Alteration of the Ecohydrological Status of the Intermittent Flow Rivers and Ephemeral Streams due to the Climate Change Impact (Case Study: Tsiknias River)
Abstract
1. Introduction
- The development and comparison of historical and future hydrological simulations by means of climatic datasets generated by multi-model ensembles of RCMs, under two different greenhouse gas emission scenarios RCP 4.5 and 8.5.
- The assessment of the potential effect of climate change, under different scenarios, on the hydrologic regime of a Mediterranean intermittent river basin and the analysis of temporal streamflow trends.
- The investigation of the transition of the different aquatic states of the stream especially from flood to edaphic, crucial for the sustainability of the ecosystem biodiversity, using the TREHS tool.
2. Study Area and Datasets
2.1. Study Area
2.2. Spatiotemporal Datasets
2.3. Regional Climate Model Data
3. Methodology
3.1. Hydrological Modeling
3.1.1. Soil and Water Assessment Tool (SWAT)
3.1.2. Model Setup
3.1.3. Model Calibration and Parametrization
3.1.4. Future Streamflow Projections
3.2. Aquatic States (AS), Flow Regime (FR) Status, and Alteration Flow Regime (AFR) Assessment
3.2.1. Temporary Rivers Ecological and Hydrological Status (TREHS)
3.2.2. ASs, FR, and AFR Assessment Workflow
4. Results
4.1. Hydrologic Modeling
4.2. Future Climate
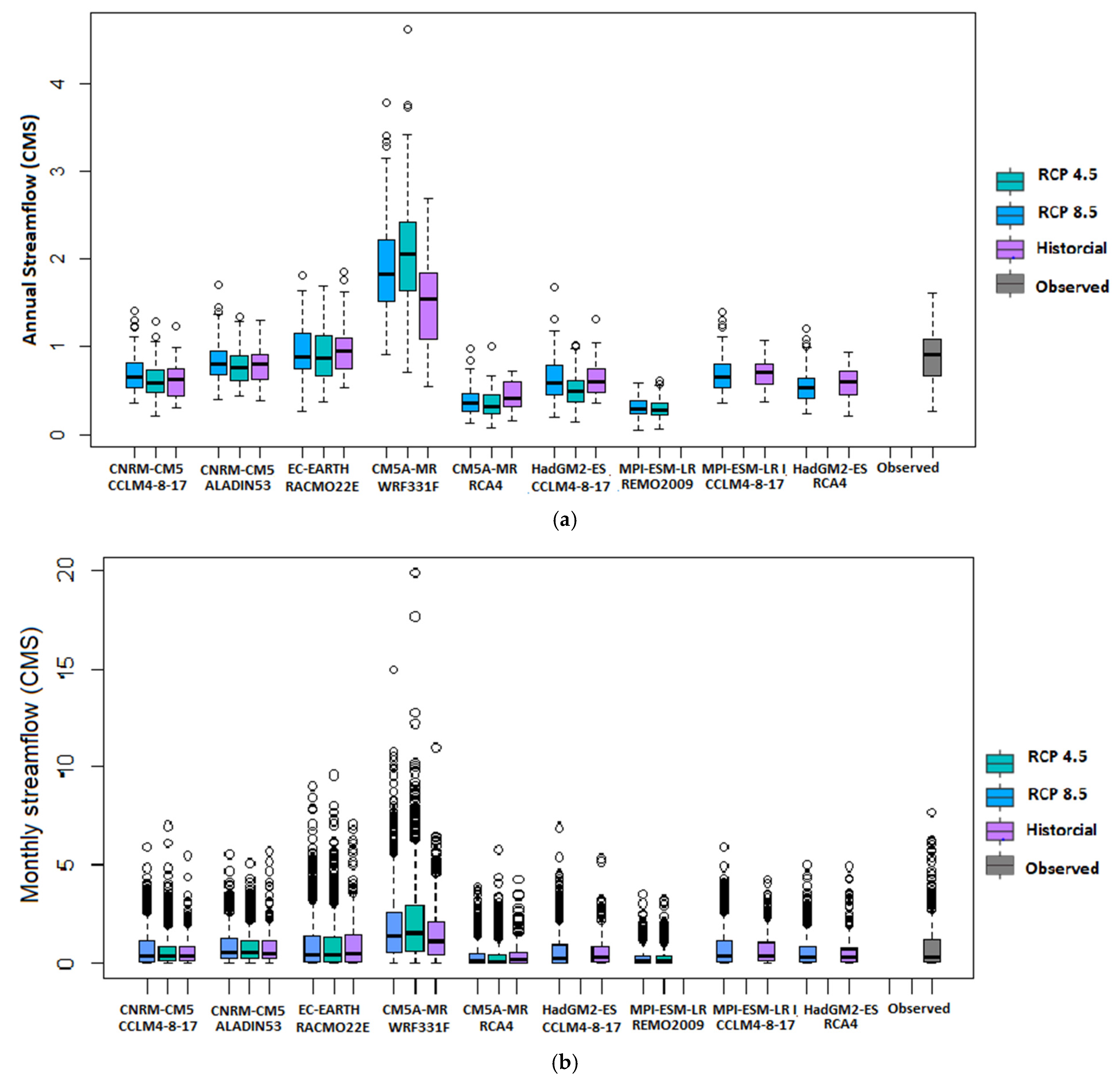
4.3. Future Streamflow Projections (Monthly and Annual)
4.4. Hydrological Status
4.4.1. ASFG (Natural, Actual, and Projected)
4.4.2. Projected Temporary Regime Alteration
5. Discussion
6. Conclusions
Supplementary Materials
Author Contributions
Funding
Institutional Review Board Statement
Informed Consent Statement
Data Availability Statement
Conflicts of Interest
References
- The European Communites Directive 2000/60/EC of the European Parliament and of the Council of 23 October 2000 Establishing a Framework for Community Action in the Field of Water Policy; Official Journal of the European Communities: Brussel, Belgium, 2000; Volume OJ L 327, pp. 1–73.
- Datry, T.; Singer, G.; Sauquet, E.; Jorda-Capdevila, D.; Von Schiller, D.; Stubbington, R.; Magand, C.; Pařil, P.; Miliša, M.; Acuña, V.; et al. Science and Management of Intermittent Rivers and Ephemeral Streams (SMIRES). Res. Ideas Outcomes 2017, 3, e21774. [Google Scholar] [CrossRef]
