Next Article in Journal
Bottled vs. Canned Beer: Do They Really Taste Different?
Next Article in Special Issue
Assessment of Ethyl Carbamate Contamination in Cachaça (Brazilian Sugar Cane Spirit)
Previous Article in Journal
The Physicochemical Optimization and Acceptability of a Cashew Nut-Based Beverage Varying in Mango Juice and Sugar: A Pilot Study
 
 
Font Type:
Arial Georgia Verdana
Font Size:
Aa Aa Aa
Line Spacing:
Column Width:
Background:
Article

A Colorimetric Method for the Determination of the Exhaustion Level of Granular Activated Carbons Used in Rum Production

by
Harold Crespo Sariol
1,
Kenny Vanreppelen
2,
Jan Yperman
2,*,
Ángel Brito Sauvanell
1,
Robert Carleer
2 and
José Navarro Campa
3
1
Faculty of Chemical Engineering, Energetic Efficiency Center, Universidad de Oriente, Santiago de Cuba 90500, Cuba
2
Research group of Applied and Analytical Chemistry, Hasselt University, Agoralaan building D, 3590 Diepenbeek, Belgium
3
First Master of the Cuban Rum, Santiago de Cuba 90500, Cuba
*
Author to whom correspondence should be addressed.
Beverages 2016, 2(3), 24; https://doi.org/10.3390/beverages2030024
Submission received: 1 June 2016 / Revised: 5 August 2016 / Accepted: 10 August 2016 / Published: 20 September 2016

Abstract

:
Spectrophotometric measurement applied on saturated granular activated carbon (GAC) is not yet explored. A colorimetric method in the visible range has been developed in order to determine the exhaustion level of GAC used in rum production. Aqueous ammonia solution has been used as an indicative agent to determine the extraction rate of taste compounds within the rum production process and the exhaustion degree of the GAC. The colorimetric results showed excellent correlation with the iodine number and the contact pH. The proposed colorimetric method opens possibilities for rum producers to improve the management and economical use of the activated carbon at the industrial scale.

1. Introduction

Primary rum, known in Cuba as Aguardiente, is a colorless liquid that is aged in barrels of white oak wood during a timed period in order to transform and improve its sensorial characteristics. The ageing process (maturation) results in changes of the Aguardiente: a light amber color appears; taste softens; and a pleasant aroma is produced [1]. During this stage, these sensorial changes are obtained by complex chemical reactions, which can be summarized in four simultaneous general steps (Figure 1) [1,2,3,4]:
However, apart from this general scheme, taking into account the amount of compounds “n” in each phase and other collateral reactions, an enormous number of possible reaction mechanisms and products can be found. Chemically speaking, the study of the ageing process is really complicated. Rums are a complex mixture of organic substances: 186 organic compounds have been identified [5,6,7,8,9,10,11]. Additionally, research to understand the sensorial characteristics of rums based on the composition of white oak wood has been performed. The problem is complicated because volatile and non-volatile compounds from the wood have also important contributions. Non-volatile compounds are precursors improving rum’s flavor. Volatile compounds contribute to rum’s aroma [12,13,14,15]. Table 1 presents the basic composition of white oak wood [1,16].
The hemicellulose is constituted by polymers of monosaccharides, mainly represented by pentoses and polyuronics. The last can be easily extracted from the wood and hydrolyzed to pentoses (arabinose, xylose) and hexoses (fructose, glucose and galactose), which improve the flavor of the rum, giving its sweetness [17]. Extractable compounds are important contributors in the organoleptic features of rums, giving aged rum the typical amber color and odor of oak wood.
Extractable compounds present in rum include: wood resins, fatty acids, terpenes, carbohydrates, polyhydric alcohols, nitrogenized compounds (wood amino-acids and proteins), phenolic compounds and inorganic constituents. The effect of the white oak wood proteins and amino acids on rum taste and color has been studied. In the ageing process, amino acids lose the amino group, which is substituted by a carbonyl group. During the ageing, the pyrocatechol and pyrogallol intensify the dis-amination of the amino acids [1,2,5,8,13,14,15,18,19,20,21,22,23,24]. The color increment in aged Cuban rum has been studied and its linear correlation with the ageing time in months presented [1]. In the ageing process, the total acidity increases, and a close relationship between the improvement of the rum quality and its acidity exists. Oak wood is an important source of non-volatile acids that contributes to the total acidity in rums and other aged beverages [1,25].
Activated carbon (AC) adsorption is the most common technique for removing various pollutants due to its extended and specific surface area, high pore volume and well-developed porous structure [26,27]. AC can be powdered or granular (0.2–5 mm). Granular activated carbon (GAC) is widely employed for product purification (such as sugar refining, food processing and water treatment) [28]. In the spirits and liquor production industry, GAC is used to remove organic compounds that affect the sensorial quality of the final product [1,28,29]. When GAC is exhausted, it is replaced and landfilled. However, the landfilled GAC creates a solid waste problem. For this reason, a regeneration process should be considered, and the effectiveness of GAC regeneration must be guaranteed. The AC reactivation process involves an important amount of energy and could be time consuming. The economics of this practice is highly dependent on the characteristics of the regenerated carbon and to any mass losses during the process [30]. In order to save energy and GAC amounts, as well as increase its efficient use, a detailed assessment of the real exhaustion level of the carbon has to be done before the GAC regeneration process is considered. For determining the exhaustion level of GAC, proper and fast analytical techniques based on the determination of specific surface area and porosity have to be applied [31,32]. However, sometimes, the technological facilities of rum producers are limited and need the process to be done quickly. Therefore, an economical way to measure the exhaustion level of GAC is needed.
When the GAC has been used in rum production (specifically for refining aged Aguardiente), it was found that a reaction between the exhausted GAC and an ammonia solution (in a wide concentration range) resulted in an almost instantaneously amber color appearing (Figure 2). The more exhausted the GAC is, the darker the produced amber color. If the GAC has not been used in aged Aguardiente treatment, the reaction does not occur.
Additionally, from our pre-studies, the same reaction feature occurred between chips of white oak wood and ammonia solution. The amber color appeared much darker than the amber color obtained with GAC (Figure 2c).
The compounds present in the white oak wood are responsible for the amber color in the rum. The compounds are adsorbed onto GAC during rum production. The exhausted GAC reacts with the ammonia solution, releasing the amber-colored compounds, as is shown in Figure 2a. According to Figure 3, the reaction with ammonia occurs when the white oak is introduced in the scenario of rum production. The compounds responsible for coloring the ammonia solution are coming from the wood fibers as extractable compounds. The concentration of these substances in the wood is high enough to obtain a very intense dark amber color by reacting with ammonia (Figure 2d).
When the Aguardiente is aged, the colored extractable compounds are present in the liquid [1,2,5,8,13,14,15,18,19,20,21,22,23,24] (Step 2 in Figure 1), but its concentration is so low in comparison with the oak wood that the reaction produces just a pale amber color. However, in the Aguardiente refining process, GAC adsorbs these color compounds among other substances [1,28,29].
Our study was conducted to develop an in-depth specific, reliable, robust and fast colorimetric method to analyze the exhausted level of different GAC samples used in the rum production process. A quick qualitative pre-evaluation of the exhausted degree can be performed based on an on-sight color intensity evaluation by a simple extraction test of used GAC with ammonia.

