Modeling Water Quantity and Quality Nonlinearities for Watershed Adaptability to Hydroclimate Extremes in Agricultural Landscapes
Abstract
:1. Introduction
2. Materials and Methods
2.1. Study Area
2.2. Data
2.2.1. Rain Gauge Precipitation
2.2.2. Radar Precipitation
2.2.3. Streamflows and Pollutant Loads
2.3. The Shell Creek Model
2.3.1. Input Data
2.3.2. Crop Management
2.3.3. Parameter Selection
2.3.4. Calibration and Validation
2.4. Hydrologic Model Implementation and Analyses
2.4.1. Hydrologic and Water Quality Simulations
2.4.2. Drought and Extended Wet Conditions
3. Results and Discussion
3.1. Hydroclimate Variability
3.2. Sensitivity Analysis and Model Calibration
3.3. The Statistical Model and the Construction of Long-Term Time Series
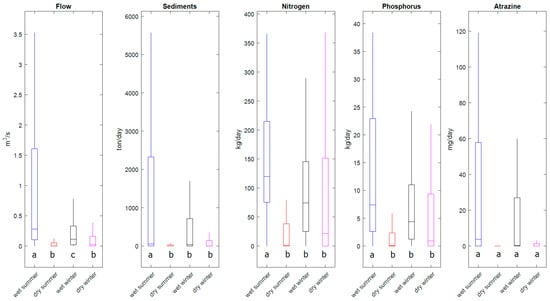
3.4. Extreme Conditions
4. Conclusions
Supplementary Materials
Author Contributions
Funding
Institutional Review Board Statement
Informed Consent Statement
Data Availability Statement
Acknowledgments
Conflicts of Interest
References
- Retchless, D.; Frey, N.; Wang, C.; Hung, L.S.; Yarnal, B. Climate extremes in the United States: Recent research by physical geographers. Phys. Geogr. 2014, 35, 3–21. [Google Scholar] [CrossRef]
- Alexander, L.V.; Zhang, X.; Peterson, T.C.; Caesar, J.; Gleason, B.; Klein Tank, A.M.G.; Haylock, M.; Collins, D.; Trewin, B.; Rahimzadeh, F.; et al. Global observed changes in daily climate extremes of temperature and precipitation. J. Geophys. Res. 2006, 111, 1–22. [Google Scholar] [CrossRef] [Green Version]
- Easterling, D.R.; Meehl, G.A.; Parmesan, C.; Changnon, S.A.; Karl, T.R.; Mearns, L.O. Climate extremes: Observations, modelling, and impacts. Science 2000, 289, 2068–2074. [Google Scholar] [CrossRef] [PubMed] [Green Version]
- Milly, P.C.; Betancourt, J.; Falkenmark, M.; Hirsch, R.M.; Kundzewicz, Z.W.; Lettenmaier, D.P.; Stouffer, R.J. Stationarity is dead: Whither water management? Science 2008, 319, 573–574. [Google Scholar] [CrossRef] [PubMed]
- Cea, L.; Costabile, P. Flood Risk in Urban Areas: Modelling, Management and Adaptation to Climate Change. A Review. Hydrology 2022, 9, 50. [Google Scholar] [CrossRef]
- Munoz-Arriola, F.; Lettenmaier, D.P.; Zhu, C.; Avissar, R. Water resources sensitivity of the Rio Yaqui Basin, Mexico to agriculture extensification under multi-scale climate conditions. Water Resour. Res. 2009, 45, W00A20. [Google Scholar] [CrossRef]
- Munoz Arriola, F.J.H.; Salgado Rabadan, H.M.; Rocchiccioli, S.; Shukla, A.; De los Reyes, G.; Lobato Sanchez, R. Surface Hydrology in the Grijalva River Basin: Calibration of the Variable Infiltration Capacity Model. Aqua-LAC 2011, 3, 68–79. [Google Scholar] [CrossRef]
- Frans, C.; Istanbulluoglu, E.; Vimal, M.; Munoz-Arriola, F.; Lettenmaier, D.P. On runoff trends in the Upper Mississippi River Basin: Influences of climate and land use. Geophys. Res. Lett. 2013, 40, 1104–1110. [Google Scholar] [CrossRef]
- Ou, G.; Munoz-Arriola, F.; Uden, D.; Martin, D.; Allen, C. Climate change implications for irrigation and groundwater in the Republican River Basin, USA. Clim. Chang. 2018, 151, 303–316. [Google Scholar] [CrossRef] [Green Version]
