Assessing the Impacts of Climatic and Water Management Scenarios in a Small Mountainous Greek River
Abstract
1. Introduction
2. Materials and Methods
2.1. Study Area
2.2. Hydrological Model
- -
- For the watershed delineation, the Digital Elevation Model (DEM) 5 × 5 m was used [36]. It should be noted that due to the anthropogenic interventions on the watercourse of the Agios Germanos River, the shapefile of the existing stream network was burned in the DEM during the network delineation procedure, for more accurate results (Figure 2a). Based on the DEM of the study area, the altitude of the Agios Germanos River watershed ranges between 851 m and 2319 m (average 1616 m). Over 82% of the watershed area can be characterized by a very steep slope (>15°).
- -
- The specific soil map for the study area was recreated based on bibliographical data [37,38,39,40]. Based on all available information, the wider area is dominated at lowland by calcaric fluvisols (Jc), and at the mountainous areas by dystric cambisol (Bd) or dystric leptosol (LPeu) (Figure 2b). Due to a lack of other information regarding the physical and chemical properties of the soil types of the study area, the already incorporated database in SWAT based on the soil maps produced by the Food and Agriculture Organization of the United Nations (FAO) was used [40,41]. Based on this database, two soil layers of 0.30 m and 1.00 m thickness were included. Finally, some soil parameters (for example, the available water capacity of the soil layer—awc and USLE equation soil erodibility K factor—usle_k) were considered as calibration factors, based on the results of the sensitivity analysis discussed below (see also Table 1).
- -
- The necessary information regarding land use in the study area was retrieved from the CORINE Land Cover CLC2018 dataset [42]. Each CORINE land use class was related to the corresponding land cover/plant or urban land type of the databases incorporated in SWAT containing information regarding plant growth and urban landscape attributes, respectively. Based on Figure 2c, the dominant land use classes are Range-Grasses (RNGE; 50%), Forest-Deciduous (FRSD; 21%), Barren (BARR; 14%), and Range-Brush (RNGB; 12%). Likewise, some land cover/plant and urban land parameters were regarded as calibrations factors, based on the results of the sensitivity analysis examined below (see also Table 1).
- -
- During HRU delineation, the option “Filter by area” and a 5% area threshold were used.
- -
- -
- -
- Due to the small altitude of both meteorological stations in comparison to the average altitude of the Agios Germanos River watershed, the precipitation rate is expected to be underestimated and the air temperature is expected to be overestimated [44]. For this reason, all meteorological data were elaborated using the Precipitation Lapse Rate and the Temperature Lapse Rate of the area of the Prespa Lakes [45].
- -
- Due to lack of necessary meteorological data for the calculation of reference evapotranspiration using the more accurate Penman–Monteith equation, the Hargreaves empirical method [46] was employed, which provides satisfactory results with an error rate of 10–15% or 1 mm/d, whichever is greater [47].
- -
- All other meteorological parameters necessary during simulation, but not available from observation stations, were retrieved from the incorporated SWAT weather database and the Weather Generator—wgn tool [48].
- -
- Based on the Society for the Protection of Prespa (SPP) personnel, four abstraction sites withdraw water directly from the Agios Germanos River for irrigation needs and affected the hydrological regime of the watercourse [43]. These water abstractions were incorporated into the model using negative values in the point source module.
| Group | Name | Description | Change Type | Order |
|---|---|---|---|---|
| hru | cn2 | SCS curve number—function of the soil’s permeability | Percent | 1 |
| rte | chn | Manning’s N for channel | Replace | 2 |
| sol | awc | Available water capacity of the soil layer | Relative | 3 |
| hru | snomelt_tmp | Snowmelt base temperature | Replace | 4 |
| hru | snomelt_min | Minimum snowmelt temperature | Replace | 5 |
| hru | snomelt_max | Maximum snowmelt temperature | Replace | 6 |
| hru | epco | Plant uptake compensation factor | Replace | 7 |
| hru | perco | Percolation coefficient | Replace | 8 |
| hru | latq_co | Lateral flow coefficient | Percent | 9 |
| bsn | msk_co1 | Calibration coefficient related to the storage time constant | Replace | 10 |
| bsn | ffcb | Initial soil water storage (fraction of field capacity water content) | Replace | 11 |
| aqu | revap_min | Water table depth for revap to occur | Replace | 12 |
| hru | esco | Soil evaporation compensation factor | Replace | 13 |
| rte | ch_bd | Bulk density in the main channel | Replace | 14 |
| sol | usle_k | USLE equation soil erodibility (K) factor | Replace | 15 |
| hru | ovn | Manning’s “n” value for overland flow | Percent | 16 |
| aqu | bf_max | Baseflow rate when entire area is contributing to baseflow | Replace | 17 |
| hru | cn3_swf | Pothole evaporation coefficient | Percent | 18 |
| aqu | flo_min | Minimum aquifer storage to allow return flow | Replace | 19 |
| sol | bd | Moist bulk density | Percent | 20 |
| aqu | revap_co | Groundwater revap coefficient | Replace | 21 |
| hru | snomelt_lag | Snowmelt lag coefficient | Replace | 22 |
| hru | slope | Average slope steepness in HRU | Percent | 23 |
| aqu | alpha | Baseflow alpha factor | Replace | 24 |
| sol | k | Saturated hydraulic conductivity | Replace | 25 |
| sol | z | Depth from soil surface to bottom of layer | Percent | 26 |
| hru | lat_ttime | Exponential of the lateral flow travel time | Replace | 27 |
| bsn | surlag | Surface runoff lag time | Replace | 28 |
| hru | lat_len | Slope length for lateral subsurface flow | Replace | 29 |
| hru | snofall_tmp | Snowfall temperature | Replace | 30 |
| rte | chk | Effective hydraulic conductivity of the main channel | Replace | 31 |
| hru | canmx | Maximum canopy storage | Replace | 32 |

2.3. Climate Change and Water Management Scenarios Examined
- -
- SSP1-2.6 scenario (Sustainability—“Taking the Green Road”): low greenhouse gases (GHG) emissions and CO2 emissions declining to net zero around or after 2050, followed by varying levels of net negative CO2 emissions, and
- -
- SSP5-8.5 scenario (Fossil-fueled Development—“Taking the Highway”): very high GHG emissions and CO2 emissions that roughly double from current levels by 2050.
