Macadamia (Macadamia integrifolia) Nut-Based Beverage: Physicochemical Stability and Nutritional and Antioxidant Properties
Abstract
1. Introduction
2. Materials and Methods
2.1. Raw Materials
2.2. Reagents and Standards
2.3. Chemical Composition of Raw Material
2.4. Beverage Preparation
2.5. Physicochemical Analysis
2.6. Color Analysis
2.7. Fatty Acid Methyl Ester Determination
2.8. Antioxidant Capacity Determination
2.9. Particle Size Determination
2.10. Zeta Potential
2.11. Colloidal Stability of Beverages
2.12. Sensory Analysis
2.13. Statistical and Multivariate Analysis
3. Results
3.1. Chemical Composition of Macadamia Nut
3.2. Analysis of Mixture Design to Estimate the Stability of Macadamia Nut-Based Beverages
3.3. Evaluation of Beverages after Thermal Treatment
3.3.1. Fatty Acid Profile
3.3.2. Antioxidant Capacity
3.3.3. pH, Density, and Total Soluble Solids
3.4. Physicochemical Evaluation of Beverages during Storage
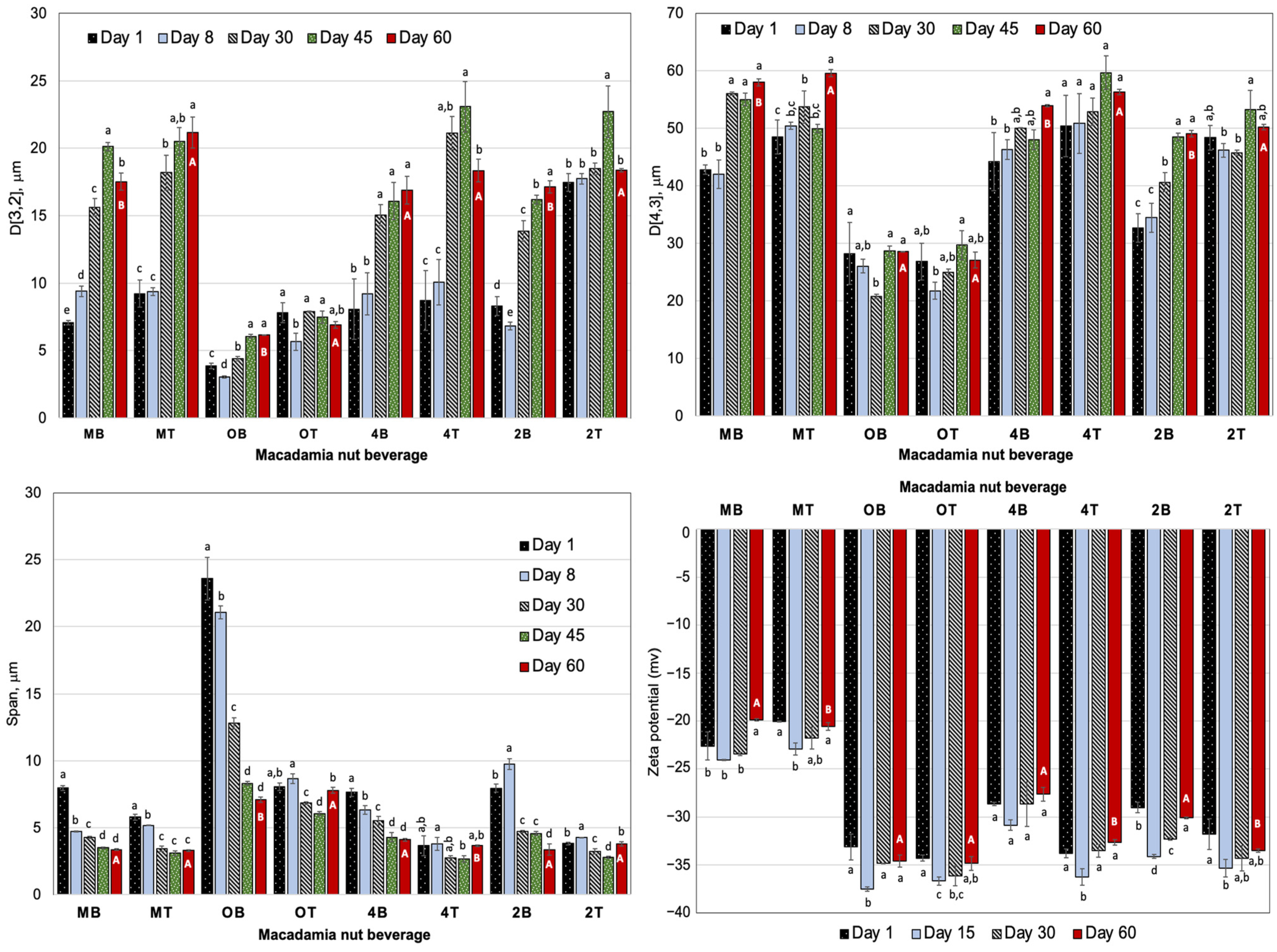
3.4.1. Particle Size Distribution
3.4.2. Zeta Potential
3.4.3. Optical Properties
3.4.4. Colloidal Stability
3.4.5. Sensory Analysis
4. Conclusions
Author Contributions
Funding
Data Availability Statement
Acknowledgments
Conflicts of Interest
References
- Alcorta, A.; Porta, A.; Tárrega, A.; Alvarez, M.D.; Vaquero, M.P. Foods for plant-based diets: Challenges and innovations. Foods 2021, 10, 293. [Google Scholar] [CrossRef]
- Jeske, S.; Zannini, E.; Arendt, E.K. Evaluation of physicochemical and glycaemic properties of commercial plant-based milk substitutes. Plant Foods Hum. Nutr. 2017, 72, 26–33. [Google Scholar] [CrossRef]
- Shuai, X.; Dai, T.; Chen, M.; Liang, R.; Du, L.; Chen, J.; Liu, C. Comparative study of chemical compositions and antioxidant capacities of oils obtained from 15 macadamia (Macadamia integrifolia) cultivars in China. Foods 2021, 10, 1031. [Google Scholar] [CrossRef]
- Alasalvar, C.; Shahidi, F. Tree Nuts: Composition, Phytochemicals, and Health Effects, 1st ed.; CRC Press: Boca Raton, FL, USA, 2008; pp. 249–258. [Google Scholar] [CrossRef]