- Kaletová, T.; Loures, L.; Castanho, R.A.; Aydin, E.; da Gama, J.T.; Loures, A.; Truchy, A. Relevance of intermittent rivers and streams in agricultural landscape and their impact on provided ecosystem services—A mediterranean case study. Int. J. Environ. Res. Public Health 2019, 16, 2693. [Google Scholar] [CrossRef] [PubMed]
- Datry, T.; Larned, S.T.; Tockner, K. Intermittent rivers: A challenge for freshwater ecology. Bioscience 2014, 64, 229–235. [Google Scholar] [CrossRef]
- IPCC. Climate Change 2013; IPCC: Geneva, Switzerland, 2014; Volume 5, ISBN 9781107661820. [Google Scholar]
- Loizidou, M.; Giannakopoulos, C.; Bindi, M.; Moustakas, K. Climate change impacts and adaptation options in the Mediterranean basin. Reg. Environ. Chang. 2016, 16, 1859–1861. [Google Scholar] [CrossRef]
- Pachauri, R.K. Climate Change 2014 Synthesis Report; IPCC: Geneva, Switzerland, 2014; ISBN 9789291691432. [Google Scholar]
- Giorgi, F.; Lionello, P.; Ictp, A.S.; Lecce, U. Climate Change Projections for the Mediterranean Region Submitted to Global and Planetary Change Special Issue on Mediterranean climate variability Abstract Key words: Climate change, Mediterranean climate, Precipitaton change, Temperature change. Glob. Planet. Chang. 2008, 63, 90–104. [Google Scholar] [CrossRef]
- Alpert, P.; Krichak, S.O.; Sha, H.; Haim, D.; Osetinsky, I. Climatic trends to extremes employing regional modeling and statistical interpretation over the E. Mediterranean. Glob. Planet. Chang. 2008, 63, 163–170. [Google Scholar] [CrossRef]
- Fonseca, A.R.; Santos, J.A. Predicting hydrologic flows under climate change: The Tâmega Basin as an analog for the Mediterranean region. Sci. Total Environ. 2019, 668, 1013–1024. [Google Scholar] [CrossRef]
- Zittis, G.; Hadjinicolaou, P.; Klangidou, M.; Proestos, Y.; Lelieveld, J. A multi-model, multi-scenario, and multi-domain analysis of regional climate projections for the Mediterranean. Reg. Environ. Chang. 2019, 19, 2621–2635. [Google Scholar] [CrossRef]
- Tzoraki, O.; Girolamo, A.D.; Gamvroudis, C.; Skoulikidis, N. Assessing the flow alteration of temporary streams under current conditions and changing climate by Soil and Water Assessment Tool model. Int. J. River Basin Manag. 2015, 1–10. [Google Scholar] [CrossRef]
- Cramer, W.; Guiot, J.; Fader, M.; Garrabou, J.; Gattuso, J.P.; Iglesias, A.; Lange, M.A.; Lionello, P.; Llasat, M.C.; Paz, S.; et al. Climate change and interconnected risks to sustainable development in the Mediterranean. Nat. Clim. Chang. 2018, 8, 972–980. [Google Scholar] [CrossRef]