2. Materials and Methods

2.1. GAC Samples

Five samples of GAC (0.8 mm) were obtained from a major rum producer in Cuba. They are coded as GAC-1, GAC-2, GAC-3, GAC-4 and GAC-5. The sample GAC-1 was a fresh GAC (virgin), and GAC-5 was the most exhausted GAC. The others had varying exhaustion levels.

2.2. Ammonia Solution

In order to study the ammonia concentration effect on the reaction parameters, solutions at different concentrations (from 0.125% to 25%) were prepared using Milli-Q water, which was tested using the ASTM specification for reagent water. The ammonia solution of 25% mass (reactant quality) was supplied by Merck®.

2.3. Samples Characterization

Selected GAC samples were characterized using different techniques. The porous structure of GAC-1 and GAC-5 was characterized by N2 adsorption at 77 K using ASAP2020 (Micromeritics). Before analysis, the sample was degassed overnight at 300 °C. The specific surface area (SBET) was estimated by the BET equation. The amount of nitrogen adsorbed at the relative pressure of p/p0 = 0.96 was employed to determine the total volume of pores (VT). The micropore volume (VDR) was calculated by applying the Dubinin-Radushkevich equation. The difference between VT and VDR was taken as the mesopore volume (Vmes). The average micropore width L0 was calculated using the Stoeckli equation [31]. The quenched solid density functional theory (QSDFT) was used to determine the pore size distribution [32]. To observe the external appearance of GAC-1 and GAC-5 grains, a SEM electronic microscope (Vega®Tescan/TS5130SB/SE Detector) was used. The elemental composition (C, H, N and S) of GAC-1 and GAC-5 was determined with a FlashEA 1112 Elemental Analyzer of Thermo Electron Corp. The oxygen content was determined by the difference between 100% and the combined contents of the hydrogen, carbon and nitrogen assuming that the sample contains no ash. Thermogravimetric curves of both samples were obtained using a TA Hi-Res 2950 Thermogravimetric Analyzer. About 7 mg of the solid is pyrolyzed under approximately 35 mL/min N2 gas flow at a heating rate of 20 °C/min from room temperature to 800 °C. The ASTM Standard Test Method characterized the GAC (GAC-1-5) samples for the determination of iodine number [33] and for the determination of contact pH [34]. The pH was measured using a PHSJ-4A pH meter.

2.4. Experimental Conditions

2.4.1. Sample Preparation

Samples were sieved using a WQS vibrating screen (0.3 mm/3000 min−1) in order to eliminate dust and particles smaller than 0.8 mm. Afterward, a visual inspection was made to eliminate any foreign materials, including little chips of wood or small fabric pieces. The samples were dried using a Boxun BGZ series oven applying the ASTM Standard Test Methods for Moisture in Activated Carbon [35]. Samples were refreshed in a silica-gel desiccator and thereafter weighed with a Sartorius analytical balance.

2.4.2. Wavelength and Solid-Liquid Relation Determination

In order to determine the proper solid-liquid relations (Xi (in g/mL) = mass of GAC per volume of ammonia solution), different Xi were planned. Each Xi sample was put into a hermetically-capped flask in a thermostatic bath at 25 °C. The National Instruments GFL 1086 Gemini (shaker-bath temperature controller) was used to perform the reaction; gently shaking at 50 rpm for 72 h in order to ensure that the equilibrium state was reached. After that time, the extracted solution for each Xi sample was filtered using a PFTE 0.45-µm filter. In order to compare the optical characteristics of each extracted solution (ES) and oak extracted solution (OES), filtered samples were recorded in the visible range between 380 and 1100 nm. Additionally, an optical study of the industrial amber colorant “caramel color” used in rum production was made, and the results were compared to the optical spectrums of ES and OES. The absorption was measured using the Ultrospec 2000 spectrophotometer connected to a computer; a 1-cm quartz cuvette was used.

2.4.3. Reaction Kinetic Study Conditions

Experimental Set-Up

For the reaction kinetic study, a specific set-up presented in Figure 4 consisted of the following.
The digital temperature controller (1) (Figure 4) was connected to the double jacket experimental reactor (2). The experimental reactor was hermetically capped to avoid ammonia evaporation. The reactor’s cap was designed to introduce the mixer (3), and a gently 50 rpm was applied. The reaction liquid was circulated by a peristaltic pump (4) at a flow rate of 10 mL/min. Before the colored solution passes through the spectrophotometer (6), the liquid was filtrated using the PTFE 0.45-µm filter (5) to remove possible dust particles coming from the GAC, which may disturb the absorption measurement. The spectrophotometer (6) was coupled to the computer (7). The measured absorption data were stored every 30 s.
A GAC sample (a) was uniformly distributed on the reactor’s bottom. The suction tube (out) was provided with a 0.2-mm pre-filter to avoid the suction of GAC particles, which may obstruct the peristaltic pump. The suction point was located near the propeller (b) to take advantage of the turbulence and good mixing quality at this point. The feed-back tube (in) was introduced at the reactor’s bottom, below the GAC layer, in order to force the fresh liquid past through the GAC bed before being suctioned again. A “blank” circulation time of 5 min was handled for calibration, prior to the introduction of the GAC into the reactor, as quickly as possible (this is time zero).

2.5. Data Processing

Different models were applied to fit the kinetics of the desorption and to determine its mechanism. To fit the experimental kinetic data, the pseudo-first and pseudo-second order (PFO and PSO) [36], modified pseudo-n order (MPnO) [37] and the mixed order (MOE) [38] rate equations were used.
For the extraction process between ammonia and GAC, a desorption mechanism was considered:
q e , i = q 0 ( C e , i C 0 ) w m
q t , i = q 0 ( C t , i C 0 ) w m
where qe,i is the equilibrium amount of the colored compound desorbed, q0 is the maximum amount adsorbed on the GAC that can be desorbed, and qt,i is the desorbed amount of colored compound “i” at any time. Both are expressed on a weight/weight (g/g of GAC) basis. The initial concentration of the colored compound, C0 = 0. Ce,i, is the equilibrium concentration of the colored compound (in g/L). w is the volume of the liquid (in L), and m is the weight of the solid adsorbent (in g). Ct,i is the bulk concentration of colored compound “i” at any time (in g/L).
According to [36,37,38]: the integrated form of the PFO desorption rate equation was expressed as:
q t = q e ( 1 e k 1 t )
where k 1 is the PFO rate constant, qt is the amount of product desorbed at time t and qe the amount of product desorbed at equilibrium.
For the PSO desorption, the rate equation was defined as:
q t = t k 2 q e 2 1 + t k 2 q e
with k 2 the PSO rate constant.
The MPnO desorption rate equation was expressed as:
q t = q e ( 1 e n k t ) 1 n
where k = k q e n 1 and n is the order of the rate equation.
The MOE model was expressed as:
q t = q e 1 e k 1 t 1 F 2 e k 1 t
where F 2 ( F 2 < 1) was determined as the share of the second order term in the total rate equation:
F 2 = k 2 q e k 1 + k 2 q e
Statistical analyses were performed using the Statgraphics Centurion XV® software. Curve fitting and plots were obtained using Origin 8.1® software.