- -
- near term: 2031–2060, and
- -
- long term: 2071–2100.
- -
- with abstractions, during which, the current water withdrawal scheme from the Agios Germanos River does not alter, and
- -
- without abstractions, during which, a sustainable approach is adopted and the water withdrawals from Agios Germanos River cease.
3. Results
3.1. Hydrological Model
3.2. Agios Germanos River Outflow Anomalies
4. Discussion
5. Conclusions
Author Contributions
Funding
Data Availability Statement
Acknowledgments
Conflicts of Interest
References
- Adler, C.; Wester, P.; Bhatt, I.; Huggel, C.; Insarov, G.; Morecroft, M.; Muccione, V.; Prakash, A. Cross-Chapter Paper 5: Mountains. In Climate Change 2022—Impacts, Adaptation and Vulnerability. Contribution of Working Group II to the Sixth Assessment Report of the Intergovernmental Panel on Climate Change; Pörtner, H., Roberts, D., Tignor, M., Poloczanska, E., Mintenbeck, K., Alegría, A., Craig, M., Langsdorf, S., Löschke, S., Möller, V., et al., Eds.; Cambridge University Press: Cambridge, UK; New York, NY, USA, 2022; pp. 2273–2318. [Google Scholar]
- Skoulikidis, N. Mountainous Areas and River Systems. In Environmental Water Requirements in Mountainous Areas; Dimitriou, E., Papadaki, C., Eds.; Elsevier: Amsterdam, The Netherlands, 2021; pp. 1–50. [Google Scholar]
- Korner, C.; Ohsawa, M. Mountain Systems. In Ecosystems and Human Well-being: Current State and Trends. Millennium Ecosystem Assessment; Hassan, R., Scholes, R., Ash, N., Eds.; Island Press: Washington, WA, USA, 2005; pp. 681–716. ISBN 1-55963-228-3. [Google Scholar]
- Maletjane, M.; Manandhar, R. Climate Change Adaptation in Mountain Regions. In Safeguarding Mountain Social-Ecological Systems. A Global Challenge: Facing Emerging Risks, Adapting to Changing Environments and Building Transformative Resilience in Mountain Regions Worldwide; Elsvier: Amsterdam, The Netherlands, 2024; pp. 109–114. [Google Scholar] [CrossRef]
- Balzan, M.; Hassoun, A.; Aroua, N.; Baldy, V.; Bou Dagher, M.; Branquinho, C.; Dutay, J.; El Bour, M.; Médail, F.; Mojtahid, M.; et al. Ecosystems. In Climate and Environmental Change in the Mediterranean Basin—Current Situation and Risks for the Future. First Mediterranean Assessment Report; Cramer, W., Guiot, J., Marini, K., Eds.; Union for the Mediterranean, Plan Bleu, UNEP/MAP: Marseille, France, 2020; pp. 323–468. [Google Scholar]
- Ali, E.; Cramer, W.; Carnicer, J.; Georgopoulou, E.; Hilmi, N.; Le Cozannet, G.; Lionello, P. Cross-Chapter Paper 4: Mediterranean Region. In Climate Change 2022—Impacts, Adaptation and Vulnerability. Contribution of Working Group II to the Sixth Assessment Report of the Intergovernmental Panel on Climate Change; Pörtner, H., Roberts, D., Tignor, M., Poloczanska, E., Mintenbeck, K., Alegría, A., Craig, M., Langsdorf, S., Löschke, S., Möller, V., et al., Eds.; Cambridge University Press: Cambridge, UK; New York, NY, USA, 2022; pp. 2233–2272. [Google Scholar]
- Niedrist, G.H. Substantial Warming of Central European Mountain Rivers under Climate Change. Reg. Environ. Chang. 2023, 23, 43. [Google Scholar] [CrossRef] [PubMed]
- Pepin, N.; Bradley, R.S.; Diaz, H.F.; Baraer, M.; Caceres, E.B.; Forsythe, N.; Fowler, H.; Greenwood, G.; Hashmi, M.Z.; Liu, X.D.; et al. Elevation-Dependent Warming in Mountain Regions of the World. Nat. Clim. Chang. 2015, 5, 424–430. [Google Scholar] [CrossRef]
- Hock, R.; Rasul, G.; Adler, C.; Cáceres, B.; Gruber, S.; Hirabayashi, Y.; Jackson, M.; Kääb, A.; Kang, S.; Kutuzov, S.; et al. High Mountain Areas. In IPCC Special Report on the Ocean and Cryosphere in a Changing Climate; Pörtner, H., Roberts, D., Masson-Delmotte, V., Zhai, P., Tignor, M., Poloczanska, E., Mintenbeck, K., Alegría, A., Nicolai, M., Okem, A., et al., Eds.; Cambridge University Press: Cambridge, UK; New York, NY, USA, 2019; pp. 131–202. [Google Scholar]
- Fayad, A.; Gascoin, S.; Faour, G.; López-Moreno, J.; Drapeau, L.; Le Page, M.; Escadafal, R. Snow Hydrology in Mediterranean Mountain Regions: A Review. J. Hydrol. 2017, 551, 374–396. [Google Scholar] [CrossRef]
- Marston, R.; Marston, B. Mountain Hydrology. In The International Encyclopedia of Geography; Richardson, D., Castree, N., Goodchild, M., Kobayashi, A., Liu, W., Marston, R., Eds.; John Wiley & Sons, Ltd.: Hoboken, NJ, USA, 2017; pp. 4532–4540. [Google Scholar]