- McClements, D.J. Development of next-generation nutritionally fortified plant-based milk substitutes: Structural design principles. Foods 2020, 9, 421. [Google Scholar] [CrossRef]
- Walstra, P. Physical Chemistry of Foods; Marcel Dekker Inc.: New York, NY, USA, 2003; pp. 300–333. [Google Scholar]
- Association of Official Analytical Chemists (AOAC). Official Methods of Analysis, 18th ed.; Association of Official Analytical Chemists: Gaithersburg, MD, USA, 2005. [Google Scholar]
- ISO 659:1988; Oilseeds—Determination of Hexane Extract (or Light Petroleum Extract), Called “Oil Content”. ISO: Geneva, Switzerland, 1988.
- Pearson, D. The Chemical Analysis of Foods, 7th ed.; Churchill Living Stone: London, UK, 1976. [Google Scholar]
- Folch, J.; Less, M.; Sloane-Stanley, G.H. A simple method for the isolation and purification of total lipides from animal tissues. J. Biol. Chem. 1957, 226, 497–509. Available online: https://www.jbc.org/article/S0021-925864849-5/pdf (accessed on 20 January 2019). [CrossRef] [PubMed]
- Hernández-Martínez, M.; Gallardo-Velázquez, T.; Osorio-Revilla, G. Rapid characterization and identification of fatty acids in margarines using horizontal attenuate total reflectance Fourier transform infrared spectroscopy (HATR-FTIR). Eur. Food Res. Technol. 2010, 231, 321–329. [Google Scholar] [CrossRef]
- Rufino, M.S.M.; Alves, R.E.; de Brito, E.S.; Pérez-Jiménez, J.; Saura-Calixto, F.; Mancini-Filho, J. Bioactive compounds and antioxidant capacities of 18 non-traditional tropical fruits from Brazil. Food Chem. 2010, 121, 996–1002. [Google Scholar] [CrossRef]
- Ho, K.K.H.Y.; Schroën, K.; San Martín-González, M.F.; Berton-Carabin, C.C. Synergistic and antagonistic effects of plant and dairy protein blends on the physicochemical stability of lycopene-loaded emulsions. Food Hydrocoll. 2018, 81, 180–190. [Google Scholar] [CrossRef]
- Minitab Soporte de Minitab® 18. Available online: https://support.minitab.com/es (accessed on 20 January 2023).