3. Results and Discussion

3.1. Samples Characterization

Table 2 displays the iodine number and contact pH of the samples. Five experiments were performed, and statistical parameters were determined for each sample. According to their exhausting level, the samples can be ordered as follows: GAC-1 > GAC-2 > GAC-3 > GAC-4 > GAC-5. GAC-1 is the virgin sample. Based on the iodine number, GAC-5 is the most exhausted. The pH trend was consistent with the obtained order by the iodine number and the N2 adsorption/desorption results presented in Table 3. This indicates that the lower the iodine number, the more acidic the GAC. Iodine number and the measured pH correlated with the adsorption capacity of the GAC: the more exhausted the GAC, the lower the pH value. According to other researchers [1,26], the acidity increases during the ageing process in rum production. After filtering the Aguardiente through the GAC, adsorption of a variety of acids occurs. The longer the GAC is used in the rum production process, the higher the adsorbed concentration of these acid compounds onto the GAC is (beside the adsorption of other compounds) and, thus, the more acidic these GAC become.
A linear correlation (R2 = 0.99) is obtained by plotting the iodine number vs. the pH (Table 2). The reduction of the adsorption capacity involves an increment of adsorbed compounds onto GAC particles (including extractable and formed acids during the ageing process (Steps 2–4, Figure 1) [1,2,5,8,13,14,15,18,19,20,21,22,23,24]. It can be concluded that the iodine number and the contact pH can be equally used to determine the exhaustion level of GACs, once the value of the initial GAC is known.
The iodine number and contact pH value are in line with the porous characteristics and the surface area of these GAC using the N2 adsorption/desorption technique as found in Table 3.
Figure 5 displays SEM images of GAC samples: “virgin” (a) and “most exhausted” (b) before and after use in a rum production process. Differences can be seen in the external surface of the GAC particle. “Virgin” GAC (GAC-1 (a)) shows more roughness in its surface in comparison to “exhausted” GAC (GAC-5 (b)).
The diminished external roughness of the used GAC in the rum production process can be associated with increased amounts of adsorbed organic compounds. Figure 6 displays the elemental analysis data expressed as the element ratio between the most exhausted GAC-5 and virgin GAC-1. The line located at “1.0” represents a ratio = 1. Above this line, the ratio value represents how much higher the element percent in the GAC-5 sample is compared to the virgin carbon. The carbon percentage in the exhausted sample is almost the same in comparison to the virgin GAC. The oxygen percent ratio is around 25% higher than the virgin GAC. Hydrogen and nitrogen present a significant increment, approximately 1.75- and three-times higher than the virgin GAC, respectively. The exhausted carbon adsorbs an important amount of nitrogenized compounds, which might be associated with wood amino acids and proteins from the oak wood in the form of extractable compounds. These amino acids and proteins are contributors to the color in the aged rums and other alcoholic beverages [1,2,5,8,13,14,15,18,19,20,21,22,23,24].
Figure 7 displays the thermogravimetric analysis (TGA) results for the virgin and exhausted samples: GAC-1 (a) and GAC-5 (b) correspondently. According to the graph, the loss of weight for GAC-1 was about 6%. Above 110 °C, minor weight loss occurred in a continuous way due to in situ-formed volatiles for GAC-1 upon further heating. Comparing TGA results, Figure 7a,b, great differences between the exhausted samples and virgin GAC are noticeable. At 110 °C, the loss of water and low MW volatile compounds ends. Additionally, based on this TGA, a thermal treatment just above 500 °C for GAC-5 could result in a removal of most of the adsorbed organic compounds. Thermal desorption in the absence of oxygen could point to a possible recycling strategy.
Based on contact pH, iodine number, nitrogen adsorption/desorption results, TGA and elemental analysis, GAC-5 was used as the target GAC in developing the colorimetric method. Afterwards, GAC 2–4 were measured with the optimal colorimetric method conditions.

3.2. Sample Preparation

3.2.1. Drying

According to Figure 7b, the drying process for the samples of exhausted GAC must be handled carefully in order to release only moisture. Therefore, preparing GAC for the colorimetric method, a drying curve was recorded in order to determine the proper drying time at 110 °C.
The moisture content for GAC-5 was determined [35] and plotted versus time. After 3 h, the moisture content did not significantly change. According to the drying curve (not shown) and TGA results, the drying process must be carried out at 110 °C for 3 h.

3.2.2. Solid-Liquid Relation “Xi” (g/mL) and Wavelength

The solid-liquid relation “Xi” (grams of GAC per volume of ammonia solution) represents an important variable to be fixed. Xi affects the intensity of the obtained color of the ES. The higher the Xi value is, the darker the color. An optimal Xi to perform the colorimetric method was determined in combination with an optimal wavelength to measure the color intensity according to the Xi value. Initially, the experiments were performed using 20.0 mL of 25% ammonia solution, with masses of GAC equal to: 0.2; 0.4; 0.6; 1.0; 1.6; 3.2 and 6.0 g.

3.2.2.1. Wavelength

Figure 8 displays the absorption spectra of ES at different Xi combinations. Absorption spectra are almost identical for all Xi combinations. From these spectra, it is clear that no optimal wavelength can be selected. Therefore, a strategy was explored to measure at the most proper wavelength. First, a proper dilution of all ES solutions was made to account for all Xi values of the VIS spectrum (380–1100 nm), making spectra comparison possible.
Table 4 displays the values of the wavelength determined by processing statistically the optical data close to 1.25 AU (absorption units). Five independent experiments for each value of Xi were performed. The more intense the color is, the higher the obtained wavelength.

3.2.2.2. Measurement Scale

According to the instrumentation and measurement criteria, any measurement should be done at 50%–75% of the equipment maximal scale value in order to minimize the measurement errors. The spectrophotometric measurement range of absorption was 0–2 absorption units (AU). Thus, an accurate measurement in the range of 1–1.5 AU was possible. For each absorption spectrum of ES at different Xi values, the selected wavelength must give an absorption value in this range. The value of 1.25 AU was selected. Hereafter, each sample of ES at different Xi values was spectrophotometrically analyzed without dilution.
The minimal σ(x) was observed at 634 nm at Xi = 0.16 g/mL. A representative amount of GAC particles per volume of ammonia solution has to be used in order to obtain an optimal extraction condition. However, when the Xi value is higher than 0.16 g/mL, the color (dark-amber) is so intense that the optimal wavelength is loaded again with a larger error. Concluding: a representative Xi value with a proper amount of GAC, but also proper color intensity and the lowest error is for 0.16 g/mL of GAC (3.2 g/20 mL) to be measured at 634 nm.

