Feature Selection and Prediction of Pediatric Tuina in Attention Deficit/Hyperactivity Disorder Management: A Machine Learning Approach Based on Parent-Reported Children’s Constitution
Abstract
1. Introduction
1.1. Attention Deficit/Hyperactivity Disorder in Children
1.2. Pediatric Tuina for ADHD Management
1.3. The Potential of Machine Learning in Pediatric Tuina for ADHD
1.4. Objectives of This Study
2. Methods
2.1. Data Source
2.2. Data Processing
2.3. Machine Learning Workflow
2.3.1. Feature Selection Phase
2.3.2. TCM Pattern Identification Phase
2.4. Statistical Analysis
3. Results
3.1. Patient Characteristics
3.2. Feature Correlation Analysis
3.3. Selection of the Features
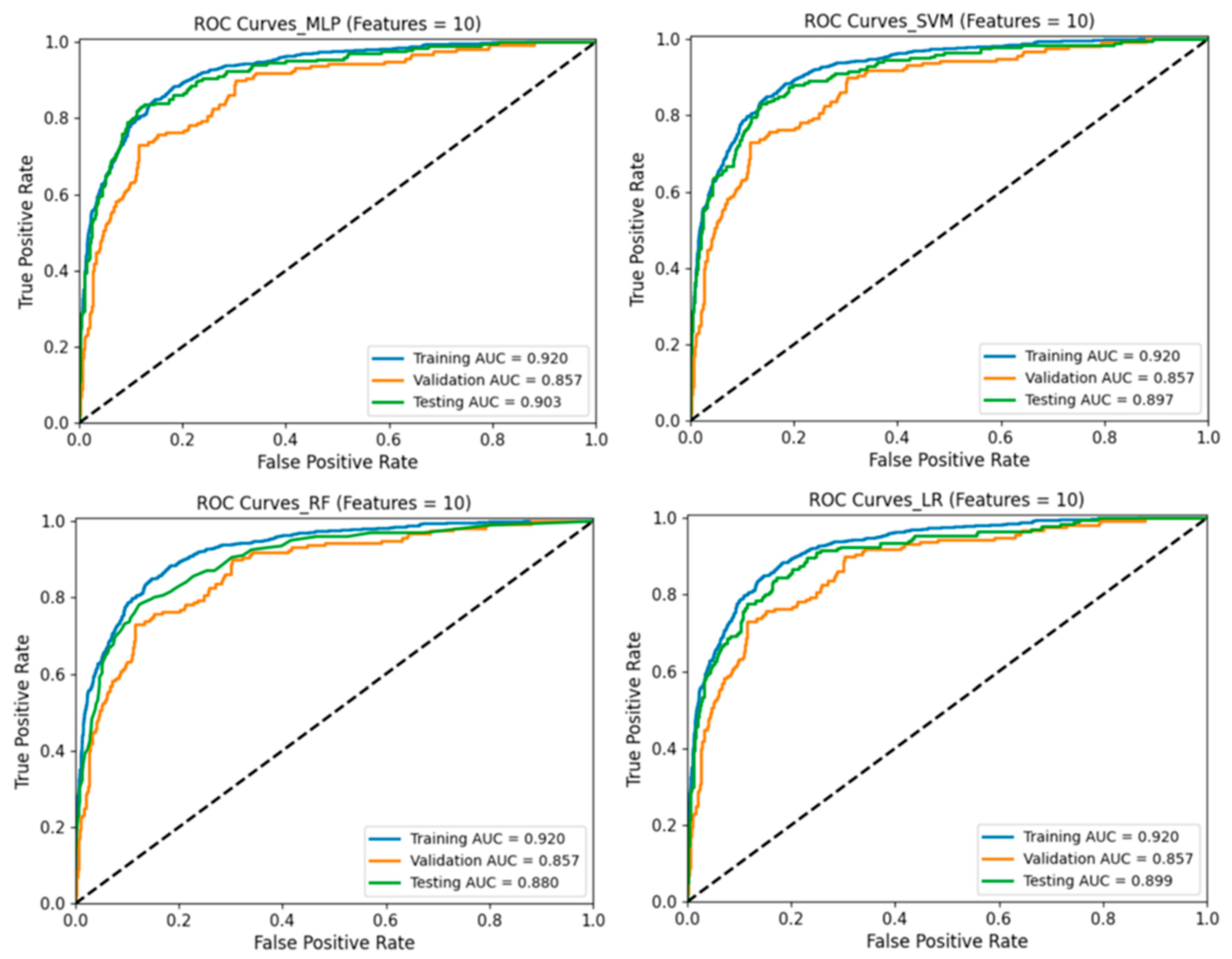
3.4. Predictive Performance of ML Models
4. Discussion
4.1. Main Findings
4.2. Implications for TCM Practitioners and ADHD Families
4.3. Novelty and Social Impact
4.4. Strengths and Limitations
5. Conclusions
Supplementary Materials
Author Contributions
Funding
Institutional Review Board Statement
Informed Consent Statement
Data Availability Statement
Acknowledgments
Conflicts of Interest
References
- American Psychiatric Association. Diagnostic and Statistical Manual of Mental Disorders: (DSM-5), 5th ed.; American Psychiatric Association: Arlington, VA, USA, 2013; p. 947. [Google Scholar]
- Polanczyk, G.; de Lima, M.S.; Horta, B.L.; Biederman, J.; Rohde, L.A. The worldwide prevalence of ADHD: A systematic review and metaregression analysis. Am. J. Psychiatry 2007, 164, 942–948. [Google Scholar] [CrossRef]
- Faraone, S.V.; Biederman, J.; Mick, E. The age-dependent decline of attention deficit hyperactivity disorder: A meta-analysis of follow-up studies. Psychol. Med. 2006, 36, 159–165. [Google Scholar] [CrossRef] [PubMed]
- Barkley, R.A. Attention-Deficit Hyperactivity Disorder: A Handbook for Diagnosis and Treatment, 4th ed.; Guilford Publications: New York, NY, USA, 2014. [Google Scholar]
- DuPaul, G.J.; Stoner, G. ADHD in the Schools: Assessment and Intervention Strategies, 3rd ed.; Guilford Publications: New York, NY, USA, 2014. [Google Scholar]
- Hoza, B. Peer functioning in children with ADHD. J. Pediatr. Psychol. 2007, 32, 655–663. [Google Scholar] [CrossRef] [PubMed]
- Edbom, T.; Granlund, M.; Lichtenstein, P.; Larsson, J.O. ADHD Symptoms Related to Profiles of Self-Esteem in a Longitudinal Study of Twins A person-oriented approach. J. Child. Adolesc. Psychiatr. Nurs. 2008, 21, 228–237. [Google Scholar] [CrossRef]
