Dissolved Oxygen Removal in Wines by Gas Sparging, Its Optimization and Chemical Impact
Abstract
:1. Introduction
2. Materials and Methods
2.1. Model Wines, White and Red, and Inerting Gases Used
2.2. Oxygen Removal in Model Wine, White Wine and Red Wine
2.3. Physico-Chemical Analysis of White and Red Wine
2.4. Statistical Analysis
3. Results and Discussion
3.1. Efficacy of Using N2, CO2, and Ar for the Removal of Oxygen in Model Wine
3.2. Scaling in the Use of N2 for Oxygen Removal in Model Wine
3.3. Experiments with Oxygen Removal in White and Red Wine
3.4. Effect of Sparging on the Physicochemical Composition of Whites and Reds Wines
3.4.1. Effect on Classical Oenological Parameters
3.4.2. Effect on the Absorbance Spectrum, Color, and TPI of Wines
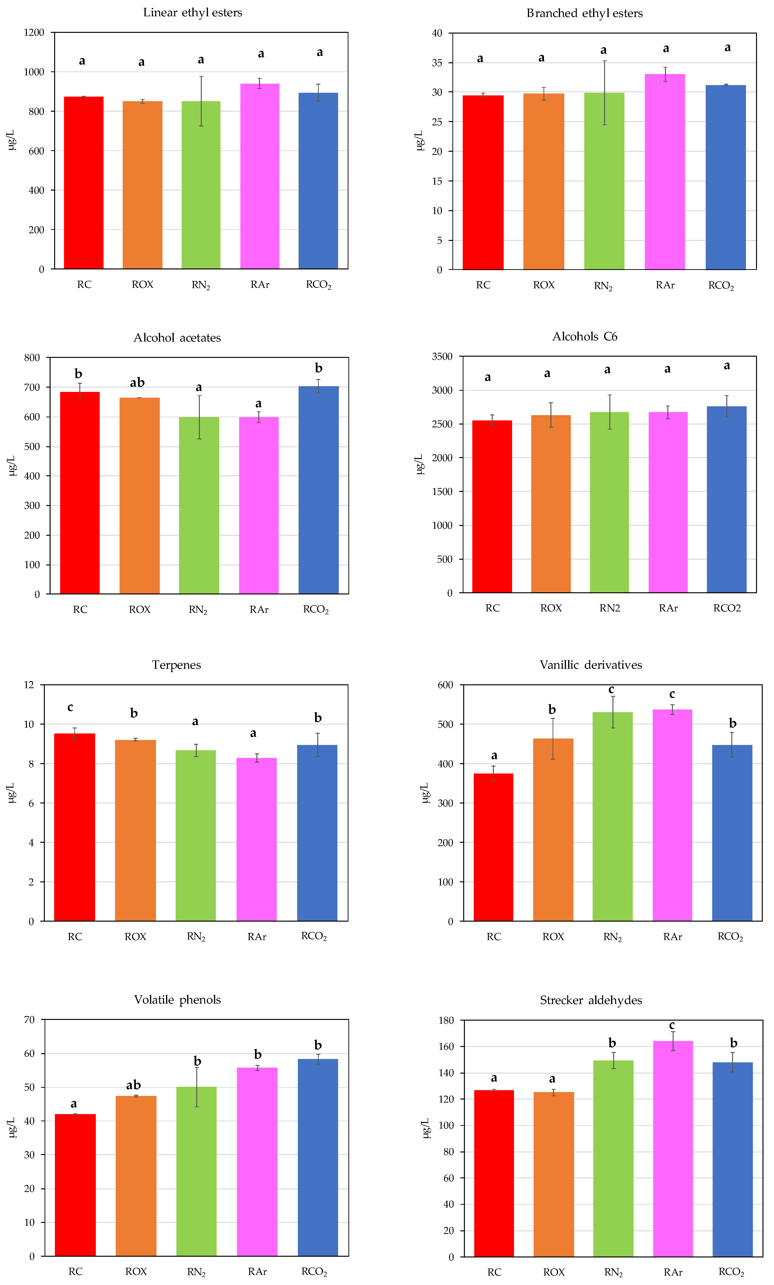
3.4.3. Effect on Volatile Composition
4. Conclusions
Supplementary Materials
Author Contributions
Funding
Data Availability Statement
Acknowledgments
Conflicts of Interest
References
- Coetzee, C.; du Toit, W.J. A Comprehensive Review on Sauvignon Blanc Aroma with a Focus on Certain Positive Volatile Thiols. Food Res. Int. 2012, 45, 287–298. [Google Scholar] [CrossRef]
- Nevares, I.; Fernández-Díaz, A.; del Alamo-Sanza, M. Characterization and control of hidden micro-oxygenation in the winery:Wine racking. Foods 2021, 10, 386. [Google Scholar] [CrossRef] [PubMed]
- Del Barrio-Galán, R.; Nevares, I.; del Alamo-Sanza, M. Characterization and Control of Oxygen Uptake in the Blanketing and Purging of Tanks with Inert gases in the Winery. Beverages 2023, 9, 19. [Google Scholar] [CrossRef]
- Steiner, T. Wines & Vines-Strategies to Manage Dissolved Oxygen. 2013. Available online: https://winesvinesanalytics.com/features/article/119752/Strategies-to-ManageDissolved-Oxygen (accessed on 20 October 2023).
- Báleš, V.; Furman, D.; Timár, P.; Ševcík, M. Oxygen Removal from the White Wine in Winery. Acta Chim. Pharm. Indica 2017, 7, 107. [Google Scholar]
- Hornsey, I.S. The Chemistry and Biology of Winemaking; Royal Society of Chemistry: Cambridge, UK, 2007. [Google Scholar]
- Jackson, R.S. Wine Science: Principles and Applications, 5th ed.; Academic Press: San Diego, CA, USA, 2020. [Google Scholar]