- Jha, M.K.; Gassman, P.W.; Arnold, J.G. Water quality modeling for the Raccoon River watershed using SWAT. Trans. ASABE 2007, 50, 479–493. [Google Scholar] [CrossRef]
- Kaushal, S.S.; Pace, M.L.; Groffman, P.M.; Band, L.E.; Belt, K.T.; Meyer, P.M.; Welty, C. Land use and climate variability amplify contaminant pulses. Eos Trans. Am. Geophys. Union 2010, 91, 221–222. [Google Scholar] [CrossRef] [Green Version]
- Price, K.; Purucker, S.T.; Kraemer, S.R.; Babendreier, J.E.; Knightes, C.D. Comparison of radar and gauge precipitation data in watershed models across varying spatial and temporal scales. Hydrol. Process. 2014, 28, 3505–3520. [Google Scholar] [CrossRef]
- Das, A.; Munoz-Arriola, F.; Singh, S.; Kumar, M. Nutrient Dynamics of Brahmaputra (Tropical River) during Monsoon Period. Desalin. Water Treat. 2017, 76, 212–224. [Google Scholar] [CrossRef] [Green Version]
- Kaushal, S.S.; Gold, A.J.; Bernal, S.; Johnson TA, N.; Addy, K.; Burgin, A.; Belt, K.T. Watershed ‘chemical cocktails’: Forming novel elemental combinations in Anthropocene fresh waters. Biogeochemistry 2018, 141, 281–305. [Google Scholar] [CrossRef]
- Uden, D.R.; Allen, C.R.; Munoz-Arriola, F.; Ou, G.; Shank, N. A Framework for Tracing Social-Ecological Trajectories and Traps in Intensive Agricultural Landscapes. Sustainability 2018, 10, 1646. [Google Scholar] [CrossRef] [Green Version]
- Serra-Llobet, A.; Conrad, E.; Schaefer, K. Governing for integrated water and flood risk management: Comparing top-down and bottom-up approaches in Spain and California. Water 2016, 8, 445. [Google Scholar] [CrossRef] [Green Version]
- Muñoz-Arriola, F.; Abdel-Monem, T.; Amaranto, A. Common pool resource management: Assessing water resources planning processes for hydrologically connected surface and groundwater systems. Hydrology 2021, 8, 51. [Google Scholar] [CrossRef]
- Wilson, A.; Cifelli, R.; Munoz-Arriola, F.; Giovannettone, J.; Vano, J.; Parzybok, T.; Dufour, A.; Jasperse, J.; Mahoney, K.; McCormick, B. Efforts to Build Infrastructure Resiliency to Future Hydroclimate Extremes. In Geo-Extreme 2021; ASCE: Reston, VA, USA, 2021; pp. 222–233. [Google Scholar] [CrossRef]
- Jaimes-Correa, J.C.; Snow, D.D.; Bartelt-Hunt, S.L. Seasonal occurrence of antibiotics and a beta agonist in an agriculturally-intensive watershed. Environ. Pollut. 2015, 205, 87–96. [Google Scholar] [CrossRef]
- Pool, S.; Francés, F.; Garcia-Prats, A.; Puertes, C.; Pulido-Velazquez, M.; Sanchis-Ibor, C.; Schirmer, M.; Yang, H.; Jiménez-Martínez, J. Impact of a transformation from flood to drip irrigation on groundwater recharge and nitrogen leaching under variable climatic conditions. Sci. Total Environ. 2022, 825, 153805. [Google Scholar] [CrossRef]
- Livneh, B.; Bohn, T.; Pierce, D.; Munoz-Arriola, F.; Nijssen, B.; Vose, R.; Cayan, D.; Brekke, L. A spatially comprehensive, hydrometeorological data set for Mexico, the U.S., and southern Canada 1950–2013. Nat.-Sci. Data 2015, 2, 150042. [Google Scholar] [CrossRef]
