The Ability of Lacticaseibacillus paracasei MSMC 36-9 Strain with Probiotic Potential to Ferment Coconut Milk and Produce a Yogurt-Type Beverage
Abstract
1. Introduction
2. Materials and Methods
2.1. Culture Preparation
2.2. Preparation of Coconut Milk Yogurt-Type Beverage
2.3. pH Changes during Storage
2.4. Viability of the Strain with Probiotic Potential in Coconut Milk Yogurt-Type Beverages during Storage
2.5. Resistance of the Strain with Probiotic Potential to Simulated Gastrointestinal Conditions during Storage
2.6. Radical Scavenging Activity of Coconut Milk Yogurt-Type Beverage
2.7. Viscosity
2.8. Data Analysis
3. Results and Discussion
3.1. pH Changes during Storage
3.2. Viability of the Strain with Probiotic Potential in Coconut Milk Yogurt-Type Beverage during Storage
3.3. Resistance of the Strain with Probiotic Potential to Simulated Gastrointestinal Digestion
3.4. Radical Scavenging Activity
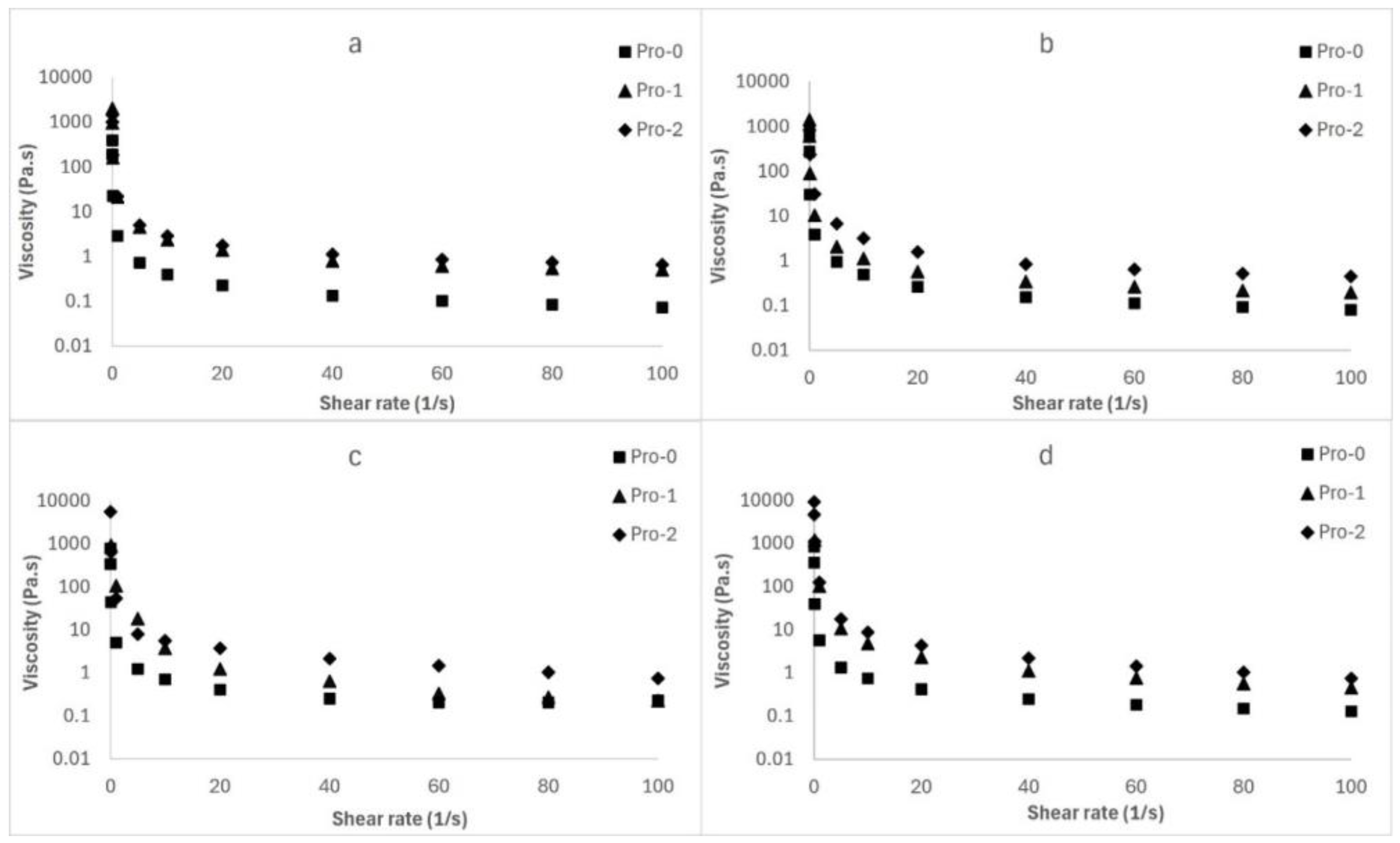
3.5. Viscosity
4. Conclusions
Author Contributions
Funding
Data Availability Statement
Conflicts of Interest
References
- Cardello, A.V.; Llobell, F.; Giacalone, D.; Roigard, C.M.; Jaeger, S.R. Plant-based alternatives vs dairy milk: Consumer segments and their sensory, emotional, cognitive and situational use responses to tasted products. Food Qual. Prefer. 2022, 100, 104599. [Google Scholar] [CrossRef]
- Adesogan, A.T.; Dahl, G.E. Dairy production in developing countries. J. Dairy Sci. 2020, 103, 9677–9680. [Google Scholar] [CrossRef]
- Munekata, P.E.S.; Domínguez, R.; Budaraju, S.; Roselló-Soto, E.; Barba, F.J.; Mallikarjunan, K.; Roohinejad, S.; Lorenzo, J.M. Effect of innovative food processing technologies on the physicochemical and nutritional properties and quality of non-dairy plant-based beverages. Foods 2020, 9, 288. [Google Scholar] [CrossRef]
- Santos, A.; Dias, A.; Pinheiro, J.A. Predictive factors for the persistence of cow’s milk allergy. Pediatr. Allergy Immunol. 2010, 21, 1127–1134. [Google Scholar] [CrossRef] [PubMed]
- Sharp, E.; D’Cunha, N.M.; Ranadheera, C.S.; Vasiljevic, T.; Panagiotakos, D.B.; Naumovski, N. Effects of lactose-free and low-lactose dairy on symptoms of gastrointestinal health: A systematic review. Int. Dairy J. 2021, 114, 104936. [Google Scholar] [CrossRef]
- Aydar, E.F.; Tutuncu, S.; Ozcelik, B. Plant-based milk substitutes: Bioactive compounds, conventional and novel processes, bioavailability studies, and health effects. J. Funct. Foods. 2020, 70, 103975. [Google Scholar] [CrossRef]
- Góral, M.; Kozłowicz, K.; Pankiewicz, U.; Góral, D.; Kluza, F.; Wójtowicz, A. Impact of stabilizers on the freezing process, and physicochemical and organoleptic properties of coconut milk-based ice cream. LWT 2018, 92, 516–522. [Google Scholar] [CrossRef]
