Effect of Thermovinification Temperature on Phenolic Compounds and Colour of Syrah Wine
Abstract
1. Introduction
2. Materials and Methods
2.1. Raw Material
2.2. Winemaking Process
2.3. Phenolic Compound Profile
2.4. Colorimetric Parameters
2.5. Sensory Analysis—Consumer Test
2.6. Statistical Analysis
3. Results and Discussion
3.1. Phenolic Compounds
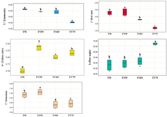
3.2. Colorimetry
3.3. Principal Component Analysis (PCA)
3.4. Sensory Analysis—Consumer Test
4. Conclusions
Author Contributions
Funding
Data Availability Statement
Acknowledgments
Conflicts of Interest
References
- Maza, M.; Álvarez, I.; Raso, J. Thermal and non-thermal physical methods for improving polyphenol extraction in red winemaking. Beverages 2019, 5, 47. [Google Scholar] [CrossRef]
- Perez-Vizcaino, F.; Fraga, C.G. Research trends in flavonoids and health. Arch. Biochem. Biophys. 2018, 646, 107–112. [Google Scholar] [CrossRef] [PubMed]
- Plavsa, T.; Jurinjak, N.; Antunovic, D.; Persuric, Ð.; Ganic, K.K. The influence of skin maceration time on the phenolic composition and antioxidant activity of red wine Teran (Vitis vinifera L.). Food Technol. Biotechnol. 2012, 50, 152–158. [Google Scholar]
- Gao, F.; Guan, L.; Zeng, G.; Hao, X.; Li, H.; Wang, H. Preliminary characterization of chemical and sensory attributes for grapes and wines of different cultivars from the Weibei Plateau region in China. Food Chem. 2024, 21, 101091. [Google Scholar] [CrossRef]
- Morata, A.; González, C.; Tesfaye, W.; Loira, I.; Suárez-Lepe, J.A. Maceration and fermentation: New technologies to increase extraction. Red. Wine Technol. 2019, 3, 35–49. [Google Scholar] [CrossRef]
- Harrison, R. Practical interventions that influence the sensory attributes of red wines related to the phenolic composition of grapes: A review. Int. J. Food Sci. Technol. 2017, 53, 3–18. [Google Scholar] [CrossRef]
- Boulton, R. Red Wines. In Fermented Beverage Production, 2nd ed.; Lea, A.G., Piggott, J.R., Eds.; Springer: New York, NY, USA, 2003. [Google Scholar]
- Cerpa-Calderon, F.K.; Kennedy, J.A. Berry integrity and extraction of skin and seed proanthocyanidins during red wine fermentation. J. Agric. Food Chem. 2008, 19, 9006–9014. [Google Scholar] [CrossRef]
- Monagas, M.; Bartolome, B.; Gomez-Cordoves, C. Updated knowledge about the presence of phenolic compounds in wine. Critical Reviews in Food Sci. Nutr. 2005, 45, 85–118. [Google Scholar] [CrossRef]
- Pinelo, M.; Arnous, A.; Meyer, A.S. Upgrading of grape skins: Significance of plant cell-wall structural components and extraction techniques for phenol release. Trends. Food Sci. Technol. 2006, 17, 579–590. [Google Scholar] [CrossRef]
- Sacchi, K.; Bisson, L.F.; Adams, D. A review of the effect of winemaking techniques on phenolic extraction in red wines. Am. J. Enol. Vitic. 2005, 56, 197–206. [Google Scholar] [CrossRef]
- López, N.; Puértolas, E.; Condón, S.; Álvarez, I.; Raso, J. Effects of pulsed electric fields on the extraction of phenolic compounds during the fermentation of must of Tempranillo grapes. Innovative. Food Sci. Emerg. Technol. 2008, 9, 477–482. [Google Scholar] [CrossRef]