- Walls, J.; Sutton, S.; Coetzee, C.; du Toit, W.J. Sparging of White Wine. Aust. J. Grape Wine Res. 2022, 28, 450–458. [Google Scholar] [CrossRef]
- Letaief, H. Key Points of the Bottling Process. In Wines & Vines; Wine Communications Group, Inc.: Sonoma, CA, USA, 2016. [Google Scholar]
- Cant, R.R. The Effect of Nitrogen and Carbon Dioxide Treatment of Wines on Dissolved Oxygen Levels. Am. J. Enol. Vitic. 1960, 11, 164–169. [Google Scholar] [CrossRef]
- Hidalgo Togores, J. Empleo de gases inertes. In Tratado de Enología; Mundiprensa: Madrid, Spain, 2011; p. 1267. [Google Scholar]
- Besagni, G.; Gallazzini, L.; Inzoli, F. On the Scale-up Criteria for Bubble Columns. Petroleum 2019, 5, 114–122. [Google Scholar] [CrossRef]
- Sutton, S.; Pott, R.W.M.; Du Toit, W. Desorption of Oxygen from Wine and Model Wine Solutions in a Bubble Column. Chem. Eng. Sci. 2022, 255, 117648. [Google Scholar] [CrossRef]
- Butler, I. Removal of dissolved oxygen from water: A comparison of four common techniques. Talanta 1994, 41, 211–215. [Google Scholar] [CrossRef]
- Schenk, W.; Bach, H.P.; Nobis, P. Ein Versuch zur Prüfung verschiedener Gasüberlagerungs-Methoden in Wein-Anbruchgebinden. Z. Weinbau Kellerwirtsch. 1977, 24, 65–81. [Google Scholar]
- Vidal, J.C.; Vidal, V.M.; Waidelich, G. Exact Management of Dissolved Gases of Wines by Membrane Contactor. Bull. l’OIV 2011, 84, 179–187. [Google Scholar]
- Blank, A.; Vidal, J.C. Utilisation d’un contacteur membranaire pour la gestion exacte des gaz dissous. Rev. Fr. d’Œnol. 2013, 261, 7–12. [Google Scholar]
- Waidelich, G.; Vidal, J.C. Eight Years of Experiences in Gas Management in Wine with Membrane Contactors; Mempro 5; FAO: Rome, Italy, 2014. [Google Scholar]
- Nordestgaard, S. Gains in speed, labour and gas consumption for winemakers. Aust. N. Z. Grape Wine 2018, 648, 61–67. [Google Scholar]
- Girardon, P. Gases in Enology. En Gases in Agro-Food Processes; Cachon, R., Girardon, P., Voilley, A., Eds.; Academic Press: London, UK, 2019; pp. 433–449. [Google Scholar]
- Zoecklein, B.; Fugelsang, K.C.; Gump, B.H.; Nury, F.S. Wine Analysis and Production; Springer: New York, NY, USA, 1997. [Google Scholar]