- Papadaki, C. Sustainable Use of Mountain Water Resources. In Environmental Water Requirements in Mountainous Areas; Dimitriou, E., Papadaki, C., Eds.; Elsevier: Amsterdam, The Netherlands, 2021; pp. 281–292. ISBN 9780128193426. [Google Scholar]
- Carter, T.; Benzie, M.; Campiglio, E.; Carlsen, H.; Fronzek, S.; Hildén, M.; Reyer, C.; West, C. A Conceptual Framework for Cross-Border Impacts of Climate Change. Glob. Environ. Chang. 2021, 69, 102307. [Google Scholar] [CrossRef]
- Harris, K.; Lager, F.; Jansen, M.; Benzie, M. Rising to a New Challenge: A Protocol for Case-Study Research on Transboundary Climate Risk. Weather Clim. Soc. 2022, 14, 755–768. [Google Scholar] [CrossRef]
- Balsiger, J.; Dupuits, E.; Scolobig, A. International Experience in Transboundary Mountain Governance: Insights for Andean Cooperation; Institute for Environmental Governance and Territorial Development, University of Geneva: Geneva, Switzerland, 2020. [Google Scholar]
- Schickhoff, U.; Bobrowski, M.; Mal, S.; Schwab, N.; Singh, R. The World’s Mountains in the Anthropocene. In Mountain Landscapes in Transition; Schickhoff, U., Singh, R., Mal, S., Eds.; Springer: Cham, Switzerland, 2022; pp. 1–144. [Google Scholar]
- Saidaliyeva, Z.; Muccione, V.; Shahgedanova, M.; Bigler, S.; Adler, C.; Yapiyev, V. Adaptation to Climate Change in the Mountain Regions of Central Asia: A Systematic Literature Review. WIREs Clim. Chang. 2024, 15, e891. [Google Scholar] [CrossRef]
- Mantziou, D.; Shumka, S.; Levkov, Z. Water Governance in the Transboundary Prespa Basin: The Way Forward. PrespaNet 2019, 1–7. [Google Scholar]
- van der Schriek, T.; Giannakopoulos, C. Determining the Causes for the Dramatic Recent Fall of Lake Prespa (Southwest Balkans). Hydrol. Sci. J. 2017, 62, 1131–1148. [Google Scholar] [CrossRef]
- Bogdanovic, S. Legal Aspects of Transboundary Lakes Governance in the Western Balkans. In Lake Governance; Grover, V., Krantzberg, G., Eds.; CRC Press Taylor & Francis Group: Boca Raton, FA, USA, 2018; pp. 1–33. ISBN 9781315206943. [Google Scholar]
- Anovski, T. Progress in Study of Prespa Lake Using Nuclear and Related Techniques. IAEA Regional Project RER/8/008; Faculty of Technology and Metallurgy, The “Ss. Cyril and Methodius” University: Skopje, North Macedonia, 2001; ISBN 9989650217. [Google Scholar]
- Kiri, E. Hydrodynamic and Hydrochemical Investigation of the Transboundary Aquifer System in Prespa-Ohrid Watershed. Ph.D. Thesis, Aristotle University of Thessaloniki-School of Geology, Thessaloniki, Greece, 2021. [Google Scholar]
- Eftimi, R.; Stevanović, Z.; Stojov, V. Hydrogeology of Mali Thate–Galičica Karst Massif Related to the Catastrophic Decrease of the Level of Lake Prespa. Environ. Earth Sci. 2021, 80, 708. [Google Scholar] [CrossRef]
- Stamos, A.; Batsi, A.; Xanthopoulou, A. Karstic Aquifer Systems and Relations of Hydraulic Communication with the Prespa Lakes in the Tri-National Prespa Basin. In Advances in the Research of Aquatic Environment. Environmental Earth Sciences; Lambrakis, N., Katsanou, K., Stournaras, G., Eds.; Springer: Berlin/Heidelberg, Germany, 2011; Volume 1, pp. 527–534. [Google Scholar]
- Stefouli, M.; Charou, E.; Kouraev, A.; Stamos, A. Integrated Remote Sensing and GIS Techniques for Improving Trans-Boundary Water Management: The Case of Prespa Region. In Transboundary Water Resources Management: A Multidisciplinary Approach; Ganoulis, J., Aureli, A., Fried, J., Eds.; Wiley-VCH: Weinheim, Germany, 2011; pp. 174–179. [Google Scholar]
- Malakou, M.; Alexandou, O.; Katsadorakis, G.; Koutseri, E.; Mikolaou, L.; Panousi, F.; Parisopoulos, G.; Sakellarakis, F. Guideline Document on Wetland Vegetation Management in Lake Lesser Prespa (2022–2026). In LIFE Prespa Waterbirds (LIFE15 NAT/GR/000 936); Society for the Protection of Prespa (SPP): Agios Germanos Prespa, Greece, 2021. [Google Scholar]
- Hollis, G.E.; Stevenson, A.C. The Physical Basis of the Lake Mikri Prespa Systems: Geology, Climate, Hydrology and Water Quality. Hydrobiologia 1997, 351, 1–19. [Google Scholar] [CrossRef]
- Kastridis, A.; Theodosiou, G.; Fotiadis, G. Investigation of Flood Management and Mitigation Measures in Ungauged NATURA Protected Watersheds. Hydrology 2021, 8, 170. [Google Scholar] [CrossRef]
- Hellenic Republic Revision of the National List of the European Ecological Network NATURA 2000 (Decision 50743). Government Gazette of Greece 2017, B, 4432. Available online: https://search.et.gr/el/fek/?fekId=548309 (accessed on 11 December 2024)(Only In Greek).