3.3. Kinetics

3.3.1. Effect of Ammonia Concentration

A 25% ammonia solution was used to determine the optimal Xi and wavelength to develop the spectrophotometric measurement. To evaluate the effect of the ammonia concentration, seven different ammonia concentrations were explored: 25%; 12.5%; 6.25%; 3.125%; 1.25%; 0.25% and 0.125%. Three-point-two grams of GAC-5 and 20 mL of ammonia solution were loaded in the kinetic set-up (Figure 4). For each ammonia concentration, five independent experiments were performed at 25 °C, and absorption was measured at 634 nm after every 30 s.
Figure 9 displays the kinetic data plotted at different ammonia concentrations. Kinetic plots for ammonia concentration at 25%, 12.5% and 6.25% are grouped together showing a similar extraction rate. By contrast, kinetic plots for ammonia concentrations 3.125%–0.125% were different: different extraction rates and different extracted amounts. The lower the concentration of ammonia used, the faster the extraction occurred, but a lower maximum absorption value is reached or fewer amount of compounds are desorbed. An ammonia concentration of 6.25% needed 6 h of contact for maximum absorption.
Table 5 presents the results of the statistical comparison between the final absorption values reached at 25 °C for each ammonia concentration. The multiple comparison method was applied to determine statistical differences between the mean of the samples using Fisher’s lower significant difference (LSD) method. In this case, there was no statistical difference in the equilibrium absorption value reached between 25%, 12.5% and 6.25% of ammonia. In addition, all spectra recorded for ES at different ammonia concentrations were identical to those displayed in Figure 8.
According to Lambert-Beer’s law, the absorption value is directly proportional to the concentration of a component “A” (CA). As rum is a complex mixture of organic substances [5,6,7,8,9,10,11,22], it is difficult to determine the specific extractable compounds responsible for ES color (an analytical procedure to determine the extractable compounds responsible for the obtained color is under study). Therefore, an alternative way to assume the linear correlation between the absorption value and the concentration of the color can be proposed. An industrial amber color from sugar cane (known as caramel color) was therefore used. This colorant is produced at the industrial scale, and its quality parameters are strictly guaranteed and regulated. The amber color from the caramel color is very similar to the color of the ES and OES.
Figure 10 presents the optical spectra of ES, OES and the caramel color. The spectra are similar in the 380–900 nm range. As the measurements take place at 634 nm, the caramel color can be used as a representative or equivalent substance to evaluate the linear correlation between the absorption value and the color concentration. After 900 nm, the optical pattern of the caramel color is somewhat different from the ES and OES patterns.
A linear calibration curve between measured absorbance and the concentration of the caramel color at 634 nm was obtained. Accordingly, for ES, an equivalent linear correlation at 634 nm can be stated and is used to calculate “color” concentration or Ceq for ES and OES. The model that describes the relationship between absorption (Abs) and the color concentration Ceq (in g/L) is proposed as:
A b s = 0.0464 · C e q   ( R 2 = 0.99 )
Figure 11 presents the experimental and fitted kinetic data for only two different ammonia concentrations at 25 °C. All of the data were used in the fitting process using the qt/qe ratio versus t according to the PFO, PSO, MPnO and MOE models. qt and qe data were obtained by transforming the absorbance values into equivalent color concentration Ceq.
At all ammonia concentrations, the PSO model had a correlation coefficient lower than 0.80, and they were therefore not restrained. For 25%, 12.5% and 6.25% of ammonia concentration, a lower regression coefficient was found for the PFO model fitting compared to MPnO and MOE (Table 6). However, the PFO model fits the data for all lower ammonia concentrations quite well; MPnO and MOE models fit the data for all ammonia concentrations at 25 °C very well. In all examined models, the rate coefficient increased with a decreasing ammonia concentration, which was in accordance with the kinetic results (Figure 9). The lower the concentration of ammonia, the faster the equilibrium absorption value is reached. The desorption velocity increases as the ammonia concentration decreases.
According to Table 5 and Table 6, the ammonia concentration in the range of 25% down to 6.25% affects the reaction parameters, but does not affect the equilibrium absorption value reached.

3.3.2. Effect of Temperature

For determining the effect of temperature, three different temperatures were explored: 10, 25 and 40 °C. Three-point-two grams of GAC-5 and 20 mL of a 6.25% ammonia solution were loaded in the kinetic set-up (Figure 5). For each temperature, five independent experiments were performed: the absorption value was recorded at 634 nm every 30 s.
Figure 12 displays the obtained plots for the experimental kinetic data at different temperatures. Only some minor differences in the plots can be noticed. The equilibrium absorption values reached are very similar.
Table 7 presents the results of the statistical comparison between the final absorption values reached at equilibrium for each temperature. There are no statistical differences between 10, 25 and 40 °C. It can thus be concluded that temperature does not affect the final absorption value at equilibrium in the range of 10–40 °C.
However, in terms of reaction rate, 25 °C seems to be the most optimal temperature. Further on, the recorded spectra (not shown) at the different temperatures are again comparable with each other, as found in Figure 9 and Figure 11.
Figure 13a–c displays the experimental and fitted kinetic data at different temperatures for a 6.25% ammonia solution. At 25 °C, the lowest correlation coefficient was for the PFO model (Table 6, Figure 13c). MPnO and MOE models present satisfactory goodness of fit for all temperature ranges. For the 10 °C kinetic study, all of the other models fit the data equally well. At 25 °C, the MOE model fits the data better than the MPnO model. At 40 °C, again, all models were comparable, but MOE is superior towards MPnO. PFO has the least coefficient. The temperature affects the reaction rate constant, but does not affect the equilibrium absorbance value. At 25 °C, the rate constant is different from the other temperatures for all of the explored kinetics models.
The effect of temperature on the behavior of the rate constant value is a typical feature of heterogeneous reactions controlled by the desorption velocity of the reactant from the solid surface [39,40,41]. It can be noticed from Table 8 that at 25 °C for all kinetic models compared to the 10 °C and 40 °C experiments, the rate constants clearly drastically change. For the PFO model, although having the lowest correlation coefficient, k1 increased. For the MPnO model, an increase in the n-value and a corresponding decrease in k′ can be observed. For the MOE model, k1 decreased, and there was a corresponding huge increase in k2. Nevertheless, the above formulated features cannot explain these changes as a function of temperature, indicating a more complex desorption mechanism. The study of the kinetics in the colorimetric method, as well as the compounds involved in the reaction can be very interesting for addressing a strategy of the GAC regeneration process in rum production. A pretreatment using ammonia solution as the extraction solvent prior to thermal regeneration could be an attractive procedure to reduce the energy consumption in the GAC reactivation. The ammonia as a solvent can be easily recovered and reused due to its high volatility and solubility in water. Beyond the practical use of the colorimetric method for determining the exhaustion level of GAC, this method can be potentially applied for the recycling of GAC in rum production.
For all considered temperatures and certainly for the 10 °C experimental conditions, no acceptable data fitting according to the intra-particle diffusion model can be proposed. For the 25 °C and 40 °C data, a fitting can be proposed for the desorption points at the start of the process and at the end of the desorption process (Table 9, Figure 13d,e). The results indicated that, as formulated previously, a complex desorption mechanism of the colored compound(s) even in competition with other adsorbed molecules must be proposed, which is clearly temperature dependent.

3.4. Effect of Temperature and Vessel Size on the Ammonia Concentration in the Liquid Phase

Ammonia is a volatile compound and thus in equilibrium with its partial pressure in the gas phase. To that effect, a hermetic capping of the experimental vessel is needed in order to avoid the volatilization of ammonia during the experiment and consequently a reduction of its concentration in the liquid phase, which could affect the final results. However, it was found that the increment of the temperature resulted in a statistical minor effect. Additionally, the free space in the experimental set-up is very small, closed and constant. Therefore, the amount of loss in ammonia can be neglected.
Furthermore, results in Table 5 indicate the very small effect on the absorption value recorded, when changing drastically the ammonia concentration in the range of 25%–6.25%.