- Prat, N.; Gallart, F.; Von Schiller, D.; Polesello, S.; García-Roger, E.M.; Latron, J.; Rieradevall, M.; Llorens, P.; Barberá, G.G.; Brito, D.; et al. The Mirage Toolbox: An Integrated Assessmen TOOl for Temporary Streams. River Res. Appl. 2014, 30, 1318–1334. [Google Scholar] [CrossRef]
- Gauthier, M.; Launay, B.; Le Goff, G.; Pella, H.; Douady, C.J.; Datry, T. Fragmentation promotes the role of dispersal in determining 10 intermittent headwater stream metacommunities. Freshw. Biol. 2020, 65, 2169–2185. [Google Scholar] [CrossRef]
- Gallart, F.; Cid, N.; Latron, J.; Llorens, P.; Bonada, N.; Jeuffroy, J.; Jiménez-Argudo, S.-M.; Vega, R.-M.; Solà, C.; Soria, M.; et al. TREHS: An open-access software tool for investigating and evaluating temporary river regimes as a first step for their ecological status assessment. Sci. Total Environ. 2017, 607–608, 519–540. [Google Scholar] [CrossRef] [PubMed]
- Santhi, C.; Srinivasan, R.; Arnorld, J.; Williams, J. A modeling approach to evaluate the impacts of water quality management plans implemented in a watershed in Texas. Environ. Model. Softw. 2006, 21, 1141e1157. [Google Scholar] [CrossRef]
- Neitsch, S.; Arnold, J.G.; Kiniry, J.; Williams, J. Soil and Water Assessment Tool Theoretical Documentation Version 2009; Texas Water Resources Institute: College Station, TX, USA, 2009. [Google Scholar]
- Arnold, J.G.; Moriasi, D.N.; Gassman, P.W.; Abbaspour, K.C.; White, M.J.; Srinivasan, R.; Santhi, C.; Harmel, R.D.; van Griensven, A.; Liew, M.W.; et al. SWAT: Model Use, Calibration, and Validation. Trans. ASABE 2012, 55, 1317–1335. [Google Scholar] [CrossRef]
- Abouabdillah, A.; Oueslati, O.; Girolamo, A.M.D.; Porto, A.L. Modeling the impact of climate change in a mediterranean catchement (merguellil, Tunisia). Fresenius Environ. Bull. 2010, 19, 2334–2347. [Google Scholar] [CrossRef]
- Papatheodouliu, A.; Tzoraki, O.; Panagos, S.; Taylor, H.; Ebdon, J.; Papageorgiou, G.; Pissarides, N.; Antoniou, K.; Christofi, G.; Dorlfinger, G.; et al. Simulation of daily discharge using the distributed model SWAT as a catchment management tool: Limnatis River case study. Proc. SPIE Int. Soc. Opt. Eng. 2013. [Google Scholar] [CrossRef]
- Tzoraki, O.; Cooper, D.; Kjeldsen, T.; Nikolaidis, N.P.; Froebrich, J.; Querner, E.; Gallart, F. Flood generation and classification of a semi-arid intermittent flow watershed: Evrotas river. Int. J. River Basin Manag. 2013, 11, 77–92. [Google Scholar] [CrossRef]