- Nitrogen Gas Sparging. South-Tek Systems. Available online: https://www.southteksystems.com/es/nitrogen-gas-sparging/ (accessed on 5 October 2023).
- Chiciuc, I.; Farines, V.; Mietton-Peuchot, M.; Devatine, A. Effect of wine properties and operating mode upon mass transfer in micro-oxygenation. Int. J. Food Eng. 2010, 6. [Google Scholar] [CrossRef]
- OIV. Compendium of International Methods of Wine and Must Analysis; OIV: Dijon, France, 2019. [Google Scholar]
- Glories, Y. La couleur des vins rouges 2. Mesure, origine et interprétation. Connaiss. Vigne Vin 1984, 18, 253–271. [Google Scholar] [CrossRef]
- MSCV. Available online: https://www.unirioja.es/color/descargas.shtml (accessed on 14 September 2023).
- Pérez-Magariño, S.; Bueno-Herrera, M.; López de la Cuesta, P.; González-Lázaro, M.; Martínez-Lapuente, L.; Guadalupe, Z.; Ayestarán, B. Volatile Composition, Foam Characteristics and Sensory Properties of Tempranillo Red Sparkling Wines Elaborated Using Different Techniques to Obtain the Base Wines. Eur. Food Res. Technol. 2019, 245, 1047–1059. [Google Scholar] [CrossRef]
- Del Barrio-Galán, R.; Valle-Herrero, H.d.; Bueno-Herrera, M.; López-de-la-Cuesta, P.; Pérez-Magariño, S. Volatile and Non-Volatile Characterization of White and Rosé Wines from Different Spanish Protected Designations of Origin. Beverages 2021, 7, 49. [Google Scholar] [CrossRef]
- Watrelot, A.; Savits, J.; Moroney, M.M. Use of Inert Gases. Available online: https://www.extension.iastate.edu/wine/publications/use-of-inert-gases-2 (accessed on 29 September 2023).
- Dharmadhikari, M. Use of Inert Gases. Midwest Grape and Wine Industry Institute. Available online: https://www.extension.iastate.edu/wine/use-inert-gases (accessed on 18 December 2022).
- Gravity Wine House. Use of Inerting Gas in the Winery. 27 May 2021. Available online: https://gravitywinehouse.com/blog/gas-use-in-the-winery/ (accessed on 18 October 2023).
- Available online: https://www.awri.com.au/industry_support/winemaking_resources/storage-and-packaging/pre-packaging-preparation/gas-adjustment/ (accessed on 12 November 2022).