- Golden, H.E.; Knightes, C.D.; Cooter, E.J.; Dennis, R.L.; Gilliam, R.C.; Foley, K.M. Linking air quality and watershed models for environmental assessments: Analysis of the effects of model-specific precipitation estimates on calculated water flow. Environ. Model. Softw. 2010, 25, 1722–1737. [Google Scholar] [CrossRef]
- Beeson, P.C.; Doraiswamy, P.C.; Sadeghi, A.M.; Di Luzio, M.; Tomer, M.D.; Arnold, J.G.; Daughtry, C.S.T. Treatments of precipitation inputs to hydrologic models. Trans. ASABE 2011, 54, 2011–2020. [Google Scholar] [CrossRef]
- Zhang, H.; Li, D.; Wang, X.; Jiang, X. Quantitative evaluation of NEXRAD data and its application to the distributed hydrologic model BPCC. Sci. China Technol. Sci. 2012, 55, 2617–2624. [Google Scholar] [CrossRef]
- Huntington, T.G. Evidence for intensification of the global water cycle: Review and synthesis. J. Hydrol. 2006, 319, 83–95. [Google Scholar] [CrossRef]
- Kalin, L.; Hantush, M.M. Hydrologic Modeling of an Eastern Pennsylvania Watershed with NEXRAD and Rain Gauge Data. J. Hydrol. Eng. 2006, 11, 555–569. [Google Scholar] [CrossRef]
- Tobin, K.J.; Bennett, M.E. Using SWAT to model streamflow in two river basins with ground and satellite precipitation data. J. Am. Water Resour. Assoc. 2009, 45, 253–271. [Google Scholar] [CrossRef]
- Sexton, A.M.; Sadeghi, A.M.; Zhang, X.; Srinivasan, R.; Shirmohammadi, A. Using Nexrad and Rain Gauge Precipitation Data for Hydrologic Calibration of Swat in a Northeastern Watershed. Trans. ASABE 2010, 53, 1501–1510. [Google Scholar] [CrossRef]
- Abbaspour, K.C.; Yang, J.; Maximov, I.; Siber, R.; Bogner, K.; Mieleitner, J.; Zobrist, J.; Srinivasan, R. Modelling hydrology and water quality in the pre-alpine/alpine Thur watershed using SWAT. J. Hydrol. 2007, 333, 413–430. [Google Scholar] [CrossRef]
- Sinha, E.; Michalak, A.; Balaji, V. Eutrophication will increase during the 21st century as a reult of precipitation changes. Science 2017, 357, 405–408. [Google Scholar] [CrossRef] [Green Version]
- Gilliom, R.J.; Barbash, J.E.; Crawford, C.G.; Hamilton, P.A.; Martin, J.D.; Nakagaki, N.; Nowell, L.H.; Scott, J.C.; Stackelberg, P.E.; Thelin, G.P.; et al. The Quality of Our Nation’s Waters—Pesticides in the Nation’s Streams and Ground Water, 1992–2001; Technical Report Circular 1291; U.S. Geological Survey: Reston, VA, USA, 2006.
- Wu, M.; Quirindongo, M.; Sass, J.; Wetzler, A. Still Poisoning the Well: Atrazine Continues to Contaminate Surface Water and Drinking Water in the United States; Natural Resources Defense Council (NRDC): New York, NY, USA, 2010. [Google Scholar]
- Tillitt, D.E.; Papoulias, D.M.; Whyte, J.J.; Richter, C.A. Atrazine reduces reproduction in fathead minnow (Pimephales promelas). Aquat. Toxicol. 2010, 99, 149–159. [Google Scholar] [CrossRef] [Green Version]
- Hayes, T.; Haston, K.; Tsui, M.; Hoang, A.; Haeffele, C.; Vonk, A. Atrazine-induced hermaphroditism at 0.1 ppb in American leopard frogs (Rana pipiens): Laboratory and fi evidence. Environ. Health Perspect. 2003, 111, 568–575. [Google Scholar] [CrossRef] [PubMed] [Green Version]
- U.S. EPA. Decision Documents for Atrazine; Technical Report; U.S. EPA: Washington, DC, USA, 2006.