- De Girolamo, A.; Gallart, F.; Pappagallo, G.; Santese, G.; Lo Porto, A. An eco-hydrological assessment method for temporary rivers. The Celone and Salsola rivers case study (SE, Italy). Ann. Limnol. Int. J. Limnol. 2015, 51, 1–10. [Google Scholar] [CrossRef]
- D’Ambrosio, E.; De Girolamo, A.M.; Barca, E.; Ielpo, P.; Rulli, M.C. Characterising the hydrological regime of an ungauged temporary river system: A case study. Environ. Sci. Pollut. Res. 2017, 24, 13950–13966. [Google Scholar] [CrossRef]
- Oueslati, O.; Girolamo, A.M.D.; Abouabdillah, A.; Kjeldsen, T.R.; Porto, A.L. Classifying the flow regimes of Mediterranean streams using multivariate analysis. Hydrol. Process. 2015, 4682, 4666–4682. [Google Scholar] [CrossRef]
- Tzoraki, O. Operating Small Hydropower Plants in Greece under Intermittent Flow Uncertainty: The Case of Tsiknias River (Lesvos). Challenges 2020, 11, 17. [Google Scholar] [CrossRef]
- Angela, D.; Krystalia, E.; Vaia, D.; Epaminondas, L.; Costas, A.; Panayiota, K.; Nikos, P.; Arsinoe, S.; Skevi, S.; Yioannis, B.; et al. Temporal and inter habitat variations of substratum, vegetation and substratum macroinvertebrates attributes across coastal wetland systems, North East Aegean, Greece. Transit. Waters Bull. 2008, 2, 1–16. [Google Scholar] [CrossRef]
- Spyropoulou, A.; Spatharis, S.; Papantoniou, G.; Tsirtsis, G. Potential response to climate change of a semi-arid coastal ecosystem in eastern Mediterranean. Hydrobiologia 2013, 705, 87–99. [Google Scholar] [CrossRef]
- Natura 2000 European Environment Agency (EEA), The Natura 2000 Protected Areas Network; EEA: Copenhagen, Denmark, 2000.
- Borsi, S.; Ferrara, G.; Innocenti, F.; Mazzuoli, R. Geochronology and Petrology of Recent Volcanics in the Eastern Aegean Sea (West Anatolia and Lesvos Island). Bullin Volcanol. 1972, 81, 473–496. [Google Scholar] [CrossRef]
- Pe-Piper, D.J.W. Spatial and temporal variation in Late Cenozoic volcanic rocks, Aegean Sea region. Tecronophysics 1989, 169, 113–134. [Google Scholar] [CrossRef]
- Polatidou, M.; Tsirtsis, G.; Gaganis, P. Assessing nutrient dynamics in a small eastern mediterranean watershed. In Proceedings of the 13th International Conference on Environmental Science and Technology—CEST2013, Athens, Greece, 5–7 September 2013; pp. 5–7. [Google Scholar]
- CLC 2000—Copernicus Land Monitoring Service. Available online: https://land.copernicus.eu/pan-european/corine-land-cover/clc-2000?tab=metadata (accessed on 16 February 2021).