- Aquino-Bolaños, E.N.; Mapel-Velazco, L.; Martín-del-Campo, S.T.; Chávez-Servia, J.L.; Martínez, A.J.; Verdalet-Guzmán, I. Fatty acids profile of oil from nine varieties of Macadamia nut. Int. J. Food Prop. 2017, 20, 1262–1269. [Google Scholar] [CrossRef]
- Magalhães, K.T.; Tavares, T.S.; Gomes, T.M.C.; Nunes, C.A. Effect of process variables on the yield and quality of jerivá (Syagrus romanzoffiana) kernel oil from aqueous extraction. Grasas Aceites 2020, 71, e339. [Google Scholar] [CrossRef]
- Toro-Funes, N. Nutritional and Biofunctional Value of Soybean and Almond Beverages Stabilized by Ultra-High Pressure Homogenization. Doctoral Thesis, Universidad de Barcelona, España, Spain, 2014. [Google Scholar]
- Vasquez-Rojas, W.V.; Martín, D.; Fornari, T.; Cano, M.P. Brazil Nut (Bertholletia excelsa) Beverage Processed by High-Pressure Homogenization: Changes in Main Components and Antioxidant Capacity during Cold Storage. Molecules 2023, 28, 4675. [Google Scholar] [CrossRef] [PubMed]
- Chen, J.; Liu, H. Nutritional indices for assessing fatty acids: A mini-review. Int. J. Mol. Sci. 2020, 21, 5695. [Google Scholar] [CrossRef] [PubMed]
- Alasalvar, C.; Chang, S.K.; Shahidi, F. Nuts: Nutrients, natural antioxidants, fat-soluble bioactives, and phenolics. In Health Benefits of Nuts and Dried Fruits, 1st ed; Alasalvar, C., Salas-Salvadó, J., Ros, E., Sabaté, J., Eds.; CRC Press-Taylor & Francis Group: Boca Raton, FL, USA, 2020; pp. 13–58. [Google Scholar]
- Alasalvar, C.; Bolling, B.W. Review of nut phytochemicals, fat-soluble bioactives, antioxidant components and health effects. Br. J. Nutr. 2015, 113, S68–S78. [Google Scholar] [CrossRef] [PubMed]
- Panneerselvam, N.; Sundaramurthy, D.; Maruthapillai, A. Antibacterial/antioxidant activity of CuO impacted xanthan gum/chitosan @ascorbic acid nanocomposite films. J. Polym. Environ. 2022, 30, 3239–3249. [Google Scholar] [CrossRef]
- Nasab, M.E.; Takzaree, N.; Saffari, P.M.; Partoazar, A. In vitro antioxidant activity and in vivo wound-healing effect of lecithin liposomes: A comparative study. J. Comp. Eff. Res. 2019, 8, 633–643. [Google Scholar] [CrossRef] [PubMed]
- National Center for Biotechnology Information, NCBI, PubChem Compound Summary for CID 122218. Available online: https://pubchem.ncbi.nlm.nih.gov/compound/122218 (accessed on 23 April 2023).