- Greenhill, L.L.; Pliszka, S.; Dulcan, M.K.; Bernet, W.; Arnold, V.; Beitchman, J.; Benson, R.S.; Bukstein, O.; Kinlan, J.; McClellan, J.; et al. Practice parameter for the use of stimulant medications in the treatment of children, adolescents, and adults. J. Am. Acad. Child Adolesc. Psychiatry 2002, 41 (Suppl. S2), 26s–49s. [Google Scholar] [CrossRef]
- Chronis, A.M.; Jones, H.A.; Raggi, V.L. Evidence-based psychosocial treatments for children and adolescents with attention-deficit/hyperactivity disorder. Clin. Psychol. Rev. 2006, 26, 486–502. [Google Scholar] [CrossRef] [PubMed]
- Wolraich, M.L.; Hagan, J.F.; Allan, C., Jr.; Chan, E.; Davison, D.; Earls, M.; Evans, S.W.; Flinn, S.K.; Froehlich, T.; Frost, J.; et al. Clinical Practice Guideline for the Diagnosis, Evaluation, and Treatment of Attention-Deficit/Hyperactivity Disorder in Children and Adolescents. Paediatr 2019, 144, e20192528. [Google Scholar] [CrossRef]
- Pelsser, L.M.; Frankena, K.; Toorman, J.; Savelkoul, H.F.; Dubois, A.E.; Pereira, R.R.; Haagen, T.A.; Rommelse, N.N.; Buitelaar, J.K. Effects of a restricted elimination diet on the behaviour of children with attention-deficit hyperactivity disorder (INCA study): A randomised controlled trial. Lancet 2011, 377, 494–503. [Google Scholar] [CrossRef]
- Arns, M.; de Ridder, S.; Strehl, U.; Breteler, M.; Coenen, A. Efficacy of neurofeedback treatment in ADHD: The effects on inattention, impulsivity and hyperactivity: A meta-analysis. Clin. EEG Neurosci. 2009, 40, 180–189. [Google Scholar] [CrossRef]
- Zylowska, L.; Ackerman, D.L.; Yang, M.H.; Futrell, J.L.; Horton, N.L.; Hale, T.S.; Pataki, C.; Smalley, S.L. Mindfulness meditation training in adults and adolescents with ADHD: A feasibility study. J. Atten. Disord. 2008, 11, 737–746. [Google Scholar] [CrossRef]
- Sonuga-Barke, E.J.; Brandeis, D.; Cortese, S.; Daley, D.; Ferrin, M.; Holtmann, M.; Stevenson, J.; Danckaerts, M.; van der Oord, S.; Döpfner, M.; et al. Nonpharmacological interventions for ADHD: Systematic review and meta-analyses of randomized controlled trials of dietary and psychological treatments. Am. J. Psychiatry 2013, 170, 275–289. [Google Scholar] [CrossRef]
- Chen, S.C.; Yu, B.Y.; Suen, L.K.; Yu, J.; Ho, F.Y.; Yang, J.J.; Yeung, W.F. Massage therapy for the treatment of attention deficit/hyperactivity disorder (ADHD) in children and adolescents: A systematic review and meta-analysis. Complement. Ther. Med. 2019, 42, 389–399. [Google Scholar] [CrossRef]
- Chan, E.; Rappaport, L.A.; Kemper, K.J. Complementary and alternative therapies in childhood attention and hyperactivity problems. J. Dev. Behav. Pediatr. 2003, 24, 4–8. [Google Scholar] [CrossRef]