- Atanasova, V.; Fulcrand, H.; Cheynier, V.; Moutounet, M. Effect of oxygenation on polyphenol changes occurring in the course of wine-making. Anal. Chim. Acta 2002, 458, 15–27. [Google Scholar] [CrossRef]
- Mateus, N.; Silva, A.M.S.; Rivas-Gonzalo, J.C.; Santos-Buelga, C.; Freitas, V. A new class of blue anthocyanin-derived pigments isolated from red wines. J. Agric. Food Chem. 2003, 51, 1919–1923. [Google Scholar] [CrossRef]
- Laurie, V.F.; Salazar, S.; Campos, M.I.; Cáceres-Mella, A.; Peña-Neira, Á. Periodic aeration of red wine compared to microoxygenation at production scale. Am. J. Enol. Vitic. 2014, 65, 254–260. [Google Scholar] [CrossRef]
- Cameleyre, M.; Lytra, G.; Tempere, S.; Barbe, J.-C. Olfactory Impact of Higher Alcohols on Red Wine Fruity Ester Aroma Expression in Model Solution. J. Agric. Food Chem. 2015, 63, 9777–9788. [Google Scholar] [CrossRef] [PubMed]
- González Álvarez, M.; González-Barreiro, C.; Cancho-Grande, B.; Simal-Gándara, J. Relationships between Godello White Wine Sensory Properties and Its Aromatic Fingerprinting Obtained by GC-MS. Food Chem. 2011, 129, 890–898. [Google Scholar] [CrossRef] [PubMed]
- Welke, J.E.; Zanus, M.; Lazzarotto, M.; Alcaraz Zini, C. Quantitative Analysis of Headspace Volatile Compounds Using Comprehensive Two-Dimensional Gas Chromatography and Their Contribution to the Aroma of Chardonnay Wine. Food Res. Int. 2014, 59, 85–99. [Google Scholar] [CrossRef]
- del Barrio Galán, R.; Bueno-Herrera, M.; de la Cuesta, P.L.; Pérez-Magariño, S. Volatile Composition of Spanish Red Wines: Effect of Origin and Aging Time. Eur. Food Res. Technol. 2022, 248, 1903–1916. [Google Scholar] [CrossRef]
- Jiang, B.; Xi, Z.; Luo, M.; Zhang, Z. Comparison on Aroma Compounds in Cabernet Sauvignon and Merlot Wines from Four Wine Grape-Growing Regions in China. Food Res. Int. 2013, 51, 482–489. [Google Scholar] [CrossRef]
- Naranjo, A.; Martínez-Lapuente, L.; Ayestarán, B.; Guadalupe, Z.; Pérez, I.; Canals, C.; Adell, E. Aromatic and Sensory Characterization of Maturana Blanca Wines Made with Different Technologies. Beverages 2021, 7, 10. [Google Scholar] [CrossRef]
- Culleré, L.; Cacho, J.; Ferreira, V. An Assessment of the Role Played by Some Oxidation-Related Aldehydes in Wine Aroma. J. Agric. Food Chem. 2007, 55, 876–881. [Google Scholar] [CrossRef]
- Arcari, S.G.; Caliari, V.; Sganzerla, M.; Godoy, H.T. Volatile Composition of Merlot Red Wine and Its Contribution to the Aroma: Optimization and Validation of Analytical Method. Talanta 2017, 174, 752–766. [Google Scholar] [CrossRef]