- Hellenic Republic Declaration of the Mikri and Megali Prespa Lakes and Their Watershed as a National Park 302/D/2009. Government Gazette of Greece 2009, D, 302. Available online: https://search.et.gr/el/fek/?fekId=410892 (accessed on 11 December 2024).
- European Communities. CORINE Biotopes: The Design, Compilation and Use of an Inventory of Sites of Major Importance for Nature Conservation in the European Community; Office for Official Publications of the European Communities: Luxembourg, 1991; ISBN 9282624315. [Google Scholar]
- Decentralized Administration of Epirus—Western Macedonia 2nd Update of the River Basin Management Plans of River Basin District of Western Macedonia (EL09). Registry of Protected Areas. 2023. Available online: https://wfdver.ypeka.gr/el/project/consultation-el09-45-2revision-protected-areas-gr/ (accessed on 11 December 2024). (Only In Greek).
- Neitsch, S.L.; Arnold, J.G.; Kiniry, J.R.; Williams, J.R. Soil and Water Assessment Tool Theoretical Documentation Version 2009; Texas Water Resources Institute: College Station, TX, USA, 2011.
- Bieger, K.; Arnold, J.; Rathjens, H.; White, M.; Bosch, D.; Allen, P.; Volk, M.; Srinivasan, R. Introduction to SWAT+, A Completely Restructured Version of the Soil and Water Assessment Tool. J. Am. Water Resour. Assoc. 2017, 53, 115–130. [Google Scholar] [CrossRef]
- Dile, Y.; Srinivasan, R.; George, C. QGIS Interface for SWAT+: QSWAT+, Version 2.4. 2023.
- Hellenic Cadastre, S.A. Digital Elevation Model—DEM—LSO (5 m) 2020.
- Yassoglou, N.J. Soil Association Map of Greece, Scale 1:500,000; Agricultural University of Athens: Athens, Greece, 2004. [Google Scholar]
- Yassoglou, N.; Tsadilas, C.; Kosmas, C. The Soils of Greece. World Soils Book Series; Springer International Publishing AG: Cham, Switzerland, 2017; ISBN 978-3-319-53334-6. [Google Scholar]
- Nakos, G. Land Classification, Mapping and Evaluation: Technical Specifications; Ministry of Agriculture of Greece: Athens, Greece, 1991.
- FAO. World Reference Base for Soil Resources 2014. International Soil Classification System for Naming Soils and Creating Legends for Soil Maps; FAO: Rome, Italy, 2015; ISBN 9789251083697. [Google Scholar]
- Reynolds, C.A.; Jackson, T.J.; Rawls, W.J. Estimating Soil Water-Holding Capacities by Linking the Food and Agriculture Organization Soil Map of the World with Global Pedon Databases and Continuous Pedotransfer Functions. Water Resour. Res. 2000, 36, 3653–3662. [Google Scholar] [CrossRef]
- European Environment Agency (EEA). Copernicus Land Monitoring Service CLC2018, V20b2. Available online: http://land.copernicus.eu/ (accessed on 10 June 2019).
- HCMR Prespa Rivers. Evaluation of the Ecological Role, Functioning and Biodiversity Values of Rivers/Streams Discharging in Prespa Lakes; HCMR-IMBRIW: Anavyssos, Greece, 2024. [Google Scholar]
- Koutsoyiannis, D.; Xanthopoulos, T. Engineering Hydrology, 4th ed.; National Technical University of Athens: Athens, Greece, 1999; ISBN 978-960-603-506-7. (In Greek) [Google Scholar]
- Ministry of Development. Development of Systems and Tools for Water Resources Management of the Western Macedonia, Central Macedonia, Eastern Macedonia and Thrace Water Districts. Phase A, Deliverable 5: Natural Environment Data Processing and Analysis. Western Macedonia Water District [in Greek]; 2006; Vol. II.
- Hargreaves, G.H.; Samani, Z.A. Reference Crop Evapotranspiration from Temperature. Appl. Eng. Agric. 1985, 1, 96–99. [Google Scholar] [CrossRef]
- Shuttleworth, W.J. Evaporation. In Handbook of Hydrology; Maidment, D.R., Ed.; McGraw—Hill Book Company: New York, NY, USA, 1993; pp. 4.1–4.53. [Google Scholar]
- Fuka, D.R.; Walter, M.T.; Macalister, C.; Degaetano, A.T.; Steenhuis, T.S.; Easton, Z.M. Using the Climate Forecast System Reanalysis as Weather Input Data for Watershed Models. Hydrol. Process. 2014, 28, 5613–5623. [Google Scholar] [CrossRef]
- Tech, J. SWAT+, Editor 2.0 Documentation, 2021.
- ELGO-DIMITRA Operation of a National Network for Monitoring and Recording the Quantity (Rivers) and Quality (Rivers and Lakes) of the Country’s Surface Waters (Directive 2000/60/EC). In Flow Measurements; General Directorate of Agricultural Research of ELGO-DIMITRA, Soil and Water Resources Institute (SWRI): Thessaloniki, Greece, 2023.