3.5. Experimental Conditions for the Final Proposal of the Colorimetric Method

The same procedure as described in Section 3.2 can be applied to other GAC, i.e., 3.2 g of GAC is added to 20 mL of 6.25% ammonia solution, gently stirred at 50 rpm in batch conditions at 25 °C for 6 h in a 100-mL capped glass vessel.
Table 10 displays the equilibrium absorption values ( A * ) of the samples. Five experiments were performed, and the statistical parameters were determined. According to the equilibrium absorbance, the samples can be ordered as follows: GAC-1 < GAC-2 < GAC-3 < GAC-4 < GAC-5. This order is consistent with the iodine number, the contact pH, N2 adsorption/desorption results and the color intensity. The darker the obtained extracted solution was, the more exhausted the GAC.
Figure 14 shows the relationship between the equilibrium absorption value and the iodine number. The shape of the curve suggests a non-linear fitting; the parameters could be fitted using models as power or exponential.
However, according to other reports [39,40,41], it is demonstrated that the fraction coverage θ of the GAC can be given by:
θ = aC i m
a ,   m are specific constants, Ci is the concentration of colored compound i.
This has basically the form of the Freundlich isotherm, which often provides a good fit to adsorption/desorption data, especially in liquids [41].
Considering that the absorption value is linear correlated with CA, θ can be expressed as:
θ = β ( A * ) m
β is a proportional factor.
Applying the logarithm in both terms:
Ln   θ = Ln   β + m · Ln   A *
Considering the iodine number (IN) as a quantification of the free pores or available active sites on the GAC surface [33] and taking GAC-1 (virgin) as the “model GAC” with the maximum of available free space of sites, then for the other used samples (GAC-2–5) the fractional coverage can be expressed as:
θ = 1 IN i IN m
with   IN i : IN of the used GAC “i”; and IN m : IN of the virgin GAC.
According to the obtained mean of the IN for the samples (Table 2), the fractional coverage can be calculated as:
θ = 1 IN i 1515
Table 11 presents the values of   Ln   θ , A * ¯ and Ln   A * ¯ for each example. Applying double logarithm arrangement, a quite good linear correlation (R2 = 0.99) was found for Ln   θ   vs .   Ln   A * .
The equation that correlates the fractional coverage and the equilibrium absorption value in the colorimetric method can be expressed as:
θ = 0.67 · A *   0.28 ( 0 A *   2 )
The absorption value at equilibrium can thus be used to determine   θ and can be used to determine and quantify the exhaustion level of GAC used in the rum production. This means that for GAC-2, 70.7% of the free space or sites are still unoccupied and that in the case of the GAC-5, this is reduced to only 31.2%.
In other words, using the colorimetric approach, the exhaustion can be quantified. Taking into account that also other compounds are adsorbed and a completely exhausted GAC can be determined using colorimetric measurement, the results can be used to define the end-of-life state of a GAC in the rum production process.

4. Conclusions

The colorimetric method generated an amber color from activated carbon with ammonia solution, which is a useful tool in quantifying the exhaustion level of the GAC. Data obtained with the method correlated with the iodine number, the contact pH and the N2 adsorption/desorption data.
According to the kinetic results, the extraction reaction of the ammonia solution from the GAC demonstrated that the final absorption value at equilibrium was not affected by the applied temperature range of 10–40 °C, nor by the ammonia concentration in the range of 25% down to 6.25%. The optimal measurement conditions were: an ammonia concentration of 6.25%, working temperature of 25 °C and 3.2 g of GAC for 20 mL of ammonia.
The facilities and advantages of all proposed methods for analyzing the exhausted level of GAC form a very interesting complementary analytical technique to characterize GAC used in rum production. The colorimetric method has some advantages in comparison with the iodine number and contact pH methods. To determine the iodine number, GAC must be powdered, and a higher amount of reagents is needed’ more experimental steps are involved, and this is thus more time consuming. Additionally, the experimental error for the iodine number method was higher than the others (around 10%) [33]. On the other hand, the contact pH method is very simple and had a good confidence limit of around 2.4% [34]. However, the amount of GAC sample to be tested must be 10 g (dry weight); the results are highly dependent on the working temperature, correct calibration procedure and the quality of the used water.
In contrast, the colorimetric method is fast, specific and requires minimal reactants. It is not affected by changes of temperature or ammonia concentration. The error for the colorimetric method was around 5.3%. Additionally, even only on sight, a quick qualitative inspection of the color intensity can be performed by a simple ammonia extraction test, giving a very fast indication about the exhausted level of the used GAC.

Acknowledgments

The authors would like to thank the VLIR-UOS (Flemish Interuniversity Council for University Development Cooperation) university project between Belgium and Cuba for providing funding and granting the support of the current and future studies.

Author Contributions

H. Crespo Sariol and K. Vanreppelen conceived and designed the experiments; H. Crespo Sariol performed the experiments; H. Crespo Sariol and J. Yperman analyzed the data; J. Navarro Camp delivered the activated carbon and rum information; H. Crespo Sariol, J. Yperman, A. Brito Sauvanell and R. Carleer wrote the paper.

Conflicts of Interest

The authors declare no conflict of interest.