- Gollamudi, A.; Madramootoo, C.A.; Enright, P. Water quality modeling of two agricultural fi in southern Quebec using SWAT. Trans. ASABE 2007, 50, 1973–1980. [Google Scholar] [CrossRef]
- Santhi, C.; Arnold, J.G.; Williams, J.R.; Dugas, W.A.; Srinivasan, R.; Hauck, L.M. Validation of the SWAT model on a large river basin with point and nonpoint sources. JAWRA J. Am. Water Resour. Assoc. 2001, 37, 1169–1188. [Google Scholar] [CrossRef]
- Santhi, C.; Srinivasan, R.; Arnold, J.; Williams, J. A modeling approach to evaluate the impacts of water quality management plans implemented in a watershed in Texas. Environ. Model. Softw. 2006, 21, 1141–1157. [Google Scholar] [CrossRef]
- Van Liew, M.W.; Feng, S.; Pathak, T.B. Climate change impacts on streamflow, water quality, and best management practices for the Shell and Logan Creek Watersheds in Nebraska, USA. Int. J. Agric. Biol. Eng. 2012, 5, 13–34. [Google Scholar]
- Alves de Oliveira, L.; Woodbury, B.L.; Honorio de Miranda, J.; Munoz-Arriola, F. Geospatial upscaling of atrazine’s transport using electromagnetic induction across point to field scale. In 2020 ASABE Annual International Virtual Meeting; Paper No. 884; American Society of Agricultural and Biological Engineers: St. Joseph Charter Township, MI, USA, 2020. [Google Scholar] [CrossRef]
- Levin, S.A. Ecosystems and the biosphere as complex adaptive systems. Ecosystems 1998, 1, 431–436. [Google Scholar] [CrossRef]
- Muñoz-Arriola, F.; Macías-Zamora, J.V. Geospatial Synthesis of Biogeochemical Attributions of Porphyrins to Oil Pollution in Marine Sediments of the Gulf of México. Geosciences 2022, 12, 77. [Google Scholar] [CrossRef]
- Peterson, T.C.; Karl, T.R.; Kossin, J.P.; Kunkel, K.E.; Lawrimore, J.H.; McMahon, J.R.; Vose, R.S.; Yin, X. Changes in weather and climate extremes: State of knowledge relevant to air and water quality in the United States. J. Air Waste Manag. Assoc. 2014, 64, 184–197. [Google Scholar] [CrossRef] [Green Version]
- Sarzaeim, P.; Ou, W.; Alves de Oliveira, L.; Munoz-Arriola, F. Flood-Risk Analytics for Climate-Resilient Agriculture Using Remote Sensing in the Northern High Plains. In Geo-Extreme 2021; ASCE: Reston, VA, USA, 2021; pp. 234–244. [Google Scholar] [CrossRef]
- Jaimes-Correa, J.C. Emerging Contaminants Occurrence and Streamflow Responses to Extreme Climate Conditions in an Agricultural Watershed. Doctoral Dissertation, The University of Nebraska-Lincoln, Lincoln, NE, USA, 2017. [Google Scholar]
- U.S. Census Bureau. United States Census 2010. Available online: http://www.census.gov/2010census/ (accessed on 5 April 2022).
- USDA-NASS. 2012. Available online: http://www.nass.usda.gov (accessed on 5 April 2022).
- Menne, M.J.; Durre, I.; Vose, R.S.; Gleason, B.E.; Houston, T.G. An Overview of the Global Historical Climatology Network-Daily Database. J. Atmos. Ocean. Technol. 2012, 29, 897–910. Available online: https://www.ncdc.noaa.gov/cdo-web/search?datasetid=GHCND (accessed on 5 April 2022). [CrossRef]
- Lin, Y.; Mitchell, K.E. The NCEP Stage II/IV Hourly Precipitation Analyses: Development and Applications. In Proceedings of the 19th Conference Hydrology, American Meteorological Society, San Diego, CA, USA, 9–13 January 2005; Paper 1.2. pp. 2–5. [Google Scholar]
- U.S. Geological Survey. National Water Information System. 2012. Available online: https://waterdata.usgs.gov/nwis (accessed on 5 April 2022).
- Hirsch, R.M.; De Cicco, L. User Guide to Exploration and Graphics for RivEr Trends (EGRET) and DataRetrieval: R Packages for Hydrologic Data; Techniques and Methods 4-A10; U.S. Geological Survey: Reston, VA, USA, 2015; Chapter A10; p. 93.