- Tulashie, S.K.; Amenakpor, J.; Atisey, S.; Odai, R.; Akpari, E.E.A. Production of coconut milk: A sustainable alternative plant-based milk. Case Stud. Chem. Environ. Eng. 2022, 6, 100206. [Google Scholar] [CrossRef]
- Narayanankutty, A.; Illam, S.P.; Raghavamenon, A.C. Health impacts of different edible oils prepared from coconut (Cocos nucifera): A comprehensive review. Trends Food Sci. Technol. 2018, 80, 1–7. [Google Scholar] [CrossRef]
- Anagnostou, K. Coconut allergy revisited. Children 2017, 4, 85. [Google Scholar] [CrossRef]
- Fan, X.; Shi, Z.; Xu, J.; Li, C.; Li, X.; Jiang, X.; Du, L.; Tu, M.; Zeng, X.; Wu, Z.; et al. Characterization of the effects of binary probiotics and wolfberry dietary fiber on the quality of yogurt. Food Chem. 2023, 406, 135020. [Google Scholar] [CrossRef] [PubMed]
- Fawzi, N.Y.; Abdelghani, D.Y.; Abdel-azim, M.A.; Shokier, C.G.; Youssef, M.W.; Gad El-Rab, M.K.; Gad, A.I.; Abou-Taleb, K.A. The ability of probiotic lactic acid bacteria to ferment Egyptian broken rice milk and produce rice-based yoghurt. Ann. Agric. Sci. 2022, 67, 107–118. [Google Scholar] [CrossRef]
- Donkor, O.N.; Henriksson, A.; Vasiljevic, T.; Shah, N.P. Probiotic strains as starter cultures improve angiotensin-converting enzyme inhibitory activity in soy yogurt. J. Food Sci. 2005, 70, M375–M381. [Google Scholar] [CrossRef]
- Walsh, H.; Ross, J.; Hendricks, G.; Guo, M. Physico-chemical properties, probiotic survivability, microstructure, and acceptability of a yogurt-like symbiotic oats-based product using pre-polymerized whey protein as a gelation agent. J. Food Sci. 2010, 75, M327–M337. [Google Scholar] [CrossRef] [PubMed]
- Pachekrepapol, U.; Kokhuenkhan, Y.; Ongsawat, J. Formulation of yogurt-like product from coconut milk and evaluation of physicochemical, rheological, and sensory properties. Int. J. Gastron. Food Sci. 2021, 25, 100393. [Google Scholar] [CrossRef]
- Pongsawatmanit, R.; Chantaro, P.; Nishinari, K. Thermal and rheological properties of tapioca starch gels with and without xanthan gum under cold storage. J. Food Eng. 2013, 117, 333–341. [Google Scholar] [CrossRef]
- Vitheejongjaroen, P.; Kanthawang, P.; Loison, F.; Jaisin, Y.; Pachekrepapol, U.; Taweechotipatr, M. Antioxidant activity of Bifidobacterium animalis MSMC83 and its application in set-style probiotic yoghurt. Food Biosci. 2021, 43, 101259. [Google Scholar] [CrossRef]
- Mesquita, M.C.; dos Santos Leandro, E.; Rodrigues de Alencar, E.; Botelho, R.B.A. Survival of Lactobacillus paracasei subsp. paracasei LBC 81 in fermented beverage from chickpeas and coconut in a static in vitro digestion model. Fermentation 2021, 7, 135. [Google Scholar]