- Berg, H.W. Heat treatment of musts. Wines Wines 1950, 31, 24–26. [Google Scholar]
- Marteau, G.; Olivieri, C.H. Bases et perspectives de la vinification en rouge parmacération à chaud. Bull. Tech. D’information 1970, 253, 4. [Google Scholar]
- Rankine, B.C. Heat extraction of color from red grapes of increasing importance. Wines Vines 1973, 54, 33–36. [Google Scholar]
- Poux, C. Chauffage de la vendange et composés azotés. Ind. Aliment. Agric. 1974, 91, 335–340. [Google Scholar]
- Lowe, E.J.; Oey, A.; Turner, T.M. Gasquet Thermovinification System Perspective After Two Years’ Operation. Am. J. Enol. Vitic. 1976, 27, 130–133. [Google Scholar] [CrossRef]
- Boulton, R.B.; Singleton, V.L.; Bisson, L.F. Principles and Practices Ofwinemaking; Chapman & Hall: New York, NY, USA, 1996. [Google Scholar]
- Baiano, A.; Scrocco, C.; Sepielli, G.; Nobile, M.A. Processing: A critical review of physical, chemical, and sensory implications of innovative vinification procedures. Critical Reviews. Food Sci. Nutr. 2016, 56, 2391–2407. [Google Scholar] [CrossRef]
- Geffroy, O.; Lopez, R.; Feilhes, C.; Violleau, F.; Kleiber, D.; Favarel, J.L.; Ferreira, V. Modulating analytical characteristics of thermovinified Carignan musts and the volatile composition of the resulting wines through the heating temperature. Food Chem. 2018, 257, 7–14. [Google Scholar] [CrossRef]
- Venturini Filho, W.G. Bebidas Alcoólicas: Ciência e Tecnologia; Editora Blucher: Sao Paulo, Brazil, 2021; Volume 1. [Google Scholar]
- Clarke, R.J.; Bakker, J. Wine-Flavour Chemistry; Blackwell Publishing Ltd.: Oxford, UK, 2004. [Google Scholar]
- Margalit, Y. Concepts in Wine Technology; The Wine Appreciation Guild Ltd.: San Francisco, CA, USA, 2004. [Google Scholar]
- Orbanić, F.; Rossi, S.; Bestulić, E.; Budić-Leto, I.; Kovačević Ganić, K.; Horvat, I.; Radeka, S. Applying Different Vinification Techniques in Teran Red Wine Production: Impact on Bioactive Compounds and Sensory Attributes. Foods 2023, 12, 3838. [Google Scholar] [CrossRef]
- Alvares, C.A.; Stape, J.L.; Sentelhas, P.C.; Gonçalves, J.L.M.; Sparovek, G. Koppen’s climate classification map for Brazil. Meteorol. Z. 2014, 22, 711–728. [Google Scholar] [CrossRef]
- Natividade, M.M.P.; Correa, L.C.; de Souza, S.V.C.; Pereira, G.E.; Lima, L.C.O. Simultaneous analysis of 25 phenolic compounds in grape juice for HPLC: Method validation and characterization of São Francisco Valley samples. Microchem. J. 2013, 110, 665–674. [Google Scholar] [CrossRef]
- Da Costa, R.R.; Rodrigues, A.A.M.; De Vasconcelos, V.A.F.; Costa, J.P.D.; De Lima, M.A.C. Trellis systems, rootstocks and season influence on the phenolic composition of ‘Chenin Blanc’ grape. Sci. Agric. 2020, 77, e20180207. [Google Scholar] [CrossRef]
- Singleton, V.L.; Rossi, J.A. Colorimetry of total phenolics with phosphomolybidic-phosphotungstic acid reagent. Am. J. Enol. Vitic. 1965, 16, 144–158. [Google Scholar] [CrossRef]