- Sidhu, J.; Singh, R. Ultra high pressure homogenization of soy milk: Effect on quality attributes during storage. Beverages 2016, 2, 15. [Google Scholar] [CrossRef]
- Bernat, N.; Chafer, M.; Rodríguez-García, J.; Chiralt, A.; González-Martínez, C. Effect of high pressure homogenisation and heat treatment on physical properties and stability of almond and hazelnut milks. LWT Food Sci. Technol. 2015, 62, 488–496. [Google Scholar] [CrossRef]
- Bernat, N.; Cháfer, M.; Chiralt, A.; González-Martínez, C. Development of a non-dairy probiotic fermented product based on almond milk and inulin. Food Sci. Technol. Int. 2015, 21, 440–453. [Google Scholar] [CrossRef]
- Frühauf, V.; Egea, M.; Hernandes, T.; Takeuchi, K. Relationship between physicochemical and sensory characteristics of commercial plant-based beverages. J. Culinary Sci. Technol. 2023, 21, 886–902. [Google Scholar] [CrossRef]
- Sarraf, M.; Naji-Tabasi, S.; Beig-Babaei, A.; Moros, J.E.; Sánchez, M.C.; Franco, J.M.; Tenorio-Alfonso, A. Improving the structure and properties of whey protein emulsion gel using soluble interactions with xanthan and basil seed gum. Food Sci. Nutr. 2023, 11, 6907–6919. [Google Scholar] [CrossRef]
- Şen, L.; Okur, S. Effect of hazelnut type, hydrocolloid concentrations and ultrasound applications on physicochemical and sensory characteristics of hazelnut-based milks. Food Chem. 2023, 402, 134288. [Google Scholar] [CrossRef] [PubMed]
- Lei, Y.; Ma, L.; Ouyang, H.; Peng, W.; Xu, F.; Wang, P.; Jin, L.; Li, S. Influence of soy protein isolate on the gel properties of walnut protein isolate-κ-carrageenan treated with NaCl. J. Future Foods. 2023, 3, 364–373. [Google Scholar] [CrossRef]
- Francis, F.J. Colorimetric properties of foods. In Engineering Properties of Foods; Rao, M.A., Rizvi, S.S.H., Datta, A.K.J., Eds.; CRC Press-Taylor & Francis Group: Boca Raton, FL, USA, 2005; pp. 703–732. [Google Scholar]





| Run Order | Macadamia Nut (%) | Soy Lecitin (%) | Xanthan Gum (%) |
|---|---|---|---|
| 1 | 4.35 | 1.25 | 0.40 |
| 2 | 4.95 | 0.65 | 0.40 |
| 3 | 5.16 | 0.65 | 0.19 |
| 4 | 4.71 | 1.01 | 0.29 |
| 5 | 4.71 | 1.01 | 0.29 |
| 6 | 5.62 | 0.30 | 0.08 |
| 7 | 4.95 | 0.65 | 0.40 |
| 8 | 4.00 | 1.92 | 0.08 |
| 9 | 5.20 | 0.30 | 0.50 |
| 10 | 4.00 | 1.50 | 0.50 |
| 11 | 5.20 | 0.30 | 0.50 |
| 12 | 5.62 | 0.30 | 0.08 |
| 13 | 4.00 | 1.92 | 0.08 |
| 14 | 4.35 | 1.46 | 0.19 |
| 15 | 5.16 | 0.65 | 0.19 |