- Shori, A.B.; Albalawi, A.; Al Zahrani, A.J.; Al-sulbi, O.S.; Baba, A.S. Microbial analysis, antioxidant activity, and sensory properties of yoghurt with different starter cultures during storage. Int. Dairy J. 2022, 126, 105267. [Google Scholar] [CrossRef]
- Tan, P.Y.; Tan, T.B.; Chang, H.W.; Tey, B.T.; Chan, E.S.; Lai, O.M.; Baharin, B.S.; Nehdi, I.A.; Tan, C.P. Effects of storage and yogurt matrix on the stability of tocotrienols encapsulated in chitosan-alginate microcapsules. Food Chem. 2018, 241, 79–85. [Google Scholar] [CrossRef]
- Shori, A.B.; Aljohani, G.S.; Al-zahrani, A.J.; Al-sulbi, O.S.; Baba, A.S. Viability of probiotics and antioxidant activity of cashew milk-based yogurt fermented with selected strains of probiotic Lactobacillus spp. LWT 2022, 153, 112482. [Google Scholar] [CrossRef]
- Lourens-Hattingh, A.; Viljoen, B.C. Yogurt as probiotic carrier food. Int. Dairy J. 2001, 11, 1–17. [Google Scholar] [CrossRef]
- Huang, W.; Dong, A.; Pham, H.T.; Zhou, C.; Huo, Z.; Wätjen, A.P.; Prakash, S.; Bang-Berthelsen, C.H.; Turner, M.S. Evaluation of the fermentation potential of lactic acid bacteria isolated from herbs, fruits and vegetables as starter cultures in nut-based milk alternatives. Food Microbiol. 2023, 112, 104243. [Google Scholar] [CrossRef] [PubMed]
- Amaya-Llano, S.L.; Martínez-Alegría, A.L.; Zazueta-Morales, J.J.; Martínez-Bustos, F. Acid thinned jicama and maize starches as fat substitute in stirred yogurt. LWT 2008, 41, 1274–1281. [Google Scholar] [CrossRef]
- Altemimi, A.B. Extraction and optimization of potato starch and its application as a stabilizer in yogurt manufacturing. Foods. 2018, 7, 14. [Google Scholar] [CrossRef] [PubMed]
- Wang, J.; Guo, Z.; Zhang, Q.; Yan, L.; Chen, W.; Liu, X.M.; Zhang, H.P. Fermentation characteristics and transit tolerance of probiotic Lactobacillus casei Zhang in soymilk and bovine milk during storage. J. Dairy Sci. 2009, 92, 2468–2476. [Google Scholar] [CrossRef] [PubMed]
- Szparaga, A.; Tabor, S.; Kocira, S.; Czerwińska, E.; Kuboń, M.; Płóciennik, B.; Findura, P. Survivability of probiotic bacteria in model systems of non-fermented and fermented coconut and hemp milks. Sustainability 2019, 11, 6093. [Google Scholar] [CrossRef]
- Kechagia, M.; Basoulis, D.; Konstantopoulou, S.; Dimitriadi, D.; Gyftopoulou, K.; Skarmoutsou, N.; Fakiri, E.M. Health benefits of probiotics: A review. ISRN Nutr. 2013, 2013, 481651. [Google Scholar] [CrossRef] [PubMed]