- Hood, L.; Friend, S.H. Predictive, personalized, preventive, participatory (P4) cancer medicine. Nat. Rev. Clin. Oncol. 2011, 8, 184–187. [Google Scholar] [CrossRef]
- Ya-Li, F. Chinese Pediatric Massage Therapy: A Parent’s and Practitioner’s Guide to the Treatment and Prevention of Childhood Disease; Blue Poppy Enterprises, Inc.: Portland, OR, USA, 1994. [Google Scholar]
- Jin, Y.C. Pediatric Massage; Shanghai Scientific and Technical Literature Publishing House: Shanghai, China, 1981. (In Chinese) [Google Scholar]
- Yao, Y.; Zhao, Y.; Han, C.P. Diseases spectrum study on pediatric tuina in recent 10 years. J. Acup Tuina Sci. 2012, 10, 181–184. [Google Scholar] [CrossRef]
- Ni, X.; Zhang-James, Y.; Han, X.; Lei, S.; Sun, J.; Zhou, R. Traditional Chinese medicine in the treatment of ADHD: A review. Child. Adolesc. Psychiatr. Clin. N. Am. 2014, 23, 853–881. [Google Scholar] [CrossRef] [PubMed]
- Eckstein, M.; Mamaev, I.; Ditzen, B.; Sailer, U. Calming Effects of Touch in Human, Animal, and Robotic Interaction-Scientific State-of-the-Art and Technical Advances. Front. Psychiatry 2020, 11, 555058. [Google Scholar]
- Boshoff, N. The Role of Massage in Stress, Bonding and Development of Babies; North-West University: Potchefstroom, South Africa, 2008. [Google Scholar]
- Chen, S.C.; Yu, J.; Wang, H.S.; Wang, D.D.; Sun, Y.; Cheng, H.L.; Suen, L.K.; Yeung, W.F. Parent-administered pediatric Tuina for attention deficit/hyperactivity disorder symptoms in preschool children: A pilot randomized controlled trial embedded with a process evaluation. Phytomedicine 2022, 102, 154191. [Google Scholar] [CrossRef] [PubMed]
- Chen, S.C.; Cheng, H.L.; Wang, D.D.; Wang, S.; Yin, Y.H.; Suen, L.K.; Yeung, W.F. Experience of parents in delivering pediatric tuina to children with symptoms of attention deficit hyperactivity disorder during the COVID-19 pandemic: Qualitative findings from focus group interviews. BMC Complement. Med. Ther. 2023, 23, 53. [Google Scholar] [CrossRef]
- Yin, T.; Zheng, H.; Ma, T.; Tian, X.; Xu, J.; Li, Y.; Lan, L.; Liu, M.; Sun, R.; Tang, Y.; et al. Predicting acupuncture efficacy for functional dyspepsia based on routine clinical features: A machine learning study in the framework of predictive, preventive, and personalized medicine. EPMA J. 2022, 13, 137–147. [Google Scholar] [CrossRef]
- Wang, Y.; Ma, L.; Liu, P. Feature selection and syndrome prediction for liver cirrhosis in traditional Chinese medicine. Comput. Methods Programs Biomed. 2009, 95, 249–257. [Google Scholar] [CrossRef]