- Haines Young, R.; Weber, J.L. Land Accounts for Europe 1990–2000: Towards Integrated Land and Ecosystem Accounting; EEA: Copenhagen, Denmark, 2006; Volume 11. [Google Scholar]
- Provatas, N. Time and Spatial Analysis of Water Quality in Insular Basins: The Case of Tsiknias River, Lesvos; University of the Aegean: Mytilene, Greece, 2015. [Google Scholar]
- Zanis, P.; Kapsomenakis, I.; Philandras, C.; Douvis, K.; Nikolakis, D.; Kanellopoulou, E.; Zerefos, C.; Repapis, C. Analysis of an ensemble of present day and future regional climate simulations for Greece. Int. J. Climatol. 2009, 29, 1614–1633. [Google Scholar] [CrossRef]
- Zanis, P.; Katragkou, E.; Ntogras, C.; Marougianni, G.; Tsikerdekis, A.; Feidas, H.; Anadranistakis, E.; Melas, D. Transient high-resolution regional climate simulation for Greece over the period 1960–2100: Evaluation and future projections. Clim. Res. 2015, 64, 123–140. [Google Scholar] [CrossRef]
- Jacob, D.; Petersen, J.; Eggert, B.; Alias, A.; Christensen, O.B.; Bouwer, L.M.; Braun, A.; Colette, A.; Déqué, M.; Georgievski, G.; et al. EURO-CORDEX: New high-resolution climate change projections for European impact research. Reg. Environ. Chang. 2014, 14, 563–578. [Google Scholar] [CrossRef]
- Zanis, P.; Akritidis, D.; Tsikerdekis, T.; Solomos, S.; Amiridis, V. Establishing a pilot regional climate change web application tool for end-users. In Proceedings of the GEO-CRADLE Workshop & Project Meeting, Limassol, Cyprus, 16–17 November 2016. [Google Scholar]
- Willkofer, F.; Schmid, F.; Komischke, H.; Korck, J.; Braun, M.; Ludwig, R. Journal of Hydrology: Regional Studies The impact of bias correcting regional climate model results on hydrological indicators for Bavarian catchments. J. Hydrol. Reg. Stud. 2021, 19, 25–41. [Google Scholar] [CrossRef]
- Gassman, P.W.; Reyes, M.R.; Green, C.H.; Arnold, J.G. The Soil And Water Assessment Tool: Historical Development, Applications, and Future Research Directions. Am. Soc. Agric. Biol. Eng. 2007, 50, 1211–1250. [Google Scholar] [CrossRef]
- USDA-SCS. National Engineering Handbook; USDA-SCS: Washington, DC, USA, 1972. [Google Scholar]
- Winchell, M.; Srinivasan, R.; Di Luzio, M. ArcSWAT 2.3. 4 Interface for SWAT2012; ArcSWAT: Temple, TX, USA, 2013. [Google Scholar]
- Abbaspour, K.C.; Johnson, C.A.; Van Genuchten, M.T. Estimating Uncertain Flow and Transport Parameters Using a Sequential Uncertainty Fitting Procedure. Vadose Zone J. 2004, 3, 1340–1352. [Google Scholar] [CrossRef]
- Abbaspour, K.C.; Yang, J.; Maximov, I.; Siber, R.; Bogner, K.; Mieleitner, J.; Zobrist, J.; Srinivasan, R. Modelling hydrology and water quality in the pre-alpine/alpine Thur watershed using SWAT. J. Hydrol. 2007, 333, 413–430. [Google Scholar] [CrossRef]
- Abbaspour, K.C.; Rouholahnejad, E.; Vaghefi, S.; Srinivasan, R.; Yang, H.; Kløve, B. A continental-scale hydrology and water quality model for Europe: Calibration and uncertainty of a high-resolution large-scale SWAT model. J. Hydrol. 2015, 524, 733–752. [Google Scholar] [CrossRef]
- Karavitis, C.A.; Kerkides, P.; Karavitis, C.A.; Iwra, M.; Collins, F. Estimation of the Water Resources Potential in the Island System of the Aegean Archipelago, Greece Estimation of the Water Resources Potential in the Island System of the Aegean Archipelago, Greece. Water Int. 2009. [Google Scholar] [CrossRef]
- Varvara, M.; Christos, V.; Ourania, T.; Kostas, K. Using Remote Sensing technology with SWAT hydrological modeling to estimate soil moisture of an insular basin. In Proceedings of the IWA Balkan Young Water Professionals Conference 2015, Thessaloniki, Greece, 10–12 May 2015; Available online: http://bywp2015.gr (accessed on 22 January 2021).