- Nash, J.E.; Sutcliffe, J.V. River Flow Forecasting through Conceptual Models. Part I—A Discussion of Principles. J. Hydrol. 1970, 10, 282–290. [Google Scholar] [CrossRef]
- Gupta, H.V.; Kling, H.; Yilmaz, K.K.; Martinez, G.F. Decomposition of the Mean Squared Error and NSE Performance Criteria: Implications for Improving Hydrological Modelling. J. Hydrol. 2009, 377, 80–91. [Google Scholar] [CrossRef]
- Moriasi, D.; Gitau, M.; Pai, N.; Daggupati, P. Hydrologic and Water Quality Models: Performance Measures and Evaluation Criteria. Trans. ASABE 2015, 58, 1763–1785. [Google Scholar] [CrossRef]
- Knoben, W.J.M.; Freer, J.E.; Woods, R.A. Technical Note: Inherent Benchmark or Not? Comparing Nash-Sutcliffe and Kling-Gupta Efficiency Scores. Hydrol. Earth Syst. Sci. 2019, 23, 4323–4331. [Google Scholar] [CrossRef]
- Bland, J.; Altman, D. Statistical Methods for Assesing Agreement between Two Methods of Clinical Measurement. Lancet 1986, 327, 307–310. [Google Scholar] [CrossRef]
- Saltelli, A.; Ratto, M.; Andres, T.; Campolongo, F.; Cariboni, J.; Gatelli, D.; Saisana, M.; Tarantola, S. Global Sensitivity Analysis. The Primer; John Wiley & Sons: Hoboken, NJ, USA, 2008; ISBN 9780470059975. [Google Scholar]
- Zhang, C.; Chu, J.; Fu, G. Sobol’’s Sensitivity Analysis for a Distributed Hydrological Model of Yichun River Basin, China. J. Hydrol. 2013, 480, 58–68. [Google Scholar] [CrossRef]
- Cibin, R.; Sudheer, K.; Chaubey, I. Sensitivity and Identifiability of Stream Flow Generation Parameters of the SWAT Model. Hydrol. Process. 2010, 24, 1133–1148. [Google Scholar] [CrossRef]
- Zadeh, K.; Nossent, J.; Sarrazin, F.; Pianosi, F.; van Griensven, A.; Wagener, T.; Bauwens, W. Comparison of Variance-Based and Moment-Independent Global Sensitivity Analysis Approaches by Application to the SWAT Model. Environ. Model. Softw. 2017, 91, 210–222. [Google Scholar] [CrossRef]
- Zhang, S.; Lang, Y.; Yang, F.; Qiao, X.; Li, X.; Gu, Y.; Yi, Q.; Luo, L.; Duan, Q. Hydrological Modeling in the Upper Lancang-Mekong River Basin Using Global and Regional Gridded Meteorological Re-Analyses. Water 2023, 15, 2209. [Google Scholar] [CrossRef]
- Chawanda, C.J. SWAT+ Toolbox User Manual, SWAT+ Soil & Water Assessment Tool, 2021.
- Sobol, I.M. Sensitivity Estimates for Nonlinear Mathematical Models. Math. Model. Comput. Exp. 1993, 1, 407–414. [Google Scholar]
- Sobol, I.M. On Sensitivity Estimation for Nonlinear Mathematical Models [in Russian]. Mat. Model. 1990, 2, 112–118. [Google Scholar]
- O’Neill, B.C.; Kriegler, E.; Ebi, K.L.; Kemp-Benedict, E.; Riahi, K.; Rothman, D.S.; van Ruijven, B.J.; van Vuuren, D.P.; Birkmann, J.; Kok, K.; et al. The Roads Ahead: Narratives for Shared Socioeconomic Pathways Describing World Futures in the 21st Century. Glob. Environ. Chang. 2017, 42, 169–180. [Google Scholar] [CrossRef]
- IPCC. Summary for Policymakers. In Climate Change 2021: The Physical Science Basis. Contribution of Working Group I to the Sixth Assessment Report of the Intergovernmental Panel on Climate Change; Masson-Delmotte, V., Zhai, P., Pirani, A., Connors, S.L., Péan, C., Berger, S., Caud, N., Chen, Y., Goldfarb, L., Gomis, M.I., et al., Eds.; Cambridge University Press: Cambridge, UK; New York, NY, USA, 2021; pp. 3–32. [Google Scholar]
- Copernicus Climate Change Service (C3S); Climate Data Store (CDS). CMIP6 Climate Projections. Available online: www.doi.org/10.24381/cds.c866074c (accessed on 24 April 2024).
- Seferian, R. CNRM-CERFACS CNRM-ESM2-1 Model Output Prepared for CMIP6 ScenarioMIP. Version 20240122. Available online: https://www.wdc-climate.de/ui/cmip6?input=CMIP6.ScenarioMIP.CNRM-CERFACS.CNRM-ESM2-1 (accessed on 22 January 2024).
- Séférian, R.; Nabat, P.; Michou, M.; Saint-Martin, D.; Voldoire, A.; Colin, J.; Decharme, B.; Delire, C.; Berthet, S.; Chevallier, M.; et al. Evaluation of CNRM Earth System Model, CNRM-ESM2-1: Role of Earth System Processes in Present-Day and Future Climate. J. Adv. Model. Earth Syst. 2019, 11, 4182–4227. [Google Scholar] [CrossRef]
- Döscher, R.; Acosta, M.; Alessandri, A.; Anthoni, P.; Arsouze, T.; Bergman, T.; Bernardello, R.; Boussetta, S.; Caron, L.P.; Carver, G.; et al. The EC-Earth3 Earth System Model for the Coupled Model Intercomparison Project 6. Geosci. Model. Dev. 2022, 15, 2973–3020. [Google Scholar] [CrossRef]
- EC-Earth Consortium (EC-Earth) EC-Earth-Consortium EC-Earth3-Veg-LR Model Output Prepared for CMIP6 ScenarioMIP. Version 20240122. Available online: https://www.wdc-climate.de/ui/cmip6?input=CMIP6.ScenarioMIP.EC-Earth-Consortium.EC-Earth3-Veg-LR (accessed on 22 January 2024).