- Arnold, J.G.; Srinivasan, R.; Muttiah, R.S.; Williams, J.R. Large Area Hydrologic Modeling and Assessment Part 1: Model Development. JAWRA J. Am. Water Resour. Assoc. 1998, 34, 73–89. [Google Scholar] [CrossRef]
- Arnold, J.G.; Kiniry, J.R.; Srinivasan, R.; Williams, J.R.; Haney, E.B.; Neitsch, S.L. Soil and Water Assessment Tool Input/Output Documentation Version 2012; Texas Water Resources Institute: College Station, TX, USA, 2012. [Google Scholar]
- Neitsch, S.; Arnold, J.; Kiniry, J.; Williams, J. Soil and Water Assessment Tool Theoretical Documentation Version 2009; Texas Water Resources Institute: College Station, TX, USA, 2011. [Google Scholar]
- Williams, J.R. Flood Routing with Variable Travel Time or Variable Storage Coefficients. Trans. ASAE 1969, 12, 100–103. [Google Scholar] [CrossRef]
- Williams, J.R.; Jones, C.A.; Dyke, P.T. A Modeling Approach to Determining the Relationship between Erosion and SoU Productivity. Trans. ASAE 1984, 27, 129–144. [Google Scholar] [CrossRef]
- Williams, J.R. Sediment-yield prediction with Universal Equation using runoff energy factor. In Present and Prospective Technology for Predicting Sediment Yield and Sources; U.S. Department of Agriculture: Washington, DC, USA, 1975; pp. 244–252. [Google Scholar]
- Wischmeier, W.; Smith, D. Predicting Rainfall Erosion Losses. A Guide to Conservation Planning; Technical Report Agriculture Handbook No. 537; USDA: Beltsville, MD, USA, 1978.
- Brown, L.C.; Barnwell, T.O. The Enhanced Stream Water Quality Models QUAL2E and QUAL2E-UNCAS: Documentation and User Manual; EPA: Athens, GA, USA, 1987.
- Leonard, R.A.; Knisel, W.G.; Still, D.A. GLEAMS: Groundwater Loading Effects of Agricultural Management Systems. Trans. ASAE 1987, 30, 1403–1418. [Google Scholar] [CrossRef]
- Gesch, D.; Oimoen, M.; Greenlee, S.; Nelson, C.; Steuck, M.; Tyler, D. The National Elevation Dataset. Photogramm. Eng. Remote Sens. 2002, 68, 5–11. [Google Scholar]
- Gesch, D.B. The National Elevation Dataset, 2nd ed.; Maune, D.F., Ed.; Digital Elevation Model Technologies and Applications—The DEM Users Manual; American Society for Photogrammetry and Remote Sensing: Bethesda, MD, USA, 2007; pp. 99–118. Available online: https://www.usgs.gov/the-national-map-data-delivery (accessed on 5 March 2022).
- Dollison, R.M. The National Map: New Viewer, Services, and Data Download. Technical Report. U.S. Geological Survey Fact Sheet 20103055. 2010. Available online: https://www.usgs.gov/programs/national-geospatial-program/national-map (accessed on 5 March 2022).
- USDA-NRCS. Chapter 10 Estimation of Direct Runoff from Storm Rainfall. In Part 630 Hydrology—National Engineering Handbook; USDA: Beltsville, MD, USA, 2004; p. 79. [Google Scholar]
- Monteith, J.L. Evaporation and environment. The state and movement of water in living organisms. In Proceedings of the 19th Symposium of the Society for Experimental Biology; Cambridge University Press: Cambridge, UK, 1965; pp. 205–234. [Google Scholar]
- Center for Advanced Land Management Information Technologies (CALMIT). 2005 Nebraska Land Use Patterns. 2016. Available online: https://calmit.unl.edu/virtual-nebraska (accessed on 13 April 2022).