| Tank Volume (L) | Heigh/Diameter of Tanks (cm) | Porous Diffuser Surface | Flow Rate (L/min) | Ratio Sporous/Lwine |
|---|---|---|---|---|
| 2.5 | 200/5 | 11.9 | 0.03 | 4.75 |
| 40 | 50/36 | 24.5 | 0.48 | 0.61 |
| 100 | 68/45 | 25.9 | 1.2 | 0.12 |
| 500 | 105/80 | 58.1 | 6 | 0.12 |
| 1000 | 155/100 | 268.8 | 12 | 0.27 |
| 1800 | 160/123 | 268.8 | 21.6 | 0.15 |
| White Wine | Red Wine | |||||||||
|---|---|---|---|---|---|---|---|---|---|---|
| WC | WOX | WN2 | WCO2 | WAr | RC | ROX | RRN2 | RCO2 | RAr | |
| AS (% v/v) | 12.98 ± 0.00 a | 12.93 ± 0.00 a | 12.99 ± 0.01 a | 12.95 ± 0.04 a | 12.91 ± 0.01 a | 13.69 ± 0.00 a | 13.56 ± 0.00 a | 13.40 ± 0.04 a | 13.63 ± 0.01 a | 13.57 ± 0.16 a |
| TA (g/L) | 5.1 ± 0.0 a | 5.1 ± 0.0 a | 5.1 ± 0.0 a | 5.2 ± 0.1 b | 5.1 ± 0.0 a | 5.5 ± 0.0 b | 5.5 ± 0.0 b | 5.4 ± 0.0 a | 5.6 ± 0.1 b | 5.5 ± 0.0 b |
| pH | 3.29 ± 0.00 a | 3.29 ± 0.00 a | 3.28 ± 0.00 a | 3.29 ± 0.01 a | 3.29 ± 0.01 a | 3.77 ± 0.0 a | 3.76 ± 0.0 a | 3.77 ± 0.01 a | 3.76 ± 0.01 a | 3.780.01 a |
| SO2 L (mg/L) | <6 | <6 | <6 | <6 | <6 | <6 | <6 | <6 | <6 | <6 |
| SO2 T (mg/L) | 113 ± 0 b | 117 ± 0 c | 111 ± 1 ab | 113 ± 2 ab | 110 ± 0 a | 83 ± 0 b | 92 ± 0 e | 86 ± 1 c | 88 ± 1 d | 81 ± 0 a |
| Cupper (mg/L) | <7 | <7 | <7 | <7 | <7 | <7 | <7 | <7 | <7 | <7 |
| Iron (mg/L) | 1.54 ± 0.03 a | 1.53 ± 0.02 a | 1.56 ± 0.08 a | 1.57 ± 0.08 a | 1.53 ± 0.06 a | 1.57 ± 0.08 a | 1.60 ± 0.07 a | 1.70 ± 0.10 a | 1.76 ± 0.10 a | 1.64 ± 0.06 a |
| CI | 0.121 ± 0.000 d | 0.113 ± 0.000 a | 0.113 ± 0.002 ac | 0.115 ± 0.005 ab | 0.118 ± 0.000 bc | 16.0 ± 0.04 e | 14.7 ± 0.02 d | 14.3 ± 0.28 c | 14.0 ± 0.14 a | 14.2 ± 0.04 b |
| L* | 100 ± 0.4 a | 100 ± 0.4 a | 100 ± 0.1 a | 100 ± 0.4 a | 100 ± 0.20 a | 36.0 ± 0.00 a | 39.5 ± 0.00 b | 42.0 ± 0.00 c | 41.1 ± 0.00 d | 41.6 ± 0.00 e |
| a* | −1.26 ± 0.05 a | −1.35 ± 0.06 a | −1.35 ± 0.0.1 a | −1.34 ± 0.09 a | −1.33 ± 0.09 a | 42.0 ± 0.05 a | 43.8 ± 0.11 b | 45.9 ± 0.11 c | 45.2 ± 0.01 d | 46.5 ± 0.04 e |
| b* | 10.01 ± 0.11 a | 10.06 ± 0.13 a | 10.08 ± 0.01 a | 10.13 ± 0.18 a | 9.92 ± 0.15 a | 13.4 ± 0.19 a | 14.2 ± 0.04 b | 16.2 ± 0.06 c | 15.1 ± 0.01 d | 17.4 ± 0.03 e |
| h* | 17.7 ± 0.25 a | 18.0 ± 0.08 a | 19.5 ± 0.02 b | 18.4 ± 0.00 c | 20.5 ± 0.01 d | |||||
| TPI | 4 ± 0.03 a | 4 ± 0.16 a | 4 ± 0.03 a | 4 ± 0.04 a | 4 ± 0.04 a | 62 ± 0.34 c | 61 ± 0.62 c | 58 ± 0.93 b | 61 ± 1.02 c | 54 ± 1.02 a |
| White Wine | Red Wine | |||||||||