- Simha, P.; Mutiara, Z.Z.; Gaganis, P. Vulnerability assessment of water resources and adaptive management approach for Lesvos Island, Greece. Sustain. Water Resour. Manag. 2017. [Google Scholar] [CrossRef]
- Bormann, H.; Brito, M.M.D.; Charchousi, D.; Chatzistratis, D.; Korali, A.; Krauzig, N.; Meier, J.; Meliadou, V.; Meinhardt, M. Impact of Hydrological Modellers’ Decisions and Attitude on the Performance of a Calibrated Conceptual Catchment Model: Results from a “Modelling Contest”. Hydrology 2018, 5, 64. [Google Scholar] [CrossRef]
- Gupta, R.D.; Kundu, D. Generalized exponential distributions. Austral. Newzeal. J. Stat. 1999, 41, 173–188. [Google Scholar] [CrossRef]
- Nash, J.E.; Sutcliffe, J.V. River flow forecasting through conceptual models part I—A discussion of principles. J. Hydrol. 1970, 10, 282–290. [Google Scholar] [CrossRef]
- Moriasi, D.N.; Gitau, M.W.; Pai, N.; Daggupati, P. Hydrologic and Water Quality Models: Performance Measures And Evaluation Criteria. Am. Soc. Agric. Biol. Eng. 2015, 58, 1763–1785. [Google Scholar] [CrossRef]
- Moriasi, D.N.; Arnold, J.G.; Liew, M.W.V.; Bingner, R.L.; Harmel, R.D.; Veith, T.L. Model Evaluation Guidelines For Systematic Quatification of accuracy in Watershed Simulations. Am. Soc. Agric. Biol. Eng. 2007, 50, 885–900. [Google Scholar]
- Gallart, F.; Latron, J.; Llorens, P.; Cid, N.; Prat, N.; Rieradevall, M. Deliverable 9: The TREHS Manual; Life TRivers: Barcelona, Spain, 2015. [Google Scholar]
- Gallart, F.; Prat, N.; Garc, E.M. A novel approach to analysing the regimes of temporary streams in relation to their controls on the composition and structure of aquatic biota. Hydrol. Earth Syst. Sci. 2012, 16, 3165–3182. [Google Scholar] [CrossRef]
- Gallart, F.; Llorens, P.; Latron, J.; Cid, N.; Rieradevall, M.; Prat, N. Validating alternative methodologies to estimate the regime of temporary rivers when fl ow data are unavailable. Sci. Total Environ. 2016, 565, 1001–1010. [Google Scholar] [CrossRef] [PubMed]
- Gallart, F.; Prat, N.; García-Roger, E.M.; Latron, J.; Rieradevall, M.; Llorens, P.; Barberá, G.G.; Brito, D.; De Girolamo, A.M.; Lo Porto, A.; et al. Developing a novel approach to analyse the regimes of temporary streams and their controls on aquatic biota. Hydrol. Earth Syst. Sci. Discuss. 2011, 8, 9637–9673. [Google Scholar] [CrossRef]
- Foster, H. Duration curves. Trans (ASCE) 1934, 99, 1213–1267. [Google Scholar]
- Stanzel, P.; Kling, H. From ENSEMBLES to CORDEX: Evolving climate change projections for Upper Danube River flow. J. Hydrol. 2018. [Google Scholar] [CrossRef]
- Lionello, P.; Scarascia, L. The relation of climate extremes with global warming in the Mediterranean region and its north versus south contrast. Reg. Environ. Chang. 2020, 20. [Google Scholar] [CrossRef]
- De Girolamo, A.M.; Lo Porto, A.; Pappagallo, G.; Gallart, F. Assessing flow regime alterations in a temporary river—The River Celone case study. J. Hydrol. Hydromech. 2015, 63, 263–272. [Google Scholar] [CrossRef]
- Skoulikaris, C.; Makris, C.; Katirtzidou, M.; Baltikas, V.; Krestenitis, Y. Assessing the Vulnerability of a Deltaic Environment due to Climate Change Impact on Surface and Coastal Waters: The Case of Nestos River (Greece). Environ. Model. Assess. 2021, 1–28. [Google Scholar] [CrossRef]
- De Girolamo, A.M.; Bouraoui, F.; Buffagni, A.; Pappagallo, G.; Lo Porto, A. Hydrology under climate change in a temporary river system: Potential impact on water balance and flow regime. River Res. Appl. 2017, 33, 1219–1232. [Google Scholar] [CrossRef]