References

  1. Hernández, O.Q. Science and technologies of distillates beverages. Res. Inst. Food Ind. Cuba 2007, 11, 19. [Google Scholar]
  2. Reazin, G. Chemical mechanism of whisky maturation. Am. J. Enol. Vitic. 1981, 32, 283. [Google Scholar]
  3. Nabeta, K.; Onishi, M.; Masuda, M.; Koda, M.; Matsuyama, R. Reaction of Wood Components during Maturation in Flavour of Distilled Beverages: Origin and Development; Pigott, J.R., Ed.; Horwood: Chichester, UK, 1983; pp. 241–255. [Google Scholar]
  4. Otzuka, K.; Morinaga, M. Study of the mechanism of ageing of distilled liquors Part II. Distribution of phenolic compounds in aged distilled liquors. Agric. Biol. Chem. 1965, 29, 27–31. [Google Scholar] [CrossRef]
  5. Sponholz. Volatile fatty acids in Caribbean rums and rum blends. Deutsch. Lebensm. Rundsch. 1990, 86, 80–81. [Google Scholar]
  6. Suomalainenen, M.; Nykanen, L. Investigation on the aroma of alcoholic beverages. Naeringsmiddelindustren 1970, 85, 149–156. [Google Scholar]
  7. Parfait, A.; Jouret, C. Formation of higher alcohols in rum. Ann. Technol. Agricole 1975, 3, 421–436. [Google Scholar]
  8. Nykanen, L.; Nykanen, I. Flavour Components in Distilled Beverages; Alko Ltd.: Helsinski, Finland, 1991. [Google Scholar]
  9. Jorge, A.P. Characterization of rum using solid-phase micro extraction with gas chromatography-mass spectrometry. Food Chem. 2007, 104, 421–428. [Google Scholar]
  10. Jorge, A.P.; Tolle, S.; Gök, R.; Winterhalter, P. Characterisation of odor-active compounds in aged rum. Food Chem. 2012, 132, 1436–1441. [Google Scholar]
  11. De Souza, M.; Vázquez, P.; del Mastro, N.; Acree, T.; Lavin, J. Characterization of Cachaça and Rum Aroma. J. Agric. Food Chem. 2006, 54, 485–488. [Google Scholar] [CrossRef] [PubMed]
  12. Nykanen, L.; Moring, I. Aroma compounds dissolved from oak chips by alcohol. Dev. Food Sci. 1984, 10, 339–346. [Google Scholar]
  13. Sarni, F.; Moutonet, M.; Puech, J.L.; Rabier, P. Effects of heat treatment of oak wood extractable compound. Holzforchung 1990, 44, 461–466. [Google Scholar] [CrossRef]
  14. Queris, O.; Sánchez, M. Efecto del Tostado de la Viruta de Roble Sobre la Composición de los Extractos; Food Research Institute of Cuba: La Habana, Cuba, 1998. (In Spanish) [Google Scholar]
  15. Maga, J.A. The contribution of wood to the flavour of alcoholic beverages. Food Rev. 1989, 5, 39–99. [Google Scholar] [CrossRef]
  16. Serrano, J.A. Characterisation of oak wood according to its origin and burning degree by GC and HPLC. Vitic. Enol. Prof. 1991, 14, 61–72. [Google Scholar]
  17. Chen, C.L.; Chang, H.M. Chemistry of lignin biodegradation. In Biosynthesis and Biodegradation of Wood Components; Academy Press, Inc.: Orlando, FL, USA, 1985; pp. 535–556. [Google Scholar]
  18. Skurihjin, I.; Nazarova, M.; Lichev, N.V. Use of oak wood for maturing wine distillates. Lozarsvo I Vinartsvo Moscow 1970, 19, 40–44. [Google Scholar]
  19. Timmer, R.; Valois, J.P. Phenolic compounds in rum. J. Food Sci. 1971, 36, 462–463. [Google Scholar] [CrossRef]
  20. Salo, P.; Lethonen, M.; Suomalainen, H. The Development of Flavor during Ageing of Alcoholic Beverages; The Swedish Food Institute SSIK: Goteborg, Sweden, 1976; pp. 87–108. [Google Scholar]
  21. Puech, J.L. Phenolic compounds in oak wood extracts used in the ageing of brandies. J. Sci. Food Agric. 1988, 42, 165–238. [Google Scholar] [CrossRef]
  22. Puech, J.L.; Moutounet, M. Phenolics compounds in an ethanol-water extracts of oak wood in a brandy. Lebensm. Wiss. Technol. 1992, 25, 350–352. [Google Scholar]
  23. Abbott, N.; Puech, J.L.; Bayonove, C.; Baumes, R. Determination of the aroma threshold of the cis and trans racemic forms of β-methyl-γ-octalactone by gas chromatography-sniffing analysis. Am. J. Enol. Vinicult. 1995, 46, 292–294. [Google Scholar]
  24. Lehtonen, M.; Gref, B.; Puputti, E.; Suomalainen, H. 2-Ethyl-3-methylbutyric acid, a new volatile fatty acid found in rum. J. Agric. Food Chem. 1977, 25, 953–955. [Google Scholar] [CrossRef]
  25. Ferrer, M.; Queris, O. Efectodel Ajuste del pH Sobre las Características de los Rones Cubanos; Food Research Institute of Cuba: La Habana, Cuba, 1982. [Google Scholar]
  26. Hsieh, C.T.; Teng, H.S. Influence of mesopore volume and adsorbate size on adsorption capacities of activated carbons in aqueous solutions. Carbon 2000, 38, 863–869. [Google Scholar] [CrossRef]
  27. Ying, W.C. Proceedings of the 44th Purdue Industrial Waste Conference; Lewis Publishers: Chelsea, MI, USA, 1989; p. 313. [Google Scholar]
  28. Queris, O.; Pino, A.; Villavicencio, M. Efecto de la concentración alcohólica sobre la adsorción por el carbón activado de compuestos volátiles presentes en los aguardientes de caña. In Proceedings of the 6th International Symposium of Food Production SIPAL, Bogotá, Colombia, 14 Apirl 2007.
  29. Oshmian, L.; Isnatova, A. Chemical activity of activated carbons on distilled beverages. TsNIIPe 1961, XI, 242–250. (In Spanish) [Google Scholar]
  30. Miguel, G.S.; Lambert, S.D.; Graham, D. The Regeneration of field-spent granular-activated carbons. Water Res. 2001, 35, 2740–2748. [Google Scholar] [CrossRef]
  31. Neimark, A.V.; Lin, Y.; Ravikovitch, P.I.; Thommes, M. Quenched solid density functional theory and pore size analysis of micro-mesoporous carbons. Carbon 2009, 47, 1617–1628. [Google Scholar] [CrossRef]
  32. Stoeckli, F.; Daguerre, E.; Guillot, A. The development of micropore volumes and widths during physical activation of various precursors. Carbon 1999, 37, 2075–2077. [Google Scholar] [CrossRef]
  33. ASTM. Standard Test Method for Determination of Iodine Number of Activated Carbons, D4607-94; ASTM International: West Conshohocken, PA, USA, 2011. [Google Scholar]
  34. ASTM. Standard Test Method for Determination of Contact pH with Activated Carbon, D6851-02; ASTM International: West Conshohocken, PA, USA, 2011. [Google Scholar]
  35. ASTM. Standard Test Methods for Moisture in Activated Carbon, D 2867-04; ASTM International: West Conshohocken, PA, USA, 2011. [Google Scholar]
  36. Azizian, S. Kinetic models of sorption: A theoretical analysis. J. Colloid Interface Sci. 2004, 276, 47–52. [Google Scholar] [CrossRef] [PubMed]
  37. Azizian, S.; Fallah, R.N. A New empirical rate equation for adsorption kinetics at solid/solution interface. Appl. Surf. Sci. 2010, 256, 5153–5156. [Google Scholar] [CrossRef]
  38. Marczewski, A.W. Application of mixed order rate equations to adsorption of methylene blue on mesoporous carbons. Appl. Surf. Sci. 2010, 256, 5145–5152. [Google Scholar] [CrossRef]
  39. Wallas, S.M. Reaction Kinetics for Chemical Engineers; John Wiley & Sons Inc.: New York, NY, USA, 1972. [Google Scholar]
  40. Levenspiel, O. Chemical Reaction Engineering; John Wiley & Sons Inc.: New York, NY, USA, 1989. [Google Scholar]
  41. Froment, G.F.; Bischoff, K.B. Chemical Reactor Analysis and Design; John Wiley & Sons Inc.: Somerest, NJ, USA, 1990. [Google Scholar]
Figure 1. Reduced scheme of the main reactions in the rum ageing process. α, ω represent the original compounds of Aguardiente and wood, correspondently, and α’, β’, δ’, φ’, θ’ the probable obtained compounds; ”n” represents the different types of organic compounds involved in each possible particular reaction. (1) Reaction between the different original compounds in the Aguardiente; (2) substance extraction from the oak wood to the alcoholic bulk liquid; (3) oxidation of both kinds of compounds (extracted and original compounds); (4) new reactions between the original, extracted and the oxidized compounds.
Figure 1. Reduced scheme of the main reactions in the rum ageing process. α, ω represent the original compounds of Aguardiente and wood, correspondently, and α’, β’, δ’, φ’, θ’ the probable obtained compounds; ”n” represents the different types of organic compounds involved in each possible particular reaction. (1) Reaction between the different original compounds in the Aguardiente; (2) substance extraction from the oak wood to the alcoholic bulk liquid; (3) oxidation of both kinds of compounds (extracted and original compounds); (4) new reactions between the original, extracted and the oxidized compounds.
Beverages 02 00024 g001
Figure 2. Samples of activated carbon in contact with ammonia solution (25%). (a) Exhausted granular activated carbon (GAC) from the rum production process and (b) virgin GAC; white oak wood chips after (c) 15 min and (d) 12 h.
Figure 2. Samples of activated carbon in contact with ammonia solution (25%). (a) Exhausted granular activated carbon (GAC) from the rum production process and (b) virgin GAC; white oak wood chips after (c) 15 min and (d) 12 h.
Beverages 02 00024 g002
Figure 3. Diagram of the reaction trace. The “(+)” represents when the reaction with the ammonia solution occurs (amber color) and “(−)” when the color does not appear.