- Commission Internationale de l’Eclairage Central Bureau. CIE Colorimetry; Technical Report; International Commission on Illumination: Viena, Austria, 2004; Volume 15. [Google Scholar]
- Villanueva, N.D.M.; Da Silva, M.A.A.P. Comparative performance of the nine-point hedonic, hybrid and self-adjusting scales in the generation of internalpreference maps. Food Qual. Prefer. 2009, 20, 1–12. [Google Scholar] [CrossRef]
- Biasoto, A.C.T.; Netto, F.M.; Marques, E.J.N.; da Silva, M.A.A.P. Acceptability and preference drivers of red wines produced from Vitis labrusca and hybrid grapes. Food Res. Int. 2014, 62, 456–466. [Google Scholar] [CrossRef]
- Meilgaard, M.C.; Carr, B.T.; Carr, B.T. Sensory Evaluation Techniques; CRC Press: Boca Raton, FL, USA, 2006. [Google Scholar] [CrossRef]
- Atanacković, M.; Petrović, A.; Jović, S.; Gojković-Bukarica, L.; Bursać, M.; Cvejić, J. Influence of winemaking techniques on the resveratrol content, total phenolic content and antioxidant potential of red wines. Food Chem. 2012, 131, 513–518. [Google Scholar] [CrossRef]
- Barros, A.P.A.; Silva, I.S.; Correa, L.C.; Biasoto, A.C.T. Effect of the cold pre-fermentative maceration and aging on lees times on the phenolic compound profile, antioxidant capacity and color of red sparkling wines. J. Food Sci. Technol. 2022, 59, 3245–3255. [Google Scholar] [CrossRef]
- Rossi, S.; Bestulić, E.; Horvat, I.; Plavša, T.; Lukić, I.; Bubola, M.; Radeka, S. Comparison of different winemaking processes for improvement of phenolic composition, macro-and microelemental content, and taste sensory attributes of Teran (Vitis vinifera L.) red wines. LWT 2022, 154, 112619. [Google Scholar] [CrossRef]
- Cheng, Y.; Savits, J.R.; Watrelot, A.A. Effect of the application time of accentuated cut edges (ACE) on Marquette wine phenolic compounds. Molecules 2022, 27, 542. [Google Scholar] [CrossRef]
- Garrido, J.; Borges, F. Wine and grape polyphenols—A Chemical perspective. Food Res. Int. 2013, 54, 1844–1858. [Google Scholar] [CrossRef]
- Lukić, I.; Budić-Leto, I.; Bubola, M.; Damijanić, K.; Staver, M. Pre-fermentative cold maceration, saignée, and various thermal treatments as options for modulating volatile aroma and phenol profiles of red wine. Food Chem. 2017, 224, 251–261. [Google Scholar] [CrossRef] [PubMed]
- Vrhovšek, U. Extraction of hydroxycinnamoyltartaric acids from berries of different grape varieties. J. Agric. Food Chem. 1998, 46, 4203–4208. [Google Scholar] [CrossRef]
- Benbouguerra, N.; Hornedo-Ortega, R.; Garcia, F.; El Khawand, T.; Saucier, C.; Richard, T. Stilbenes in grape berries and wine and their potential role as anti-obesity agents: A review. Trends Food Sci. Technol. 2021, 112, 362–381. [Google Scholar] [CrossRef]
- Rentzsch, M.; Wilkens, A.; Winterhalter, P. Non-Flavonoid Phenolic Compounds. In Wine Chemistry and Biochemistry; Moreno-Arribas, M.V., Polo, M.C., Eds.; Springer: New York, NY, USA, 2009; pp. 509–527. [Google Scholar]
- Tong, W.; Sun, B.; Ling, M.; Zhang, X.; Yang, W.; Shi, Y.; Lan, Y. Influence of modified carbonic maceration technique on the chemical and sensory characteristics of Cabernet Sauvignon wines. Food Chem. 2023, 403, 134341. [Google Scholar] [CrossRef]