- Arabi, M.; Frankenberger, J.R.; Enge, B.A.; Arnold, J.G. Representation of agricultural conservation practices with SWAT. Hydrol. Process. 2008, 22, 3042–3055. [Google Scholar] [CrossRef]
- Abbaspour, K.C.; Vejdani, M.; Haghighat, S.; Yang, J. SWAT-CUP Calibration and Uncertainty Programs for SWAT. In MODSIM 2007 International Congress on Modelling and Simulation; Oxley, L., Kulasiri, D., Eds.; Modelling and Simulation Society of Australia and New Zealand: Sydney, Australia, 2007; pp. 1596–1602. [Google Scholar]
- White, K.L.; Chaubey, I. Sensitivity Analysis, Calibration, and Validations for a Multisite and Multivariable SWAT Model. J. Am. Water Resour. Assoc. 2005, 41, 1077–1089. [Google Scholar] [CrossRef]
- Kannan, N.; Santhi, C.; White, M.J.; Mehan, S.; Arnold, J.G.; Gassman, P.W. Some Challenges in Hydrologic Model Calibration for Large-Scale Studies: A Case Study of SWAT Model Application to Mississippi-Atchafalaya River Basin. Hydrology 2019, 6, 17. [Google Scholar] [CrossRef] [Green Version]
- Nash, J.E.; Sutcliffe, J.V. River Flow Forecasting through Conceptual Models Part I—A Discussion of Principles. J. Hydrol. 1970, 10, 282–290. [Google Scholar] [CrossRef]
- McKee, T.B.; Doesken, N.J.; Kleist, J. The relationship of drought frequency and duration to time scales. In Proceedings of the 8th Conference on Applied Climatology, Anaheim, CA, USA, 17–22 January 1993; pp. 179–184. [Google Scholar]
- Werner, K.M. Agroecosystem and Ecosystem Resiliency to Extreme Hydrometeorological and Climate Events. Doctoral Dissertation, The University of Nebraska-Lincoln, Lincoln, NE, USA, 2016. [Google Scholar]
- Kendall, M. Rank Correlation Methods; Griffin: London, UK, 1970. [Google Scholar]
- Mann, H.B. Nonparametric Tests against Trend. Econometrica 1945, 13, 245–259. [Google Scholar] [CrossRef]
- USDA-NASS. Census of Agriculture. 2012. Available online: https://www.nass.usda.gov/Publications/AgCensus/2012/Online_Resources/Ag_Census_Web_Maps/index.php (accessed on 5 April 2022).
- Moran, M.S.; Ponce-Campos, G.E.; Huete, A.; McClaran, M.P.; Zhang, Y.; Hamerlynck, E.P.; Hernandez, M. Functional response of US grasslands to the early 21st-century drought. Ecology 2014, 95, 2121–2133. [Google Scholar] [CrossRef]
- Tuppad, P.; DouglasMankin, K.R.; Koelliker, J.K.; Hutchinson, J.M.S. Swat discharge response to spatial rainfall variability in a kansas watershed. Trans. ASABE 2010, 53, 65–74. [Google Scholar] [CrossRef]
- Singh, V.; Munoz-Arriola, F. Improvements in Sub-Catchment Fractional Snowpack and Snowmelt Parameterizations and Hydrologic Modeling for Climate Change Assessments in the Western Himalayas. Hydrology 2021, 8, 179. [Google Scholar] [CrossRef]
- Moon, J.; Srinivasan, R.; Jacobs, J.H. Streamflow estimation using spatially distributed rainfall in the Trinity River basin, Texas. Trans. ASAE 2004, 47, 1445–1451. [Google Scholar] [CrossRef]
- Chintalapudi, S.; Sharif, H.O.; Yeggina, S.; Elhassan, A. Physically Based, Hydrologic Model Results Based on Three Precipitation Products. J. Am. Water Resour. Assoc. 2012, 48, 1191–1203. [Google Scholar] [CrossRef]
- Khan, M.; Munoz-Arriola, F.; Shaik, R.; Greer, P. Spatial heterogeneity of temporal shifts in extreme precipitation across India. J. Clim. Chang. 2019, 5, 19–31. [Google Scholar] [CrossRef]