- Kirkby, M.J.; Gallart, F.; Kjeldsen, T.R.; Irvine, B.J.; Froebrich, J.; Lo Porto, A.; De Girolamo, A. Classifying low flow hydrological regimes at a regional scale. Hydrol. Earth Syst. Sci. 2011, 15, 3741–3750. [Google Scholar] [CrossRef]
- Alderlieste, M.A.A.; Van Lanen, H.A.J.; Wanders, N. Future low flows and hydrological drought: How certain are these for Europe? IAHS-AISH Proc. Rep. 2014, 363, 60–65. [Google Scholar]
- Girolamo, A.M.D.; Barca, E.; Pappagallo, G.; Porto, A.L. Simulating ecologically relevant hydrological indicators in a temporary river system. Agric. Water Manag. 2017, 180, 194–204. [Google Scholar] [CrossRef]
- Skoulikidis, N.T.; Sabater, S.; Datry, T.; Morais, M.M.; Buffagni, A.; Dörflinger, G.; Zogaris, S.; del Mar Sánchez-Montoya, M.; Bonada, N.; Kalogianni, E.; et al. Non-perennial Mediterranean rivers in Europe: Status, pressures, and challenges for research and management. Sci. Total Environ. 2017, 577, 1–18. [Google Scholar] [CrossRef]
- Vlach, V.; Ledvinka, O.; Matouskova, M. Changing Low Flow and Streamflow Drought Seasonality in Central European Headwaters. Water 2020, 12, 3575. [Google Scholar] [CrossRef]
- Njue, N.; Kroese, J.S.; Gräf, J.; Jacobs, S.R.; Weeser, B.; Breuer, L.; Ru, M.C. Science of the Total Environment Citizen science in hydrological monitoring and ecosystem services management: State of the art and future prospects. Sci. Total Environ. 2019, 693. [Google Scholar] [CrossRef] [PubMed]
















| Dataset | Source | Frequency | Time Period | Remarks |
|---|---|---|---|---|
| Rainfall | Automatic meteorological station at Agia Paraskevi | Daily | (01/01/1955–01/01/2020) | Data gaps filled with Inverse Distance Method (IDM) using data from Mytilini airport as reference station. |
| Temperature | Automatic meteorological station at Agia Paraskevi | Daily | (01/01/1955–01/01/2020) | Data gaps filled with Mytilini airport data corrected by the average monthly difference between this station and that of Agia Paraskevi |
| Stream Discharge | Telemetric Radar Level Sensor (RLS) gauging station Prini-bridge | Daily | (08/01/2014–10/31/2019) | Observed gauge data; Data gap: 11/01/2016–11/01/2017 |
| Landuse | CORINE 2000 [34] | - | - | The map is corrected with the inclusion of five settlements and data gathered by field validation. 1:25,000 |
| Soil | Municipality, Hellenic Survey of Geology and Mineral Exploration (HSGME), field sampling | - | - | Combined soil data from maps provided by the municipality, the HSGME and field sampling [35] |
| Topography | NASA Shuttle Radar Topography Mission (SRTM) Version 3.0 | - | - | 1° × 1° tiles at 1 arc second (about 30 m) |
| RCM Institution Name | RCM Institution Acronym | RCM Model Name | GCM Model Name | GCM Institution Acronym | Abbreviation Used in This Study |
|---|---|---|---|---|---|
| Climate Limited-area Modeling-Community | CLM com | CCLM4-8-17 | CNRM-CM5 | CNRM-CERFACS | CNRM-CM5_CCLM4-8-17 |
| Centre national des recherches météorologiques | CNRM | ALADIN53 | CNRM-CM5 | CNRM-CERFACS | CNRM-CM5_ALADIN53 |
| Koninklijk Nederlands Meteorologisch Instituut | KNMI | RACMO22E | EC-EARTH | ICHEC | EC-EARTH_RACMO22E |
| Institut Pierre-Simon-Laplace | IPSL-INERIS | WRF331F | CM5A-MR | IPSL-IPSL | CM5A-MR_WRF331F |
| Sveriges Meteorologiska och HydrologiskaInstitut | SMHI | RCA4 | CM5A-MR | IPSL-IPSL | CM5A-MR_RCA4 |
| Climate Limited-area Modeling–Community | CLMcom | CCLM4-8-17 | HadGM2-ES | MOHC | HadGM2-ES_CCLM4-8-17 |