Figure 3. Diagram of the reaction trace. The “(+)” represents when the reaction with the ammonia solution occurs (amber color) and “(−)” when the color does not appear.
Beverages 02 00024 g003
Figure 4. Experimental set-up for the kinetic study. (1) PolyScience Digital temperature controller; (2) double jacket experimental reactor, (a) GAC, (b), propeller; (3) IKA mixer; (4) Heidolph Pumpdrive 5001 peristaltic pump (tubing size: 1.7 mm); (5) PTFE 0.45-µm filter; (6) Ultrospec 2000 spectrophotometer (1-cm quartz cuvette); (7) computer. WL = wavelength.
Figure 4. Experimental set-up for the kinetic study. (1) PolyScience Digital temperature controller; (2) double jacket experimental reactor, (a) GAC, (b), propeller; (3) IKA mixer; (4) Heidolph Pumpdrive 5001 peristaltic pump (tubing size: 1.7 mm); (5) PTFE 0.45-µm filter; (6) Ultrospec 2000 spectrophotometer (1-cm quartz cuvette); (7) computer. WL = wavelength.
Beverages 02 00024 g004
Figure 5. Digital microscopic images of samples of “virgin” GAC-1 (a) and “exhausted” GAC-5 (b) before and after use in a rum production process.
Figure 5. Digital microscopic images of samples of “virgin” GAC-1 (a) and “exhausted” GAC-5 (b) before and after use in a rum production process.
Beverages 02 00024 g005
Figure 6. CHNS-O elemental analysis data for “virgin” GAC-1 and “exhausted” GAC-5 expressed as the element ratio.
Figure 6. CHNS-O elemental analysis data for “virgin” GAC-1 and “exhausted” GAC-5 expressed as the element ratio.
Beverages 02 00024 g006
Figure 7. TG and DTG curves for GAC-1 (a) and GAC-5 (b) in N2 atmosphere.
Figure 7. TG and DTG curves for GAC-1 (a) and GAC-5 (b) in N2 atmosphere.
Beverages 02 00024 g007
Figure 8. Spectra of the extracted solution (ES) at different Xi (T = 25 °C/stirring rate = 50 rpm/extraction time = 72 h/20.0 mL ammonia solution (25%)/batch experiment). “d”: after proper dilution.
Figure 8. Spectra of the extracted solution (ES) at different Xi (T = 25 °C/stirring rate = 50 rpm/extraction time = 72 h/20.0 mL ammonia solution (25%)/batch experiment). “d”: after proper dilution.
Beverages 02 00024 g008
Figure 9. Plots of the experimental kinetics data for different concentrations of ammonia solution at 25 °C.
Figure 9. Plots of the experimental kinetics data for different concentrations of ammonia solution at 25 °C.
Beverages 02 00024 g009
Figure 10. Optical scans of ES, oak ES (OES) and the caramel color.
Figure 10. Optical scans of ES, oak ES (OES) and the caramel color.
Beverages 02 00024 g010
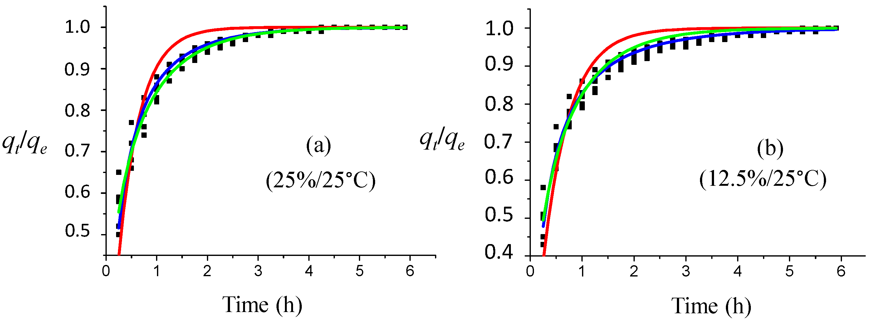
Figure 11. Experimental and fitted kinetics data at two different ammonia concentrations (GAC-5; 3.2 g/20 mL NH3 solution). Red: pseudo-first order (PFO); green: modified pseudo-n order (MPnO) and blue: mixed order (MOE) (6.25%/25 °C; see Figure 13).
Figure 11. Experimental and fitted kinetics data at two different ammonia concentrations (GAC-5; 3.2 g/20 mL NH3 solution). Red: pseudo-first order (PFO); green: modified pseudo-n order (MPnO) and blue: mixed order (MOE) (6.25%/25 °C; see Figure 13).
Beverages 02 00024 g011
Figure 12. Plots of the experimental kinetic data for different temperatures (GAC-5; 3.2 g/20 mL of a 6.25% ammonia solution).
Figure 12. Plots of the experimental kinetic data for different temperatures (GAC-5; 3.2 g/20 mL of a 6.25% ammonia solution).
Beverages 02 00024 g012
Figure 13. (a,b,c) Experimental and fitted kinetics data at three different temperatures (ammonia concentration 6.25%); (d,e) qt vs. t at two different temperatures (6.25% of ammonia concentration), C1, C2 and C3 are the boundary layer thickness (g/g), respectively, the larger the greater the effect.
Figure 13. (a,b,c) Experimental and fitted kinetics data at three different temperatures (ammonia concentration 6.25%); (d,e) qt vs. t at two different temperatures (6.25% of ammonia concentration), C1, C2 and C3 are the boundary layer thickness (g/g), respectively, the larger the greater the effect.
Beverages 02 00024 g013
Figure 14. Relationship between the equilibrium absorption value and the iodine number.
Figure 14. Relationship between the equilibrium absorption value and the iodine number.
Beverages 02 00024 g014
Table 1. Basic composition of white oak wood.
Table 1. Basic composition of white oak wood.
Component% of Total Dry Weight
Cellulose40–45
Hemicellulose20–35
Lignin20–33
Extractable compounds2–10
Table 2. Iodine number and contact pH of the GAC samples.
Table 2. Iodine number and contact pH of the GAC samples.
SamplesGAC-1GAC-2GAC-2GAC-4GAC-5
Iodine NumberpHIodine NumberpHIodine NumberpHIodine NumberpHIodine NumberpH
x ¯   15156.2310725.469565.125274.174723.94
σ ( x ) 1150.01210.01330.01130.04230.09
V.C. (%)7.60.22.00.23.40.32.414.92
V.C.: variability coefficient.
Table 3. Characterization of the porous structure of GAC-1 and GAC-5 by the N2 adsorption technique.
Table 3. Characterization of the porous structure of GAC-1 and GAC-5 by the N2 adsorption technique.
SamplesSBETVTVDRVmesVmes/VTL0
m2/gcm3/gcm3/gcm3/g/nm
GAC-114920.7830.5450.2380.301.43
GAC-56710.4010.2600.1410.351.23
SBET: specific surface area; VT: total pore volume; VDR: micro pore volume; Vmes: meso pore volume; L0: average pore width.
Table 4. Wavelengths of direct absorption measurements for each solid-liquid relation (Xi) value.
Table 4. Wavelengths of direct absorption measurements for each solid-liquid relation (Xi) value.
Xi (g/mL)0.010.020.030.050.080.160.30
λ i (nm)440480514549583635670
436488516550582634669
437482515549583635671
440480514549581633667
438484518552584635673
σ ( x ) (nm)1.83.31.71.31.10.92.2
λ ¯ (nm)438483515550583634670
Notes: λ i (wavelength values at each Xi combination),   λ ¯   (average wavelength value), σ ( x )   (standard deviation).
Table 5. Statistical comparison of the equilibrium absorption value reached for each ammonia concentration.
Table 5. Statistical comparison of the equilibrium absorption value reached for each ammonia concentration.
Concentration of NH3 A * ¯
0.125%0.296
0.25%0.420
1.25%0.552
3.125%0.690
6.25%1.332
12.5%1.326
25%1.349
Method: 95.0 percent lower significant difference (LSD). A * ¯ is the mean of the absorption in equilibrium (in absorption units (AU)).
Table 6. Parameters and characteristics of experimental data fitted at different ammonia concentrations for the studied kinetic models (temperature at 25 °C).
Table 6. Parameters and characteristics of experimental data fitted at different ammonia concentrations for the studied kinetic models (temperature at 25 °C).
Conc. (%)PFO (Red)MpnO (Green)MOE (Blue)
k1ErrorR2nErrork′ErrorR2k1Errork2ErrorR2
252.35±0.070.852.44±0.090.44±0.030.980.59±0.0521±10.97
12.51.96±0.050.861.96±0.090.59±0.050.960.61±0.0417±20.98
6.252.35±0.060.841.80±0.030.75±0.010.950.60±0.0321±20.99
3.1252.55±0.030.981.34±0.051.55±0.100.981.70±0.0819±10.98
1.253.43±0.050.961.41±0.081.87±0.090.962.3±0.232±20.96
0.254.77±0.070.951.6±0.12.1±0.20.953.0±0.262±50.96
0.1256.90±0.080.951.8±0.22.7±0.30.954.2±0.3159±170.95
Notes: Conc. = NH3 concentration in %, Error = standard deviation.
Table 7. Statistical comparison of the equilibrium absorption value reached for each temperature.
Table 7. Statistical comparison of the equilibrium absorption value reached for each temperature.
Temperature °C A * ¯
101.294
251.332
401.285
Method: 95.0 percent LSD.
Table 8. Parameters and characteristics of experimental data fitted at different temperatures for the studied kinetics models (6.25% ammonia concentration).
Table 8. Parameters and characteristics of experimental data fitted at different temperatures for the studied kinetics models (6.25% ammonia concentration).
Temperature (°C)PFO (Red)MpnO (Green)MOE (Blue)
k1ErrorR2nErrork′ErrorR2k1Errork2ErrorR2
101.13±0.010.991.11±0.030.93±0.070.990.88±0.042.5±0.20.99
252.35±0.060.841.80±0.030.75±0.160.950.60±0.0320.6±2.010.99
401.85±0.040.931.42±0.081.0±0.10.960.96±0.072.2±0.20.97
Table 9. Results of linear parts fitting for the qt vs. t     curves.
Table 9. Results of linear parts fitting for the qt vs. t     curves.
NH3 Concentration (%)T (°C)k1C1R2k2C2R2k3C3R2
6.25250.0970.0570.990.030.120.970.0080.160.96
6.25400.1150.0360.960.030.120.970.0070.160.94
Notes: k1, k2, k3 (intra particle diffusion rate constants), C1, C2, C3 (constant related to the energy of adsorption).
Table 10. A* values of the GAC samples.
Table 10. A* values of the GAC samples.
SamplesGAC-1GAC-2GAC-3GAC-4GAC-5
A * 00.0480.1320.7601.207
00.0530.1290.7481.227
00.0530.1360.7571.236
00.0540.1350.7531.203
00.0490.1290.7491.215
A * ¯ 00.0510.1320.7531.218
σ ( A * ) 00.0030.0030.0050.014
Table 11. Parameters for the fitting process.
Table 11. Parameters for the fitting process.
Samples θ L n θ A * ¯ L n A * ¯
GAC-100
GAC-20.293−1.2290.051−2.968
GAC-30.369−0.9970.132−2.023
GAC-40.652−0.4270.753−0.283
GAC-50.688−0.3741.218+0.197
Note: θ = coverage fraction.