| Variable | Units | 1992–1994 | 2008–2009 | ||
|---|---|---|---|---|---|
| Observations | Max. Value | Observations | Max. Value | ||
| Flow | m3/s | 1096 | 96 | 738 | 218 |
| Sediments | mg/L | 26 | 20,150 | 26 | 4090 |
| Total nitrogen | mg/L | 28 | 13 | 13 | 12 |
| Total phosphorus | mg/L | 28 | 8.70 | 27 | 3.25 |
| Atrazine | mg/L | 28 | 0.055 | 24 | 0.015 |
| Year | Month | Day | Operation | Description |
|---|---|---|---|---|
| Corn | ||||
| 1 | 4 | 10 | Tillage operation | Tandem Disk, Plw Le 13 ft. |
| 1 | 4 | 28 | Plant/begin growing season | |
| 1 | 5 | 1 | Pesticide application | Atrazine, 1 kg/ha |
| 1 | 6 | 28 | Auto-irrigation initialization * | |
| 1 | 10 | 18 | Harvest and kill operation | |
| 1 | 10 | 25 | Fertilizer application | Swine-fresh manure, 50 kg/ha |
| 1 | 11 | 1 | Fertilizer application | Anhydrous Ammonia, 90 kg/ha |
| 1 | 11 | 15 | Fertilizer application | Elemental Phosphorus, 15 kg/ha |
| Soybean | ||||
| 2 | 4 | 10 | Tillage operation | Tandem Disk, Plw Le 13 ft. |
| 2 | 5 | 1 | Pesticide application | Atrazine, 1 kg/ha |
| 2 | 5 | 10 | Plant/begin growing season | |
| 2 | 7 | 10 | Auto-irrigation initialization * | |
| 2 | 9 | 20 | Harvest and kill operation | |
| 2 | 10 | 15 | Fertilizer application | Swine-fresh manure, 50 kg/ha |
| 2 | 11 | 15 | Fertilizer application | Elemental Phosphorus, 15 kg/ha |
| Years | Mean [mm/Day] | Standard Deviation [mm/Day] |
|---|---|---|
| Historical | 1.82 | 6.47 |
| Wet summer | 2.16 | 7.30 |
| Dry summer | 1.36 | 5.18 |
| Variable | Bo | B1 | Multiple R-Squared | p-Value |
|---|---|---|---|---|
| Sediments | 1.41 | 2.22 | 0.84 | 2.5 × 10−16 |
| Nitrogen | 2.64 | 1.09 | 0.89 | <2.2 × 10−16 |
| Phosphorus | 1.57 | 1.22 | 0.75 | 1.36 × 10−12 |
| Atrazine | 1.78 | 1.85 | 0.56 | 3.73 × 10−8 |
Publisher’s Note: MDPI stays neutral with regard to jurisdictional claims in published maps and institutional affiliations. |
© 2022 by the authors. Licensee MDPI, Basel, Switzerland. This article is an open access article distributed under the terms and conditions of the Creative Commons Attribution (CC BY) license (https://creativecommons.org/licenses/by/4.0/).
Share and Cite
Jaimes-Correa, J.C.; Muñoz-Arriola, F.; Bartelt-Hunt, S. Modeling Water Quantity and Quality Nonlinearities for Watershed Adaptability to Hydroclimate Extremes in Agricultural Landscapes. Hydrology 2022, 9, 80. https://doi.org/10.3390/hydrology9050080
Jaimes-Correa JC, Muñoz-Arriola F, Bartelt-Hunt S. Modeling Water Quantity and Quality Nonlinearities for Watershed Adaptability to Hydroclimate Extremes in Agricultural Landscapes. Hydrology. 2022; 9(5):80. https://doi.org/10.3390/hydrology9050080
Chicago/Turabian StyleJaimes-Correa, Juan Carlos, Francisco Muñoz-Arriola, and Shannon Bartelt-Hunt. 2022. "Modeling Water Quantity and Quality Nonlinearities for Watershed Adaptability to Hydroclimate Extremes in Agricultural Landscapes" Hydrology 9, no. 5: 80. https://doi.org/10.3390/hydrology9050080
APA StyleJaimes-Correa, J. C., Muñoz-Arriola, F., & Bartelt-Hunt, S. (2022). Modeling Water Quantity and Quality Nonlinearities for Watershed Adaptability to Hydroclimate Extremes in Agricultural Landscapes. Hydrology, 9(5), 80. https://doi.org/10.3390/hydrology9050080