| Sveriges Meteorologiska och HydrologiskaInstitut | SMHI | RCA4 | HadGM2-ES | MOHC | HadGM2-ES_RCA4 |
| Climate Limited-area Modeling–Community | CLMcom | CCLM4-8-17 | MPI-ESM-LR | MPI-M | MPI-ESM-LR I_CCLM4-8-17 |
| Max Planck Institute Magdeburg | MPI-CSC | REMO2009 | MPI-ESM-LR | MPI-M | MPI-ESM-LR_REMO2009 |
| Parameters 1 | Definition | Physically Meaningful Range (min max) | Calibration Range | |
|---|---|---|---|---|
| r__CN2.mgt | Initial SCS runoff curve number for moisture condition | 35 | 98 | −50% to 20% |
| v__ALPHA_BF.gw | Base flow travel time (days) | 0 | 1 | 0.2−1 |
| v__GWQMN.gw | Threshold depth of water in the shallow aquifer required for return flow to occur (mm) | 0 | 5000 | −1000–2000 |
| r__SOL_AWC.sol | Available water capacity of the soil layer (mm/mm) | 0 | 1 | −20% to 20% |
| v__ESCO.hru | Soil evaporation compensation factor | 0 | 1 | 0.6–1 |
| v__REVAPMN.gw | Threshold depth of water in the shallow aquifer for revap to occur (mm) | 0 | 500 | 0–500 |
| v__GW_REVAP.gw | Ground water revap coefficient | 0.02 | 0.2 | 0.02–0.2 |
| v__LAT_TTIME.hru | Lateral flow travel time (days) | 0 | 180 | 0–150 |
| r__SLSUBBSN.hru | Average slope length (m) | 10 | 150 | −25%–25% |
| Parameter | Best Simulation Fitted Value | p Value | Final Range (min, max) |
|---|---|---|---|
| r__CN2.mgt | −0.08 | 0.00 | −0.15, −0.008 |
| r__SLSUBBSN.hru | −0.435 | 0.01 | −0.8, −0.08 |
| v__GWQMN.gw | 0.26 | 0.04 | −0.17, 0.7 |
| v__ESCO.bsn | 0.783 | 0.05 | 0.72, 0.83 |
| v__ALPHA_BF.gw | 0.67 | 0.32 | 0.5, 0.8 |
| r__SOL_AWC.sol | −0.005 | 0.39 | −0.05, 0.05 |
| v__LAT_TTIME.hru | 16.65 | 0.46 | 0, 57.6 |
| v__REVAPMN.gw | 113.75 | 0.5 | 16.9, 210.6 |
| v__GW_REVAP.gw | 0.122 | 0.72 | 0.1, 0.15 |
Publisher’s Note: MDPI stays neutral with regard to jurisdictional claims in published maps and institutional affiliations. |
© 2021 by the authors. Licensee MDPI, Basel, Switzerland. This article is an open access article distributed under the terms and conditions of the Creative Commons Attribution (CC BY) license (http://creativecommons.org/licenses/by/4.0/).
Share and Cite
Nabih, S.; Tzoraki, O.; Zanis, P.; Tsikerdekis, T.; Akritidis, D.; Kontogeorgos, I.; Benaabidate, L. Alteration of the Ecohydrological Status of the Intermittent Flow Rivers and Ephemeral Streams due to the Climate Change Impact (Case Study: Tsiknias River). Hydrology 2021, 8, 43. https://doi.org/10.3390/hydrology8010043
Nabih S, Tzoraki O, Zanis P, Tsikerdekis T, Akritidis D, Kontogeorgos I, Benaabidate L. Alteration of the Ecohydrological Status of the Intermittent Flow Rivers and Ephemeral Streams due to the Climate Change Impact (Case Study: Tsiknias River). Hydrology. 2021; 8(1):43. https://doi.org/10.3390/hydrology8010043
Chicago/Turabian StyleNabih, Soumaya, Ourania Tzoraki, Prodromos Zanis, Thanos Tsikerdekis, Dimitris Akritidis, Ioannis Kontogeorgos, and Lahcen Benaabidate. 2021. "Alteration of the Ecohydrological Status of the Intermittent Flow Rivers and Ephemeral Streams due to the Climate Change Impact (Case Study: Tsiknias River)" Hydrology 8, no. 1: 43. https://doi.org/10.3390/hydrology8010043
APA StyleNabih, S., Tzoraki, O., Zanis, P., Tsikerdekis, T., Akritidis, D., Kontogeorgos, I., & Benaabidate, L. (2021). Alteration of the Ecohydrological Status of the Intermittent Flow Rivers and Ephemeral Streams due to the Climate Change Impact (Case Study: Tsiknias River). Hydrology, 8(1), 43. https://doi.org/10.3390/hydrology8010043