| 16 | 4.35 | 1.46 | 0.19 |
| 17 | 4.35 | 1.25 | 0.40 |
| 18 | 4.00 | 1.50 | 0.50 |
| Code | Macadamia Nut (MN), % | Soy Lecithin (SL), % | Xanthan Gum (XG), % | Density (g/cm3) | pH |
|---|---|---|---|---|---|
| Beverages without thermal treatment (NTT) | |||||
| MB | 5.50 | 0.00 | 0.00 | 0.997 ± 0.000 a | 6.35 ± 0.01 a |
| OB | 4.39 | 1.13 | 0.48 | 0.993 ± 0.014 ab | 6.19 ± 0.01 c |
| 4B | 4.71 | 1.01 | 0.29 | 1.000 ± 0.008 a | 6.14 ± 0.01 d |
| 2B | 4.95 | 0.65 | 0.40 | 0.994 ± 0.009 ab | 6.27 ± 0.01 b |
| Beverages with thermal treatment (BTT) | |||||
| MT | 5.50 | 0.00 | 0.00 | 1.000 ± 0.006 a | 6.33 ± 0.01 a |
| OT | 4.39 | 1.13 | 0.48 | 0.975 ± 0.000 b | 6.18 ± 0.01 c |
| 4T | 4.71 | 1.01 | 0.29 | 0.997 ± 0.005 a | 6.05 ± 0.01 e |
| 2T | 4.95 | 0.65 | 0.40 | 0.993 ± 0.006 ab | 6.13 ± 0.01 d |
| Fatty Acid (% of Total Fatty Acids) | Macadamia Nut-Based Beverage | ||||||||
|---|---|---|---|---|---|---|---|---|---|
| MB | MT | OB | OT | 4B | 4T | 2B | 2T | MN | |
| C12:0 | 0.08 ± 0.00 | 0.08 ± 0.00 | 0.08 ± 0.00 | 0.07 ± 0.02 | 0.09 ± 0.00 | 0.09 ± 0.00 | 0.09 ± 0.00 | 0.09 ± 0.00 | 0.19 ± 0.01 |
| C14:0 | 0.82 ± 0.01 | 0.82 ± 0.00 | 0.84 ± 0.00 | 0.73 ± 0.06 | 0.91 ± 0.01 | 0.92 ± 0.02 | 0.86 ± 0.01 | 0.85 ± 0.03 | 2.18 ± 0.09 |
| C16:0 | 7.70 ± 0.04 | 7.31 ± 0.34 | 8.18 ± 0.06 | 8.31 ± 0.79 | 7.98 ± 0.03 | 7.2 ± 1.32 | 8.09 ± 0.17 | 7.19 ± 0.43 | 8.19 ± 0.08 |
| C16:1 | 20.44 ± 0.25 | 20.32 ± 0.10 | 19.09 ± 0 | 18.74 ± 0.65 | 19.91 ± 0.13 | 20.02 ± 0.59 | 19.51 ± 0.21 | 19.47 ± 0.74 | 18.26 ± 0.27 |
| C18:0 | 4.07 ± 0.48 | 4.13 ± 0.66 | 3.4 ± 0.25 | 3.87 ± 0.17 | 3.92 ± 0.75 | 3.08 ± 0.70 | 3.73 ± 0.02 | 3.66 ± 0.07 | 5.14 ± 0.24 |
| C18:1 | 57.04 ± 0.45 | 56.81 ± 0.43 | 56.3 ± 0.1 | 54.47 ± 2.52 | 57.19 ± 0.78 | 58.73 ± 1.73 | 56.22 ± 0.58 | 56.50 ± 1.42 | 47.48 ± 0.85 |
| C18:2 | 1.83 ± 0.01 | 1.84 ± 0.01 | 3.27 ± 0.00 | 5.56 ± 2.19 | 1.91 ± 0.13 | 1.84 ± 0.08 | 3.01 ± 0.17 | 2.47 ± 0.22 | 4.10 ± 0.20 |
| C18:3 | 0.25 ± 0.09 | 0.34 ± 0.15 | 2.81 ± 0.01 | 2.82 ± 0.27 | 2.84 ± 0.02 | 2.55 ± 0.55 | 2.86 ± 0.04 | 2.79 ± 0.15 | 4.68 ± 0.14 |
| C20:0 | 3.00 ± 0.08 | 3.00 ± 0.03 | 2.66 ± 0.00 | 2.33 ± 0.06 | 2.66 ± 0.11 | 2.82 ± 0.09 | 2.54 ± 0.06 | 2.56 ± 0.07 | 4.57 ± 0.08 |
| C20:1 | 2.46 ± 0.04 | 2.46 ± 0.07 | 0.25 ± 0.00 | 0.74 ± 0.32 | 0.38 ± 0.08 | 0.16 ± 0.00 | 0.46 ± 0.02 | 0.29 ± 0.08 | 0.77 ± 0.03 |
| C22:0 | 0.94 ± 0.03 | 0.97 ± 0.05 | 0.92 ± 0.00 | 0.96 ± 0.09 | 0.9 ± 0.02 | 0.87 ± 0.06 | 0.91 ± 0.02 | 0.85 ± 0.1 | 1.88 ± 0.06 |