- Dunne, J.P.; Horowitz, L.W.; Adcroft, A.J.; Ginoux, P.; Held, I.M.; John, J.G.; Krasting, J.P.; Malyshev, S.; Naik, V.; Paulot, F.; et al. The GFDL Earth System Model Version 4.1 (GFDL-ESM 4.1): Overall Coupled Model Description and Simulation Characteristics. J. Adv. Model. Earth Syst. 2020, 12, e2019MS002015. [Google Scholar] [CrossRef]
- John, J.G.; Blanton, C.; McHugh, C.; Radhakrishnan, A.; Rand, K.; Vahlenkamp, H.; Wilson, C.; Zadeh, N.T.; Dunne, J.P.; Dussin, R.; et al. NOAA-GFDL GFDL-ESM4 Model Output Prepared for CMIP6 ScenarioMIP. Version 20240122. Available online: https://www.wdc-climate.de/ui/cmip6?input=CMIP6.ScenarioMIP.NOAA-GFDL.GFDL-ESM4 (accessed on 22 January 2024).
- Jackson, L. MOHC HadGEM3-GC31-MM Model Output Prepared for CMIP6 ScenarioMIP. Version 20240122. Available online: https://www.wdc-climate.de/ui/cmip6?input=CMIP6.ScenarioMIP.MOHC.HadGEM3-GC31-MM (accessed on 22 January 2024).
- Roberts, M.J.; Baker, A.; Blockley, E.W.; Calvert, D.; Coward, A.; Hewitt, H.T.; Jackson, L.C.; Kuhlbrodt, T.; Mathiot, P.; Roberts, C.D.; et al. Description of the Resolution Hierarchy of the Global Coupled HadGEM3-GC3.1 Model as Used in CMIP6 HighResMIP Experiments. Geosci. Model. Dev. 2019, 12, 4999–5028. [Google Scholar] [CrossRef]
- Chen, D.; Rojas, M.; Samset, B.H.; Cobb, K.; Diongue Niang, A.; Edwards, P.; Emori, S.; Faria, S.H.; Hawkins, E.; Hope, P.; et al. Framing, Context, and Methods. In Climate Change 2021: The Physical Science Basis. Contribution of Working Group I to the Sixth Assessment Report of the Intergovernmental Panel on Climate Change; Masson-Delmotte, V., Zhai, P., Pirani, A., Connors, S.L., Péan, C., Berger, S., Caud, N., Chen, Y., Goldfarb, L., Gomis, M.I., et al., Eds.; Cambridge University Press: Cambridge, UK; New York, NY, USA, 2021; pp. 147–286. [Google Scholar]
- WHO. WMO Guidelines on the Calculation of Climate Normals; World Meteorological Organization: Geneva, Switzerland, 2017; ISBN 978-92-63-11203-3. [Google Scholar]
- Hinkle, D.; Wiersma, W.; Jurs, S. Applied Statistics for the Behavioral Sciences, 5th ed.; Houghton Mifflin: Boston, MA, USA, 2003; ISBN 978-0618124053. [Google Scholar]
- Krause, P.; Boyle, D.P.; Bäse, F. Comparison of Different Efficiency Criteria for Hydrological Model Assessment. Adv. Geosci. 2005, 5, 89–97. [Google Scholar] [CrossRef]
- Gupta, H.; Sorooshian, S.; Yapo, P. Status of Automatic Calibration for Hydrologic Models: Comparison with Multilevel Expert Calibration. J. Hydrol. Eng. 1999, 4, 135–143. [Google Scholar] [CrossRef]
- Markovic, D.; Carrizo, S.; Kärcher, O.; Walz, A.; David, J. Vulnerability of European Freshwater Catchments to Climate Change. Glob. Chang. Biol. 2017, 23, 3567–3580. [Google Scholar] [CrossRef]
- van der Schriek, T.; Giannakopoulos, C.; Koutseri, I.; Malakou, M. Climate Change Resilient Lake-Wetland Management: Lessons from the Prespa Waterbirds Project. In Proceedings of the EGU General Assembly 2022, Vienna, Austria, 23 May 2022. [Google Scholar]
- Van Der Schriek, T.; Varotsos, K.; Giannakopoulos, C. Evaluating the Response of Lake Prespa (SW Balkan) to Future Climate Change Projections from a High-Resolution Model. In Proceedings of the 19th EGU General Assembly, EGU2017, Vienna, Austria, 23 April 2017; Volume 19, p. 14995. [Google Scholar]