- Xie, J.; Li, Y.; Wang, N.; Xin, L.; Fang, Y.; Liu, J. Feature selection and syndrome classification for rheumatoid arthritis patients with Traditional Chinese Medicine treatment. Eur. J. Integr. Med. 2020, 34, 101059. [Google Scholar] [CrossRef]
- Gu, T.Y.; Yan, Z.Z.; Jiang, J.H. Classifying Chinese Medicine Constitution Using Multimodal Deep-Learning Model. Chin. J. Integr. Med. 2024, 30, 163–170. [Google Scholar] [CrossRef]
- Xu, A.Y.; Wang, T.S.; Yang, T.; Han, X.; Zhang, X.Y.; Wang, Z.Y.; Zhang, Q.; Li, X.; Shang, H.C.; Hu, K.F. Constitution identification model in traditional Chinese medicine based on multiple features. Digit. Chin. Med. 2024, 7, 108–119. [Google Scholar] [CrossRef]
- Sun, W.; Bai, M.H.; Wang, J.; Wang, B.; Liu, Y.X.; Wang, Q.; Han, D.R. Machine learning-assisted rapid determination for traditional Chinese Medicine Constitution. Chin. Med. 2024, 19, 127. [Google Scholar] [CrossRef]
- Han, X.M.; Ma, R.; Lei, S.; Qian, Z.Y. Pediatric clinical practice Guideline of traditional Chinese Medicine · ADHD in children (Revised). Chin. J. Pediatr. 2017, 13, 1–6. (In Chinese) [Google Scholar]
- Medicine CAoTC: Guidelines for Clinical Diagnosis and Treatment of Pediatrics in Traditional Chinese Medicine, 1st ed.; China Traditional Chinese Medicine Press: China, Beijing, 2020; p. 478. (In Chinese)
- Cortes, C.; Vapnik, V. Support-vector networks. Mach. Learn. 1995, 20, 273–297. [Google Scholar] [CrossRef]
- Menard, S. Applied Logistic Regression Analysis, 2nd ed.; SAGE Publications: Thousand Oaks, CA, USA, 2002. [Google Scholar]
- Bishop, C.M. Neural Networks for Pattern Recognition; Oxford University Press: Oxford, UK, 1995. [Google Scholar]
- Breiman, L. Random Forests. Mach. Learn. 2001, 45, 5–32. [Google Scholar] [CrossRef]
- He, H.; Garcia, E.A. Learning from Imbalanced Data. IEEE Trans. Knowl. Data Eng. 2009, 21, 1263–1284. [Google Scholar] [CrossRef]
- Buda, M.; Maki, A.; Mazurowski, M.A. A systematic study of the class imbalance problem in convolutional neural networks. Neural Netw. 2018, 106, 249–259. [Google Scholar] [CrossRef] [PubMed]
- Sutskever, I.; Martens, J.; Dahl, G.; Hinton, G. On the importance of initialization and momentum in deep learning. In Proceedings of the 30th International Conference on Machine Learning, Atlanta, GA, USA, 16–21 June 2013; Volume 28, pp. 1139–1147. [Google Scholar]
- Kingma, D.P. Adam: A method for stochastic optimization. arXiv 2014, arXiv:1412.6980. [Google Scholar]
