y del tipo de tostado sobre la composición polifenólica y las características cromáticas y organolépticas de vinos cv. Merlot. Vitic./Enol. Prof. 2008, 116, 22–35. [Google Scholar]











| Moment | Variable | Mean Right Answer (Based on 10) | Preference (%) |
|---|---|---|---|
| 6 months | Fragments-Barrel | 10.0 (***) | 72.2 barrel |
| Chips-Staves | 7.78 (*) | 57.1 staves | |
| 12 months | Fragments-Barrel | 6.43 | 50.0 |
| Chips-Staves | 8.57 (**) | 50.0 |
© 2018 by the authors. Licensee MDPI, Basel, Switzerland. This article is an open access article distributed under the terms and conditions of the Creative Commons Attribution (CC BY) license (http://creativecommons.org/licenses/by/4.0/).
Share and Cite
Rubio-Bretón, P.; Garde-Cerdán, T.; Martínez, J. Use of Oak Fragments during the Aging of Red Wines. Effect on the Phenolic, Aromatic, and Sensory Composition of Wines as a Function of the Contact Time with the Wood. Beverages 2018, 4, 102. https://doi.org/10.3390/beverages4040102
Rubio-Bretón P, Garde-Cerdán T, Martínez J. Use of Oak Fragments during the Aging of Red Wines. Effect on the Phenolic, Aromatic, and Sensory Composition of Wines as a Function of the Contact Time with the Wood. Beverages. 2018; 4(4):102. https://doi.org/10.3390/beverages4040102
Chicago/Turabian StyleRubio-Bretón, Pilar, Teresa Garde-Cerdán, and Juana Martínez. 2018. "Use of Oak Fragments during the Aging of Red Wines. Effect on the Phenolic, Aromatic, and Sensory Composition of Wines as a Function of the Contact Time with the Wood" Beverages 4, no. 4: 102. https://doi.org/10.3390/beverages4040102
APA StyleRubio-Bretón, P., Garde-Cerdán, T., & Martínez, J. (2018). Use of Oak Fragments during the Aging of Red Wines. Effect on the Phenolic, Aromatic, and Sensory Composition of Wines as a Function of the Contact Time with the Wood. Beverages, 4(4), 102. https://doi.org/10.3390/beverages4040102