- Nemzer, B.; Kalita, D.; Yashin, A.Y.; Yashin, Y.I. Chemical Composition and Polyphenolic Compounds of Red Wines: Their Antioxidant Activities and Effects on Human Health—A Review. Beverages 2022, 8, 1. [Google Scholar] [CrossRef]
- Gutiérrez-Escobar, R.; Fernández-Marín, M.I.; Richard, T.; Fernández-Morales, A.; Carbú, M.; Cebrian-Tarancón, C.; Torija, M.J.; Puertas, B.; Cantos-Villar, E. Development and characterization of a pure stilbene extract from grapevine shoots for use as a preservative in wine. Food Control 2021, 121, 107684. [Google Scholar] [CrossRef]
- Galanakis, C.M.; Aldawoud, T.M.S.; Rizou, M.; Rowan, N.J.; Ibrahim, S.A. Food ingredients and active compounds against the coronavirus. disease (COVID-19) pandemic: A comprehensive review. Foods 2020, 11, 1701. [Google Scholar] [CrossRef]
- El Darra, N.; Turk, M.F.; Ducasse, M.A.; Grimi, N.; Maroun, R.G.; Louka, N.; Vorobiev, E. Changes in polyphenol profiles and color composition of freshly fermented model wine due to pulsed electric field, enzymes and thermovinification pretreatments. Food Chem. 2016, 194, 944–950. [Google Scholar] [CrossRef]
- Gutiérrez-Escobar, R.; Aliaño-González, M.J.; Cantos-Villar, E. Wine polyphenol content and its influence on wine quality and properties: A review. Molecules 2021, 26, 718. [Google Scholar] [CrossRef]





| Treatments b | ||||
|---|---|---|---|---|
| Phenolic Compounds (mg/L) a | TW | TV55 | TV65 | TV75 |
| Anthocyanins | ||||
| Pelargonidin-3-O-glucoside | 2.89± 0.07 b | 3.46 ± 0.49 a | 2.37 ± 0.08 c | 1.48 ± 0.10 d |
| Delfinidin-3-O-glucoside | 1.20 ± 0.03 b | 1.65 ± 0.27 a | 1.16 ± 0.05 b | 0.80 ± 0.04 c |
| Malvidin-3-O-glucoside | 30.61 ± 0.50 a | 29.43 ± 4.39 a | 20.79 ± 1.52 b | 11.68 ± 0.77 c |
| Peonidin-3-O-glucoside | 1.93 ± 0.42 ab | 2.26 ± 0.59 a | 1.71 ± 0.18 b | 0.95 ± 0.18 c |
| Petunidin-3-O-glucoside | 1.24 ± 0.06 a | 1.02 ± 0.10 b | 0.96 ± 0.14 b | 0.70 ± 0.05 c |
| Cyanidin-3-O-glucoside | ND | ND | ND | ND |
| ∑ Anthocyanins | 37.87 mg/L | 37.82 mg/L | 26.99 mg/L | 15.61 mg/L |
| Phenolic acids | ||||
| Gallic acid | 28.26 ± 0.20 a | 24.46 ± 5.27 ab | 22.23 ± 1.22 b | 24.93 ± 0.17 ab |
| Caffeic acid | 13.96 ± 0.35 a | 4.57 ± 0.26 c | 5.15 ± 0.22 c | 8.27 ± 2.80 b |
| trans-caftaric acid | 2.64 ± 0.19 b | 132.17 ± 11.31 a | 126.37 ± 27.3 a | 119.07 ± 26.08 a |
| Chlorogenic acid | 0.73 ± 0.01 a | ND | ND | ND |
| ρ-Coumaric acid | 5.58 ± 0.27 a | 2.97 ± 0.04 b | 1.40 ± 0.09 c | 2.33± 1.14 bc |
| Ferulic acid | 2.02 ± 0.02 a | 0.69 ± 0.01 c | 0.72 ± 0.02 b | 0.70 ± 0.03 bc |
| ∑ Phenolic acids | 53.19 mg/L | 164.86 mg/L | 155.87 mg/L | 155.30 mg/L |
| Stilbenes | ||||
| cis-resveratrol | 0.16 ± 0.00 c | 0.17 ± 0.01 bc | 0.18 ± 0.10 a | 0.17 ± 0.01 ab |
| Piceatannol | 1.18 ± 0.01 c | 1.94 ± 0.18 b | 2.28 ± 0.04 a | 2.25 ± 0.04 a |
| trans-resveratrol | 0.54 ± 0.01 c | 0.59± 0.06 ab | 0.62 ± 0.03 a | 0.57 ± 0.03 bc |
| ε-viniferin | ND | ND | ND | ND |