- Pepin, N.; Arnone, E.; Gobiet, A.; Haslinger, K.; Kotlarski, S.; Notarnicola, C.; Palazzi, E.; Seibert, P.; Serafin, S.; Schöner, W.; et al. Climate Changes and Their Elevational Patterns in the Mountains of the World. Rev. Geophys. 2022, 60, e2020RG000730. [Google Scholar] [CrossRef]
- Moraga, J.; Peleg, N.; Fatichi, S.; Molnar, P.; Burlando, P. Revealing the Impacts of Climate Change on Mountainous Catchments through High-Resolution Modelling. J. Hydrol. 2021, 603, 126806. [Google Scholar] [CrossRef]
- Aili, T.; Soncini, A.; Bianchi, A.; Diolaiuti, G.; D’Agata, C.; Bocchiola, D. Assessing Water Resources under Climate Change in High-Altitude Catchments: A Methodology and an Application in the Italian Alps. Theor. Appl. Climatol. 2019, 135, 135–156. [Google Scholar] [CrossRef]
- Didovets, I.; Krysanova, V.; Hattermann, F.; del Rocío Rivas López, M.; Snizhko, S.; Müller Schmied, H. Climate Change Impact on Water Availability of Main River Basins in Ukraine. J. Hydrol. Reg. Stud. 2020, 32, 100761. [Google Scholar] [CrossRef]
- Pokhrel, Y.; Hanasaki, N.; Koirala, S.; Kanae, S.; Oki, T. Extreme River Discharge under Present and Future Climate Conditions Using High-Resolution Climate Model Data. Annu. J. Hydraul. Eng. JSCE 2010, 54, 97–102. [Google Scholar]
- Goudie, A. The Human Impact on the Natural Environment. Past, Present, and Future, 6th ed.; Wiley-Blackwell: Hoboken, NJ, USA, 2006; ISBN 978-1-405-12704-2. [Google Scholar]
- Stein, B.; Staudt, A.; Cross, M.; Dubois, N.; Enquist, C.; Griffis, R.; Hansen, L.; Hellmann, J.; Lawler, J.; Nelson, E.; et al. Preparing for and Managing Change: Climate Adaptation for Biodiversity and Ecosystems. Front. Ecol. Environ. 2013, 11, 502–510. [Google Scholar] [CrossRef]
- Aplet, G.; Mckinley, P. A Portfolio Approach to Managing Ecological Risks of Global Change. Ecosyst. Health Sustain. 2017, 3, 11879069. [Google Scholar] [CrossRef]
- Pörtner, H.; Roberts, D.; Poloczanska, E.; Mintenbeck, K.; Tignor, M.; Alegría, A.; Craig, M.; Langsdorf, S.; Löschke, S.; Möller, V.; et al. Summary for Policymakers. In Climate Change 2022—Impacts, Adaptation and Vulnerability. Contribution of Working Group II to the Sixth Assessment Report of the Intergovernmental Panel on Climate Change; Pörtner, H., Roberts, D., Tignor, M., Poloczanska, E., Mintenbeck, K., Alegría, A., Craig, M., Langsdorf, S., Löschke, S., Möller, M., et al., Eds.; Cambridge University Press: Cambridge, UK; New York, NY, USA, 2022; pp. 3–34. [Google Scholar]
- Damianos, G. Joint Actions in Water Resources Management in the Transboundary Ecologically Sensitive Area of the Prespa Lakes. In Transformation and Efficiency Enhancement of Public Utilities Systems: Multidimensional Aspects and Perspectives; IGI Global: Hershey, PA, USA, 2023; pp. 147–178. ISBN 9781668477311. [Google Scholar]
- European Commission. River Basin Management in a Changing Climate—Common Implementation Strategy for the Water Framework Directive and the Floods Directive—Guidance Document No. 24; Publications Office of the European Union: Luxembourg, 2024; ISBN 9789268194430. [Google Scholar]





| a/a | General Circulation Model—GCM | Ensemble | Developer | Reference |
|---|---|---|---|---|
| 1 | CNRM-ESM2-1 | r1i1p1f2 | CNRM 1 | [67,68] |
| 2 | EC-Earth3-Veg-LR | r1i1p1f1 | EC-Earth-Consortium 2 | [69,70] |