- Kohavi, R. A study of cross-validation and bootstrap for accuracy estimation and model selection. In Proceedings of the IJCAI’95: 14th International Joint Conference on Artificial Intelligence, Montreal, QC, Canada, 20–25 August 1995; Morgan Kaufmann Publishers Inc.: San Francisco, CA, USA, 1995; pp. 1137–1145. [Google Scholar]
- Arlot, S.; Celisse, A. A survey of cross-validation procedures for model selection. Statist. Surv. 2010, 4, 40–79. [Google Scholar] [CrossRef]
- Chawla, N.V.; Bowyer, K.W.; Hall, L.O.; Kegelmeyer, W.P. SMOTE: Synthetic minority over-sampling technique. J. Artif. Intell. Res. 2002, 16, 321–357. [Google Scholar] [CrossRef]
- Perez, L.; Wang, J. The effectiveness of data augmentation in image classification using deep learning. arXiv 2017, arXiv:1712.04621. [Google Scholar] [CrossRef]
- Guyon, I.; Elisseeff, A. An introduction to variable and feature selection. J. Mach. Learn. Res. 2003, 3, 1157–1182. [Google Scholar]
- Saeys, Y.; Inza, I.; Larrañaga, P. A review of feature selection techniques in bioinformatics. Bioinformatics 2007, 23, 2507–2517. [Google Scholar] [CrossRef]
- Fei, Z.; Ryeznik, Y.; Sverdlov, O.; Tan, C.W.; Wong, W.K. An Overview of Healthcare Data Analytics with Applications to the COVID-19 Pandemic. IEEE Trans. Big Data 2022, 8, 1463–1480. [Google Scholar] [CrossRef]








| Participants Labeled as 0 d (N = 471) | Participants Labeled as 1 e (N = 212) | Participants Labeled as 2 f (N = 239) | Participants Labeled as 3 g (N = 83) | p-Value | |
|---|---|---|---|---|---|
| Children | |||||
| Age, median (IQR) | 10.0 (3.0) | 10.0 (2.0) | 10.0 (2.0) | 10.0 (2.0) | 0.087 |
| Gender, n (%) | 0.366 | ||||
| Male | 392 (83.2) | 169 (79.7) | 204 (85.4) | 66 (79.5) | |
| Female | 79 (16.8) | 43 (20.3) | 35 (14.6) | 17 (20.5) | |
| BMI, median (IQR) | 16.0 (4.7) | 16.0 (4.2) | 16.7 (4.7) | 16.3 (4.0) | 0.234 |
| Family history of allergy, n (%) | 0.000 | ||||
| Yes | 245 (52.0) | 67 (31.6) | 50 (20.9) | 21 (25.3) | |
| No | 226 (48.0) | 145 (68.4) | 189 (79.1) | 62 (74.7) | |
| Frequency of respiratory infections per year, n (%) | 0.000 | ||||
| Always a | 82 (17.4) | 23 (10.8) | 22 (9.2) | 12 (14.5) | |
| Sometime b | 262 (55.6) | 115 (54.2) | 115 (48.1) | 52 (62.7) | |
| Rarely c | 127 (27.0) | 74 (34.9) | 102 (42.7) | 19 (22.9) | |
| Parents | |||||
| Education level, n (%) | 0.178 | ||||
| Primary school or below | 0 (0) | 1 (0.5) | 0 (0) | 0 (0) | |
| Middle school | 19 (4.0) | 13 (6.1) | 15 (6.3) | 5 (6.0) | |
| Junior college | 82 (17.4) | 45 (21.2) | 52 (21.8) | 23 (27.7) | |
| College or above | 370 (78.6) | 153 (72.2) | 172 (72.0) | 55 (66.3) | |
| Family income, n (%) | 1.000 | ||||