- Simões da Silva, T.M.; Piazentin, A.C.M.; Mendonça, C.M.N.; Converti, A.; Bogsan, C.S.B.; Mora, D.; de Souza Oliveira, R.P. Buffalo milk increases viability and resistance of probiotic bacteria in dairy beverages under in vitro simulated gastrointestinal conditions. J. Dairy Sci. 2020, 103, 7890–7897. [Google Scholar] [CrossRef] [PubMed]
- Verruck, S.; Prudêncio, E.S.; Vieira, C.R.W.; Amante, E.R.; Amboni, R.D.d.M.C. The buffalo Minas Frescal cheese as a protective matrix of Bifidobacterium BB-12 under in vitro simulated gastrointestinal conditions. LWT 2015, 63, 1179–1183. [Google Scholar] [CrossRef]
- Sandupama, P.; Munasinghe, D.; Jayasinghe, M. Coconut oil as a therapeutic treatment for alzheimer’s disease: A review. J. Future Foods. 2022, 2, 41–52. [Google Scholar] [CrossRef]
- Soumya, M.P.; Suresh, A.; Parameswaran, R.; Nampoothiri, K.M. Physico-chemical and organoleptic evaluation of probiotic plant-milk yogurt-type beverages as a functional alternative to dairy yogurts. Biocatal. Agric. Biotechnol. 2024, 57, 103060. [Google Scholar]
- Heydari, S.; Hosseini, S.E.; Mortazavian, A.M.; Taheri, S. Extraction of bioactive peptides produced in probiotic yoghurt and determination of their biological activities. Int. Dairy J. 2023, 139, 105544. [Google Scholar] [CrossRef]
- Du, H.; Wang, X.; Yang, H.; Zhu, F.; Tang, D.; Cheng, J.; Liu, X. Changes of phenolic profile and antioxidant activity during cold storage of functional flavored yogurt supplemented with mulberry pomace. Food Control. 2022, 132, 108554. [Google Scholar] [CrossRef]
- Pan, L.H.; Liu, F.; Luo, S.Z.; Luo, J.P. Pomegranate juice powder as sugar replacer enhanced quality and function of set yogurts: Structure, rheological property, antioxidant activity and in vitro bioaccessibility. LWT 2019, 115, 108479. [Google Scholar] [CrossRef]
- Grasso, N.; Alonso-Miravalles, L.; O’Mahony, J.A. Composition, physicochemical and sensorial properties of commercial plant-based yogurts. Foods 2020, 9, 252. [Google Scholar] [CrossRef] [PubMed]
- Mishra, S.; Rai, T. Morphology and functional properties of corn, potato and tapioca starches. Food Hydrocoll. 2006, 20, 557–566. [Google Scholar] [CrossRef]



| Sample | Viable Counts (log CFU/g) | |||
|---|---|---|---|---|
| Day 1 | Day 7 | Day 14 | Day 21 | |
| Yo-0 | 9.20 ± 0.16 cA | 8.71 ± 0.05 bA | 8.00 ± 0.07 bB | 7.78 ± 0.11 bB |
| Pro-0 | 10.42 ± 0.11 bA | 11.17 ± 0.08 aA | 9.94 ± 2.35 aA | 12.39 ± 3.90 aA |
| Pro-1 | 13.35 ± 0.32 aAB | 13.25 ± 0.12 aAB | 12.32 ± 0.23 aB | 13.56 ± 0.35 aA |
| Pro-2 | 13.25 ± 0.44 aA | 11.92 ± 0.93 aA | 12.25 ± 0.58 aA | 13.83 ± 0.04 aA |
| Sample | Day 1 | Day 7 | Day 14 | Day 21 | ||||
|---|---|---|---|---|---|---|---|---|
| Viable Cells (log CFU/g) | Survival (%) | Viable Cells (log CFU/g) | Survival (%) | Viable Cells (log CFU/g) | Survival (%) | Viable Cells (log CFU/g) | Survival (%) | |