| C22:1 | 0.29 ± 0.01 | 0.30 ± 0.00 | 0.33 ± 0.00 | 0.28 ± 0.01 | 0.33 ± 0.00 | 0.35 ± 0.01 | 0.31 ± 0.01 | 0.31 ± 0.01 | 0.69 ± 0.04 |
| C24:0 | 0.35 ± 0.01 | 0.37 ± 0.02 | 0.39 ± 0.00 | 0.38 ± 0.02 | 0.37 ± 0.01 | 0.36 ± 0.02 | 0.37 ± 0.01 | 0.33 ± 0.05 | 0.71 ± 0.05 |
| % SFA | 16.97 ± 0.41 b | 16.66 ± 0.83 b | 16.62 ± 0.33 b | 17.13 ± 0.33 b | 17.01 ± 0.01 b | 15.06 ± 2.62 b | 16.9 ± 0.18 b | 15.76 ± 0.59 b | 22.98 ± 0.66 a |
| % MUFA | 80.24 ± 0.41 ab | 79.88 ± 0.37 ab | 78.38 ± 0.10 bc | 75.82 ± 3.24 c | 80.09 ± 0.15 ab | 81.91 ± 2.42 a | 78.58 ± 0.79 abc | 78.84 ± 2.19 abc | 71.00 ± 1.25 d |
| % PUFA | 2.08 ± 0.08 e | 2.19 ± 0.07 e | 3.52 ± 0.00 c | 6.3 ± 2.51 a | 2.30 ± 0.03 e | 2.00 ± 0.08 e | 3.47 ± 0.19 c | 2.77 ± 0.24 d | 4.88 ± 0.22 b |
| IA | 0.13 c | 0.13 d | 0.14 b | 0.13 c | 0.14 b | 0.13 c | 0.14 b | 0.13 e | 0.21 a |
| IT | 0.30 a | 0.29 c | 0.25 g | 0.26 d | 0.25 f | 0.22 i | 0.25 e | 0.23 h | 0.29 b |
| Macadamia Nut-Based Beverages | |||||||||
|---|---|---|---|---|---|---|---|---|---|
| Parameter | Days | MB | OB | 4B | 2B | MT | OT | 4T | 2T |
| L* | 1 | 86.48 ± 0.1 aA | 86.6 ± 0.02 aA | 85.76 ± 0.02 cA | 86.07 ± 0.01 bA | 85.68 ± 0.09 cB | 84.92 ± 0.01 dB | 84.21 ± 0.04 eB | 83.81 ± 0.02 fB |
| 60 | 79.14 ± 0.01 gB | 83.07 ± 0.01 bA | 82.98 ± 0.03 bcB | 82.47 ± 0.02 dA | 81.22 ± 0.11 fA | 82.95 ± 0.01 cB | 83.93 ± 0.03 aA | 81.35 ± 0.02 eB | |
| a* | 1 | −0.92 ± 0.01 eB | −0.09 ± 0.01 bB | −0.88 ± 0.01 eB | −0.79 ± 0.01 dB | −0.68 ± 0.03 cA | −0.03 ± 0.01 aA | −0.82 ± 0.01 dA | −0.65 ± 0.01 cA |
| 60 | −0.97 ± 0.00 eA | −0.09 ± 0.01 aA | −1.17 ± 0.01 gB | −0.74 ± 0.01 dB | −1.37 ± 0.02 hB | −0.12 ± 0.01 bB | −1.07 ± 0.01 fA | −0.70 ± 0.01 cA | |
| b* | 1 | 6.28 ± 0.18 fA | 10.03 ± 0.01 bB | 7.25 ± 0.01 eA | 7.95 ± 0.01 dB | 6.24 ± 0.17 fA | 11.01 ± 0.00 aA | 7.13 ± 0.01 eB | 9.09 ± 0.08 cA |
| 60 | 5.38 ± 0.00 hB | 12.75 ± 0.02 aA | 7.87 ± 0.01 eA | 11.51 ± 0.01 cA | 5.48 ± 0.03 gA | 12.29 ± 0.01 bB | 7.44 ± 0.01 fB | 9.47 ± 0.01 dB | |
| CI | 1 | −1.70 ± 0.07 fB | −0.11 ± 0.01 aB | −1.42 ± 0.01 eB | −1.15 ± 0.01 cB | −1.26 ± 0.09 cdA | −0.03 ± 0.01 aA | −1.37 ± −1.37 deA | −0.85 ± 0.01 bA |
| 60 | −2.28 ± 0.00 gA | −0.08 ± 0.01 aA | −1.80 ± 0.01 fB | −0.78 ± 0.01 cA | −3.07 ± 0.02 hB | −0.12 ± 0.01 bB | −1.71 ± 0.01 eA | −0.90 ± 0.01 dB | |