|---|---|---|---|---|---|---|---|---|---|---|
| WC | WOX | WN2 | WCO2 | WAr | RC | ROX | RN2 | RCO2 | RAr | |
| 1-Propanol (mg/L) | 46.1 ± 0 a | 46.1 ± 0 a | 46.3 ± 1 a | 46.7 ± 1 a | 46.2 ± 0 a | 30 ± 0 a | 30 ± 0 a | 31 ± 1 a | 30 ± 1 a | 30 ± 1 a |
| Isobutanol (mg/L) | 15.0 ± 0 a | 16.0 ± 0 a | 16.0 ± 1 a | 16.0 ± 1 a | 15.0 ± 0 a | 60 ± 0 a | 63 ± 0 a | 64 ± 2 a | 60 ± 0 a | 60 ± 3 a |
| 2-Methyl-1-Butanol (mg/L) | 20.0 ± 0 a | 20.0 ± 0 a | 21.0 ± 1 a | 20.0 ± 1 a | 20.5 ± 1 a | 49 ± 0 a | 48 ± 0 a | 50 ± 2 a | 48 ± 0 a | 49 ± 2 a |
| 3-Methyl-1-Butanol (mg/L) | 125 ± 0 a | 128 ± 0 a | 126 ± 1 a | 126 ± 4 a | 127 ± 1 a | 208 ± 0 a | 199 ± 0 a | 206 ± 6 a | 202 ± 2 a | 207 ± 10 a |
| 2-phenylethanol (mg/L) | 17.9 ± 0.1 c | 16.7 ± 0.4 ab | 17.5 ± 0.7 bc | 16.3 ± 0.3 a | 16.4 ± 0.3 a | 39.4 ± 1.9 ab | 37.9 ± 1.5 a | 38.9 ± 2.5 a | 50.6 ± 0.9 c | 42.5 ± 2.4 b |
Disclaimer/Publisher’s Note: The statements, opinions and data contained in all publications are solely those of the individual author(s) and contributor(s) and not of MDPI and/or the editor(s). MDPI and/or the editor(s) disclaim responsibility for any injury to people or property resulting from any ideas, methods, instructions or products referred to in the content. |
© 2023 by the authors. Licensee MDPI, Basel, Switzerland. This article is an open access article distributed under the terms and conditions of the Creative Commons Attribution (CC BY) license (https://creativecommons.org/licenses/by/4.0/).
Share and Cite
del Barrio-Galán, R.; Nevares, I.; Pérez-Magariño, S.; del Alamo-Sanza, M. Dissolved Oxygen Removal in Wines by Gas Sparging, Its Optimization and Chemical Impact. Beverages 2024, 10, 3. https://doi.org/10.3390/beverages10010003
del Barrio-Galán R, Nevares I, Pérez-Magariño S, del Alamo-Sanza M. Dissolved Oxygen Removal in Wines by Gas Sparging, Its Optimization and Chemical Impact. Beverages. 2024; 10(1):3. https://doi.org/10.3390/beverages10010003
Chicago/Turabian Styledel Barrio-Galán, Rubén, Ignacio Nevares, Silvia Pérez-Magariño, and Maria del Alamo-Sanza. 2024. "Dissolved Oxygen Removal in Wines by Gas Sparging, Its Optimization and Chemical Impact" Beverages 10, no. 1: 3. https://doi.org/10.3390/beverages10010003
APA Styledel Barrio-Galán, R., Nevares, I., Pérez-Magariño, S., & del Alamo-Sanza, M. (2024). Dissolved Oxygen Removal in Wines by Gas Sparging, Its Optimization and Chemical Impact. Beverages, 10(1), 3. https://doi.org/10.3390/beverages10010003