| Yo-0 | 6.53 ± 0.10 b | 71 | ND | - | ND | - | ND | - |
| Pro-0 | 8.08 ± 0.03 a | 78 A | 8.38 ± 1.42 a | 75 A | 6.68 ± 0.05 a | 67 A | 6.77 ± 0.11 b | 55 B |
| Pro-1 | 7.34 ± 0.69 a | 58 B | 8.70 ± 1.15 a | 66 A | 6.85 ± 0.01 a | 56 B | 7.99 ± 0.61 a | 59 B |
| Pro-2 | 7.46 ± 0.23 a | 56 B | 8.15 ± 1.08 a | 68 A | 7.28 ± 0.33 a | 59 B | 6.92 ± 0.05 b | 50 C |
| Sample | Apparent Viscosity (Pa·s) | |||
|---|---|---|---|---|
| Day 1 | Day 7 | Day 14 | Day 21 | |
| Pro-0 | 0.14 ± 0.03 bB | 0.15 ± 0.02 bB | 0.25 ± 0.06 bA | 0.24 ± 0.04 cA |
| Pro-1 | 0.80 ± 0.11 aB | 0.34 ± 0.05 bC | 0.64 ± 0.06 bB | 1.11 ± 0.18 bA |
| Pro-2 | 1.12 ± 0.20 aB | 0.85 ± 0.12 aB | 2.15 ± 0.40 aA | 2.18 ± 0.09 aA |
Disclaimer/Publisher’s Note: The statements, opinions and data contained in all publications are solely those of the individual author(s) and contributor(s) and not of MDPI and/or the editor(s). MDPI and/or the editor(s) disclaim responsibility for any injury to people or property resulting from any ideas, methods, instructions or products referred to in the content. |
© 2024 by the authors. Licensee MDPI, Basel, Switzerland. This article is an open access article distributed under the terms and conditions of the Creative Commons Attribution (CC BY) license (https://creativecommons.org/licenses/by/4.0/).
Share and Cite
Vitheejongjaroen, P.; Phettakhu, P.; Arsayot, W.; Taweechotipatr, M.; Pachekrepapol, U. The Ability of Lacticaseibacillus paracasei MSMC 36-9 Strain with Probiotic Potential to Ferment Coconut Milk and Produce a Yogurt-Type Beverage. Beverages 2024, 10, 30. https://doi.org/10.3390/beverages10020030
Vitheejongjaroen P, Phettakhu P, Arsayot W, Taweechotipatr M, Pachekrepapol U. The Ability of Lacticaseibacillus paracasei MSMC 36-9 Strain with Probiotic Potential to Ferment Coconut Milk and Produce a Yogurt-Type Beverage. Beverages. 2024; 10(2):30. https://doi.org/10.3390/beverages10020030
Chicago/Turabian StyleVitheejongjaroen, Porntipha, Pooyanee Phettakhu, Wannicha Arsayot, Malai Taweechotipatr, and Ulisa Pachekrepapol. 2024. "The Ability of Lacticaseibacillus paracasei MSMC 36-9 Strain with Probiotic Potential to Ferment Coconut Milk and Produce a Yogurt-Type Beverage" Beverages 10, no. 2: 30. https://doi.org/10.3390/beverages10020030
APA StyleVitheejongjaroen, P., Phettakhu, P., Arsayot, W., Taweechotipatr, M., & Pachekrepapol, U. (2024). The Ability of Lacticaseibacillus paracasei MSMC 36-9 Strain with Probiotic Potential to Ferment Coconut Milk and Produce a Yogurt-Type Beverage. Beverages, 10(2), 30. https://doi.org/10.3390/beverages10020030