| ΔE | 1 | 7.4 ± 0.08 aA | 4.46 ± 0.02 dA | 2.87 ± 0.01 eA | 5.06 ± 0.01 bA | 4.6 ± 0.05 cB | 2.35 ± 0.02 gB | 0.48 ± 0.02 hB | 2.49 ± 0.02 fB |
| 60 | |||||||||
| Flavour | Aroma | Consistency | |
|---|---|---|---|
| OT | 5.4 ± 0.8 b | 4.9 ± 0.8 ab | 5.0 ± 0.9 b |
| 4T | 5.0 ± 0.8 b | 4.1 ± 0.8 b | 6.3 ± 0.8 a |
| 2T | 7.1 ± 0.7 a | 6.1 ± 0.8 a | 5.4 ± 0.8 ab |
Disclaimer/Publisher’s Note: The statements, opinions and data contained in all publications are solely those of the individual author(s) and contributor(s) and not of MDPI and/or the editor(s). MDPI and/or the editor(s) disclaim responsibility for any injury to people or property resulting from any ideas, methods, instructions or products referred to in the content. |
© 2024 by the authors. Licensee MDPI, Basel, Switzerland. This article is an open access article distributed under the terms and conditions of the Creative Commons Attribution (CC BY) license (https://creativecommons.org/licenses/by/4.0/).
Share and Cite
Camacho-Teodocio, J.D.; Gallardo-Velázquez, T.; Osorio-Revilla, G.; Castañeda-Pérez, E.; Velázquez-Contreras, C.; Cornejo-Mazón, M.; Hernández-Martínez, D.M. Macadamia (Macadamia integrifolia) Nut-Based Beverage: Physicochemical Stability and Nutritional and Antioxidant Properties. Beverages 2024, 10, 58. https://doi.org/10.3390/beverages10030058
Camacho-Teodocio JD, Gallardo-Velázquez T, Osorio-Revilla G, Castañeda-Pérez E, Velázquez-Contreras C, Cornejo-Mazón M, Hernández-Martínez DM. Macadamia (Macadamia integrifolia) Nut-Based Beverage: Physicochemical Stability and Nutritional and Antioxidant Properties. Beverages. 2024; 10(3):58. https://doi.org/10.3390/beverages10030058
Chicago/Turabian StyleCamacho-Teodocio, Juan Daniel, Tzayhri Gallardo-Velázquez, Guillermo Osorio-Revilla, Eduardo Castañeda-Pérez, Claudia Velázquez-Contreras, Maribel Cornejo-Mazón, and Diana Maylet Hernández-Martínez. 2024. "Macadamia (Macadamia integrifolia) Nut-Based Beverage: Physicochemical Stability and Nutritional and Antioxidant Properties" Beverages 10, no. 3: 58. https://doi.org/10.3390/beverages10030058
APA StyleCamacho-Teodocio, J. D., Gallardo-Velázquez, T., Osorio-Revilla, G., Castañeda-Pérez, E., Velázquez-Contreras, C., Cornejo-Mazón, M., & Hernández-Martínez, D. M. (2024). Macadamia (Macadamia integrifolia) Nut-Based Beverage: Physicochemical Stability and Nutritional and Antioxidant Properties. Beverages, 10(3), 58. https://doi.org/10.3390/beverages10030058