Share and Cite

MDPI and ACS Style

Crespo Sariol, H.; Vanreppelen, K.; Yperman, J.; Brito Sauvanell, Á.; Carleer, R.; Navarro Campa, J. A Colorimetric Method for the Determination of the Exhaustion Level of Granular Activated Carbons Used in Rum Production. Beverages 2016, 2, 24. https://doi.org/10.3390/beverages2030024

AMA Style

Crespo Sariol H, Vanreppelen K, Yperman J, Brito Sauvanell Á, Carleer R, Navarro Campa J. A Colorimetric Method for the Determination of the Exhaustion Level of Granular Activated Carbons Used in Rum Production. Beverages. 2016; 2(3):24. https://doi.org/10.3390/beverages2030024

Chicago/Turabian Style

Crespo Sariol, Harold, Kenny Vanreppelen, Jan Yperman, Ángel Brito Sauvanell, Robert Carleer, and José Navarro Campa. 2016. "A Colorimetric Method for the Determination of the Exhaustion Level of Granular Activated Carbons Used in Rum Production" Beverages 2, no. 3: 24. https://doi.org/10.3390/beverages2030024

APA Style

Crespo Sariol, H., Vanreppelen, K., Yperman, J., Brito Sauvanell, Á., Carleer, R., & Navarro Campa, J. (2016). A Colorimetric Method for the Determination of the Exhaustion Level of Granular Activated Carbons Used in Rum Production. Beverages, 2(3), 24. https://doi.org/10.3390/beverages2030024

Note that from the first issue of 2016, this journal uses article numbers instead of page numbers. See further details here.

Article Metrics

Back to TopTop