| 3 | GFDL-ESM4 | r1i1p1f1 | NOAA-GFDL 3 | [71,72] |
| 4 | HadGEM3-GC31-MM | r1i1p1f3 | MOHC 4 | [73,74] |
| Station | AG_GERMANOS_F | Telemetric Station |
|---|---|---|
| N | 43 | 803 |
| MAE | 0.41 | 0.34 |
| RMSE | 0.60 | 0.60 |
| R | 0.77 | 0.77 |
| p-Value | <0.00001. The result is significant at p < 0.05. | <0.00001. The result is significant at p < 0.05. |
| R2 | 0.59 | 0.59 |
| NSE | 0.54 | 0.51 |
| PBIAS | 28% | 38% |
| RSR | 0.67 | 0.52 |
| KGE | 0.54 | 0.43 |
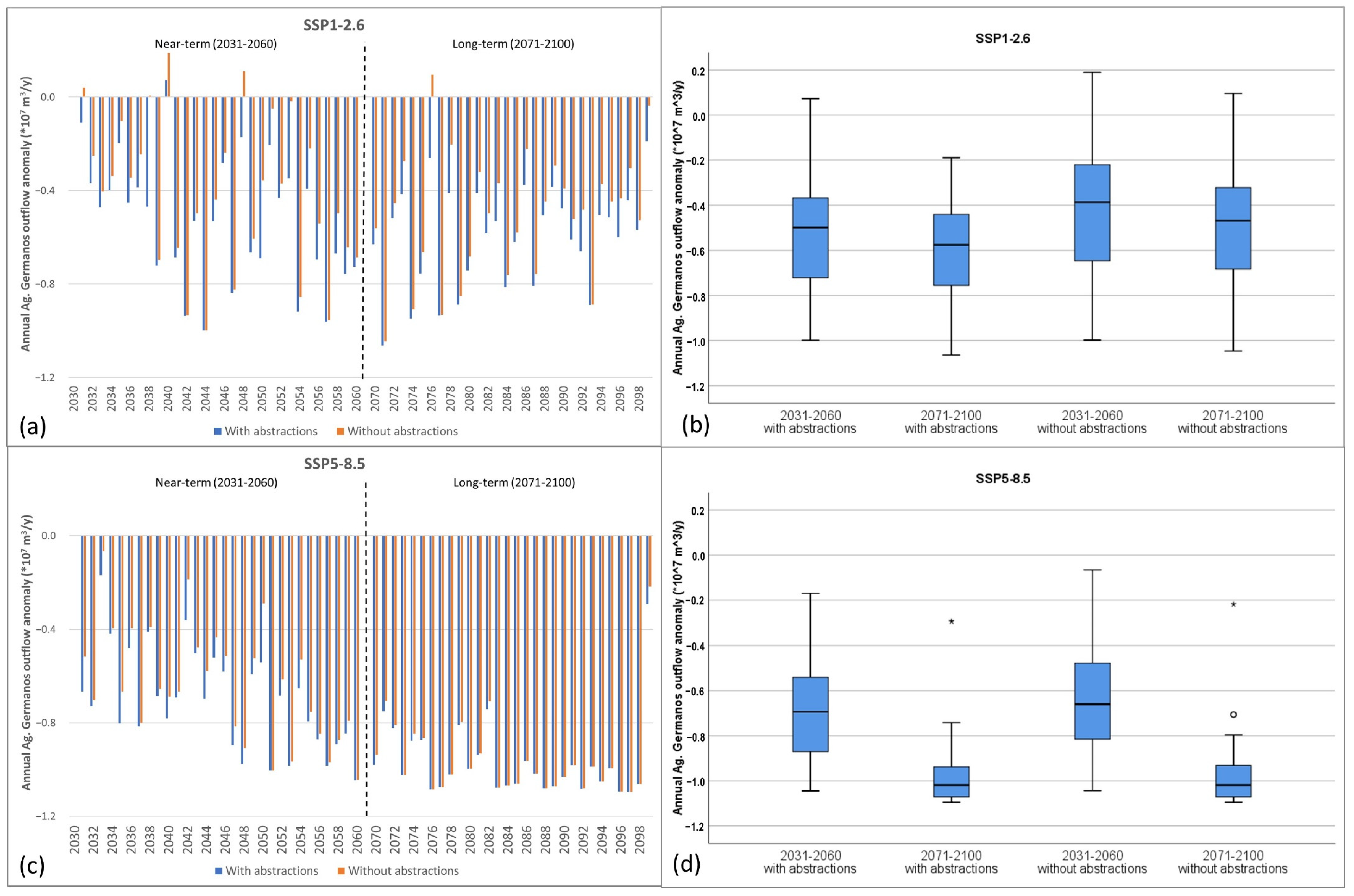
| With Abstractions | Without Abstractions | ||||||||
|---|---|---|---|---|---|---|---|---|---|
| SSP1-2.6 | SSP5-8.5 | SSP1-2.6 | SSP5-8.5 | ||||||
| 2031–2060 | 2071–2100 | 2031–2060 | 2071–2100 | 2031–2060 | 2071–2100 | 2031–2060 | 2071–2100 | ||
| Mean | −0.53 | −0.60 | −0.70 | −0.97 | −0.41 | −0.50 | −0.64 | −0.96 | |
| Median | −0.50 | −0.58 | −0.69 | −1.02 | −0.39 | −0.47 | −0.66 | −1.02 | |
| Std. Deviation | 0.27 | 0.21 | 0.22 | 0.16 | 0.33 | 0.27 | 0.25 | 0.18 | |
| Variance | 0.07 | 0.05 | 0.05 | 0.03 | 0.11 | 0.07 | 0.06 | 0.03 | |
| Minimum | −1.00 | −1.06 | −1.04 | −1.10 | −1.00 | −1.05 | −1.04 | −1.10 | |
| Maximum | 0.07 | −0.19 | −0.17 | −0.29 | 0.19 | 0.10 | −0.07 | −0.22 | |
| Percentiles | 25 | −0.72 | −0.77 | −0.88 | −1.07 | −0.66 | −0.70 | −0.82 | −1.07 |
| 50 | −0.50 | −0.58 | −0.69 | −1.02 | −0.39 | −0.47 | −0.66 | −1.02 | |
| 75 | −0.36 | −0.43 | −0.54 | −0.92 | −0.19 | −0.32 | −0.47 | −0.91 | |
| Scenario | 2031–2060 | 2071–2100 | |||
|---|---|---|---|---|---|
| ∗107 m3/y | % | ∗107 m3/y | % | ||
| SSP1-2.6 | with abstractions | −0.53 | −48% | −0.60 | −54% |
| SSP5-8.5 | −0.70 | −63% | −0.97 | −87% | |
| SSP1-2.6 | without abstractions | −0.41 | −37% | −0.50 | −45% |
| SSP5-8.5 | −0.64 | −57% | −0.96 | −86% | |
Disclaimer/Publisher’s Note: The statements, opinions and data contained in all publications are solely those of the individual author(s) and contributor(s) and not of MDPI and/or the editor(s). MDPI and/or the editor(s) disclaim responsibility for any injury to people or property resulting from any ideas, methods, instructions or products referred to in the content. |
© 2025 by the authors. Licensee MDPI, Basel, Switzerland. This article is an open access article distributed under the terms and conditions of the Creative Commons Attribution (CC BY) license (https://creativecommons.org/licenses/by/4.0/).
Share and Cite
Mentzafou, A.; Papadopoulos, A.; Dimitriou, E. Assessing the Impacts of Climatic and Water Management Scenarios in a Small Mountainous Greek River. Hydrology 2025, 12, 13. https://doi.org/10.3390/hydrology12010013
Mentzafou A, Papadopoulos A, Dimitriou E. Assessing the Impacts of Climatic and Water Management Scenarios in a Small Mountainous Greek River. Hydrology. 2025; 12(1):13. https://doi.org/10.3390/hydrology12010013
Chicago/Turabian StyleMentzafou, Angeliki, Anastasios Papadopoulos, and Elias Dimitriou. 2025. "Assessing the Impacts of Climatic and Water Management Scenarios in a Small Mountainous Greek River" Hydrology 12, no. 1: 13. https://doi.org/10.3390/hydrology12010013
APA StyleMentzafou, A., Papadopoulos, A., & Dimitriou, E. (2025). Assessing the Impacts of Climatic and Water Management Scenarios in a Small Mountainous Greek River. Hydrology, 12(1), 13. https://doi.org/10.3390/hydrology12010013