| ∑ Stilbenes | 1.88 mg/L | 2.70 mg/L | 3.08 mg/L | 2.99 mg/L |
| Flavan-3-ols | ||||
| (−)-Epicatechin gallate | 2.07 ± 0.19 a | 1.38 ± 0.10 c | 1.37 ± 0.08 c | 1.66 ± 0.17 b |
| (−)-Epigalatocatechin gallate | 15.79 ± 0.12 a | 13.32 ± 2.76 b | 8.51 ± 0.74 c | 6.00 ± 0.32 d |
| (+)-Catechin | 17.82 ± 1.06 c | 19.13 ± 5.30 c | 29.94 ± 3.60 b | 35.01 ± 1.54 a |
| (−)-Epicatechin | 11.08 ± 0.66 b | 11.25 ± 3.31 b | 16.41 ± 1.84 a | 18.50 ± 1.35 a |
| Procyanidin A2 | 1.38 ± 0.03 b | 1.34 ± 0.13 b | 1.42 ± 0.04 b | 1.54 ± 0.05 a |
| Procyanidin B1 | 9.56 ± 0.34 b | 11.60 ± 2.74 ab | 11.62 ± 0.43 ab | 12.57 ± 1.04 a |
| Procyanidin B2 | 6.56 ± 0.14 a | 6.27 ± 0.54 a | 5.43 ± 0.18 b | 5.31 ± 0.29 b |
| ∑ Flavan-3-ols | 64.26 mg/L | 64.29 mg/L | 74.70 mg/L | 80.59 mg/L |
| Flavonols | ||||
| Kaempferol-3-O-glucoside | 2.81 ± 0.04 d | 5.89± 0.53 c | 7.08 ± 0.14 b | 7.56 ± 0.22 a |
| Quercetin-3-O-β-D-glucoside | 46.13 ± 0.10 c | 95.16 ± 5.87 b | 106.59 ± 0.87 a | 107.87 ± 3.41 a |
| Isorhamnetin-3-O-glucoside | 25.62 ± 0.54 c | 39.60 ± 2.16 b | 43.15 ± 0.48 a | 43.08 ± 1.34 a |
| Myricetin | 0.98 ± 0.05 a | 1.00 ± 0.12 a | 0.93 ± 0.05 a | 0.97 ± 0.06 a |
| Rutin | 0.65 ± 0.10 a | 0.72 ± 0.10 a | 0.69± 0.03 a | 0.71 ± 0.08 a |
| ∑ Flavonols | 76.19 mg/L | 142.37 mg/L | 158.44 mg/L | 160.19 mg/L |
| ∑ Phenolic compounds by HPLC-DAD-FD | 233.39 mg/L | 412.04 mg/L | 419.08 mg/L | 414.68 mg/L |
Disclaimer/Publisher’s Note: The statements, opinions and data contained in all publications are solely those of the individual author(s) and contributor(s) and not of MDPI and/or the editor(s). MDPI and/or the editor(s) disclaim responsibility for any injury to people or property resulting from any ideas, methods, instructions or products referred to in the content. |
© 2024 by the authors. Licensee MDPI, Basel, Switzerland. This article is an open access article distributed under the terms and conditions of the Creative Commons Attribution (CC BY) license (https://creativecommons.org/licenses/by/4.0/).
Share and Cite
Silva, I.S.; Barros, A.P.A.; Correa, L.C.; de Souza, C.O.; Biasoto, A.C.T. Effect of Thermovinification Temperature on Phenolic Compounds and Colour of Syrah Wine. Beverages 2024, 10, 117. https://doi.org/10.3390/beverages10040117
Silva IS, Barros APA, Correa LC, de Souza CO, Biasoto ACT. Effect of Thermovinification Temperature on Phenolic Compounds and Colour of Syrah Wine. Beverages. 2024; 10(4):117. https://doi.org/10.3390/beverages10040117
Chicago/Turabian StyleSilva, Islaine Santos, Ana Paula André Barros, Luiz Claudio Correa, Carolina Oliveira de Souza, and Aline Camarão Telles Biasoto. 2024. "Effect of Thermovinification Temperature on Phenolic Compounds and Colour of Syrah Wine" Beverages 10, no. 4: 117. https://doi.org/10.3390/beverages10040117
APA StyleSilva, I. S., Barros, A. P. A., Correa, L. C., de Souza, C. O., & Biasoto, A. C. T. (2024). Effect of Thermovinification Temperature on Phenolic Compounds and Colour of Syrah Wine. Beverages, 10(4), 117. https://doi.org/10.3390/beverages10040117