| Below CNY 4999 | 4 (0.8) | 5 (2.4) | 10 (4.2) | 3 (3.6) | |
| CNY 5000–9999 | 78 (16.6) | 42 (19.8) | 39 (16.3) | 15 (18.1) | |
| CNY 10,000–29,999 | 227 (48.2) | 104 (49.1) | 122 (51.0) | 47 (56.6) | |
| CNY 30,000–49,999 | 103 (21.9) | 33 (15.6) | 43 (18.0) | 14 (16.9) | |
| CNY 50,000 or above | 59 (12.5) | 28 (13.2) | 25 (10.5) | 4 (4.8) |
Disclaimer/Publisher’s Note: The statements, opinions and data contained in all publications are solely those of the individual author(s) and contributor(s) and not of MDPI and/or the editor(s). MDPI and/or the editor(s) disclaim responsibility for any injury to people or property resulting from any ideas, methods, instructions or products referred to in the content. |
© 2025 by the authors. Licensee MDPI, Basel, Switzerland. This article is an open access article distributed under the terms and conditions of the Creative Commons Attribution (CC BY) license (https://creativecommons.org/licenses/by/4.0/).
Share and Cite
Chen, S.-C.; Wu, G.-T.; Li, H.; Zhang, X.; Li, Z.-H.; Wong, P.-M.; Han, L.-F.; Qin, J.; Lo, K.-C.; Yeung, W.-F.; et al. Feature Selection and Prediction of Pediatric Tuina in Attention Deficit/Hyperactivity Disorder Management: A Machine Learning Approach Based on Parent-Reported Children’s Constitution. Bioengineering 2025, 12, 1012. https://doi.org/10.3390/bioengineering12101012
Chen S-C, Wu G-T, Li H, Zhang X, Li Z-H, Wong P-M, Han L-F, Qin J, Lo K-C, Yeung W-F, et al. Feature Selection and Prediction of Pediatric Tuina in Attention Deficit/Hyperactivity Disorder Management: A Machine Learning Approach Based on Parent-Reported Children’s Constitution. Bioengineering. 2025; 12(10):1012. https://doi.org/10.3390/bioengineering12101012
Chicago/Turabian StyleChen, Shu-Cheng, Guo-Tao Wu, Han Li, Xuan Zhang, Zi-Han Li, Pong-Ming Wong, Le-Fei Han, Jing Qin, Kwai-Ching Lo, Wing-Fai Yeung, and et al. 2025. "Feature Selection and Prediction of Pediatric Tuina in Attention Deficit/Hyperactivity Disorder Management: A Machine Learning Approach Based on Parent-Reported Children’s Constitution" Bioengineering 12, no. 10: 1012. https://doi.org/10.3390/bioengineering12101012
APA StyleChen, S.-C., Wu, G.-T., Li, H., Zhang, X., Li, Z.-H., Wong, P.-M., Han, L.-F., Qin, J., Lo, K.-C., Yeung, W.-F., & Ren, G. (2025). Feature Selection and Prediction of Pediatric Tuina in Attention Deficit/Hyperactivity Disorder Management: A Machine Learning Approach Based on Parent-Reported Children’s Constitution. Bioengineering, 12(10), 1012. https://doi.org/10.3390/bioengineering12101012

